A Levelized Multiple Workflow Heterogeneous Earliest Finish Time Allocation Model for Infrastructure as a Service (IaaS) Cloud Environment
Abstract
1. Introduction
- This work proposes a Levelized Multiple Workflow Heterogeneous Earliest Finish Time (LMHEFT) model to optimize the makespan in the cloud computing environment. LMHEFT exploits parallelism at the workflow and task levels within the workflow, if available.
- In the task prioritization phase, after slicing the multiple workflow tasks, precedence constraints are handled using the level attribute and upward rank values of the workflow tasks. This will ensure the execution of all parents before their children with the better exploitation of parallelism to enhance performance. Additionally, this way, it is quite suited for requests from interactive cloud users.
- In the allocation phase, the best-suited virtual machine is determined, which offers the lowest finish time for each task to minimize the workflow task’s completion time by having inter-task communication between the cooperative workflow tasks.
- Employing a ranking-based mapping scheme on workflow tasks surely reduces the processing time, thereby approaching the optimum value of the makespan.
- Statistical analysis has been carried out to test the significance level of the improvement in the proposed LMHEFT model among the other models considered in the simulation study by using normality tests (Kolmogorov–Smirnov and Shapiro–Wilk tests), the Levene test for homogeneity verification, and the Kruskal–Wallis test for comparing models to verify the significant improvement.
2. Related Work
2.1. Single Workflow Allocation Model
- List-based models: There are some classic list-based workflow algorithms [9,19,25,26,27,28,29,30,31,32,33] such as SPHEFT [25], LMT [10], Modified Critical Path (MCP) [27], critical-path-on-a-processor (CPOP) [9], dynamic level scheduling (DLS) [19], heterogeneous earliest finish time (HEFT) [9], dynamic critical path (DCP) [28], predict earliest finish time (PEFT) [24], Energy and Reliability Aware Scheduling algorithm (SERAS) [30], list-based workflow allocation [31], list-based security-oriented deadline aware workflow allocation (SODA) [32], and multi-objective workflow allocation (MOWA) [33]. The fundamental idea of list-based allocation models is to prepare an ordered task list by sorting them as per their priorities. These can be static or dynamic and follow two steps, namely, task selection and task allocation, one after another for each task from the list. The HEFT algorithm’s benefits include being very targetable, quick, and adaptable and having good performance. Task prioritization and processor selection are two processes that it uses to bound the number of processors in a heterogeneous distributed system [9]. In the first stage, tasks are arranged using upward/downward rank in descending/ascending order. The optimal resource is chosen in the second step to reduce the actual finish time. A crucial path is used by CPOP [9] provided in the DAG. The best processor is assigned to handle all tasks on the critical path, and the remaining tasks are distributed using HEFT. The LMT [10] process involves two stages. The tasks from the same level are executed in parallel. During the second phase, these are mapped to the most suitable resource in terms of completion time. In [24], the authors present a novel list-based workflow allocation named PEFT for heterogeneous computing to minimize the makespan without increasing the time complexity. PEFT [24] is an extended version of HEFT [9], and it is based on an optimistic cost table. PEFT’s performance is better than HEFT’s on the makespan. SERAS [30] considers dynamic voltage and frequency scaling (DVFS) to reduce the power consumption problem and proposes a novel smart strategy for workflow execution to minimize the completion time and maximize the reliability in the cloud environment. A DAG scheduling model [31] is developed for optimizing the QoS parameters at the CCE platform in cloud computing systems. In SPHEFT [25], SODA [32], and MOWA [33], the authors extend the HEFT [9] approach. SPHEFT [23] optimizes the guarantee ratio and satisfies the security requirement, whereas SODA [32] optimizes the risk probability by satisfying the security demand and deadline [9]. Further, the authors proposed the MOWA [33] algorithm, which optimizes the simultaneous makespan and flowtime and compared it with HEFT [9]. The performance results of [25,32,33] show that they are better than HEFT.
- Clustering-based models: Heuristics for clustering workflows are designed to reduce the amount of time needed to switch between related activities. List-based heuristics produce unnecessary idle gaps on machines, as in HEFT [9], SPHEFT [25], and SODA [32], because they do not consider communication sharing. Clustering approaches are successful for both homogenous and heterogeneous systems. These approaches are fast at sorting workflows; additionally, list-based approaches transverse the workflow using topological sorting, and for this reason, they can perform only local optimization, while clustering approaches consider global optimization to map tasks on clusters. Therefore, clustering approaches have been used. The two components of clustering-based techniques are task mapping to clusters and task ranking within the cluster [34,35]. This integrates processes in the same cluster and assigns them to the same machines to obtain an overall minimal communication cost-sharing among tasks while sacrificing DAG parallelism. Therefore, it has been found that increasing parallelism and reducing communication delay are trade-offs [36]. Some of the standard clustering-based scheduling techniques are the linear cluster method [37], dominant sequence clustering [38], resource-aware clustering (RAC) [39], and CMWSL [40]. For machines with various capacities, the goal of RAC [39] is to achieve relative load balance and efficiency enhancement. To do this, RAC provides a dynamic scoring algorithm for each task, which is followed by task clustering and task distribution based on the processing power of the processors. With four phases, the cluster-based task scheduling method CMWSL [40] reduces the scheduling time for more heterogeneous machines.
- Duplication-based models: These models repeat some portions of the parent tasks onto the processor to reduce transmission time. Duplication-based workflow allocation models generally assume that the resources are the same and that the computational time increases dramatically for the heterogeneous computing environment. The duplication-based heuristic is generally used together with list or cluster-based workflow scheduling to minimize the migration time among workflow tasks [41,42]. A novel method that combines list scheduling with task duplication was proposed to achieve great performance with minimal complexity [9,43,44] by assigning the computational resources to more than one resource to minimize the waiting time of the precedence-constrained tasks. The duplication of tasks on the same machine minimizes the migration time between them. Some partial [42,45,46] and full [36,37,41,43,44,47] duplication-based workflow algorithms are CPFD [36], TCSD [37], BTDH [41], PLW [42], TDS [45], DFRN [46], LCTD [47], CEFT [44], and DBEFT [44].
