Compressive Strength of Geopolymer Concrete Prediction Using Machine Learning Methods
Abstract
1. Introduction
- -
- -
- Exploratory Data Analysis;
- -
- Implementation, training, and quality assessment of AI models;
- -
- Developing recommendations regarding the practical implementation of the algorithms obtained.
- -
- Assessment of future prospects for enhanced forecasting performance.
2. Materials and Methods
- Dataset collection.
- Exploratory Data Analysis (EDA).
- Selecting AI models.
- Implementation and training of AI models.
- Evaluation of quality metrics.
- Formulation of recommendations for practical use.

2.1. Dataset Collection
2.2. Exploratory Data Analysis (EDA)
2.3. Selecting AI Models
2.4. Implementation and Training of AI Models
2.4.1. Linear Regression
- -
- A class from the scikit-learn StandardScaler library, which converts the data to a standard normal distribution; this approach standardizes features by subtracting the mean and dividing by the standard deviation;
- -
- One-Hot Encoding, a method for transforming categorical data.
2.4.2. CatBoost
2.4.3. Random Forest
2.4.4. KNN
2.4.5. AutoML
2.4.6. MLP
2.4.7. TabPFN v2
- -
- Supports up to 50,000 data rows (a technical limitation of the Transformer architecture);
- -
- Uses a GPU (Graphics Processing Unit) if CUDA (Compute Unified Device Architecture) support is available; otherwise, a CPU (Central Processing Unit) is used.
2.5. Evaluation of Quality Metrics
2.6. Formation of Recommendations for Practical Use
3. Results and Discussion
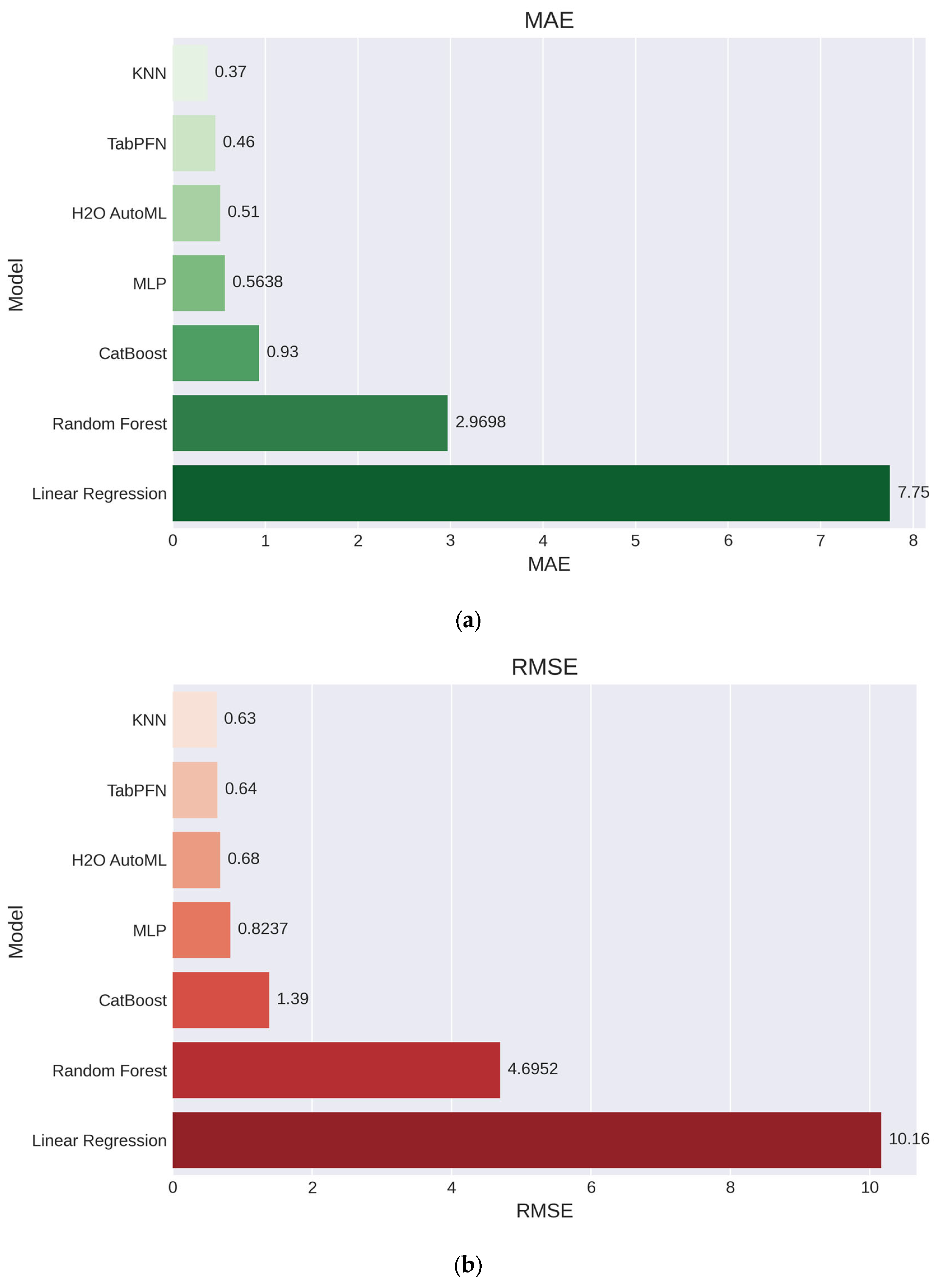
- The basic linear regression model demonstrated satisfactory quality (R2 = 0.8977); however, this value is significantly inferior to more complex methods across all key metrics. High errors indicate the presence of nonlinear relationships between features not captured by the linear model.
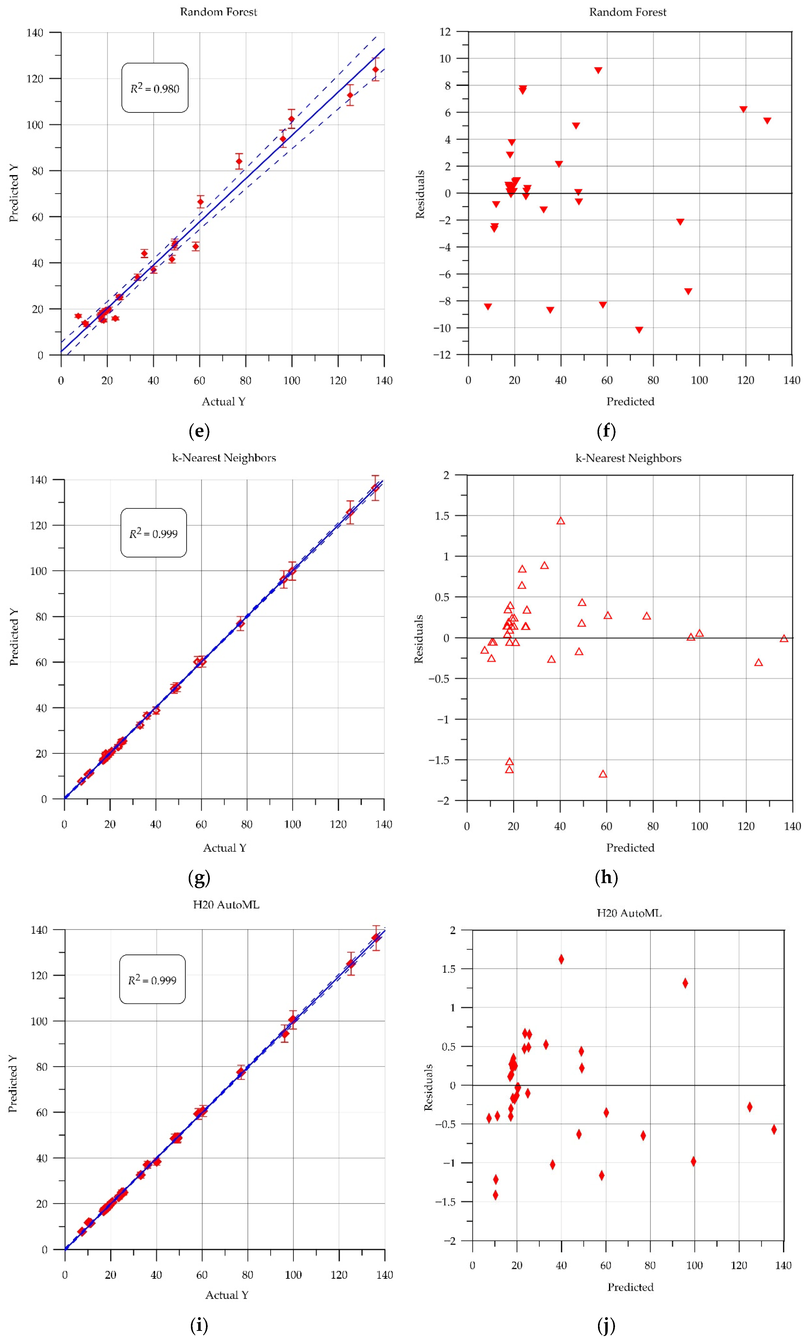
- The nonparametric KNN method demonstrated high prediction accuracy (MAPE = 1.62%) due to well-chosen parameters and the small dimensionality of the original dataset. In this study, the optimal number of neighbors and a correct distance metric made it possible to solve the problem using the closest data.
