Q-Learning-Based Multi-Strategy Topology Particle Swarm Optimization Algorithm
Abstract
1. Introduction
- A reinforcement learning-based topology switching strategy is proposed, enabling particles to dynamically select among FIPS, small-world, and exemplar-set topologies to balance global exploration and local exploitation.
- A dual-layer Q-learning experience replay mechanism is designed, integrating short-term and long-term memories to stabilize parameter control and improve learning efficiency.
- A stagnation detection mechanism is constructed and combined with differential evolution perturbations and a global restart strategy to enhance population diversity and improve the ability to escape local optima.
2. Background Information
2.1. Particle Swarm Optimization
2.2. Reinforcement Learning
2.3. Q-Learning
3. Multi-Strategy Topology PSO
3.1. State
3.2. Action Design
3.3. Reward Function
3.4. Stagnation Detection and Hierarchical Response Mechanism
3.4.1. Global-Best-Oriented Restart Strategy
3.4.2. DE-Based Perturbation Mechanism
- (1)
- Global-best region perturbation.
- (2)
- Individual-level perturbation.
3.5. Summary and Complexity Analysis
| Algorithm 1 MSTPSO Algorithm |
Input: population size N, dimension D, maximum iterations T Output: global best solution 1: Initialize particle positions, velocities, and the Q-table. 2: Create dual-layer replay buffers. 3: Evaluate initial fitness and determine . 4: for to T do 5: for each particle do 6: Select topology using Q-learning policy. 7: Update and according to the selected topology by (15), (17), and (20). 8: end for 9: Evaluate fitness and update personal and global bests. 10: If stagnation is detected, apply perturbation or restart strategy. 11: end for 12: Return . |
4. Numerical Experiments
4.1. Experimental Settings and Comparison Methods
4.2. Performance Comparison Across Different Dimensions
4.3. Convergence Curves and Dynamic Performance Analysis
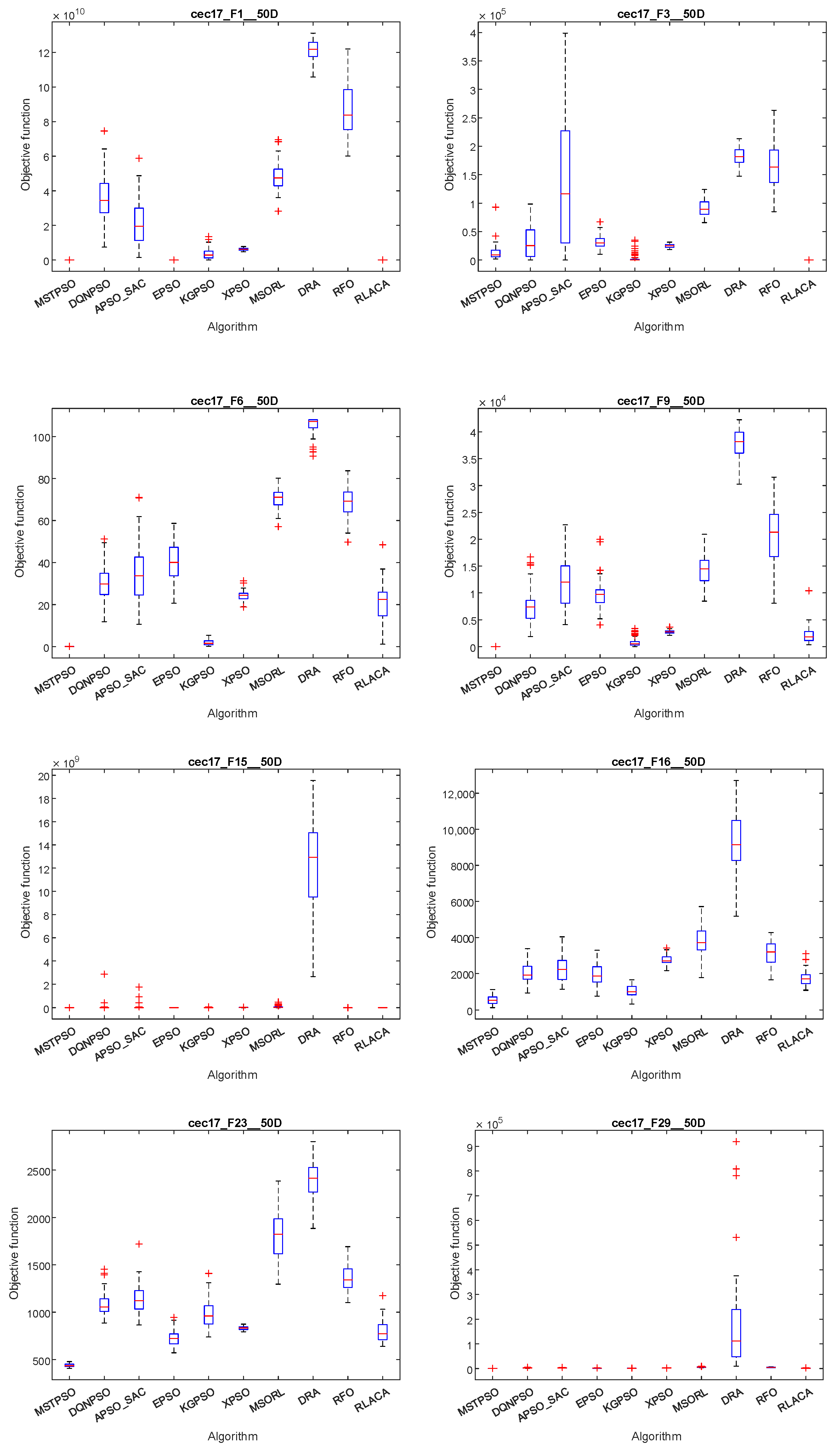
4.4. Boxplot Analysis and Robustness Evaluation
4.5. Significance Test Analysis (Wilcoxon Rank-Sum Test)
4.6. Ablation Study on Topology Structures
4.6.1. Multi-Topology Ablation
4.6.2. Ablation of Stagnation Detection and Hierarchical Response Mechanism
5. Conclusions
Author Contributions
Funding
Data Availability Statement
Acknowledgments
Conflicts of Interest
References
- Tanabe, R.; Fukunaga, A. Success-history based parameter adaptation for differential evolution. In Proceedings of the 2013 IEEE Congress on Evolutionary Computation, Cancun, Mexico, 20–23 June 2013; pp. 71–78. [Google Scholar]
- Liu, Y.; Liu, J.; Ding, J.; Yang, S.; Jin, Y. A surrogate-assisted differential evolution with knowledge transfer for expensive incremental optimization problems. IEEE Trans. Evol. Comput. 2023, 28, 1039–1053. [Google Scholar] [CrossRef]
- Lambora, A.; Gupta, K.; Chopra, K. Genetic algorithm—A literature review. In Proceedings of the 2019 International Conference on Machine Learning, Big Data, Cloud and Parallel Computing (COMITCon), Faridabad, India, 14–16 February 2019; pp. 380–384. [Google Scholar]
- Ngo, L.; Ha, H.; Chan, J.; Nguyen, V.; Zhang, H. High-dimensional Bayesian optimization via covariance matrix adaptation strategy. arXiv 2024, arXiv:2402.03104. [Google Scholar] [CrossRef]
- Xiao, S.; Wang, H.; Wang, W.; Huang, Z.; Zhou, X.; Xu, M. Artificial bee colony algorithm based on adaptive neighborhood search and Gaussian perturbation. Appl. Soft Comput. 2021, 100, 106955. [Google Scholar] [CrossRef]
- Shi, Y.; Eberhart, R. A modified particle swarm optimizer. In Proceedings of the 1998 IEEE International Conference on Evolutionary Computation Proceedings, San Diego, CA, USA, 25–27 March 1998; IEEE World Congress on Computational Intelligence (Cat. No. 98TH8360). pp. 69–73. [Google Scholar]
- Eberhart, R.; Shi, Y. Particle swarm optimization and its applications to VLSI design and video technology. In Proceedings of the 2005 IEEE International Workshop on VLSI Design and Video Technology, Suzhou, China, 28–30 May 2005; p. xxiii. [Google Scholar]
- Ratnaweera, A.; Halgamuge, S.K.; Watson, H.C. Self-organizing hierarchical particle swarm optimizer with time-varying acceleration coefficients. IEEE Trans. Evol. Comput. 2004, 8, 240–255. [Google Scholar] [CrossRef]
- Chen, Q.; Li, C.; Guo, W. Railway passenger volume forecast based on IPSO-BP neural network. In Proceedings of the 2009 International Conference on Information Technology and Computer Science, Kiev, Ukraine, 25–26 July 2009; Volume 2, pp. 255–258. [Google Scholar]
- Liu, H.R.; Cui, J.C.; Lu, Z.D.; Liu, D.Y.; Deng, Y.J. A hierarchical simple particle swarm optimization with mean dimensional information. Appl. Soft Comput. 2019, 76, 712–725. [Google Scholar] [CrossRef]
- El-Kenawy, E.S.; Eid, M. Hybrid gray wolf and particle swarm optimization for feature selection. Int. J. Innov. Comput. Inf. Control 2020, 16, 831–844. [Google Scholar]
- Adamu, A.; Abdullahi, M.; Junaidu, S.B.; Hassan, I.H. An hybrid particle swarm optimization with crow search algorithm for feature selection. Mach. Learn. Appl. 2021, 6, 100108. [Google Scholar] [CrossRef]
- Khan, T.A.; Ling, S.H. A novel hybrid gravitational search particle swarm optimization algorithm. Eng. Appl. Artif. Intell. 2021, 102, 104263. [Google Scholar] [CrossRef]
- Lin, A.; Liu, D.; Li, Z.; Hasanien, H.M.; Shi, Y. Heterogeneous differential evolution particle swarm optimization with local search. Complex Intell. Syst. 2023, 9, 6905–6925. [Google Scholar] [CrossRef]
- Lin, A.; Li, S.; Liu, R. Mutual learning differential particle swarm optimization. Egypt. Inform. J. 2022, 23, 469–481. [Google Scholar] [CrossRef]
- Chen, H.; Shen, L.Y.; Wang, C.; Tian, L.; Zhang, S. Multi Actors-Critic based particle swarm optimization algorithm. Neurocomputing 2025, 624, 129460. [Google Scholar] [CrossRef]
- Zhongxing, L.; Fangxi, Z.; Bingchen, L.; Shaohua, X. Quality monitoring of tractor hydraulic oil based on improved PSO-BPNN. J. Chin. Agric. Mech. 2024, 45, 140. [Google Scholar]
- Huang, Y.; Li, W.; Tian, F.; Meng, X. A fitness landscape ruggedness multiobjective differential evolution algorithm with a reinforcement learning strategy. Appl. Soft Comput. 2020, 96, 106693. [Google Scholar] [CrossRef]
- Lu, L.; Zheng, H.; Jie, J.; Zhang, M.; Dai, R. Reinforcement learning-based particle swarm optimization for sewage treatment control. Complex Intell. Syst. 2021, 7, 2199–2210. [Google Scholar] [CrossRef]