- Meta-heuristic based models: Meta-heuristic workflow allocation models provide an efficient method to move rapidly towards a very good solution. Some of the metaheuristic-based solution models in workflow scheduling are GA [48,49,50,51,52], PSO [53,54], ACO [55,56], ABC [57], AFS [58], BFO [59], Firefly [60,61], BAT [62,63], GSA [64], etc. One of the most extensively researched meta-heuristics in workflow scheduling is the genetic algorithm (GA), which creates new schedules using the genetic operators: selection, crossover, and mutation [48,49,50,51,52]. Particle swarm optimization is a swarm approach that has evolved from the social behavior of birds flocking. In [53], the authors have proposed a new directional and non-local-convergent PSO algorithm to optimize the makespan and cost dramatically in a cloud-edge computing environment, while the authors of [54] present the smart PSO-based secured workflow allocation in the cloud environment to find the optimal allocation with the lowest cost and makespan. In [55,56], the authors present ant colony optimization-based workflow allocation with multi-objectives to optimize the resource cost, energy consumption, utilization, and makespan in the cloud data center. Similarly, Ramathilagam and Vijayalakshmi proposed a novel methodology for workflow allocation in a cloud environment using Artificial Fish Swarm (AFS) Algorithm IaaS Cloud Partial Critical Path and Hyper Elliptic Curve Cryptography to optimize the execution time with the lowest cost. In [60], the authors present a novel firefly-based multi-objective workflow allocation algorithm to optimize the makespan and resource utilization in cloud environments, whereas the authors of [61] present a cost-effective workflow allocation algorithm using firefly to optimize the cost and makespan in the same environment. In [62,63], the authors present budget and energy-aware workflow allocation in the cloud environment to optimize resource cost and energy consumption using the BAT algorithm. In [64], the authors present a bi-objective hybrid workflow allocation algorithm in cloud computing to optimize the schedule length ratio and monetary cost using a gravitational search algorithm. A two-stage preference-based multi-objective evolutionary method is proposed for workflow task allocation in the cloud environment [65].
2.2. Multiple Workflow Allocation Model
3. The Multiple Workflows Allocation Model
3.1. Cloud Workflow Allocation Framework
3.1.1. Application Layer
- Users: Cloud users submit the workflows as requests in the application layer. Every cloud user wants to fulfill the demands of their submitted workflows, including budget constraints, precedence constraints, and QoS constraints.
- Workflow Applications: Workflow applications, as can be seen in Figure 2, are coming from the users of the workflows. Users want to execute their workflows to find the solution for their requirements. The workflows are independent of each other. The detailed modeling of workflows is explained below in Section 3.3.
3.1.2. Middleware
- Workflow Allocator: This module allocates workflows submitted by users to fulfill QoS requirements. This module is responsible for managing all aspects of allocation such as prioritizing workflow tasks, gathering status information on cloud resources, managing various constraints, and so on. Moreover, the workflow allocator aims to distribute the system load, reduce the cost and execution time, improve system performance, properly utilize the available resources, etc. In cloud computing, techniques such as Levelized Task Partitioning, Levelized Task Allocation, and Level-Wise Task Prioritization using upward rank are frequently used to efficiently manage multiple workflow allocation. Below is an explanation of these ideas:
- a.
- Task Partitioning: A set of workflows can be divided into depth levels using the Levelized Task Partitioning technique, where each level corresponds to a distinct processing stage. Tasks can be arranged using this method according to their dependencies and execution order.
- b.
- Task Prioritization: It assigns priorities based on task importance and dependencies, ensuring that critical tasks are handled appropriately. The technique of allocating these priorities such that crucial tasks are completed first is known as “upward rank”.
- c.
- Levelized Task Allocation: This involves distributing tasks across different levels to balance the workload and efficiently use computational resources.
- VM Manager: Hypervisor is a virtual machine (VM) monitor that abstracts and isolates the operating systems and workflow applications from the hardware. With the help of this abstraction, the physical host can run one or more VMs separately and efficiently share resources such as processing time, memory, network bandwidth, etc. Without hypervisors, physical (non-virtualized) servers might only host one operating system and workflow application.
3.1.3. Cloud Resource Layer
- Virtualization Layer: The VM layer is an abstract layer between the network and physical hosts. One operating system per host is inflexible for the usage of virtualization, leaving unused resources. A host machine can create more VMs by using this VM layer on which additional operating systems can be installed. In this way, all the physical resources are shared as VMs with higher efficiencies and lower hardware costs. A VM can be viewed as an application environment that is installed on specific software to work as a dedicated physical resource. VM provides the feel of dedicated hardware to the end users. Software known as a hypervisor is responsible for all types of VM management. Each VM offers its own virtual hardware, such as CPUs, memory, network interfaces, etc. This virtual hardware is mapped to the physical machines, reducing the overall costs and overhead.
- Physical Host Layer: It consists of the fundamental physical computing resources, i.e., CPUs, memory, and network resources, that make up a cloud infrastructure.
3.2. Cloud Resource Model
- K number of heterogeneous VMs.
- Virtual machines are created for compute-intensive workflows.
- The processing capacity (PCk) of VMk is in MIPS.
- Initial ready time (RT1k), which measures the previous workload of VMk.
- Machine distances (MDkr) measure of the distance (number of hop counts) between machines VMk and VMr.
- E (N × ni× K) is the expected time to compute matrix, where ni is the number of tasks in wfi.
3.3. Workflow Model
- N is the number of compute-intensive multiple workflows.
- Each Tij is labeled with a unique level attribute lij.
- Size (Tij) is the size in million instructions (MIs) of Tij.