- Ensemble and boosted methods (CatBoost, Random Forest, AutoML) showed comparable and high results (R2 = 0.9995…0.9981). H2O AutoML delivered stability and high quality without manual parameter selection, confirming the effectiveness of automated machine learning.
- The neural network model (MLP) demonstrated R2 = 0.9993, but the average absolute percentage error reached 2.70%.
- The generatively trained transformer (TabPFN) demonstrated good results across all metrics—(MAE = 0.46, RMSE = 0.64, MAPE = 1.39%, R2 = 0.9996). TabPFN does not require hyperparameter selection and ensures maximum accuracy with minimal computational costs during the retraining stage, making it a promising tool for practical application. This method is quite new in the line of intelligent models, which allows it to use modern approaches and the advantages of previously studied models.
- Dataset development:
- -
- Expanding the training data by integrating information from open sources and laboratory test data to improve the prediction accuracy and generalizability of the algorithms;
- -
- Expanding the list of features in the dataset to account for a greater number of factors influencing the strength properties of geopolymers;
- -
- Creating an open, expandable data source for use by interested parties.
- Conducting additional analyses:
- -
- Examining additional plots from the SHAP method to accurately assess the impact of an expanded list of features on the strength properties of geopolymers;
- -
- Analyzing multicollinearity to fine-tune models sensitive to multicollinearity;
- -
- Adding complex residual analysis plots.
- Tuning model parameters:
- -
- Using additional methods to optimize models and evaluate performance. 4. Adaptation of developed models:
- -
- Adaptation of intelligent models to predict other physical and mechanical properties of geopolymer concrete in addition to strength;
- -
- Expanding the capabilities of developed models for use in predictive modeling systems for the properties of building materials.
4. Conclusions
- -
- The best models in terms of all quality metrics used are the k-nearest neighbor model (MAE = 0.37, RMSE = 0.63, MAPE = 1.62%, R2 = 0.9996) and TabPFNv2 (MAE = 0.46, RMSE = 0.64, MAPE = 1.39%, R2 = 0.9996);
- -
- When computing resources are limited and interpretability is required, the CatBoost or Random Forest algorithms are recommended;
- -
- When a GPU and a small dataset are available, TabPFN is advisable;
- -
- When manual parameter tuning is not required, H2O AutoML is recommended.
Author Contributions
Funding
Data Availability Statement
Acknowledgments
Conflicts of Interest
Abbreviations
| KNN | k-nearest neighbors |
| AutoML | Automated Machine Learning |
| MLP | Multilayer Perceptron |
| TabPFN | Tabular Prior-data Fitted Network |
| EDA | Exploratory Data Analysis |
References
- Mookkandi, K.; Nath, M.K.; Dash, S.S.; Mishra, M.; Blange, R. A Robust Lightweight Vision Transformer for Classification of Crop Diseases. AgriEngineering 2025, 7, 268. [Google Scholar] [CrossRef]
- Rahman, W.; Hossain, M.M.; Hasan, M.M.; Iqbal, M.S.; Rahman, M.M.; Hasan, K.F.; Moni, M.A. Automated detection of harmful insects in agriculture: A smart framework leveraging IoT, machine learning, and blockchain. IEEE Trans. Artif. Intell. 2024, 5, 4787–4798. [Google Scholar] [CrossRef]