- Janson, S.; Middendorf, M. A hierarchical particle swarm optimizer and its adaptive variant. IEEE Trans. Syst. Man Cybern. Part 2005, 35, 1272–1282. [Google Scholar] [CrossRef] [PubMed]
- Zhang, J.; Zhang, J.; Ji, W.; Sun, X.; Zhang, L. Particle swarm optimization algorithm with self-correcting and dimension by dimension learning capabilities. J. Chin. Comput. Syst. 2021, 42, 919–926. [Google Scholar]
- Xia, X.; Gui, L.; He, G.; Wei, B.; Zhang, Y.; Yu, F.; Wu, H.; Zhan, Z.H. An expanded particle swarm optimization based on multi-exemplar and forgetting ability. Inf. Sci. 2020, 508, 105–120. [Google Scholar] [CrossRef]
- Jiang, S.; Ding, J.; Zhang, L. A personalized recommendation algorithm based on weighted information entropy and particle swarm optimization. Mob. Inf. Syst. 2021, 2021, 3209140. [Google Scholar] [CrossRef]
- Engelbrecht, A.P. Computational Intelligence: An Introduction; Wiley Online Library: Hoboken, NJ, USA, 2007; Volume 2. [Google Scholar]
- Liu, Q.; Van Wyk, B.J.; Sun, Y. Small world network based dynamic topology for particle swarm optimization. In Proceedings of the 2015 11th International Conference on Natural Computation (ICNC), Zhangjiajie, China, 15–17 August 2015; pp. 289–294. [Google Scholar]
- Zeng, N.; Wang, Z.; Liu, W.; Zhang, H.; Hone, K.; Liu, X. A dynamic neighborhood-based switching particle swarm optimization algorithm. IEEE Trans. Cybern. 2020, 52, 9290–9301. [Google Scholar] [CrossRef]
- Pan, L.; Zhao, Y.; Li, L. Neighborhood-based particle swarm optimization with discrete crossover for nonlinear equation systems. Swarm Evol. Comput. 2022, 69, 101019. [Google Scholar] [CrossRef]
- Li, T.; Shi, J.; Deng, W.; Hu, Z. Pyramid particle swarm optimization with novel strategies of competition and cooperation. Appl. Soft Comput. 2022, 121, 108731. [Google Scholar] [CrossRef]
- Li, W.; Liang, P.; Sun, B.; Sun, Y.; Huang, Y. Reinforcement learning-based particle swarm optimization with neighborhood differential mutation strategy. Swarm Evol. Comput. 2023, 78, 101274. [Google Scholar] [CrossRef]
- Jiang, C.; Wang, J. Time domain waveform synthesis method of shock response spectrum based on PSO-LSN algorithm. J. Vib. Shock 2024, 43, 102–107. [Google Scholar]
- Tatsis, V.A.; Parsopoulos, K.E. Dynamic parameter adaptation in metaheuristics using gradient approximation and line search. Appl. Soft Comput. 2019, 74, 368–384. [Google Scholar] [CrossRef]
- Liu, Y.; Lu, H.; Cheng, S.; Shi, Y. An adaptive online parameter control algorithm for particle swarm optimization based on reinforcement learning. In Proceedings of the 2019 IEEE Congress on Evolutionary Computation (CEC), Wellington, New Zealand, 10–13 June 2019; pp. 815–822. [Google Scholar]
- Yin, S.; Jin, M.; Lu, H.; Gong, G.; Mao, W.; Chen, G.; Li, W. Reinforcement-learning-based parameter adaptation method for particle swarm optimization. Complex Intell. Syst. 2023, 9, 5585–5609. [Google Scholar] [CrossRef]
- Hamad, Q.S.; Samma, H.; Suandi, S.A.; Mohamad-Saleh, J. Q-learning embedded sine cosine algorithm (QLESCA). Expert Syst. Appl. 2022, 193, 116417. [Google Scholar] [CrossRef]
- Hamad, Q.S.; Samma, H.; Suandi, S.A. Feature selection of pre-trained shallow CNN using the QLESCA optimizer: COVID-19 detection as a case study. Appl. Intell. 2023, 53, 18630–18652. [Google Scholar] [CrossRef]
- Wang, F.; Wang, X.; Sun, S. A reinforcement learning level-based particle swarm optimization algorithm for large-scale optimization. Inf. Sci. 2022, 602, 298–312. [Google Scholar] [CrossRef]
- Sutton, R.S.; Barto, A.G. Reinforcement Learning: An Introduction; MIT Press: Cambridge, UK, 1998; Volume 1. [Google Scholar]
- Watkins, C.J.; Dayan, P. Q-learning. Mach. Learn. 1992, 8, 279–292. [Google Scholar] [CrossRef]
- Qiang, W.; Zhongli, Z. Reinforcement learning model, algorithms and its application. In Proceedings of the 2011 International Conference on Mechatronic Science, Electric Engineering and Computer (MEC), Jilin, China, 19–22 August 2011; pp. 1143–1146. [Google Scholar]
- Awad, N.H.; Ali, M.Z.; Suganthan, P.N. Ensemble sinusoidal differential covariance matrix adaptation with Euclidean neighborhood for solving CEC2017 benchmark problems. In Proceedings of the 2017 IEEE Congress on Evolutionary Computation (CEC), Donostia/San Sebastian, Spain, 5–8 June 2017; pp. 372–379. [Google Scholar]
- Mendes, R.; Kennedy, J.; Neves, J. The fully informed particle swarm: Simpler, maybe better. IEEE Trans. Evol. Comput. 2004, 8, 204–210. [Google Scholar] [CrossRef]
- Wu, X.; Han, J.; Wang, D.; Gao, P.; Cui, Q.; Chen, L.; Liang, Y.; Huang, H.; Lee, H.P.; Miao, C.; et al. Incorporating surprisingly popular algorithm and euclidean distance-based adaptive topology into PSO. Swarm Evol. Comput. 2023, 76, 101222. [Google Scholar] [CrossRef]
- Aoun, O. Deep Q-network-enhanced self-tuning control of particle swarm optimization. Modelling 2024, 5, 1709–1728. [Google Scholar] [CrossRef]
- von Eschwege, D.; Engelbrecht, A. Soft actor-critic approach to self-adaptive particle swarm optimisation. Mathematics 2024, 12, 3481. [Google Scholar] [CrossRef]
- Yuan, Y.L.; Hu, C.M.; Li, L.; Mei, Y.; Wang, X.Y. Regional-modal optimization problems and corresponding normal search particle swarm optimization algorithm. Swarm Evol. Comput. 2023, 78, 101257. [Google Scholar] [CrossRef]
- Zhang, D.; Ma, G.; Deng, Z.; Wang, Q.; Zhang, G.; Zhou, W. A self-adaptive gradient-based particle swarm optimization algorithm with dynamic population topology. Appl. Soft Comput. 2022, 130, 109660. [Google Scholar] [CrossRef]
- Wang, X.; Wang, F.; He, Q.; Guo, Y. A multi-swarm optimizer with a reinforcement learning mechanism for large-scale optimization. Swarm Evol. Comput. 2024, 86, 101486. [Google Scholar] [CrossRef]
- Mozhdehi, A.T.; Khodadadi, N.; Aboutalebi, M.; El-kenawy, E.S.M.; Hussien, A.G.; Zhao, W.; Nadimi-Shahraki, M.H.; Mirjalili, S. Divine Religions Algorithm: A novel social-inspired metaheuristic algorithm for engineering and continuous optimization problems. Clust. Comput. 2025, 28, 253. [Google Scholar] [CrossRef]
- Braik, M.; Al-Hiary, H. Rüppell’s fox optimizer: A novel meta-heuristic approach for solving global optimization problems. Clust. Comput. 2025, 28, 1–77. [Google Scholar] [CrossRef]
- Liu, X.; Wang, T.; Zeng, Z.; Tian, Y.; Tong, J. Three stage based reinforcement learning for combining multiple metaheuristic algorithms. Swarm Evol. Comput. 2025, 95, 101935. [Google Scholar] [CrossRef]