- To manage the dependence and precedence constraints, the upward rank () of Tij is calculated.
- Li is the workflow level ((Li = max (lij: level (Tij wfi)).
- The level of W(L) is the maximum of Li, i.e., L= max (Li).
- Workflow has been partitioned into L groups (ρL) according to depth levels.
- Task communication (TCipq) is also considered between any two tasks Tip and Tiq, and measured in MIs.

3.4. Problem Formulation and Parameter Estimation
4. Levelized Multiple Workflow Heterogeneous Earliest Finish Time
4.1. The LMHEFT Algorithm
| Algorithm 1: LMHEFT ( ) | |
| Input: WF, Tij, VM, Eijk, TCipq, MDkr, QT, Size(Tij), PCk(VMK,) and | |
| Output: Alloc(i, j), TAT, Us, and FT | |
| Start | |
| 1. Compute Expected Time Compute (ETCijk) | // as per Equation (1) |
| 2. Compute Avg. ETC Cost ()) | // as per Equation (4) |
| 3. Set the computation costs of tasks and average communication costs () of edges | |
| // as per Equations (2) and (3) | |
| 4. Compute upward rank for all tasks by traversing graph, starting from task Texit // as per Equation (5) | |
| 5. Divide WF as per depth level in ρl | // Divide the batch as per depth levels. |
| 6. = Task Prioritization | |
| 7. for { | |
| 8. [VBest] = Allocation Phase | |
| 9. VMBestTi,j | |
| 10. AssignTi,j on VMK // with lowest EFTijk | |
| 11. Alloc (i, j)K | |
| 12. Update EFTijk | |
| 13. | |
| 14. } | |
| 15. end for | |
| 16. Compute MS, UT, FT | // as per Equations (11), (13), and (14), respectively. |
| End | |
- Task Prioritization Phase
| Algorithm 2: = Task Prioritization |
| Input: Output: |
| Level_Assignment ( ) |
| 1. for i = 1 to N // WFi |
| 2. Temp_Listi |
| 3. Temp_List: Temp_ListiTentry |
| 4. for l = 1 to L |
| 5. for Ti,jTemp_Listi |
| 6. li,jl |
| 7. T Succ(Ti,j) |
| 8. end for |
| 9. Temp_ListiT |
| 10. end for |
| 11. end for |
| 12. Return |
- Allocation Phase
| Algorithm 3: [VBest] = Allocation |
| Input: Output: VBest |
| 1. for |
| 2. for VMK // for all virtual machines |
| 3. Compute ESTijk and EFTijk // as per Equations (9) and (8) |
| 4. end for |
| 5. VBest←// VBest offers the lowest finish time among all the VMs |
| 6. end for |
4.2. An Illustration of LMHEFT Algorithm
4.3. Time Complexity of LMHEFT
- For partitioning,.
- For sorting, .
- For allocation,.
5. Experimental Evaluation
5.1. Varying the Number of Workflows
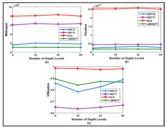
5.2. Varying Depth Levels
5.3. Varying Virtual Machines
5.4. Statistical Testing
- Hypothesis 1 (For Comparing samples)
6. Conclusions
Author Contributions
Funding
Data Availability Statement
Acknowledgments
Conflicts of Interest
References
- Boss, G.; Malladi, P.; Quan, D.; Legregni, L.; Hall, H. Cloud computing. IBM White Pap. 2007, 321, 224–231. [Google Scholar]
- Jawed, M.S.; Sajid, M. A Comprehensive Survey on Cloud Computing—Architecture, Tools, Technologies, and Open Issues. Int. J. Cloud Appl. Comput. 2022, 12, 1–33. [Google Scholar]
- Alam, M.; Mustajab, S.; Shahid, M.; Ahmad, F. Cloud Computing: Architecture, Vision, Challenges, Opportunities, and Emerging Trends. In Proceedings of the 2023 International Conference on Computing, Communication, and Intelligent Systems (ICCCIS), Greater Noida, India, 3–4 November 2023; pp. 829–834. [Google Scholar]
- Deelman, E.; Vahi, K.; Juve, G.; Rynge, M.; Callaghan, S.; Maechling, P.J.; Wenger, K. Pegasus, a workflow management system for science automation. Future Gener. Comput. Syst. 2015, 46, 17–35. [Google Scholar] [CrossRef]
- Adam, P.C.; Wolfgang, R. Petri net. Scholarpedia 2008, 3, 6477. [Google Scholar]
- Abdelli, A.; Badache, N. Towards Building the State Class Graph of the TSPN Model. Fundam. Informaticae 2008, 86, 371–409. [Google Scholar] [CrossRef]
- Smanchat, S.; Viriyapant, K. Taxonomies of workflow scheduling problem and techniques in the Cloud. Future Gener. Comput. Syst. 2015, 52, 1–12. [Google Scholar] [CrossRef]
- Wu, F.; Wu, Q.; Tan, Y. Workflow scheduling in Cloud: A survey. J. Supercomput. 2015, 71, 3373–3418. [Google Scholar] [CrossRef]
- Topcuoglu, H.; Hariri, S.; Wu, M.Y. Performance-effective and low-complexity task scheduling for heterogeneous computing. IEEE Trans. Parallel Distrib. Syst. 2002, 13, 260–274. [Google Scholar] [CrossRef]
- Iverson, M.; Ozuner, F.; Follen, G. Parallelizing Existing Applications in a Distributed Heterogeneous Environment. In Proceedings of the 4th Heterogeneous Computing Workshop (HCW’95), Santa Barbara, CA, USA, 24–25 April 1995; pp. 93–100. [Google Scholar]