- Riaz, W.; Ullah, A.; Ji, J. Multi-Scale Attention Networks with Feature Refinement for Medical Item Classification in Intelligent Healthcare Systems. Sensors 2025, 25, 5305. [Google Scholar] [CrossRef] [PubMed]
- Ashraf, M.H.; Mehmood, M.N.; Ahmed, M.; Hussain, D.; Khan, J.; Jung, Y.; Zakariah, M.; AlSekait, D.M. HIRD-Net: An Explainable CNN-Based Framework with Attention Mechanism for Diabetic Retinopathy Diagnosis Using CLAHE-D-DoG Enhanced Fundus Images. Life 2025, 15, 1411. [Google Scholar] [CrossRef] [PubMed]
- Sun, X.; Sun, J.; Lu, X.; Dong, Q.; Zhang, L.; Wang, W.; Liu, J.; Ma, Q.; Wang, X.; Wei, D.; et al. Mapping Neurophysiological Subtypes of Major Depressive Disorder Using Normative Models of the Functional Connectome. Biol. Psychiatry 2023, 94, 936–947. [Google Scholar] [CrossRef]
- Lin, R.-H.; Kujabi, B.K.; Chuang, C.-L.; Lin, C.-S.; Chiu, C.-J. Application of Deep Learning to Construct Breast Cancer Diagnosis Model. Appl. Sci. 2022, 12, 1957. [Google Scholar] [CrossRef]
- Tlig, M.; Bouchouicha, M.; Sayadi, M.; Moreau, E. Fire Segmentation with an Optimized Weighted Image Fusion Method. Electronics 2024, 13, 3175. [Google Scholar] [CrossRef]
- Zou, R.; Xin, Z.; Liao, G.; Huang, P.; Wang, R.; Qiao, Y. A Fire Segmentation Method with Flame Detail Enhancement U-Net in Multispectral Remote Sensing Images Under Category Imbalance. Remote Sens. 2025, 17, 2175. [Google Scholar] [CrossRef]
- Hong, Z.; Tang, Z.; Pan, H.; Zhang, Y.; Zheng, Z.; Zhou, R.; Ma, Z.; Zhang, Y.; Han, Y.; Wang, J.; et al. Active fire detection using a novel convolutional neural network based on Himawari-8 satellite images. Front. Environ. Sci. 2022, 10, 794028. [Google Scholar] [CrossRef]
- Cheng, M.-Y.; Sholeh, M.N.; Kwek, A. Computer vision-based post-earthquake inspections for building safety assessment. J. Build. Eng. 2024, 94, 109909. [Google Scholar] [CrossRef]
- Manzhilevskaya, S.E. Implementation of Machine Learning Models in the Construction Site Organization Process. Mod. Trends Constr. Urban Territ. Plan. 2025, 4, 106–116. [Google Scholar] [CrossRef]
- Fang, Q.; Li, H.; Luo, X.; Ding, L.; Luo, H.; Rose, T.M.; An, W. Detecting non-hardhat-use by a deep learning method from far-field surveillance videos. Autom. Constr. 2018, 85, 1–9. [Google Scholar] [CrossRef]
- Lee, J.; Lee, S. Construction Site Safety Management: A Computer Vision and Deep Learning Approach. Sensors 2023, 23, 944. [Google Scholar] [CrossRef] [PubMed]
- Feng, J.; Hamilton-Fletcher, G.; Ballem, N.; Batavia, M.; Wang, Y.; Zhong, J.; Porfiri, M.; Rizzo, J.-R. Robust Computer-Vision based Construction Site Detection for Assistive-Technology Applications. arXiv 2025, arXiv:2503.04139. [Google Scholar] [CrossRef]
- Beskopylny, A.N.; Shcherban’, E.M.; Stel’makh, S.A.; Mailyan, L.R.; Meskhi, B.; Razveeva, I.; Kozhakin, A.; El’shaeva, D.; Beskopylny, N.; Onore, G. Detecting Cracks in Aerated Concrete Samples Using a Convolutional Neural Network. Appl. Sci. 2023, 13, 1904. [Google Scholar] [CrossRef]
- Tsay, R.-J. Application of Artificial Intelligence in Graphical Discrimination of Structural Cracks. Eng. Proc. 2025, 108, 4. [Google Scholar] [CrossRef]
- Lee, C.; Kim, D.; Kim, D. Optimizing Deep Learning-Based Crack Detection Using No-Reference Image Quality Assessment in a Mobile Tunnel Scanning System. Sensors 2025, 25, 5437. [Google Scholar] [CrossRef]