| No. | Function Name | Range |
|---|---|---|
| Shifted and Rotated Bent Cigar Function | [] | |
| Shifted and Rotated Zakharov Function | [] | |
| Shifted and Rotated Rosenbrock’s Function | [] | |
| Shifted and Rotated Rastrigin’s Function | [] | |
| Shifted and Rotated Expanded Scaffer’s Function | [] | |
| Shifted and Rotated Lunacek Bi-Rastrigin’s Function | [] | |
| Shifted and Rotated Non-Continuous Rastrigin’s Function | [] | |
| Shifted and Rotated Levy Function | [] | |
| Shifted and Rotated Schwefel’s Function | [] | |
| Hybrid Function 1 (N = 3) | [] | |
| Hybrid Function 2 (N = 3) | [] | |
| Hybrid Function 3 (N = 3) | [] | |
| Hybrid Function 4 (N = 4) | [] | |
| Hybrid Function 5 (N = 4) | [] | |
| Hybrid Function 6 (N = 4) | [] | |
| Hybrid Function 6 (N = 5) | [] | |
| Hybrid Function 6 (N = 5) | [] | |
| Hybrid Function 6 (N = 5) | [] | |
| Hybrid Function 6 (N = 6) | [] | |
| Composition Function 1 (N = 3) | [] | |
| Composition Function 2 (N = 3) | [] | |
| Composition Function 3 (N = 4) | [] | |
| Composition Function 4 (N = 4) | [] | |
| Composition Function 5 (N = 5) | [] | |
| Composition Function 6 (N = 5) | [] | |
| Composition Function 7 (N = 6) | [] | |
| Composition Function 8 (N = 6) | [] | |
| Composition Function 9 (N = 3) | [] | |
| Composition Function 10 (N = 3) | [] |
| Algorithms | Year | Parameters Setting |
|---|---|---|
| DQNPSO | 2024 | |
| APSO_SAC | 2024 | |
| EPSO | 2023 | |
| KGPSO | 2020 | |
| XPSO | 2023 | |
| MSORL | 2025 | |
| DRA | 2025 | |
| RFO | 2025 | |
| RLACA | 2023 |
| Function | 10-D | MSTPSO | DQNPSO | APSO_SAC | EPSO | KGPSO | XPSO | MSORL | DRA | RFO | RLACA |
|---|---|---|---|---|---|---|---|---|---|---|---|
| f1 | Mean | 6.07 × 102 | 2.15 × 108 | 6.67 × 108 | 1.02 × 103 | 9.45 × 107 | 6.76 × 106 | 7.66 × 107 | 1.20 × 1010 | 6.44 × 105 | 2.77 × 102 |
| Std | 2.65 × 10−2 | 1.09 × 108 | 2.58 | 1.03 × 10−3 | 1.08 × 106 | 4.83 × 109 | 4.09 × 10−2 | 5.66 × 108 | 7.01 × 10−5 | 2.27 × 10−2 | |
| f3 | Mean | 0 | 1.06 | 1.15 | 6.49 × 10−10 | 1.09 × 102 | 1.50 × 102 | 4.07 × 102 | 1.50 × 104 | 1.64 × 102 | 0 |
| Std | 2.10 × 10−1 | 8.37 × 105 | 1.16 × 102 | 5.82 × 10−11 | 2.54 × 10−13 | 3.50 × 109 | 6.31 × 103 | 1.66 × 103 | 1.85 × 10−8 | 0 | |
| f4 | Mean | 7.11 × 10−2 | 1.95 × 101 | 3.80 × 101 | 3.71 | 1.14 × 101 | 7.06 | 2.97 × 101 | 9.12 × 102 | 8.60 | 0 |
| Std | 5.78 × 10−4 | 8.35 × 101 | 7.08 × 10−1 | 1.42 × 10−3 | 4.87 | 1.13 × 103 | 4.85 × 10−8 | 1.29 × 102 | 5.77 × 10−11 | 0 | |
| f5 | Mean | 2.20 | 1.45 × 101 | 2.20 × 101 | 3.06 × 101 | 9.83 | 2.48 × 101 | 4.69 × 101 | 9.43 × 101 | 2.04 × 101 | 1.88 × 101 |
| Std | 3.54 × 10−2 | 2.39 × 101 | 1.56 | 1.54 | 3.27 × 101 | 3.87 × 101 | 2.64 × 101 | 1.50 × 101 | 5.02 × 10−11 | 2.48 × 10−7 | |
| f6 | Mean | 4.78 × 10−7 | 5.32 × 10−1 | 8.51 × 10−1 | 1.25 | 1.86 × 10−1 | 2.11 | 2.41 × 101 | 5.23 × 101 | 4.78 | 8.05 × 10−1 |
| Std | 1.10 × 10−1 | 1.35 × 10−1 | 1.64 × 10−2 | 2.80 × 10−5 | 8.37 × 10−9 | 1.27 × 101 | 3.48 × 101 | 7.81 | 2.36 × 10−7 | 1.27 × 10−9 | |
| f7 | Mean | 1.18 × 101 | 1.81 × 101 | 2.39 × 101 | 4.04 × 101 | 2.38 × 101 | 4.83 × 101 | 2.31 × 101 | 1.19 × 102 | 2.99 × 101 | 2.37 × 101 |
| Std | 3.35 × 10−4 | 7.71 × 101 | 3.03 | 2.71 × 10−1 | 3.32 × 101 | 3.58 × 101 | 3.09 | 1.22 × 101 | 3.27 × 10−10 | 9.71 × 10−14 | |
| f8 | Mean | 1.58 | 1.16 × 101 | 2.02 × 101 | 1.56 × 101 | 6.90 | 2.25 × 101 | 1.92 × 101 | 6.06 × 101 | 1.73 × 101 | 1.91 × 101 |
| Std | 3.88 × 10−1 | 2.54 × 101 | 1.28 | 1.60 × 10−1 | 3.29 × 101 | 2.41 × 101 | 3.10 × 101 | 8.06 | 6.25 × 10−11 | 1.99 × 10−9 | |
| f9 | Mean | 0 | 1.62 × 10−1 | 1.65 × 101 | 5.53 × 101 | 0 | 3.16 | 2.85 × 101 | 7.33 × 102 | 2.97 × 101 | 1.78 × 10−2 |
| Std | 2.96 × 10−2 | 1.49 × 10−11 | 8.37 × 10−2 | 4.37 × 10−1 | 9.72 × 10−14 | 4.71 × 102 | 1.05 × 103 | 3.00 × 102 | 2.12 × 10−10 | 1.38 × 10−14 | |
| f10 | Mean | 1.54 × 102 | 4.53 × 102 | 5.64 × 102 | 8.77 × 102 | 4.05 × 102 | 8.28 × 102 | 1.86 × 103 | 1.75 × 103 | 6.96 × 102 | 6.63 × 102 |
| Std | 7.36 × 10−12 | 5.44 × 102 | 6.02 × 101 | 8.53 | 3.31 × 102 | 6.93 × 102 | 3.45 × 102 | 2.24 × 102 | 3.93 × 10−9 | 1.18 | |
| f11 | Mean | 7.48 × 10−1 | 2.65 × 101 | 4.66 × 101 | 1.24 × 101 | 9.31 | 1.63 × 101 | 4.86 × 101 | 1.87 × 103 | 5.65 × 101 | 1.77 × 101 |
| Std | 1.76 × 10−4 | 2.23 × 107 | 1.83 | 2.81 × 10−1 | 1.52 × 101 | 2.98 × 106 | 3.39 × 10−1 | 1.33 × 104 | 2.01 × 10−10 | 4.66 × 10−7 | |
| f12 | Mean | 1.71 × 104 | 6.71 × 105 | 2.75 × 106 | 7.51 × 103 | 6.58 × 105 | 4.65 × 105 | 1.92 × 104 | 2.99 × 108 | 1.91 × 103 | 8.35 × 103 |
| Std | 3.63 × 10−1 | 4.72 × 108 | 2.38 × 105 | 5.21 × 10−2 | 3.19 × 107 | 1.25 × 109 | 1.97 × 10−3 | 1.52 × 108 | 5.73 × 10−7 | 3.33 | |
| f13 | Mean | 1.89 × 103 | 9.03 × 103 | 1.04 × 104 | 8.01 × 103 | 6.25 × 103 | 7.36 × 103 | 4.36 × 102 | 5.24 × 104 | 2.64 × 102 | 1.73 × 102 |
| Std | 2.48 × 104 | 5.32 × 108 | 3.47 × 103 | 2.44 × 10−1 | 1.51 × 107 | 3.18 × 108 | 2.59 × 104 | 1.82 × 107 | 6.71 × 10−8 | 1.08 × 10−1 | |
| f14 | Mean | 4.00 × 101 | 1.17 × 102 | 1.93 × 102 | 1.13 × 103 | 5.88 × 101 | 7.48 × 101 | 4.49 × 101 | 2.29 × 102 | 3.03 × 101 | 5.56 × 101 |
| Std | 1.59 × 102 | 1.84 × 108 | 7.48 × 102 | 5.55 × 10−1 | 6.54 × 106 | 3.65 × 108 | 4.03 × 104 | 2.63 × 104 | 2.90 × 10−9 | 2.36 × 10−2 | |
| f15 | Mean | 2.36 × 102 | 9.14 × 102 | 4.52 × 102 | 1.38 × 103 | 6.83 × 102 | 1.70 × 102 | 7.61 × 101 | 5.62 × 103 | 5.38 × 101 | 4.18 × 101 |
| Std | 4.75 × 104 | 1.98 × 109 | 2.35 × 103 | 4.38 × 10−1 | 2.58 × 107 | 6.49 × 108 | 2.05 × 105 | 3.41 × 104 | 7.83 × 10−8 | 9.40 × 10−1 | |
| f16 | Mean | 9.10 × 10−1 | 7.53 × 101 | 8.93 × 101 | 1.32 × 102 | 1.38 × 102 | 7.68 × 101 | 3.62 × 102 | 4.81 × 102 | 6.40 × 101 | 1.11 × 102 |
| Std | 1.99 × 10−2 | 5.48 × 102 | 1.22 × 101 | 1.58 × 101 | 2.08 × 102 | 6.45 × 102 | 2.12 × 102 | 1.46 × 102 | 7.40 × 10−8 | 1.76 × 10−1 | |
| f17 | Mean | 1.88 × 101 | 4.73 × 101 | 7.12 × 101 | 4.61 × 101 | 4.60 × 101 | 4.21 × 101 | 1.14 × 102 | 1.32 × 102 | 4.48 × 101 | 5.02 × 101 |
| Std | 1.50 | 1.05 × 104 | 7.55 | 1.12 | 1.63 × 102 | 8.43 × 102 | 1.70 × 102 | 7.43 × 101 | 5.22 × 10−9 | 1.33 × 10−3 | |
| f18 | Mean | 2.82 × 103 | 1.12 × 104 | 2.22 × 104 | 1.17 × 104 | 1.73 × 104 | 1.39 × 104 | 1.24 × 102 | 8.39 × 106 | 8.42 × 101 | 2.56 × 102 |
| Std | 7.89 × 104 | 1.75 × 109 | 2.98 × 104 | 3.11 | 1.62 × 108 | 3.15 × 109 | 1.42 × 10−1 | 2.82 × 108 | 7.11 × 10−8 | 1.22 × 10−2 | |