- Shahid, M.; Raza, Z. Level-based batch scheduling strategies for computational grid. Int. J. Grid Util. Comput. 2014, 5, 135–148. [Google Scholar] [CrossRef]
- Yu, J.; Buyya, R.; Ramamohanarao, K. Workflow scheduling algorithms for grid computing. In Studied Computer Intelligence; Springer: Berlin/Heidelberg, Germany, 2008; pp. 173–214. [Google Scholar]
- Stevens, T.; De Leenheer, M.; Develder, C.; Dhoedt, B.; Christodoulopoulos, K.; Kokkinos, P.; Varvarigos, E. Multi-cost job routing and scheduling in grid networks. Future Gener. Comput. Syst. 2009, 25, 912–925. [Google Scholar] [CrossRef]
- Wu, Z.; Liu, X.; Ni, Z.; Yuan, D.; Yang, Y. A market-oriented hierarchical scheduling strategy in cloud workflow systems. J. Supercomput. 2013, 63, 256–293. [Google Scholar] [CrossRef]
- Abdul Aziz, M.; Abawajy, J.H.; Chowdhury, M. Scheduling workflow applications with makespan and reliability constraints. Indones. J. Electr. Eng. Comput. Sci. 2018, 12, 482–488. [Google Scholar] [CrossRef]
- Wu, Q.; Yun, D.; Lin, X.; Gu, Y.; Lin, W.; Liu, Y. On workflow scheduling for end-to-end performance optimization in distributed network environments. In Job Scheduling Strategies for Parallel Processing; Springer: Berlin/Heidelberg, Germany, 2013; pp. 76–95. [Google Scholar]
- Garey, M.R.; Johnson, D.S. Computers and Intractability; Freeman: San Francisco, CA, USA, 1979; Volume 174. [Google Scholar]
- Sih, G.C.; Lee, E.A. A compile-time scheduling heuristic for interconnection-constrained heterogeneous processor architectures. IEEE Trans. Parallel Distrib. Syst. 1993, 4, 175–187. [Google Scholar] [CrossRef]
- Bittencourt, L.F.; Madeira, E.R. Towards the scheduling of multiple workflows on computational grids. J. Grid Comput. 2010, 8, 419–441. [Google Scholar] [CrossRef]
- Blythe, J.; Jain, S.; Deelman, E.; Gil, Y.; Vahi, K.; Mandal, A.; Kennedy, K. Task scheduling strategies for workflow-based applications in grids. In Proceedings of the Cluster Computing and the Grid, CCGrid 2005, Cardiff, UK, 9–12 May 2005; IEEE International Symposium on 2005. Volume 2, pp. 759–767. [Google Scholar]
- López, M.M.; Heymann, E.; Senar, M.A. Analysis of dynamic heuristics for workflow scheduling on grid systems. In Proceedings of the Fifth International Symposium on Parallel and Distributed Computing, Timisoara, Romania, 6–9 July 2006; IEEE: Piscataway Township, NJ, USA, 2006; pp. 199–207. [Google Scholar]
- Wieczorek, M.; Prodan, R.; Fahringer, T. Scheduling of scientific workflows in the askalon grid environment. ACM SIGMOD Rec. 2005, 34, 56–62. [Google Scholar] [CrossRef]
- Singh, V.; Gupta, I.; Jana, P.K. A novel cost-efficient approach for deadline-constrained workflow scheduling by dynamic provisioning of resources. Future Gener. Comput. Syst. 2018, 79, 95–110. [Google Scholar] [CrossRef]
- Arabnejad, V.; Bubendorfer, K.; Ng, B. Dynamic multi-workflow scheduling: A deadline and cost-aware approach for commercial clouds. Future Gener. Comput. Syst. 2019, 100, 98–108. [Google Scholar] [CrossRef]
- Alam, M.; Shahid, M.; Mustajab, S. Security prioritized heterogeneous earliest finish time workflow allocation algorithm for cloud computing. In Congress on Intelligent Systems: Proceedings of CIS 2021; Springer Nature: Singapore, 2022; Volume 1, pp. 233–246. [Google Scholar]
- Shahid, M.; Raza, Z.; Sajid, M. Level based batch scheduling strategy with idle slot reduction under DAG constraints for computational grid. J. Syst. Softw. 2015, 108, 110–133. [Google Scholar] [CrossRef]
- Wu, M.Y.; Gajski, D.D. Hypertool: A programming aid for message-passing systems. IEEE Trans. Parallel Distrib. Syst. 1990, 1, 330–343. [Google Scholar] [CrossRef]
- Kwok, Y.K.; Ahmad, I. Dynamic critical-path scheduling: An effective technique for allocating task graphs to multiprocessors. IEEE Trans. Parallel Distrib. Syst. 1996, 7, 506–521. [Google Scholar] [CrossRef]
- Arabnejad, H.; Barbosa, J.G. List scheduling algorithm for heterogeneous systems by an optimistic cost table. IEEE Trans. Parallel Distrib. Syst. 2013, 25, 682–694. [Google Scholar] [CrossRef]
- Hassan, H.A.; Salem, S.A.; Saad, E.M. A smart energy and reliability aware scheduling algorithm for workflow execution in DVFS-enabled cloud environment. Future Gener. Comput. Syst. 2020, 112, 431–448. [Google Scholar] [CrossRef]
- Rajak, R.; Kumar, S.; Prakash, S.; Rajak, N.; Dixit, P. A novel technique to optimize quality of service for directed acyclic graph (DAG) scheduling in cloud computing environment using heuristic approach. J. Supercomput. 2023, 79, 1956–1979. [Google Scholar] [CrossRef]