- Su, M.; Wan, J.; Zhou, Q.; Wang, R.; Xie, Y.; Peng, H. Utilizing pretrained convolutional neural networks for crack detection and geometric feature recognition in concrete surface images. J. Build. Eng. 2024, 98, 111386. [Google Scholar] [CrossRef]
- Kondratieva, T.N.; Tyurina, V.S.; Chepurnenko, A.S. Predicting the risk of early cracking in massive monolithic foundation slabs using artificial intelligence algorithms. Constr. Mater. Prod. 2025, 8, 6. [Google Scholar] [CrossRef]
- Borovkov, A.I.; Vafaeva, K.M.; Vatin, N.I.; Ponyaeva, I. Synergistic Integration of Digital Twins and Neural Networks for Advancing Optimization in the Construction Industry: A Comprehensive Review. Constr. Mater. Prod. 2024, 7, 7. [Google Scholar] [CrossRef]
- Elshamy, M.M.; Tiraturyan, A.N.; Uglova, E.V.; Elgendy, M.Z. Evaluation of Pavement Condition Deterioration Using Artificial Intelligence Models. Adv. Eng. Res. 2022, 22, 272–284. [Google Scholar] [CrossRef]
- Moein, M.M.; Saradar, A.; Rahmati, K.; Mousavinejad, S.H.G.; Bristow, J.; Aramali, V.; Karakouzian, M. Predictive models for concrete properties using machine learning and deep learning approaches: A review. J. Build. Eng. 2023, 63 Pt A, 105444. [Google Scholar] [CrossRef]
- Feng, D.-C.; Liu, Z.-T.; Wang, X.-D.; Chen, Y.; Chang, J.-Q.; Wei, D.-F.; Jiang, Z.-M. Machine learning-based compressive strength prediction for concrete: An adaptive boosting approach. Constr. Build. Mater. 2020, 230, 117000. [Google Scholar] [CrossRef]
- Luo, D.; Wang, K.; Wang, D.; Sharma, A.; Li, W. Artificial intelligence in the design, optimization, and performance prediction of concrete materials: A comprehensive review. Npj Mater. Sustain. 2025, 3, 14. [Google Scholar] [CrossRef]
- Beskopylny, A.N.; Stel’makh, S.A.; Shcherban’, E.M.; Razveeva, I.; Kozhakin, A.; Pembek, A.; Kondratieva, T.N.; Elshaeva, D.; Chernil’nik, A.; Beskopylny, N. Prediction of the Properties of Vibro-Centrifuged Variatropic Concrete in Aggressive Environments Using Machine Learning Methods. Buildings 2024, 14, 1198. [Google Scholar] [CrossRef]
- Beskopylny, A.N.; Stel’makh, S.A.; Shcherban’, E.M.; Mailyan, L.R.; Meskhi, B.; Razveeva, I.; Kozhakin, A.; Pembek, A.; Elshaeva, D.; Chernil’nik, A.; et al. Prediction of the Compressive Strength of Vibrocentrifuged Concrete Using Machine Learning Methods. Buildings 2024, 14, 377. [Google Scholar] [CrossRef]
- Khosravi, H.; Bahram, M. Prediction of geopolymer concrete compressive strength using artificial neural network and genetic algorithm. Results Eng. 2025, 27, 105537. [Google Scholar] [CrossRef]
- Parhi, S.K.; Patro, S.K. Prediction of compressive strength of geopolymer concrete using a hybrid ensemble of grey wolf optimized machine learning estimators. J. Build. Eng. 2023, 71, 106521. [Google Scholar] [CrossRef]
- Huang, B.; Bahrami, A.; Javed, M.F.; Azim, I.; Iqbal, M.A. Evolutionary Algorithms for Strength Prediction of Geopolymer Concrete. Buildings 2024, 14, 1347. [Google Scholar] [CrossRef]
- Verma, M. Prediction of compressive strength of geopolymer concrete using random forest machine and deep learning. Asian J. Civ. Eng. 2023, 24, 2659–2668. [Google Scholar] [CrossRef]