| f19 | Mean | 8.71 × 101 | 2.76 × 103 | 1.25 × 103 | 5.81 × 103 | 4.92 × 103 | 1.40 × 102 | 2.36 × 101 | 4.52 × 103 | 1.98 × 101 | 2.46 × 101 |
| Std | 4.30 × 104 | 9.72 × 108 | 2.47 × 103 | 4.65 × 10−1 | 9.36 × 107 | 1.66 × 109 | 3.00 × 104 | 2.97 × 107 | 6.42 × 10−10 | 2.12 × 10−3 | |
| f20 | Mean | 1.39 × 101 | 1.94 × 101 | 3.87 × 101 | 3.77 × 101 | 7.36 × 101 | 6.04 × 101 | 2.96 × 102 | 2.06 × 102 | 4.56 × 101 | 7.54 × 101 |
| Std | 2.38 × 10−1 | 8.52 × 101 | 2.41 | 6.29 | 4.74 × 101 | 3.47 × 102 | 1.68 × 102 | 6.90 × 101 | 3.83 × 10−8 | 1.10 × 10−3 | |
| f21 | Mean | 1.55 × 102 | 2.10 × 102 | 2.15 × 102 | 2.16 × 102 | 1.99 × 102 | 2.12 × 102 | 2.35 × 102 | 2.40 × 102 | 2.10 × 102 | 1.57 × 102 |
| Std | 4.29 | 2.68 × 101 | 1.25 | 3.70 × 10−1 | 3.07 × 101 | 5.88 × 101 | 6.00 × 101 | 2.85 × 101 | 4.78 × 10−11 | 8.87 × 10−5 | |
| f22 | Mean | 1.00 × 102 | 1.32 × 102 | 1.18 × 102 | 1.03 × 102 | 1.14 × 102 | 1.11 × 102 | 1.43 × 102 | 1.09 × 103 | 1.08 × 102 | 1.02 × 102 |
| Std | 8.10 × 10−1 | 1.57 × 101 | 6.76 × 10−1 | 3.60 × 10−2 | 2.98 | 1.69 × 102 | 1.25 × 103 | 9.00 × 101 | 3.93 × 10−10 | 3.96 × 10−13 | |
| f23 | Mean | 3.01 × 102 | 3.23 × 102 | 3.36 × 102 | 3.22 × 102 | 3.24 × 102 | 3.25 × 102 | 4.13 × 102 | 4.45 × 102 | 3.23 × 102 | 3.20 × 102 |
| Std | 2.05 × 10−1 | 1.83 × 101 | 6.27 × 10−1 | 1.31 | 6.75 | 8.53 × 101 | 4.01 × 102 | 2.69 × 101 | 1.15 × 10−10 | 1.77 × 10−2 | |
| f24 | Mean | 3.15 × 102 | 3.38 × 102 | 3.67 × 102 | 3.38 × 102 | 3.21 × 102 | 3.34 × 102 | 2.82 × 102 | 4.39 × 102 | 3.35 × 102 | 3.42 × 102 |
| Std | 7.65 × 10−1 | 2.87 × 101 | 1.02 | 8.03 × 10−1 | 1.66 × 101 | 8.27 × 101 | 1.33 × 102 | 2.47 × 101 | 9.55 × 10−11 | 1.00 × 10−2 | |
| f25 | Mean | 4.32 × 102 | 4.39 × 102 | 4.50 × 102 | 4.29 × 102 | 4.30 × 102 | 4.33 × 102 | 4.35 × 102 | 1.08 × 103 | 4.34 × 102 | 4.25 × 102 |
| Std | 1.04 × 10−1 | 2.74 × 101 | 7.72 × 10−1 | 7.40 × 10−3 | 2.31 × 10−2 | 7.22 × 102 | 4.88 | 6.35 × 101 | 8.83 × 10−11 | 1.53 × 10−3 | |
| f26 | Mean | 3.00 × 102 | 5.16 × 102 | 5.45 × 102 | 3.59 × 102 | 3.66 × 102 | 2.98 × 102 | 6.95 × 102 | 1.50 × 103 | 5.34 × 102 | 3.51 × 102 |
| Std | 4.49 × 10−1 | 1.02 × 101 | 2.99 | 5.38 × 10−6 | 7.33 | 6.92 × 102 | 5.69 × 102 | 1.49 × 102 | 3.00 × 10−10 | 4.71 × 10−4 | |
| f27 | Mean | 3.95 × 102 | 4.08 × 102 | 4.14 × 102 | 3.96 × 102 | 4.16 × 102 | 4.01 × 102 | 5.04 × 102 | 4.81 × 102 | 4.07 × 102 | 3.75 × 102 |
| Std | 1.81 | 2.03 × 101 | 9.94 × 10−2 | 2.73 × 10−2 | 4.05 × 10−2 | 8.65 × 102 | 3.11 × 102 | 2.98 × 101 | 5.35 × 10−11 | 6.27 × 10−1 | |
| f28 | Mean | 3.00 × 102 | 5.71 × 102 | 5.21 × 102 | 5.13 × 102 | 5.12 × 102 | 5.04 × 102 | 5.85 × 102 | 9.46 × 102 | 5.09 × 102 | 4.02 × 102 |
| Std | 8.68 | 1.94 × 101 | 6.76 × 10−2 | 8.13 × 10−3 | 7.84 × 10−13 | 1.22 × 103 | 3.79 × 101 | 5.00 × 101 | 6.02 × 10−11 | 2.62 × 101 | |
| f29 | Mean | 2.52 × 102 | 2.88 × 102 | 3.13 × 102 | 3.08 × 102 | 2.87 × 102 | 2.92 × 102 | 3.83 × 102 | 5.27 × 102 | 2.75 × 102 | 2.83 × 102 |
| Std | 4.69 × 10−2 | 2.10 × 103 | 9.91 | 6.91 | 2.19 × 102 | 5.59 × 105 | 2.91 × 103 | 1.34 × 102 | 3.73 × 10−9 | 4.64 × 10−1 | |
| f30 | Mean | 1.00 × 105 | 4.68 × 105 | 5.62 × 105 | 5.39 × 105 | 2.97 × 105 | 4.01 × 105 | 6.26 × 104 | 8.06 × 106 | 3.53 × 105 | 2.13 × 103 |
| Std | 3.29 × 106 | 2.68 × 108 | 1.17 × 104 | 1.20 × 102 | 1.12 × 107 | 7.71 × 108 | 2.40 × 107 | 1.12 × 107 | 3.01 × 10−9 | 1.16 × 105 |
| Function | 30-D | MSTPSO | DQNPSO | APSO_SAC | EPSO | KGPSO | XPSO | MSORL | DRA | RFO | RLACA |
|---|---|---|---|---|---|---|---|---|---|---|---|
| f1 | Mean | 1.42 × 103 | 7.01 × 109 | 6.54 × 109 | 3.80 × 103 | 1.06 × 109 | 1.34 × 109 | 1.33 × 1010 | 6.40 × 1010 | 2.69 × 1010 | 1.66 × 10−2 |
| Std | 1.42 × 10−1 | 1.47 × 108 | 2.19 × 103 | 4.46 × 10−3 | 4.79 × 103 | 6.91 × 109 | 6.85 × 10−3 | 4.06 × 107 | 4.71 × 10−2 | 8.71 × 10−8 | |
| f3 | Mean | 1.58 × 103 | 6.79 × 103 | 4.57 × 104 | 5.59 × 103 | 6.64 × 102 | 8.48 × 103 | 3.03 × 104 | 8.50 × 104 | 6.48 × 104 | 0 |
| Std | 3.19 × 107 | 6.95 × 1013 | 2.89 × 103 | 6.29 | 5.16 × 10−4 | 2.05 × 1013 | 2.80 × 10−7 | 5.61 × 103 | 9.33 × 10−7 | 7.15 × 10−14 | |
| f4 | Mean | 8.66 × 101 | 1.06 × 103 | 7.13 × 102 | 7.89 × 101 | 1.72 × 102 | 2.59 × 102 | 2.25 × 103 | 1.63 × 104 | 4.18 × 103 | 5.02 × 101 |
| Std | 2.46 × 102 | 5.39 × 101 | 1.13 | 2.34 × 10−3 | 6.55 | 3.01 × 104 | 1.51 × 10−7 | 7.43 × 101 | 1.07 × 10−8 | 6.33 × 10−1 | |
| f5 | Mean | 1.23 × 101 | 1.22 × 102 | 1.66 × 102 | 1.47 × 102 | 4.67 × 101 | 1.87 × 102 | 2.43 × 102 | 4.49 × 102 | 2.55 × 102 | 1.11 × 102 |
| Std | 6.84 × 10−1 | 2.76 | 2.82 | 1.05 | 6.62 × 101 | 5.66 × 101 | 5.68 × 101 | 1.13 × 101 | 1.43 × 10−9 | 1.02 × 10−4 | |
| f6 | Mean | 1.88 × 10−3 | 1.18 × 101 | 1.68 × 101 | 2.63 × 101 | 1.01 | 1.60 × 101 | 5.69 × 101 | 9.21 × 101 | 4.86 × 101 | 8.75 |
| Std | 1.12 × 10−6 | 4.69 × 10−1 | 1.09 × 10−1 | 1.78 × 10−4 | 1.46 × 10−8 | 9.76 | 2.24 × 101 | 3.60 | 5.00 × 10−10 | 7.64 × 10−8 | |
| f7 | Mean | 3.89 × 101 | 2.18 × 102 | 2.32 × 102 | 2.35 × 102 | 1.02 × 102 | 3.10 × 102 | 3.17 × 102 | 7.85 × 102 | 5.63 × 102 | 1.29 × 102 |
| Std | 6.04 | 3.46 | 1.47 × 101 | 2.12 | 8.00 × 101 | 9.00 × 101 | 2.13 × 10−1 | 1.19 × 101 | 5.94 × 10−9 | 1.48 × 10−13 | |
| f8 | Mean | 1.14 × 101 | 1.21 × 102 | 1.38 × 102 | 1.25 × 102 | 4.01 × 101 | 1.83 × 102 | 1.77 × 102 | 3.65 × 102 | 2.17 × 102 | 1.08 × 102 |
| Std | 3.75 | 2.02 | 3.68 | 1.83 | 6.54 × 101 | 5.13 × 101 | 5.92 × 101 | 7.89 | 1.35 × 10−9 | 3.60 × 10−3 | |
| f9 | Mean | 6.91 × 10−2 | 1.64 × 103 | 2.16 × 103 | 2.98 × 103 | 6.47 × 101 | 6.70 × 102 | 2.65 × 103 | 1.04 × 104 | 4.14 × 103 | 2.23 × 102 |
| Std | 4.64 × 10−6 | 3.32 × 103 | 5.82 × 102 | 3.70 × 101 | 5.22 × 101 | 2.07 × 103 | 1.28 × 103 | 1.31 × 103 | 1.84 × 10−7 | 1.52 × 10−2 | |
| f10 | Mean | 1.77 × 103 | 3.22 × 103 | 3.69 × 103 | 3.63 × 103 | 2.30 × 103 | 6.67 × 103 | 6.78 × 103 | 8.25 × 103 | 5.08 × 103 | 3.37 × 103 |
| Std | 1.20 | 1.09 × 103 | 7.65 × 102 | 4.72 | 1.74 × 103 | 1.10 × 103 | 8.34 × 102 | 2.07 × 102 | 3.76 × 10−8 | 1.81 × 101 | |
| f11 | Mean | 2.77 × 101 | 3.80 × 102 | 7.50 × 102 | 1.21 × 102 | 9.27 × 101 | 3.62 × 102 | 6.48 × 102 | 7.86 × 103 | 1.36 × 103 | 1.25 × 102 |
| Std | 1.91 × 101 | 4.42 × 104 | 1.01 | 6.75 × 10−5 | 3.23 | 1.29 × 108 | 1.15 × 10−5 | 1.05 × 104 | 1.73 × 10−8 | 1.76 × 10−1 | |
| f12 | Mean | 2.33 × 104 | 3.50 × 108 | 2.70 × 108 | 1.52 × 105 | 6.60 × 107 | 1.11 × 108 | 9.22 × 108 | 1.63 × 1010 | 9.87 × 108 | 1.55 × 105 |