- Alam, M.; Shahid, M.; Mustajab, S. Security Oriented Deadline Aware Workflow Allocation Strategy for Infrastructure as a Service Clouds. In Proceedings of the 2022 3rd International Conference on Computation, Automation and Knowledge Management (ICCAKM), Dubai, United Arab Emirates, 15–17 November 2022; IEEE: Piscataway Township, NJ, USA, 2022; pp. 1–6. [Google Scholar]
- Shahid, M.; Ashraf, Z.; Alam, M.; Ahmad, F.; Imran, M. A Multi-Objective Workflow Allocation Strategy in IaaS Cloud Environment. In Proceedings of the 2021 International Conference on Computing, Communication, and Intelligent Systems (ICCCIS), Greater Noida, India, 19–20 February 2021; IEEE: Piscataway Township, NJ, USA, 2021; pp. 308–313. [Google Scholar]
- Cirou, B.; Jeannot, E. Triplet: A clustering scheduling algorithm for heterogeneous systems. In Proceedings International Conference on Parallel Processing Workshops, Valencia, Spain, 3–7 September 2001; IEEE: Piscataway Township, NJ, USA, 2001; pp. 231–236. [Google Scholar]
- Boeres, C.; Rebello, V.E. A cluster-based strategy for scheduling task on heterogeneous processors. In Proceedings of the IEEE in Computer Architecture and High Performance Computing, SBAC-PAD, 16th Symposium, Petrópolis, Brazil, 27–29 October 2004; pp. 214–221. [Google Scholar]
- Ahmad, I.; Kwok, Y.K. On exploiting task duplication in parallel program scheduling. IEEE Trans. Parallel Distrib. Syst. 1998, 9, 872–892. [Google Scholar] [CrossRef]
- Li, G.; Chen, D.; Wang, D.; Zhang, D. Task clustering and scheduling to multiprocessors with duplication. In Proceedings of the Parallel and Distributed Processing Symposium, Nice, France, 22–26 April 2003; IEEE: Piscataway Township, NJ, USA, 2003. [Google Scholar]
- Kim, D.; Park, J. Two-way dominant sequence clustering for processor scheduling. Inf. Process. Lett. 1994, 49, 203–208. [Google Scholar] [CrossRef]
- Jedari, B.; Dehghan, M. Efficient DAG scheduling with resource-aware clustering for heterogeneous systems. In Computer and Information Science 2009; Springer: Berlin/Heidelberg, Germany, 2009; pp. 249–261. [Google Scholar]
- Kanemitsu, H.; Hanada, M.; Nakazato, H. Clustering-based task scheduling in a large number of heterogeneous processors. IEEE Trans. Parallel Distrib. Syst. 2016, 27, 3144–3157. [Google Scholar] [CrossRef]
- Chung, Y.C.; Ranka, S. Applications and performance analysis of a compile-time optimization approach for list scheduling algorithms on distributed memory multiprocessors. In Proceedings of the Supercomputing ’92, Minneapolis, MN, USA, 16–20 November 1992; IEEE: Piscataway Township, NJ, USA, 1992; pp. 512–521. [Google Scholar]
- Liou, J.C.; Palis, M.A. An efficient task clustering heuristic for scheduling dags on multiprocessors. In Proceedings of the Multiprocessors, Workshop on Resource Management, Symposium of Parallel and Distributed Processing, New Orleans, LA, USA, 23–26 October 1996; pp. 152–156. [Google Scholar]
- Huang, T.; Li, T.; Dong, Q.; Zhao, K.; Ma, W.; Yang, Y. Communication-aware task scheduling algorithm for heterogeneous computing. Int. J. High Perform. Comput. Netw. 2017, 10, 298–309. [Google Scholar] [CrossRef]
- Li, T.; Cao, D.; Lu, Y.; Huang, T.; Sun, C.; Dong, Q.; Gong, X. DBEFT: A Dependency-Ratio Bundling Earliest Finish Time Algorithm for Heterogeneous Computing. IEEE Access 2019, 7, 173884–173896. [Google Scholar] [CrossRef]
- Darbha, S.; Agrawal, D.P. Optimal scheduling algorithm for distributed-memorymachines. IEEE Trans. Parallel Distrib. Syst. 1998, 9, 87–95. [Google Scholar] [CrossRef]
- Park, G.L.; Shirazi, B.; Marquis, J. Dfrn: A new approach for duplication-based scheduling for distributed memory multiprocessor systems. In Proceedings of the 11th International Parallel Processing Symposium, Geneva, Switzerland, 1–5 April 1997; pp. 157–166. [Google Scholar]
- Chen, H.; Shirazi, B.; Marquis, J. Performance evaluation of a novel scheduling method: Linear clustering with task duplication. In Proceedings of the 2nd International Conference on Parallel and Distributed Systems, San Diego, CA, USA, 20–22 January 1993. [Google Scholar]
- Wang, L.; Siegel, H.J.; Roychowdhury, V.P.; Maciejewski, A.A. Task matching and scheduling in heterogeneous computing environments using a genetic-algorithm-based approach. IEEE Trans Parallel Distrib Syst. 1997, 47, 8–22. [Google Scholar] [CrossRef]
- Hou, E.S.H.; Ansari, N.; Ren, H. A genetic algorithm for multiprocessor scheduling. IEEE Trans. Parallel Distrib. Syst. 1994, 5, 113–120. [Google Scholar] [CrossRef] [PubMed]