- Ahmed, H.U.; Abdalla, A.A.; Mohammed, A.S.; Mohammed, A.A.; Mosavi, A. Statistical Methods for Modeling the Compressive Strength of Geopolymer Mortar. Materials 2022, 15, 1868. [Google Scholar] [CrossRef] [PubMed]
- Abdellatief, M.; Elsafi, M.; Murali, G.; ElNemr, A. Comparative evaluation of hybrid machine learning models for predicting the strength of metakaolin-based geopolymer concrete enhanced with Gaussian noise augmentation. J. Build. Eng. 2025, 111, 113302. [Google Scholar] [CrossRef]
- Tipu, R.K.; Bansal, S.; Batra, V.; Suman; Patel, G.A. Ensemble machine learning models for predicting concrete compressive strength incorporating various sand types. Multiscale Multidiscip. Model. Exp. Des. 2025, 8, 222. [Google Scholar] [CrossRef]
- Al-Abdaly, N.M.; Seno, M.E.; Thwaini, M.A.; Imran, H.; Ostrowski, K.A.; Furtak, K. Advanced Ensemble Machine-Learning Models for Predicting Splitting Tensile Strength in Silica Fume-Modified Concrete. Buildings 2024, 14, 4054. [Google Scholar] [CrossRef]
- Shi, M.; Shen, W. Automatic Modeling for Concrete Compressive Strength Prediction Using Auto-Sklearn. Buildings 2022, 12, 1406. [Google Scholar] [CrossRef]
- Hariri-Ardebili, M.A.; Pourkamali-Anaraki, F. An Automated Machine Learning Engine with Inverse Analysis for Seismic Design of Dams. Water 2022, 14, 3898. [Google Scholar] [CrossRef]
- Wang, J.; Deng, J.; Li, S.; Du, W.; Zhang, Z.; Liu, X. Explainable Machine Learning for Multicomponent Concrete: Predictive Modeling and Feature Interaction Insights. Materials 2025, 18, 4456. [Google Scholar] [CrossRef]
- Mirzaei, S.; Mao, H.; Al-Nima, R.R.O.; Woo, W.L. Explainable AI Evaluation: A Top-Down Approach for Selecting Optimal Explanations for Black Box Models. Information 2024, 15, 4. [Google Scholar] [CrossRef]
- Amin, M.N.; Khan, K.; Ahmad, W.; Javed, M.F.; Qureshi, H.J.; Saleem, M.U.; Qadir, M.G.; Faraz, M.I. Compressive Strength Estimation of Geopolymer Composites Through Novel Computational Approaches. Polymers 2022, 14, 2128. [Google Scholar] [CrossRef]
- Luo, R.; Liu, R.; Qin, G.; Jiang, M.; Wu, Y.; Guo, Y. Study on High-Ductility Geopolymer Concrete: The Influence of Oven Heat Curing Conditions on Mechanical Properties and Microstructural Development. Materials 2024, 17, 4011. [Google Scholar] [CrossRef]
- Zubarev, K.P.; Shcherban’, E.M.; Stel’makh, S.A.; Beskopylny, A.N.; Elshaeva, D.; Chernil’nik, A.; Zakieva, N.I.; Pimenova, E.V.; Shilov, A.A. Structure and Properties Improvement by Recipe Factors of Geopolymer Basalt Fiber Reinforced Concrete for Building Enclosing Structures. Buildings 2024, 14, 743. [Google Scholar] [CrossRef]
- Dalğıç, A.; Yılmazer Polat, B. The Behavior of Ceramic Fiber Geopolymer Concrete under the Effect of High Temperature. Appl. Sci. 2024, 14, 1607. [Google Scholar] [CrossRef]
- Zhang, Y.; Chen, J.; Xia, J. Compressive Strength and Chloride Resistance of Slag/Metakaolin-Based Ultra-High-Performance Geopolymer Concrete. Materials 2023, 16, 181. [Google Scholar] [CrossRef] [PubMed]
- Thakur, G.; Singh, Y.; Singh, R.; Prakash, C.; Saxena, K.K.; Pramanik, A.; Basak, A.; Subramaniam, S. Development of GGBS-Based Geopolymer Concrete Incorporated with Polypropylene Fibers as Sustainable Materials. Sustainability 2022, 14, 10639. [Google Scholar] [CrossRef]