| Std | 1.02 × 105 | 4.09 × 107 | 1.02 × 106 | 4.16 × 101 | 5.21 × 106 | 2.57 × 109 | 2.15 × 10−3 | 6.72 × 107 | 5.46 × 10−3 | 1.02 × 104 | |
| f13 | Mean | 5.45 × 103 | 1.64 × 108 | 5.68 × 108 | 1.19 × 104 | 4.71 × 107 | 1.21 × 107 | 2.75 × 107 | 9.49 × 109 | 1.63 × 105 | 1.39 × 104 |
| Std | 1.37 × 101 | 1.67 × 108 | 4.36 × 101 | 2.97 × 10−1 | 3.08 × 101 | 6.75 × 109 | 7.35 × 10−1 | 3.74 × 108 | 2.30 × 10−5 | 2.99 × 10−1 | |
| f14 | Mean | 2.60 × 103 | 2.65 × 104 | 6.00 × 104 | 1.16 × 104 | 9.28 × 103 | 2.73 × 104 | 3.21 × 103 | 3.80 × 106 | 3.11 × 102 | 3.11 × 102 |
| Std | 2.31 | 3.29 × 108 | 4.91 × 104 | 5.56 × 10−1 | 6.88 × 106 | 4.60 × 108 | 3.19 × 10−8 | 5.38 × 106 | 6.18 × 10−8 | 7.95 × 10−2 | |
| f15 | Mean | 3.15 × 103 | 6.16 × 104 | 6.42 × 104 | 2.35 × 103 | 6.17 × 103 | 5.24 × 105 | 1.31 × 104 | 1.02 × 109 | 1.91 × 104 | 3.43 × 103 |
| Std | 8.83 | 8.60 × 107 | 2.92 × 104 | 2.42 × 10−3 | 6.41 × 105 | 2.56 × 109 | 4.04 × 10−7 | 3.43 × 107 | 5.06 × 10−6 | 1.08 × 10−2 | |
| f16 | Mean | 2.12 × 102 | 8.88 × 102 | 1.34 × 103 | 1.14 × 103 | 6.14 × 102 | 1.39 × 103 | 1.86 × 103 | 4.43 × 103 | 1.24 × 103 | 9.41 × 102 |
| Std | 1.95 × 101 | 4.61 × 102 | 1.09 × 101 | 1.86 × 101 | 3.70 × 102 | 2.89 × 103 | 4.03 × 102 | 3.81 × 102 | 8.63 × 10−9 | 1.45 | |
| f17 | Mean | 3.05 × 101 | 4.64 × 102 | 7.04 × 102 | 4.14 × 102 | 2.65 × 102 | 3.18 × 102 | 8.90 × 102 | 3.64 × 103 | 4.95 × 102 | 4.69 × 102 |
| Std | 1.14 × 10−2 | 9.03 × 103 | 2.00 × 101 | 4.40 × 101 | 1.93 × 102 | 3.27 × 104 | 2.31 × 102 | 3.34 × 102 | 3.99 × 10−9 | 2.13 | |
| f18 | Mean | 8.13 × 104 | 2.42 × 105 | 1.57 × 106 | 1.26 × 105 | 2.35 × 105 | 8.33 × 105 | 1.35 × 105 | 3.51 × 107 | 4.53 × 104 | 2.38 × 104 |
| Std | 4.28 × 101 | 1.02 × 109 | 2.89 × 105 | 5.50 | 9.20 × 107 | 1.98 × 109 | 4.79 × 10−7 | 2.79 × 107 | 3.24 × 10−6 | 1.85 × 104 | |
| f19 | Mean | 5.31 × 103 | 1.94 × 106 | 6.53 × 107 | 4.85 × 103 | 9.62 × 103 | 1.02 × 106 | 3.11 × 105 | 9.23 × 108 | 2.28 × 105 | 1.23 × 103 |
| Std | 5.07 × 10−2 | 9.31 × 106 | 2.82 × 102 | 5.34 × 10−4 | 8.94 × 105 | 1.48 × 109 | 5.08 × 101 | 3.37 × 107 | 1.70 × 10−5 | 2.96 × 10−2 | |
| f20 | Mean | 1.38 × 102 | 3.00 × 102 | 4.91 × 102 | 4.02 × 102 | 2.32 × 102 | 4.01 × 102 | 7.35 × 102 | 1.03 × 103 | 4.18 × 102 | 5.16 × 102 |
| Std | 2.78 × 10−2 | 2.35 × 102 | 3.69 × 101 | 1.84 × 101 | 1.62 × 102 | 5.72 × 102 | 3.99 × 102 | 1.32 × 102 | 5.76 × 10−9 | 1.36 | |
| f21 | Mean | 2.12 × 102 | 3.27 × 102 | 3.55 × 102 | 3.16 × 102 | 2.58 × 102 | 3.78 × 102 | 4.52 × 102 | 6.69 × 102 | 4.48 × 102 | 3.11 × 102 |
| Std | 5.96 × 10−1 | 1.03 | 4.33 | 2.75 | 6.82 × 101 | 6.36 × 101 | 7.99 × 101 | 1.50 × 101 | 1.32 × 10−9 | 1.85 × 10−2 | |
| f22 | Mean | 1.00 × 102 | 2.55 × 103 | 3.76 × 103 | 3.57 × 102 | 8.81 × 102 | 6.13 × 102 | 3.45 × 103 | 7.71 × 103 | 4.58 × 103 | 1.47 × 103 |
| Std | 1.34 × 10−3 | 6.98 × 102 | 3.59 × 102 | 1.02 × 10−8 | 7.62 × 101 | 1.03 × 103 | 2.82 × 103 | 1.40 × 102 | 2.64 × 10−8 | 8.03 | |
| f23 | Mean | 3.48 × 102 | 5.86 × 102 | 6.79 × 102 | 4.93 × 102 | 5.69 × 102 | 5.43 × 102 | 9.94 × 102 | 1.27 × 103 | 7.15 × 102 | 5.29 × 102 |
| Std | 2.82 | 6.21 × 10−1 | 2.24 | 2.23 | 6.94 | 2.84 × 102 | 6.45 × 102 | 5.20 × 101 | 1.41 × 10−9 | 1.28 × 10−1 | |
| f24 | Mean | 4.23 × 102 | 7.15 × 102 | 7.31 × 102 | 5.60 × 102 | 6.58 × 102 | 6.05 × 102 | 9.45 × 102 | 1.40 × 103 | 7.64 × 102 | 6.23 × 102 |
| Std | 1.33 | 1.49 × 101 | 6.48 | 3.68 | 2.17 × 101 | 2.14 × 102 | 2.35 × 101 | 3.12 × 101 | 1.20 × 10−9 | 6.97 × 10−2 | |
| f25 | Mean | 3.88 × 102 | 6.64 × 102 | 6.70 × 102 | 3.98 × 102 | 3.99 × 102 | 4.95 × 102 | 8.71 × 102 | 3.04 × 103 | 1.49 × 103 | 3.80 × 102 |
| Std | 8.40 | 3.67 × 101 | 8.41 × 10−1 | 4.81 × 10−13 | 5.13 × 10−13 | 2.24 × 103 | 9.03 × 10−13 | 2.14 × 101 | 2.98 × 10−9 | 9.24 × 10−2 | |
| f26 | Mean | 9.17 × 102 | 3.47 × 103 | 3.47 × 103 | 2.14 × 103 | 1.65 × 103 | 2.13 × 103 | 5.25 × 103 | 9.73 × 103 | 5.13 × 103 | 1.87 × 103 |
| Std | 1.00 × 10−2 | 2.80 × 101 | 1.44 × 101 | 1.10 × 101 | 7.20 × 101 | 2.39 × 103 | 9.83 × 101 | 7.23 × 101 | 1.42 × 10−8 | 6.39 × 10−1 | |
| f27 | Mean | 5.17 × 102 | 6.04 × 102 | 6.04 × 102 | 5.30 × 102 | 5.88 × 102 | 5.64 × 102 | 1.09 × 103 | 1.71 × 103 | 6.55 × 102 | 5.00 × 102 |
| Std | 6.22 | 5.28 × 10−1 | 3.68 × 10−1 | 4.83 × 10−5 | 1.81 × 10−1 | 1.49 × 103 | 4.55 × 102 | 7.85 × 101 | 5.51 × 10−10 | 9.05 × 101 | |
| f28 | Mean | 3.57 × 102 | 1.19 × 103 | 1.05 × 103 | 4.01 × 102 | 4.97 × 102 | 5.74 × 102 | 1.35 × 103 | 5.23 × 103 | 2.03 × 103 | 3.66 × 102 |
| Std | 2.84 × 101 | 5.91 × 10−4 | 4.59 × 10−1 | 2.24 × 10−3 | 1.70 × 101 | 5.63 × 103 | 4.56 × 10−12 | 7.74 | 2.88 × 10−9 | 1.58 × 10−1 | |
| f29 | Mean | 4.43 × 102 | 1.04 × 103 | 1.16 × 103 | 8.33 × 102 | 6.55 × 102 | 1.07 × 103 | 2.32 × 103 | 6.62 × 103 | 1.40 × 103 | 7.72 × 102 |
| Std | 2.54 × 10−1 | 3.62 × 104 | 6.94 | 3.86 × 101 | 1.20 × 102 | 6.77 × 105 | 1.37 × 102 | 4.12 × 102 | 5.56 × 10−9 | 2.41 × 101 | |
| f30 | Mean | 4.16 × 103 | 4.87 × 106 | 1.85 × 106 | 4.96 × 103 | 9.40 × 104 | 4.27 × 106 | 1.32 × 107 | 1.81 × 109 | 2.16 × 106 | 1.17 × 104 |
| Std | 1.58 × 103 | 1.19 × 106 | 3.77 × 103 | 3.21 × 10−2 | 1.67 × 105 | 9.84 × 108 | 8.78 | 6.46 × 107 | 4.54 × 10−5 | 2.85 × 105 |
| Function | 50-D | MSTPSO | DQNPSO | APSO_SAC | EPSO | KGPSO | XPSO | MSORL | DRA | RFO | RLACA |
|---|---|---|---|---|---|---|---|---|---|---|---|
| f1 | Mean | 1.97 × 103 | 3.59 × 1010 | 2.14 × 1010 | 1.62 × 103 | 3.64 × 109 | 6.26 × 109 | 4.81 × 1010 | 1.21 × 1011 | 8.59 × 1010 | 3.43 × 103 |
| Std | 2.27 × 10−3 | 2.97 × 108 | 1.75 × 106 | 1.02 × 10−4 | 4.95 × 101 | 1.04 × 1010 | 8.56 × 10−3 | 4.19 × 106 | 8.60 × 10−2 | 4.35 × 10−5 | |
| f3 | Mean | 1.60 × 104 | 3.14 × 104 | 1.35 × 105 | 3.25 × 104 | 3.69 × 103 | 2.47 × 104 | 9.15 × 104 | 1.81 × 105 | 1.67 × 105 | 0 |
| Std | 1.11 × 103 | 7.63 × 1014 | 8.05 × 103 | 8.24 | 2.00 × 107 | 6.11 × 1014 | 1.09 × 105 | 2.06 × 105 | 2.27 × 10−6 | 7.01 × 10−13 | |
| f4 | Mean | 1.84 × 102 | 4.37 × 103 | 2.85 × 103 | 1.16 × 102 | 3.56 × 102 | 7.01 × 102 | 9.18 × 103 | 4.37 × 104 | 1.78 × 104 | 8.65 × 101 |
| Std | 1.59 × 102 | 1.54 × 102 | 2.56 | 7.57 × 10−4 | 2.19 × 101 | 1.59 × 104 | 2.86 × 10−10 | 6.56 | 2.77 × 10−8 | 8.86 × 10−1 | |
| f5 | Mean | 2.45 × 101 | 2.77 × 102 | 3.40 × 102 | 2.70 × 102 | 8.98 × 101 | 3.91 × 102 | 4.55 × 102 | 7.29 × 102 | 5.39 × 102 | 2.48 × 102 |
| Std | 1.06 × 10−2 | 1.93 × 10−1 | 2.86 | 4.56 × 10−3 | 6.03 × 101 | 6.10 × 101 | 5.65 × 101 | 4.13 | 2.17 × 10−9 | 4.24 × 10−9 | |
