Hybrid Four Vector Intelligent Metaheuristic with Differential Evolution for Structural Single-Objective Engineering Optimization
Abstract
1. Introduction
- The HybridFour Vector Intelligent Metaheuristic and Differential Evolution (FVIMDE) algorithm is introduced, merging the advantages of both optimizers to enhance optimization efficiency.
- The FVIMDE algorithm integrates FVIM’s four-vector strategy with DE’s mutation and crossover strategies, utilizing the average mean of the four best solutions for exploration and DE strategies for exploitation.
- The FVIMDE algorithm is implemented and evaluated using unimodal, multimodal, hybrid, and composition benchmark functions from the 2022 and 2017 IEEE Congress on Evolutionary Computation and challenging benchmark function that consists of complex, hybrid, and composite functions.
- The FVIMDE algorithm is validated on complex real-world engineering design problems such as welded beam design, pressure vessel design, spring design, speed reducer design, cantilever beam design, and three-bar truss design, showing superior performance when compared to 12 well-known and state-of-the-art optimization algorithms, such as GWO, WOA, MFO, and MVO.
2. Related Work
3. Technical Background
3.1. Overview of the Four Vector Intelligent Metaheuristic (FVIM)
3.2. Algorithmic Overview
3.3. Algorithm Flow
- Initialization Phase: Define and randomly initialize the key parameters and agent positions. Set the upper and lower boundaries of the search space.
- Iterations Phase: Update the agents’ positions using the four mathematical models, iterating until the stopping conditions are met.