- Kwok, Y.K.; Ahmad, I. Efficient scheduling of arbitrary task graphs to multiprocessors using a parallel genetic algorithm. J. Parallel Distrib. Comput. 1997, 47, 58–77. [Google Scholar] [CrossRef]
- Wu, A.S.; Yu, H.; Jin, S.; Lin, K.C.; Schiavone, G. An incremental genetic algorithm approach to multiprocessor scheduling. IEEE Trans. Parallel Distrib. Syst. 2004, 15, 824–834. [Google Scholar] [CrossRef]
- Zomaya, A.Y.; Ward, C.; Macey, B. Genetic scheduling for parallel processor systems: Comparative studies and performance issues. IEEE Trans. Parallel Distrib. Syst. 1999, 10, 795–812. [Google Scholar] [CrossRef]
- Xie, Y.; Zhu, Y.; Wang, Y.; Cheng, Y.; Xu, R.; Sani, A.S.; Yuan, D.; Yang, Y. A novel directional and non-local-convergent particle swarm optimization based workflow scheduling in cloud–edge environment. Future Gener. Comput. Syst. 2019, 97, 361–378. [Google Scholar] [CrossRef]
- Sujana, J.A.J.; Revathi, T.; Priya, T.S.; Muneeswaran, K. Smart PSO-based secured scheduling approaches for scientific workflows in cloud computing. Soft Comput. 2019, 23, 1745–1765. [Google Scholar] [CrossRef]
- Vinothina, V.; Sridaran, R. An Approach for Workflow Scheduling in Cloud Using ACO. In Big Data Analytics; Springer: Singapore, 2018; pp. 525–531. [Google Scholar]
- Karmakar, K.; Das, R.K.; Khatua, S. An ACO-based multi-objective optimization for cooperating VM placement in cloud data center. J. Supercomput. 2022, 78, 3093–3121. [Google Scholar] [CrossRef]
- Abbasi, L.; Momeni, H.; Yaghoubi, M. SWSA: A Hybrid Scientific Workflow Scheduling Algorithm Based on Metaheuristic Approach in Cloud Computing Environment. J. Inf. Knowl. Manag. 2021, 20, 2150035. [Google Scholar] [CrossRef]
- Ramathilagam, A.; Vijayalakshmi, K. Workflow scheduling in cloud environment using a novel metaheuristic optimization algorithm. Int. J. Commun. Syst. 2021, 34, e4746. [Google Scholar] [CrossRef]
- Hejji, D.J.; Nassif, A.B.; Nasir, Q.; AbuTalib, M. Systematic Literature Review: Metaheuristics-based Approach for Workflow Scheduling in Cloud. In Proceedings of the 2020 International Conference on Communications, Computing, Cybersecurity, and Informatics (CCCI), Sharjah, United Arab Emirates, 3–5 November 2020; IEEE: Piscataway Township, NJ, USA, 2020; pp. 1–5. [Google Scholar]
- Adhikari, M.; Amgoth, T.; Srirama, S.N. Multi-objective scheduling strategy for scientific workflows in cloud environment: A Firefly-based approach. Appl. Soft Comput. 2020, 93, 106411. [Google Scholar] [CrossRef]
- Chakravarthi, K.K.; Shyamala, L.; Vaidehi, V. Cost-effective workflow scheduling approach on Cloud under deadline constraint using firefly algorithm. Appl. Intell. 2021, 51, 1629–1644. [Google Scholar] [CrossRef]
- Kaur, N.; Singh, S. A budget-constrained time and reliability optimization bat algorithm for scheduling workflow applications in clouds. Procedia Comput. Sci. 2016, 98, 199–204. [Google Scholar] [CrossRef]
- Gu, Y.; Budati, C. Energy-aware workflow scheduling and optimization in clouds using bat algorithm. Future Gener. Comput. Syst. 2020, 113, 106–112. [Google Scholar] [CrossRef]
- Choudhary, A.; Gupta, I.; Singh, V.; Jana, P.K. A GSA based hybrid algorithm for bi-objective workflow scheduling in cloud computing. Future Gener. Comput. Syst. 2018, 83, 14–26. [Google Scholar] [CrossRef]
- Xie, H.; Ding, D.; Zhao, L.; Kang, K.; Liu, Q. A two-stage preference driven multi-objective evolutionary algorithm for workflow scheduling in the Cloud. Expert Syst. Appl. 2024, 238, 122009. [Google Scholar] [CrossRef]
- Saovapakhiran, B.; Michailidis, G.; Devetsikiotis, M. Aggregated-DAG scheduling for job flow maximization in heterogeneous cloud computing. In Proceedings of the 2011 IEEE Global Telecommunications Conference-GLOBECOM 2011, Houston, TX, USA, 5–9 December 2011; IEEE: Piscataway Township, NJ, USA, 2011; pp. 1–6. [Google Scholar]
- Hirales-Carbajal, A.; Tchernykh, A.; Yahyapour, R.; González-García, J.L.; Röblitz, T.; Ramírez-Alcaraz, J.M. Multiple workflow scheduling strategies with user run time estimates on a grid. J. Grid Comput. 2012, 10, 325–346. [Google Scholar] [CrossRef]
- Zhao, H.; Sakellariou, R. Scheduling multiple dags onto heterogeneous systems. In Proceedings of the Parallel and Distributed Processing Symposium, 20th International, IPDPS’06, Rhodes Island, Greece, 25–29 April 2006; IEEE Computer Society: Washington, DC, USA, 2006; p. 14. [Google Scholar]
- Jing, W.; Liu, Y. Multiple DAGs reliability model and fault-tolerant scheduling algorithm in cloud computing system. Comput. Model. New Technol. 2014, 18, 22–30. [Google Scholar]