- Xiao, S.; Cai, Y.; Guo, Y.; Lin, J.; Liu, G.; Lan, X.; Song, Y. Experimental Study on Axial Compressive Performance of Polyvinyl Alcohol Fibers Reinforced Fly Ash—Slag Geopolymer Composites. Polymers 2022, 14, 142. [Google Scholar] [CrossRef]
- Ren, P.; Zhang, W.; Ye, X.; Liu, X. Mechanical Properties and Constitutive Model of Geopolymer Lightweight Aggregate Concrete. Buildings 2025, 15, 98. [Google Scholar] [CrossRef]
- Guo, J.; Shi, J.; Wang, L.; Huang, C.; Tao, X.; Li, C.; Chen, Z. Evaluation of Axial Compressive and Tensile Properties of PE/PVA Hybrid Fiber Reinforced Strain-Hardening Geopolymer Composites. Materials 2024, 17, 4356. [Google Scholar] [CrossRef]
- Klyuev, S.V.; Klyuev, A.V.; Ayubov, N.A.; Fediuk, R.S.; Levkina, E.V. Finite Element Design and Analysis of Sustainable Mono-Reinforced and Hybrid-Reinforced Fibergeopolymers. Adv. Eng. Res. 2025, 25, 171–185. [Google Scholar] [CrossRef]
- Antipas, I.R. Effect of Glass Fiber Reinforcement on the Mechanical Properties of Polyester Composites. Adv. Eng. Res. 2023, 23, 387–397. [Google Scholar] [CrossRef]
- Saprykina, T.K.; Zhadanov, V.I. Improving Theoretical Concepts of Composition Design of Dispersedly-Reinforced Concretes. Mod. Trends Constr. Urban Territ. Plan. 2024, 3, 66–73. [Google Scholar] [CrossRef]
- Stel’makh, S.A.; Shcherban’, E.M.; Beskopylny, A.N.; Mailyan, L.R.; Meskhi, B.; Razveeva, I.; Kozhakin, A.; Beskopylny, N. Prediction of Mechanical Properties of Highly Functional Lightweight Fiber-Reinforced Concrete Based on Deep Neural Network and Ensemble Regression Trees Methods. Materials 2022, 15, 6740. [Google Scholar] [CrossRef] [PubMed]
- Akiba, T.; Sano, S.; Yanase, T.; Ohta, T.; Koyama, M. Optuna: A Next-generation Hyperparameter Optimization Framework. arXiv 2019, arXiv:1907.10902. [Google Scholar] [CrossRef]
- Prokhorenkova, L.; Gusev, S.; Vorobev, A.; Dorogush, A.V.; Gulin, A. CatBoost: Unbiased boosting with categorical features. arXiv 2019, arXiv:1706.09516. [Google Scholar] [CrossRef]
- H2O AutoML: Automatic Machine Learning. Available online: https://docs.h2o.ai/h2o/latest-stable/h2o-docs/automl.html#h2o-automl-automatic-machine-learning (accessed on 2 November 2025).
- LeDell, E.; Poirier, S. H2O AutoML: Scalable Automatic Machine Learning. In Proceedings of the AutoML Conference, 2020. Virtual Workshop, USA, 18 July 2020; Available online: https://www.automl.org/wp-content/uploads/2020/07/AutoML_2020_paper_61.pdf (accessed on 2 November 2025).
- Mintsaev, M.S.; Murtazaev, S.-A.Y.; Salamanova, M.S.; Saidumov, M.S.; Murtazaev, I.S.-A. Features of the synthesis of construction geopolymer composites. Constr. Mater. Prod. 2025, 8, 6. [Google Scholar] [CrossRef]











| Attribute | Number | Average | Std | Min | 25% | 50% | 75% | Max |
|---|---|---|---|---|---|---|---|---|
| x1 | 204.0 | 453.13 | 192.27 | 74.0 | 390.0 | 408.0 | 563.0 | 924.0 |
| x2 | 204.0 | 10.91 | 2.32 | 4.0 | 10.0 | 12.0 | 12.0 | 14.0 |
| x3 | 204.0 | 33.22 | 11.64 | 15.0 | 25.0 | 29.0 | 50.0 | 50.0 |
| x4 | 204.0 | 66.78 | 11.64 | 50.0 | 50.0 | 71.0 | 75.0 | 85.0 |
| x5 | 204.0 | - | - | - | - | - | - | - |
| x6 | 204.0 | 1.30 | 1.39 | 0.0 | 0.5 | 1.1 | 2.0 | 10.0 |
| x7 | 204.0 | 25.26 | 5.34 | 20.0 | 25.0 | 25.0 | 25.0 | 60.0 |
| y | 204.0 | 38.92 | 32.37 | 3.4 | 17.8 | 23.4 | 49.1 | 136.3 |
| № | Model | Best Parameters/Meta-Model |