- Finding Optimal Solution Phase: Identify the best solution by evaluating the fitness of each agent’s position and comparing it to the objective function.
- Alpha: The best solution found so far.
- Beta: The second-best solution.
- Gamma: The third-best solution.
- Delta: The fourth-best solution.
3.4. Mathematical Foundation
3.5. Overview of Differential Evolution (DE)
The Role of Crossover in the DE Phase
- Reversing Mutation:
- Introducing Diversity:
4. Proposed Hybrid FVIMDE Algorithm
4.1. Mathematical Model of the Hybrid DE-FVIM Optimizer
4.1.1. DE Phase
4.1.2. Initialization
4.1.3. Mutation and Crossover
4.1.4. Selection
4.2. FVIM Phase
4.3. Population Size and Role of the Four Vectors
Position Update
4.4. Combined Optimization Process
4.5. Hybrid FVIMDE Algorithm Stages
| Algorithm 1 Hybrid FVIMDE Algorithm Pseudocode |
|
4.5.1. Stage 1: Differential Evolution (DE) Phase
4.5.2. Stage 2: Four Vector Intelligent Mechanism (FVIM) Phase
4.6. Exploration and Exploitation Behavior
4.6.1. Exploration Behavior
4.6.2. Exploitation Behavior
4.6.3. Balancing Exploration and Exploitation
4.7. Computational Complexity
5. Implementation and Comparison
5.1. IEEE CEC-2022 Benchmark Test Functions Description
5.2. IEEE CEC-2017 Benchmark Test Functions Description
5.3. Description of the 50 Benchmarks
5.4. Configuration of Experiment Parameters
6. Evaluated Algorithms
6.1. Quantitative Evaluation
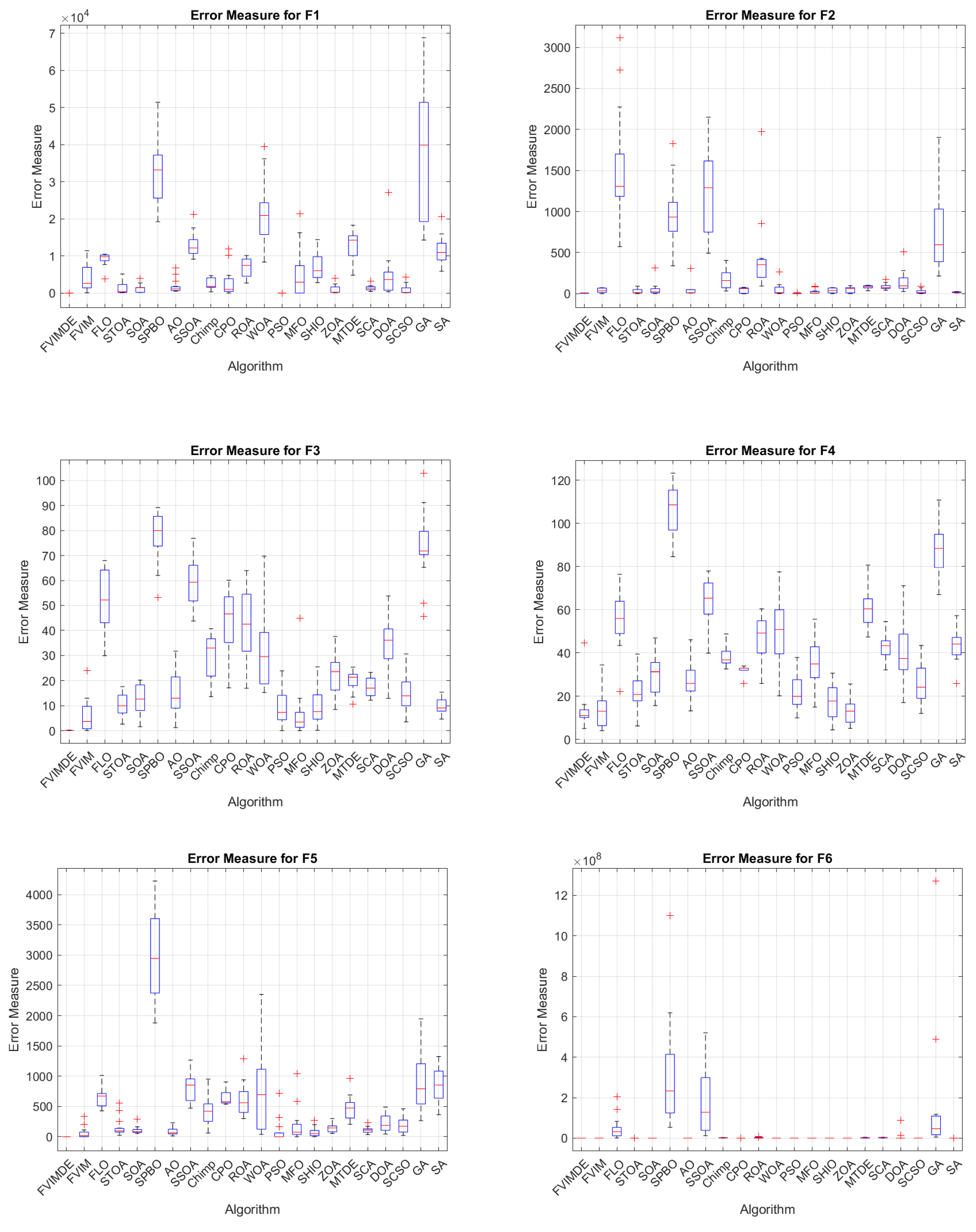
6.2. Results on Benchmark of IEEE Congress on Evolutionary Computation 2022 (CEC2022)
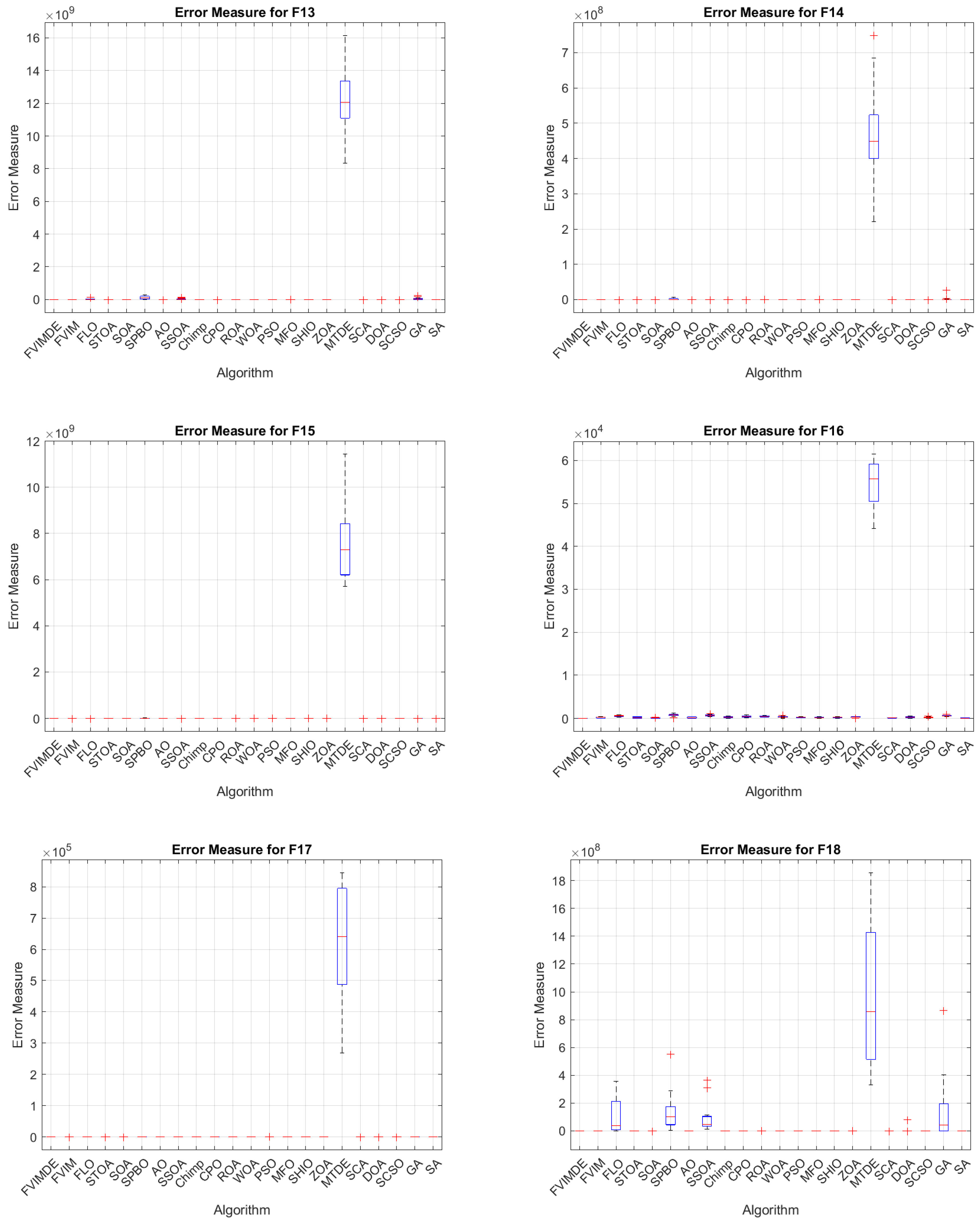
6.3. Results over 2017 IEEE Congress on Evolutionary Computation (CEC2017)
6.4. FVIMDE Results on 50 Benchmark Functions