- Chen, W.; Lee, Y.C.; Fekete, A.; Zomaya, A.Y. Adaptive multiple-workflow scheduling with task rearrangement. J. Supercomput. 2015, 71, 1297–1317. [Google Scholar] [CrossRef]
- Bochenina, K.; Butakov, N.; Dukhanov, A.; Nasonov, D. A clustering-based approach to static scheduling of multiple workflows with soft deadlines in heterogeneous distributed systems. Procedia Comput. Sci. 2015, 51, 2827–2831. [Google Scholar] [CrossRef]
- Sajid, M.; Raza, Z. Energy-aware stochastic scheduler for batch of precedence-constrained jobs on heterogeneous computing system. Energy 2017, 125, 258–274. [Google Scholar] [CrossRef]
- Shahid, M.; Raza, Z. Performance evaluation of Static Level based Batch Scheduling Strategy (SLBBS) for computational grid. In Proceedings of the 2014 International Conference on Parallel, Distributed and Grid Computing, Solan, India, 11–13 December 2014; IEEE: Piscataway Township, NJ, USA, 2014; pp. 169–175. [Google Scholar]
- Deng, F.; Lai, M.; Geng, J. Multi-workflow scheduling based on genetic algorithm. In Proceedings of the 2019 IEEE 4th International Conference on Cloud Computing and Big Data Analysis (ICCCBDA), Chengdu, China, 12–15 April 2019; IEEE: Piscataway Township, NJ, USA; 2019; pp. 300–305. [Google Scholar]
- Chakravarthi, K.K.; Shyamala, L. TOPSIS inspired budget and deadline aware multi-workflow scheduling for cloud computing. J. Syst. Archit. 2021, 114, 101916. [Google Scholar] [CrossRef]
- Ma, X.; Xu, H.; Gao, H.; Bian, M. Real-time multiple-workflow scheduling in cloud environments. IEEE Trans. Netw. Serv. Manag. 2021, 18, 4002–4018. [Google Scholar] [CrossRef]
- Alam, M.; Shahid, M.; Mustajab, S. Security prioritized multiple workflow allocation model under precedence constraints in cloud computing environment. Clust. Comput. 2024, 27, 341–376. [Google Scholar] [CrossRef]
- Zhang, Q.; Li, B.; Geng, S.; Cai, X. A Multi-Workflow Scheduling Approach With Explicit Evolutionary Multi-Objective Multi-Task Optimization Algorithm in Cloud Environment. Concurr. Comput. Pract. Exp. 2025, 37, e8337. [Google Scholar] [CrossRef]
- Sun, Z.; Huang, H.; Li, Z.; Gu, C.; Xie, R.; Qian, B. Efficient, economical and energy-saving multi-workflow scheduling in hybrid Cloud. Expert Syst. Appl. 2023, 228, 120401. [Google Scholar] [CrossRef]
- Field, A. Discovering Statistics Using IBM SPSS Statistics, 4th ed.; SAGE Publications: Thousand Oaks, CA, USA, 2013. [Google Scholar]
- Iantovics, L.B.; Dehmer, M.; Emmert-Streib, F. MetrIntSimil—An accurate and robust metric for comparison of similarity in intelligence of any number of cooperative multiagent systems. Symmetry 2018, 10, 48. [Google Scholar] [CrossRef]
- Ashraf, Z.; Shahid, M.; Ahamd, F.; Sajid, M.; Kotecha, K.; Patil, S. A Generalized Multiobjective Reliability Redundancy Allocation With Uncertainties. IEEE Access 2023, 11, 21575–21599. [Google Scholar] [CrossRef]














| Task | Level (l) | ETC Value () | ) | |||
|---|---|---|---|---|---|---|
| VM1 | VM2 | VM3 | ||||
| T11 | 1 | 47.2 | 35.4 | 44.25 | 42.28 | 207.27 |
| T12 | 2 | 66.6 | 49.95 | 62.44 | 59.66 | 140.74 |
| T13 | 2 | 78.8 | 59.1 | 73.875 | 70.59 | 145.01 |
| T14 | 3 | 53.33 | 40 | 50 | 47.78 | 47.78 |
| T21 | 1 | 25 | 18.75 | 23.44 | 22.4 | 139.05 |
| T22 | 2 | 38.67 | 29 | 36.25 | 34.64 | 164.61 |
| T23 | 2 | 48.67 | 36.5 | 46.625 | 43.93 | 103.34 |
| T24 | 2 | 39.33 | 29.5 | 36.875 | 35.235 | 87.985 |
| T25 | 3 | 44 | 33 | 41.25 | 39.42 | 39.42 |
| T31 | 1 | 37.33 | 28 | 35 | 33.44 | 187.98 |
| T32 | 2 | 91.336 | 68.5 | 85.626 | 81.82 | 141.22 |
| T33 | 3 | 44 | 33 | 41.25 | 39.42 | 39.42 |
| T34 | 3 | 40 | 30 | 37.5 | 35.83 | 35.83 |
| Depth Level (l) | Task (Tij) | EST and EFT of Tij on Virtual Machine Vk | Ready Time of Virtual Machine VMk (CRTk) | VMk | ||
|---|---|---|---|---|---|---|
| VM1 | VM2 | VM3 | ||||
| l = 1 | Tentry | (10, 10) | (90, 90) | (30, 30) | (10, 90, 30) | VM1 |
| l = 2 | T11 | (10, 57.2) | (90, 125.4) | (30, 74.25) | (57.2, 90, 30) | VM1 |
| T31 | (57.2, 94.53) | (90, 118) | (30, 65) | (57.2, 90, 65) | VM3 | |
| T22 | (57.2, 95.87) | (90, 119) | (65, 101.25) | (95.87, 90, 65) | VM1 | |
| T21 | (95.87, 120.87) | (90, 108.75) | (65, 88.44) | (95.87, 90, 88.44) | VM3 | |
| l = 3 | T13 | (95.87, 174.67) | (90, 149.1) | (88.44, 162.315) | (95.87, 149.1, 88.44) | VM2 |
| T32 | (95.87, 187.2) | (149.1, 217.6) | (88.44, 174.066) | (95.87, 149.1, 174.066) | VM3 | |
| T12 | (95.87, 162.47) | (149.1, 199.05) | (174.066, 236.506) | (162.47, 149.1, 174.066) | VM1 | |