| f6 | Mean | 3.77 × 10−2 | 3.09 × 101 | 3.52 × 101 | 4.04 × 101 | 1.88 | 2.43 × 101 | 7.02 × 101 | 1.05 × 102 | 6.90 × 101 | 2.11 × 101 |
| Std | 6.42 × 10−2 | 1.11 × 10−1 | 2.71 × 10−1 | 8.75 × 10−5 | 3.08 × 10−8 | 8.04 | 1.83 × 101 | 2.87 | 5.57 × 10−10 | 1.23 × 10−7 | |
| f7 | Mean | 6.70 × 101 | 8.42 × 102 | 7.46 × 102 | 5.36 × 102 | 1.48 × 102 | 6.55 × 102 | 8.06 × 102 | 1.44 × 103 | 1.32 × 103 | 3.25 × 102 |
| Std | 7.84 | 2.56 × 101 | 5.71 | 4.52 | 1.06 × 102 | 1.31 × 102 | 2.98 × 10−10 | 8.97 | 8.97 × 10−9 | 1.77 × 10−13 | |
| f8 | Mean | 2.65 × 101 | 2.90 × 102 | 3.57 × 102 | 2.78 × 102 | 9.09 × 101 | 3.87 × 102 | 4.71 × 102 | 7.48 × 102 | 5.57 × 102 | 2.41 × 102 |
| Std | 1.32 × 10−1 | 3.35 × 10−1 | 1.25 | 1.43 | 6.28 × 101 | 6.35 × 101 | 5.53 × 101 | 8.06 | 2.14 × 10−9 | 1.14 × 10−2 | |
| f9 | Mean | 7.86 × 10−1 | 7.51 × 103 | 1.20 × 104 | 9.69 × 103 | 8.36 × 102 | 2.74 × 103 | 1.42 × 104 | 3.78 × 104 | 2.07 × 104 | 2.19 × 103 |
| Std | 7.19 × 10−10 | 8.59 × 103 | 7.00 × 103 | 3.03 × 101 | 7.03 × 102 | 7.86 × 103 | 4.15 × 103 | 2.41 × 103 | 9.71 × 10−7 | 7.20 × 10−2 | |
| f10 | Mean | 3.35 × 103 | 6.33 × 103 | 7.09 × 103 | 6.85 × 103 | 4.32 × 103 | 1.25 × 104 | 1.20 × 104 | 1.41 × 104 | 1.06 × 104 | 6.55 × 103 |
| Std | 1.00 | 1.51 × 103 | 1.28 × 103 | 1.22 × 102 | 2.25 × 103 | 1.42 × 103 | 1.46 × 103 | 2.69 × 102 | 5.34 × 10−8 | 4.04 × 101 | |
| f11 | Mean | 6.72 × 101 | 8.17 × 102 | 1.83 × 103 | 2.03 × 102 | 2.01 × 102 | 9.85 × 102 | 4.49 × 103 | 2.62 × 104 | 1.16 × 104 | 2.75 × 102 |
| Std | 1.07 × 102 | 1.91 × 108 | 7.83 × 101 | 2.98 × 10−5 | 1.52 | 2.29 × 109 | 3.38 × 10−10 | 4.86 × 102 | 1.10 × 10−7 | 5.25 × 10−2 | |
| f12 | Mean | 1.82 × 105 | 6.56 × 109 | 8.12 × 109 | 9.43 × 105 | 2.46 × 109 | 1.22 × 109 | 1.41 × 1010 | 1.01 × 1011 | 2.40 × 1010 | 2.21 × 106 |
| Std | 4.44 × 105 | 9.40 × 107 | 2.34 × 107 | 5.74 × 101 | 5.54 × 107 | 1.19 × 1010 | 5.73 × 10−3 | 6.81 × 107 | 4.94 × 10−2 | 3.08 × 103 | |
| f13 | Mean | 2.24 × 103 | 1.77 × 109 | 2.00 × 109 | 4.13 × 103 | 7.36 × 108 | 1.95 × 108 | 2.55 × 109 | 6.29 × 1010 | 2.75 × 109 | 1.74 × 104 |
| Std | 1.78 × 102 | 1.43 × 108 | 3.06 × 107 | 8.48 × 10−2 | 2.34 | 9.68 × 109 | 2.59 | 1.58 × 108 | 1.65 × 10−2 | 2.97 × 10−1 | |
| f14 | Mean | 1.68 × 104 | 2.42 × 105 | 1.60 × 106 | 4.24 × 104 | 2.01 × 105 | 4.01 × 105 | 1.04 × 106 | 9.07 × 107 | 5.39 × 104 | 3.68 × 103 |
| Std | 1.19 × 106 | 2.17 × 108 | 2.04 × 105 | 1.91 | 8.98 × 106 | 8.12 × 108 | 2.73 × 10−7 | 7.65 × 106 | 2.47 × 10−6 | 1.62 × 101 | |
| f15 | Mean | 1.06 × 103 | 7.50 × 107 | 1.25 × 108 | 8.53 × 103 | 1.41 × 106 | 2.15 × 107 | 5.53 × 107 | 1.25 × 1010 | 7.00 × 105 | 9.03 × 103 |
| Std | 9.52 × 101 | 1.68 × 108 | 1.05 × 101 | 8.85 × 10−5 | 1.61 × 101 | 2.87 × 109 | 3.72 × 10−4 | 1.14 × 107 | 9.66 × 10−5 | 7.55 × 10−2 | |
| f16 | Mean | 5.49 × 102 | 2.02 × 103 | 2.26 × 103 | 1.92 × 103 | 1.05 × 103 | 2.74 × 103 | 3.83 × 103 | 9.23 × 103 | 3.14 × 103 | 1.74 × 103 |
| Std | 2.96 | 2.36 × 102 | 6.42 × 101 | 4.72 × 101 | 2.28 × 102 | 1.99 × 103 | 4.46 × 102 | 1.98 × 102 | 1.60 × 10−8 | 2.33 | |
| f17 | Mean | 3.02 × 102 | 1.73 × 103 | 2.10 × 103 | 1.49 × 103 | 8.10 × 102 | 1.99 × 103 | 2.00 × 103 | 2.45 × 104 | 1.81 × 103 | 1.28 × 103 |
| Std | 5.47 × 10−7 | 4.15 × 106 | 4.11 × 101 | 3.89 × 101 | 6.12 × 102 | 7.09 × 104 | 1.91 × 102 | 1.43 × 102 | 1.14 × 10−8 | 8.05 × 10−1 | |
| f18 | Mean | 7.53 × 104 | 1.97 × 106 | 5.41 × 106 | 2.00 × 105 | 8.94 × 105 | 3.65 × 106 | 6.00 × 106 | 2.78 × 108 | 4.55 × 105 | 7.15 × 104 |
| Std | 3.60 × 104 | 8.49 × 108 | 9.47 × 105 | 2.32 × 101 | 4.09 × 107 | 2.27 × 109 | 2.87 × 10−4 | 7.53 × 106 | 1.01 × 10−5 | 3.60 × 102 | |
| f19 | Mean | 8.05 × 103 | 1.09 × 107 | 5.09 × 107 | 1.62 × 104 | 1.53 × 105 | 1.15 × 107 | 9.31 × 106 | 4.97 × 109 | 2.09 × 107 | 5.33 × 103 |
| Std | 2.66 × 10−2 | 1.32 × 107 | 1.56 × 101 | 1.59 × 10−3 | 8.18 × 10−1 | 1.06 × 109 | 3.00 × 10−2 | 1.66 × 107 | 3.91 × 10−4 | 3.49 × 10−2 | |
| f20 | Mean | 1.34 × 102 | 1.02 × 103 | 1.25 × 103 | 1.04 × 103 | 4.18 × 102 | 1.38 × 103 | 1.34 × 103 | 2.53 × 103 | 1.08 × 103 | 1.12 × 103 |
| Std | 7.74 × 10−5 | 6.70 × 102 | 2.26 × 102 | 6.07 × 101 | 7.06 × 102 | 6.61 × 102 | 6.27 × 102 | 1.11 × 102 | 8.26 × 10−9 | 1.15 | |
| f21 | Mean | 2.26 × 102 | 5.24 × 102 | 5.59 × 102 | 4.21 × 102 | 3.33 × 102 | 5.78 × 102 | 7.81 × 102 | 1.19 × 103 | 7.91 × 102 | 4.43 × 102 |
| Std | 8.27 × 10−5 | 4.40 × 10−1 | 8.11 | 5.03 | 4.83 × 101 | 6.63 × 101 | 1.70 × 102 | 1.76 × 101 | 2.03 × 10−9 | 3.17 × 10−2 | |
| f22 | Mean | 1.70 × 102 | 6.63 × 103 | 7.60 × 103 | 7.92 × 103 | 3.84 × 103 | 9.63 × 103 | 1.30 × 104 | 1.50 × 104 | 1.07 × 104 | 6.48 × 103 |
| Std | 2.13 × 10−3 | 1.33 × 103 | 1.03 × 103 | 6.09 × 101 | 1.27 × 103 | 1.58 × 103 | 1.34 × 103 | 2.86 × 102 | 4.87 × 10−8 | 2.37 × 101 | |
| f23 | Mean | 4.39 × 102 | 1.08 × 103 | 1.13 × 103 | 7.24 × 102 | 9.82 × 102 | 8.31 × 102 | 1.81 × 103 | 2.40 × 103 | 1.36 × 103 | 8.00 × 102 |
| Std | 1.46 × 10−2 | 1.55 | 9.60 × 10−1 | 5.31 | 5.33 | 4.34 × 102 | 8.50 × 102 | 5.80 × 101 | 2.43 × 10−9 | 1.79 × 10−1 | |
| f24 | Mean | 5.02 × 102 | 1.20 × 103 | 1.17 × 103 | 8.01 × 102 | 1.06 × 103 | 8.87 × 102 | 1.68 × 103 | 2.41 × 103 | 1.39 × 103 | 9.54 × 102 |
| Std | 5.71 × 10−10 | 4.97 | 2.72 | 3.31 | 3.88 × 101 | 3.72 × 102 | 1.71 × 101 | 3.55 × 101 | 1.73 × 10−9 | 1.89 × 10−1 | |
| f25 | Mean | 5.65 × 102 | 3.11 × 103 | 1.79 × 103 | 5.71 × 102 | 5.74 × 102 | 1.02 × 103 | 5.28 × 103 | 1.45 × 104 | 9.42 × 103 | 4.65 × 102 |
| Std | 1.47 × 102 | 4.30 × 101 | 2.46 | 2.81 × 10−4 | 1.52 × 101 | 5.20 × 103 | 9.92 × 10−11 | 3.16 | 1.33 × 10−8 | 8.57 × 10−1 | |
| f26 | Mean | 1.24 × 103 | 7.65 × 103 | 7.98 × 103 | 3.76 × 103 | 2.62 × 103 | 3.79 × 103 | 1.08 × 104 | 1.55 × 104 | 1.23 × 104 | 2.97 × 103 |
| Std | 4.43 × 10−4 | 3.85 × 101 | 2.06 × 101 | 2.91 × 101 | 1.10 × 102 | 3.43 × 103 | 2.91 | 1.38 × 101 | 2.03 × 10−8 | 1.39 × 10−1 | |
| f27 | Mean | 5.68 × 102 | 1.23 × 103 | 1.13 × 103 | 7.79 × 102 | 1.01 × 103 | 7.86 × 102 | 3.33 × 103 | 4.11 × 103 | 1.47 × 103 | 5.00 × 102 |
| Std | 2.07 × 101 | 3.63 | 1.07 | 5.06 × 10−5 | 2.86 × 10−1 | 4.92 × 103 | 9.51 × 102 | 1.16 × 102 | 1.49 × 10−9 | 1.44 × 102 | |
| f28 | Mean | 4.70 × 102 | 5.80 × 103 | 4.40 × 103 | 5.14 × 102 | 9.21 × 102 | 7.81 × 102 | 4.74 × 103 | 1.24 × 104 | 7.32 × 103 | 4.96 × 102 |
| Std | 1.16 × 102 | 9.28 | 9.75 × 10−1 | 7.34 × 10−4 | 1.30 × 101 | 4.41 × 103 | 4.42 × 10−11 | 5.36 | 7.14 × 10−9 | 1.19 × 102 | |