|---|---|---|
| 1 | Linear Regression | {‘model_type’: ‘ridge’, ‘alpha’: 0.7982803713496193} |
| 2 | CatBoost | {‘iterations’: 920, ‘learning_rate’: 0.18190538763505498, ‘depth’: 4, ‘l2_leaf_reg’: 7.478453558099906, ‘rsm’: 0.7537872840036406} |
| 3 | Random Forest | {‘n_estimators’: 352, ‘max_depth’: 14, ‘min_samples_split’: 2, ‘min_samples_leaf’: 1, ‘max_features’: None} |
| 4 | KNN | {‘n_neighbors’: 1 (or 3), ‘weights’: ‘uniform’, ‘metric’: ‘minkowski’, ‘algorithm’: ‘kd_tree’, ‘p’: 3} |
| 5 | AutoML | {‘ntrees’: 89, ‘max_depth’: 6, ‘min_rows’: 1, ‘learn_rate’: 0.1, ‘learn_rate_annealing’: 1.0, ‘sample_rate’: 0.5, ‘col_sample_rate’: 0.7, ‘distribution’: ‘gaussian’, ‘stopping_rounds’: 3, ‘stopping_tolerance’: 0.05, ‘histogram_type’: ‘UniformAdaptive’, ‘categorical_encoding’: ‘Enum’} |
| 6 | MLP | {‘n_layers’: ‘2’, ‘n_units_l0’: ‘96’,’ n_units_l1’: ‘55’, ‘activation’: ‘logistic’, ‘solver’: ‘lbfgs’, ‘alpha’: ‘0.008686426576670337’, ‘learning_rate’: ‘adaptive’} |
| № | Model Type | MAE | RMSE | MAPE, % | R2 |
|---|---|---|---|---|---|
| 1 | Linear Regression | 7.75 | 10.16 | 31.51 | 0.8977 |
| 2 | CatBoost | 0.93 | 1.39 | 5.35 | 0.9981 |
| 3 | Random Forest | 2.97 | 4.70 | 10.97 | 0.9782 |
| 4 | KNN | 0.37 | 0.63 | 1.62 | 0.9996 |
| 5 | AutoML | 0.51 | 0.68 | 2.12 | 0.9995 |
| 6 | MLP | 0.56 | 0.82 | 2.70 | 0.9993 |
| 7 | TabPFN v2 | 0.46 | 0.64 | 1.39 | 0.9996 |
| № | Model Type | MAE | RMSE | MAPE, % | R2 |
|---|---|---|---|---|---|
| 1 | CatBoost | 3.13 | 5.23 | 7.45 | 0.8480 |
Disclaimer/Publisher’s Note: The statements, opinions and data contained in all publications are solely those of the individual author(s) and contributor(s) and not of MDPI and/or the editor(s). MDPI and/or the editor(s) disclaim responsibility for any injury to people or property resulting from any ideas, methods, instructions or products referred to in the content. |
© 2025 by the authors. Licensee MDPI, Basel, Switzerland. This article is an open access article distributed under the terms and conditions of the Creative Commons Attribution (CC BY) license (https://creativecommons.org/licenses/by/4.0/).
Share and Cite
Stel’makh, S.A.; Beskopylny, A.N.; Shcherban’, E.M.; Razveeva, I.; Oganesyan, S.; Shakhalieva, D.M.; Chernil’nik, A.; Onore, G. Compressive Strength of Geopolymer Concrete Prediction Using Machine Learning Methods. Algorithms 2025, 18, 744. https://doi.org/10.3390/a18120744
Stel’makh SA, Beskopylny AN, Shcherban’ EM, Razveeva I, Oganesyan S, Shakhalieva DM, Chernil’nik A, Onore G. Compressive Strength of Geopolymer Concrete Prediction Using Machine Learning Methods. Algorithms. 2025; 18(12):744. https://doi.org/10.3390/a18120744
Chicago/Turabian StyleStel’makh, Sergey A., Alexey N. Beskopylny, Evgenii M. Shcherban’, Irina Razveeva, Samson Oganesyan, Diana M. Shakhalieva, Andrei Chernil’nik, and Gleb Onore. 2025. "Compressive Strength of Geopolymer Concrete Prediction Using Machine Learning Methods" Algorithms 18, no. 12: 744. https://doi.org/10.3390/a18120744
APA StyleStel’makh, S. A., Beskopylny, A. N., Shcherban’, E. M., Razveeva, I., Oganesyan, S., Shakhalieva, D. M., Chernil’nik, A., & Onore, G. (2025). Compressive Strength of Geopolymer Concrete Prediction Using Machine Learning Methods. Algorithms, 18(12), 744. https://doi.org/10.3390/a18120744