| T23 | (162.47, 211.14) | (149.1, 185.6) | (174.066, 220.691) | (162.47, 185.6, 174.066) | VM2 | |
| T24 | (162.47, 201.8) | (185.6, 215.1) | (174.066, 210.941) | (201.8, 185.6, 174.066) | VM1 | |
| l = 4 | T14 | (201.8, 255.13) | (195.77, 235.77) | (195.77, 245.77) | (201.8, 235.77, 174.066) | VM2 |
| T33 | (201.8, 245.8) | (235.77, 268.77) | (174.066, 215.316) | (201.8, 235.77, 215.316) | VM3 | |
| T25 | (205.58, 249.58) | (235.77, 268.77) | (215.316, 256.566) | (249.58, 235.77, 215.316) | VM1 | |
| T34 | (249.58, 289.58) | (235.77, 265.77) | (215.316, 252.816) | (249.58, 235.77, 252.816) | VM3 | |
| l = 5 | Texit | (249.58, 249.58) | (235.77, 235.77) | (252.816, 252.816) | (249.58, 235.77, 252.816) | VM3 |
| Algorithm | TAT | Us | FT |
|---|---|---|---|
| LMHEFT | 252.816 | 97.33 | 246.05 |
| HEFT-1 | 266.25 | 91.73 | 244.22 |
| HEFT-2 | 391.56 | 85.38 | 334.30 |
| S. No. | Parameter | Range |
|---|---|---|
| 1. | Processing capacity of VMs (PCk) | 1–1000 |
| 2. | Number of VMs (K) | 4–128 |
| 3. | Number of Workflows (N) | 4–128 |
| 4. | Average Number of Tasks in the Workflow | 4–256 |
| 5. | Task Size (Size(Tij)) | Not Given |
| 6. | Depth level (L) | 4–64 |
| 7. | Initial Ready Time (RT1k) | 0–1000 |
| 8. | Task communication (TCipq) | 1–1000 |
| 9. | Inter Machine Distance (MDkr) | 1–100 |
| S. No. | Batch Size | LMHEFT | HEFT-1 | HEFT-2 | DLS |
|---|---|---|---|---|---|
| 1 | 4 | 31,856,647.9 | 54,132,829.43 | 31,784,467.61 | 193,039,779.7 |
| 2 | 8 | 35,042,724.8 | 96,602,445.47 | 35,458,823.07 | 208,631,874.1 |
| 3 | 16 | 42,678,420.3 | 203,195,428.7 | 54,181,277.8 | 271,732,618.3 |
| 4 | 32 | 51,458,552.4 | 388,889,158 | 85,587,214.23 | 490,585,830 |
| 5 | 64 | 66,254,911.5 | 846,555,753.6 | 130,668,309.3 | 890,790,610.3 |
| 6 | 128 | 101,584,081 | 1,491,783,334 | 172,782,144.1 | 1,582,790,933 |
| Tests of Normality | |||||||
|---|---|---|---|---|---|---|---|
| Kolmogorov–Smirnov | Shapiro–Wilk | ||||||
| Statistic | df | Sig. | Statistic | df | Sig. | ||
| Algorithm | LMHEFT | 0.218 | 6 | 0.200 * | 0.871 | 6 | 0.229 |
| HEFT-1 | 0.255 | 6 | 0.200 * | 0.847 | 6 | 0.149 | |
| HEFT-2 | 0.207 | 6 | 0.200 * | 0.901 | 6 | 0.379 | |
| DLS | 0.251 | 6 | 0.200 * | 0.819 | 6 | 0.087 | |
| Test of Homogeneity of Variance | ||||
|---|---|---|---|---|
| Levene Statistic | df1 | df2 | Sig. | |
| Based on Mean Based on Median Based on Median and with adjusted df Based on trimmed mean | 7.410 | 3 | 20 | 0.002 |
| 2.791 | 3 | 20 | 0.067 | |
| 2.791 | 3 | 10 | 0.095 | |
| 6.226 | 3 | 20 | 0.004 | |
| Rank | Test Statistics | |||
|---|---|---|---|---|
| Algorithm | N | Mean Rank | Kruskal–Wallis H | 14.113 |
| LMHEFT | 6 | 6.17 | df | 3 |
| HEFT-1 | 6 | 16.17 | Asymp. Sig. | 0.003 |
| HEFT-2 | 6 | 8.33 | ||
| DLS | 6 | 19.33 | ||
| Total | 24 | |||
Disclaimer/Publisher’s Note: The statements, opinions and data contained in all publications are solely those of the individual author(s) and contributor(s) and not of MDPI and/or the editor(s). MDPI and/or the editor(s) disclaim responsibility for any injury to people or property resulting from any ideas, methods, instructions or products referred to in the content. |
© 2025 by the authors. Licensee MDPI, Basel, Switzerland. This article is an open access article distributed under the terms and conditions of the Creative Commons Attribution (CC BY) license (https://creativecommons.org/licenses/by/4.0/).
Share and Cite
Bano, F.; Ahmad, F.; Shahid, M.; Alam, M.; Hasan, F.; Sajid, M. A Levelized Multiple Workflow Heterogeneous Earliest Finish Time Allocation Model for Infrastructure as a Service (IaaS) Cloud Environment. Algorithms 2025, 18, 99. https://doi.org/10.3390/a18020099
Bano F, Ahmad F, Shahid M, Alam M, Hasan F, Sajid M. A Levelized Multiple Workflow Heterogeneous Earliest Finish Time Allocation Model for Infrastructure as a Service (IaaS) Cloud Environment. Algorithms. 2025; 18(2):99. https://doi.org/10.3390/a18020099
Chicago/Turabian StyleBano, Farheen, Faisal Ahmad, Mohammad Shahid, Mahfooz Alam, Faraz Hasan, and Mohammad Sajid. 2025. "A Levelized Multiple Workflow Heterogeneous Earliest Finish Time Allocation Model for Infrastructure as a Service (IaaS) Cloud Environment" Algorithms 18, no. 2: 99. https://doi.org/10.3390/a18020099
APA StyleBano, F., Ahmad, F., Shahid, M., Alam, M., Hasan, F., & Sajid, M. (2025). A Levelized Multiple Workflow Heterogeneous Earliest Finish Time Allocation Model for Infrastructure as a Service (IaaS) Cloud Environment. Algorithms, 18(2), 99. https://doi.org/10.3390/a18020099