| f29 | Mean | 4.70 × 102 | 2.51 × 103 | 2.61 × 103 | 1.47 × 103 | 1.03 × 103 | 2.34 × 103 | 5.75 × 103 | 1.83 × 105 | 4.63 × 103 | 1.24 × 103 |
| Std | 5.87 | 1.14 × 104 | 5.47 | 2.10 × 101 | 1.77 × 101 | 1.16 × 107 | 1.34 × 101 | 4.28 × 103 | 1.48 × 10−8 | 1.88 × 101 | |
| f30 | Mean | 1.22 × 106 | 1.14 × 108 | 3.55 × 107 | 1.11 × 106 | 4.66 × 106 | 1.50 × 108 | 3.46 × 108 | 9.48 × 109 | 2.21 × 108 | 8.17 × 104 |
| Std | 1.45 × 105 | 4.47 × 106 | 1.31 × 105 | 2.33 | 2.20 × 106 | 5.37 × 109 | 7.35 × 102 | 3.78 × 107 | 1.59 × 10−3 | 1.32 × 106 |
| 100-D | MSTPSO | DQNPSO | APSO_SAC | EPSO | KGPSO | XPSO | MSORL | DRA | RFO | RLACA | |
|---|---|---|---|---|---|---|---|---|---|---|---|
| f1 | Mean | 4.16 × 103 | 1.77 × 1011 | 9.16 × 1010 | 5.48 × 103 | 1.38 × 1010 | 6.26 × 109 | 4.81 × 1010 | 2.81 × 1011 | 2.47 × 1011 | 1.72 × 104 |
| Std | 2.54 × 10−3 | 6.49 × 108 | 7.57 × 107 | 3.23 × 10−2 | 4.06 × 107 | 1.04 × 1010 | 8.56 × 10−3 | 6.35 × 105 | 1.55 × 10−1 | 5.74 × 10−3 | |
| f3 | Mean | 1.40 × 105 | 1.93 × 105 | 6.58 × 105 | 1.61 × 105 | 3.18 × 104 | 2.47 × 104 | 9.15 × 104 | 3.47 × 105 | 4.17 × 105 | 2.56 × 10−1 |
| Std | 6.65 × 1011 | 2.66 × 1016 | 4.44 × 104 | 1.52 × 101 | 1.42 × 1012 | 6.11 × 1014 | 1.09 × 105 | 3.04 × 105 | 5.09 × 10−6 | 3.69 × 10−6 | |
| f4 | Mean | 2.97 × 102 | 3.15 × 104 | 1.35 × 104 | 2.71 × 102 | 1.47 × 103 | 7.01 × 102 | 9.18 × 103 | 1.24 × 105 | 7.04 × 104 | 2.37 × 102 |
| Std | 1.84 × 102 | 3.06 × 101 | 1.72 × 101 | 1.10 × 10−3 | 9.07 | 1.59 × 104 | 2.86 × 10−10 | 4.50 | 8.30 × 10−8 | 6.23 × 10−1 | |
| f5 | Mean | 6.77 × 101 | 9.76 × 102 | 9.62 × 102 | 7.09 × 102 | 2.48 × 102 | 3.91 × 102 | 4.55 × 102 | 1.67 × 103 | 1.44 × 103 | 6.66 × 102 |
| Std | 1.56 × 10−5 | 1.58 | 7.19 | 1.81 | 5.39 × 101 | 6.10 × 101 | 5.65 × 101 | 4.10 | 3.16 × 10−9 | 8.89 × 10−10 | |
| f6 | Mean | 3.53 × 10−1 | 6.06 × 101 | 5.87 × 101 | 5.08 × 101 | 3.84 | 2.43 × 101 | 7.02 × 101 | 1.16 × 102 | 9.22 × 101 | 4.43 × 101 |
| Std | 3.32 × 10−9 | 1.53 × 10−2 | 3.43 × 10−1 | 8.74 × 10−5 | 8.16 × 10−9 | 8.04 | 1.83 × 101 | 7.65 × 10−1 | 4.52 × 10−10 | 6.09 × 10−6 | |
| f7 | Mean | 1.53 × 102 | 3.93 × 103 | 3.18 × 103 | 1.64 × 103 | 3.22 × 102 | 6.55 × 102 | 8.06 × 102 | 3.43 × 103 | 3.73 × 103 | 1.13 × 103 |
| Std | 1.64 × 10−12 | 5.63 | 2.26 × 101 | 1.68 | 1.07 × 102 | 1.31 × 102 | 2.98 × 10−10 | 9.42 | 1.28 × 10−8 | 4.44 × 10−13 | |
| f8 | Mean | 6.95 × 101 | 1.03 × 103 | 1.05 × 103 | 7.16 × 102 | 2.90 × 102 | 3.87 × 102 | 4.71 × 102 | 1.87 × 103 | 1.57 × 103 | 7.08 × 102 |
| Std | 8.81 × 10−13 | 2.59 | 1.90 | 1.13 × 101 | 4.10 × 101 | 6.35 × 101 | 5.53 × 101 | 4.53 | 3.17 × 10−9 | 9.84 × 10−10 | |
| f9 | Mean | 1.44 × 101 | 2.41 × 104 | 4.35 × 104 | 2.21 × 104 | 4.62 × 103 | 2.74 × 103 | 1.42 × 104 | 8.38 × 104 | 5.88 × 104 | 1.25 × 104 |
| Std | 1.77 × 10−10 | 2.64 × 104 | 1.87 × 104 | 1.23 × 102 | 2.36 × 103 | 7.86 × 103 | 4.15 × 103 | 2.29 × 103 | 2.08 × 10−6 | 9.58 × 10−8 | |
| f10 | Mean | 8.51 × 103 | 1.50 × 104 | 1.58 × 104 | 1.60 × 104 | 1.13 × 104 | 1.25 × 104 | 1.20 × 104 | 3.25 × 104 | 2.59 × 104 | 1.50 × 104 |
| Std | 1.59 × 10−6 | 1.78 × 103 | 2.51 × 103 | 8.29 × 101 | 4.59 × 103 | 1.42 × 103 | 1.46 × 103 | 2.18 × 102 | 7.82 × 10−8 | 1.17 × 101 | |
| f11 | Mean | 5.18 × 102 | 1.40 × 104 | 8.85 × 104 | 1.50 × 103 | 3.44 × 103 | 9.85 × 102 | 4.49 × 103 | 2.32 × 105 | 1.66 × 105 | 1.40 × 103 |
| Std | 2.16 × 102 | 2.98 × 109 | 9.38 × 103 | 1.81 × 10−1 | 9.98 × 10−1 | 2.29 × 109 | 3.38 × 10−10 | 4.89 × 105 | 8.76 × 10−7 | 6.83 × 10−3 | |
| f12 | Mean | 5.38 × 105 | 4.56 × 1010 | 2.74 × 1010 | 1.98 × 106 | 8.21 × 109 | 1.22 × 109 | 1.41 × 1010 | 2.22 × 1011 | 1.24 × 1011 | 1.42 × 107 |
| Std | 5.78 × 106 | 2.63 × 108 | 2.55 × 107 | 1.21 × 102 | 1.82 × 108 | 1.19 × 1010 | 5.73 × 10−3 | 2.92 × 106 | 1.27 × 10−1 | 2.54 × 104 | |
| f13 | Mean | 1.67 × 103 | 4.80 × 109 | 4.70 × 109 | 6.25 × 103 | 1.14 × 109 | 1.95 × 108 | 2.55 × 109 | 5.36 × 1010 | 2.43 × 1010 | 1.43 × 104 |
| Std | 4.41 × 101 | 1.62 × 108 | 3.81 × 106 | 1.43 × 10−3 | 1.61 × 108 | 9.68 × 109 | 2.59 | 1.86 × 106 | 3.66 × 10−2 | 1.78 × 10−4 | |
| f14 | Mean | 5.39 × 104 | 1.20 × 107 | 9.72 × 106 | 2.45 × 105 | 4.92 × 105 | 4.01 × 105 | 1.04 × 106 | 1.39 × 108 | 8.13 × 106 | 4.39 × 103 |
| Std | 1.98 × 101 | 1.36 × 107 | 1.06 × 106 | 1.61 × 101 | 2.26 × 107 | 8.12 × 108 | 2.73 × 10−7 | 1.31 × 106 | 8.34 × 10−5 | 7.40 × 10−4 | |
| f15 | Mean | 5.34 × 102 | 1.50 × 109 | 1.66 × 109 | 2.25 × 103 | 3.32 × 108 | 2.15 × 107 | 5.53 × 107 | 2.95 × 1010 | 5.92 × 109 | 6.16 × 103 |
| Std | 6.47 × 101 | 4.33 × 107 | 1.15 × 107 | 2.68 × 10−5 | 3.71 × 107 | 2.87 × 109 | 3.72 × 10−4 | 2.07 × 106 | 1.73 × 10−2 | 4.59 × 10−4 | |
| f16 | Mean | 1.83 × 103 | 6.03 × 103 | 6.18 × 103 | 4.37 × 103 | 2.84 × 103 | 2.74 × 103 | 3.83 × 103 | 2.59 × 104 | 1.17 × 104 | 3.78 × 103 |
| Std | 2.26 × 10−6 | 2.96 × 102 | 3.76 × 101 | 5.30 × 101 | 1.37 × 102 | 1.99 × 103 | 4.46 × 102 | 1.09 × 102 | 3.33 × 10−8 | 1.48 | |
| f17 | Mean | 9.62 × 102 | 2.90 × 104 | 1.11 × 104 | 3.52 × 103 | 3.27 × 103 | 1.99 × 103 | 2.00 × 103 | 1.88 × 107 | 9.93 × 104 | 3.58 × 103 |
| Std | 4.45 × 10−6 | 3.90 × 105 | 1.38 × 101 | 2.51 × 101 | 2.96 × 102 | 7.09 × 104 | 1.91 × 102 | 6.41 × 104 | 6.47 × 10−7 | 2.27 | |
| f18 | Mean | 2.02 × 105 | 1.48 × 107 | 1.22 × 107 | 5.09 × 105 | 1.02 × 106 | 3.65 × 106 | 6.00 × 106 | 3.70 × 108 | 1.61 × 107 | 2.47 × 104 |
| Std | 5.01 × 101 | 1.26 × 107 | 2.26 × 106 | 4.74 × 101 | 1.96 × 107 | 2.27 × 109 | 2.87 × 10−4 | 1.23 × 106 | 1.25 × 10−4 | 4.39 × 10−2 | |
| f19 | Mean | 9.17 × 102 | 1.14 × 109 | 9.68 × 108 | 1.65 × 103 | 3.93 × 108 | 1.15 × 107 | 9.31 × 106 | 2.93 × 1010 | 6.21 × 109 | 4.43 × 103 |
| Std | 7.82 × 10−5 | 3.45 × 107 | 5.41 × 106 | 2.16 × 10−2 | 1.89 × 108 | 1.06 × 109 | 3.00 × 10−2 | 2.62 × 106 | 1.71 × 10−2 | 1.12 × 10−3 | |
| f20 | Mean | 9.85 × 102 | 3.13 × 103 | 3.65 × 103 | 3.25 × 103 | 2.06 × 103 | 1.38 × 103 | 1.34 × 103 | 5.84 × 103 | 3.63 × 103 | 2.99 × 103 |
| Std | 1.64 × 10−4 | 1.55 × 103 | 6.81 × 102 | 3.75 × 101 | 1.63 × 103 | 6.61 × 102 | 6.27 × 102 | 1.80 × 102 | 1.98 × 10−8 | 9.64 | |
| f21 | Mean | 2.92 × 102 | 1.44 × 103 | 1.34 × 103 | 8.60 × 102 | 8.66 × 102 | 5.78 × 102 | 7.81 × 102 | 2.93 × 103 | 2.17 × 103 | 9.61 × 102 |
| Std | 3.85 × 10−5 | 1.25 | 2.99 | 1.46 × 101 | 3.11 × 101 | 6.63 × 101 | 1.70 × 102 | 4.16 × 101 | 3.30 × 10−9 | 1.08 × 10−2 | |
| f22 | Mean | 4.46 × 103 | 1.66 × 104 | 1.75 × 104 | 1.85 × 104 | 1.24 × 104 | 9.63 × 103 | 1.30 × 104 | 3.30 × 104 | 2.69 × 104 | 1.59 × 104 |
| Std | 3.85 × 10−5 | 2.25 × 103 | 1.86 × 103 | 1.46 × 101 | 3.11 × 101 | 1.58 × 103 | 1.34 × 103 | 2.26 × 102 | 7.59 × 10−8 | 1.08 × 10−2 | |
| f23 | Mean | 6.49 × 102 | 2.44 × 103 | 2.37 × 103 | 1.31 × 103 | 2.24 × 103 | 8.31 × 102 | 1.81 × 103 | 4.22 × 103 | 2.83 × 103 | 1.55 × 103 |
| Std | 9.13 × 10−1 | 1.02 | 1.68 | 1.44 × 102 | 3.36 × 103 | 4.34 × 102 | 8.50 × 102 | 6.59 × 101 | 2.75 × 10−9 | 2.16 × 101 | |
| f24 | Mean | 8.98 × 102 | 3.79 × 103 | 3.62 × 103 | 1.92 × 103 | 3.31 × 103 | 8.87 × 102 | 1.68 × 103 | 7.90 × 103 | 4.65 × 103 | 2.18 × 103 |
| Std | 4.33 × 10−2 | 3.57 | 3.72 | 8.77 × 10−1 | 4.20 × 10−2 | 3.72 × 102 | 1.71 × 101 | 6.73 × 101 | 3.27 × 10−9 | 2.16 × 10−1 | |
| f25 | Mean | 8.66 × 102 | 2.14 × 104 | 7.96 × 103 | 8.33 × 102 | 1.07 × 103 | 1.02 × 103 | 5.28 × 103 | 2.91 × 104 | 2.38 × 104 | 8.27 × 102 |
| Std | 5.37 × 10−2 | 1.02 × 102 | 5.67 × 101 | 9.43 | 4.15 × 10−1 | 5.20 × 103 | 9.92 × 10−11 | 3.53 × 10−1 | 2.58 × 10−8 | 6.30 × 10−1 | |
| f26 | Mean | 3.46 × 103 | 2.83 × 104 | 2.62 × 104 | 1.18 × 104 | 1.08 × 104 | 3.79 × 103 | 1.08 × 104 | 5.32 × 104 | 4.21 × 104 | 1.17 × 104 |
| Std | 2.31 × 102 | 3.09 × 101 | 1.55 × 101 | 1.32 × 10−3 | 1.16 × 101 | 3.43 × 103 | 2.91 | 4.09 × 101 | 3.48 × 10−8 | 5.42 × 10−1 | |
| f27 | Mean | 7.13 × 102 | 2.24 × 103 | 1.67 × 103 | 9.60 × 102 | 1.49 × 103 | 7.86 × 102 | 3.33 × 103 | 1.23 × 104 | 3.92 × 103 | 5.00 × 102 |
| Std | 6.39 × 10−4 | 6.72 | 8.09 × 10−1 | 3.65 × 10−3 | 1.98 × 10−5 | 4.92 × 103 | 9.51 × 102 | 9.82 × 101 | 3.85 × 10−9 | 8.90 × 10−1 | |
| f28 | Mean | 6.66 × 102 | 2.15 × 104 | 1.61 × 104 | 6.23 × 102 | 2.19 × 103 | 7.81 × 102 | 4.74 × 103 | 2.96 × 104 | 2.87 × 104 | 5.72 × 102 |
| Std | 5.94 | 4.78 × 101 | 1.09 × 101 | 1.17 × 10−4 | 1.84 × 10−1 | 4.41 × 103 | 4.42 × 10−11 | 1.75 × 101 | 2.12 × 10−8 | 2.55 × 102 | |
| f29 | Mean | 1.55 × 103 | 1.28 × 104 | 8.68 × 103 | 4.15 × 103 | 2.98 × 103 | 2.34 × 103 | 5.75 × 103 | 1.15 × 106 | 2.26 × 104 | 3.51 × 103 |
| Std | 1.27 × 102 | 7.49 × 102 | 7.44 | 3.58 × 10−3 | 3.16 | 1.16 × 107 | 1.34 × 101 | 2.14 × 103 | 8.80 × 10−8 | 4.80 × 10−1 | |
| f30 | Mean | 1.22 × 104 | 3.68 × 109 | 4.40 × 109 | 9.88 × 103 | 1.15 × 109 | 1.50 × 108 | 3.46 × 108 | 4.86 × 1010 | 1.09 × 1010 | 1.26 × 105 |
| Std | 8.83 × 105 | 4.65 × 107 | 2.61 × 104 | 6.94 × 10−2 | 2.15 × 103 | 5.37 × 109 | 7.35 × 102 | 3.05 × 106 | 2.30 × 10−2 | 4.87 × 105 |
| Algorithms | MSTPSO VS | 10-D | 30-D | 50-D |
|---|---|---|---|---|
| DQNPSO | + | 27 | 28 | 29 |
| − | 0 | 0 | 0 | |
| ≈ | 2 | 1 | 0 | |
| APSO_SAC | + | 26 | 29 | 29 |
| − | 1 | 0 | 0 | |
| ≈ | 2 | 0 | 0 | |
| EPSO | + | 26 | 24 | 25 |
| − | 2 | 3 | 3 | |
| ≈ | 1 | 2 | 1 | |
| KGPSO | + | 25 | 28 | 28 |
| − | 2 | 1 | 1 | |
| ≈ | 2 | 0 | 0 | |
| XPSO | + | 29 | 29 | 29 |
| − | 0 | 0 | 0 | |
| ≈ | 0 | 0 | 0 | |
| MSORL | + | 26 | 27 | 29 |
| − | 2 | 1 | 0 | |
| ≈ | 1 | 1 | 0 | |
| DRA | + | 29 | 29 | 29 |
| − | 0 | 0 | 0 | |
| ≈ | 0 | 0 | 0 | |
| RFO | + | 21 | 27 | 28 |
| − | 7 | 2 | 0 | |
| ≈ | 0 | 0 | 1 | |
| RLACA | + | 16 | 20 | 22 |
| − | 11 | 7 | 5 | |
| ≈ | 2 | 2 | 2 |
| Optimization | 10-D | 30-D | ||||||
|---|---|---|---|---|---|---|---|---|
| MSTPSO | MSTPSO1 | MSTPSO2 | MSTPSO3 | MSTPSO | MSTPSO1 | MSTPSO2 | MSTPSO3 | |
| Average | 2.31 | 2.82 | 2.51 | 2.35 | 2.22 | 2.18 | 3.15 | 2.43 |
| Unimodal | 2.34 | 2.90 | 2.36 | 2.40 | 1.98 | 3.81 | 2.15 | 2.05 |
| Multimodal | 2.30 | 2.42 | 2.26 | 2.31 | 2.18 | 3.24 | 2.38 | 2.41 |
| Mixing and compound | 2.35 | 2.68 | 2.60 | 2.35 | 2.12 | 3.32 | 3.29 | 2.16 |
| Optimization | 30-D | 50-D | ||||||
|---|---|---|---|---|---|---|---|---|
| Average | 2.53 | 2.50 | 2.48 | 2.49 | 2.53 | 2.49 | 2.46 | 2.52 |
| Unimodal | 2.45 | 2.66 | 2.33 | 2.56 | 2.51 | 2.42 | 2.36 | 2.71 |
| Multimodal | 2.57 | 2.33 | 2.56 | 2.54 | 2.46 | 2.52 | 2.48 | 2.54 |
| Mixing and compound | 2.52 | 2.54 | 2.47 | 2.47 | 2.55 | 2.49 | 2.46 | 2.50 |
| Optimization | 10-D | 30-D | 50-D | |||
|---|---|---|---|---|---|---|
| Stagnation | No Stagnation | Stagnation | No Stagnation | Stagnation | No Stagnation | |
| Average | 1.33 | 1.67 | 1.43 | 1.57 | 1.47 | 1.53 |
| Unimodal | 1.73 | 1.27 | 1.17 | 1.32 | 1.38 | 1.62 |
| Multimodal | 1.33 | 1.67 | 1.37 | 1.77 | 1.52 | 1.55 |
| Mixing and compound | 1.30 | 1.70 | 1.44 | 1.55 | 1.49 | 1.51 |
| Optimization | 30-D | 50-D | ||||||
|---|---|---|---|---|---|---|---|---|
| Average | 2.53 | 2.48 | 2.51 | 2.48 | 2.53 | 2.45 | 2.49 | 2.53 |
| Unimodal | 2.80 | 2.33 | 2.35 | 2.51 | 2.55 | 2.41 | 2.31 | 2.72 |
| Multimodal | 2.50 | 2.51 | 2.53 | 2.45 | 2.47 | 2.48 | 2.44 | 2.62 |
| Mixing and compound | 2.51 | 2.49 | 2.51 | 2.49 | 2.48 | 2.43 | 2.54 | 2.55 |
| Optimization | 30-D | 50-D | ||||
|---|---|---|---|---|---|---|
| Average | 2.57 | 2.33 | 2.56 | 2.46 | 2.52 | 2.48 |
| Unimodal | 2.52 | 2.54 | 2.47 | 2.55 | 2.49 | 2.46 |
| Multimodal | 2.53 | 2.50 | 2.48 | 2.53 | 2.49 | 2.46 |
| Mixing and compound | 2.45 | 2.66 | 2.33 | 2.51 | 2.42 | 2.36 |
Disclaimer/Publisher’s Note: The statements, opinions and data contained in all publications are solely those of the individual author(s) and contributor(s) and not of MDPI and/or the editor(s). MDPI and/or the editor(s) disclaim responsibility for any injury to people or property resulting from any ideas, methods, instructions or products referred to in the content. |
© 2025 by the authors. Licensee MDPI, Basel, Switzerland. This article is an open access article distributed under the terms and conditions of the Creative Commons Attribution (CC BY) license (https://creativecommons.org/licenses/by/4.0/).
Share and Cite
Hao, X.; Wang, S.; Liu, X.; Wang, T.; Qiu, G.; Zeng, Z. Q-Learning-Based Multi-Strategy Topology Particle Swarm Optimization Algorithm. Algorithms 2025, 18, 672. https://doi.org/10.3390/a18110672
Hao X, Wang S, Liu X, Wang T, Qiu G, Zeng Z. Q-Learning-Based Multi-Strategy Topology Particle Swarm Optimization Algorithm. Algorithms. 2025; 18(11):672. https://doi.org/10.3390/a18110672
Chicago/Turabian StyleHao, Xiaoxi, Shenwei Wang, Xiaotong Liu, Tianlei Wang, Guangfan Qiu, and Zhiqiang Zeng. 2025. "Q-Learning-Based Multi-Strategy Topology Particle Swarm Optimization Algorithm" Algorithms 18, no. 11: 672. https://doi.org/10.3390/a18110672
APA StyleHao, X., Wang, S., Liu, X., Wang, T., Qiu, G., & Zeng, Z. (2025). Q-Learning-Based Multi-Strategy Topology Particle Swarm Optimization Algorithm. Algorithms, 18(11), 672. https://doi.org/10.3390/a18110672