6.5. Experiments of Hybrid FVIM with DE Components
6.6. FVIMDE Convergence Diagram
7. Solving Engineering Design Optimization Problems Using FVIMDE
Constrained Optimization
8. Application FVIM to Solve Structural Engineering Design Problems
8.1. Experimental Setup
8.1.1. Tension/Compression Spring Design Problem
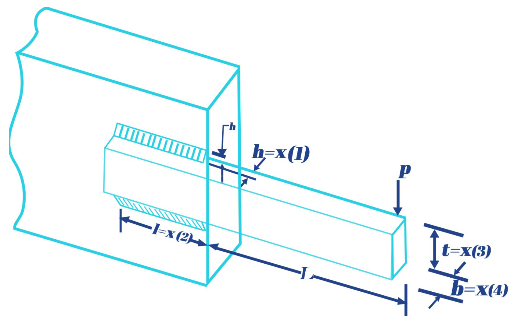
8.1.2. The Welded Beam Design Problem
8.1.3. Cantilever Beam Design Problem
8.1.4. Three-Bar Truss Design Problem
8.1.5. Tabular Column Design Problem
9. Conclusions
Author Contributions
Funding
Data Availability Statement
Conflicts of Interest
Appendix A. 2022 IEEE Congress on Evolutionary Computation (CEC2022) Benchmark Functions
| No. | Category | Function Description | |
|---|---|---|---|
| Unimodal functions | |||
| F1 | Unimodal function | Shifted and fully rotated Zakharov function | 300 |
| Multimodal functions | |||
| F2 | Shifted and fully rotated Rosenbrock function | 400 | |
| F3 | Shifted and fully rotated Expanded Schaffer f6 function | 600 | |
| F4 | Shifted and fully rotated non-continuous Rastrigin function | 800 | |
| F5 | Shifted and fully rotated Levy function | 900 | |
| Hybrid functions | |||
| F6 | Hybrid function 1 (N = 3) | 1800 | |
| F7 | Hybrid function 2 (N = 6) | 2000 | |
| F8 | Hybrid function 3 (N = 5) | 2200 | |
| Composition functions | |||
| F9 | Composition function 1 (N = 5) | 2300 | |
| F10 | Composition function 2 (N = 4) | 2400 | |
| F11 | Composition function 3 (N = 5) | 2600 | |
| F12 | Composition function 4 (N = 6) | 2700 | |
Appendix B. 2017 IEEE Congress on Evolutionary Computation (CEC2017) Benchmark Suites
| F No. | Functions | Fi(x*) | |
|---|---|---|---|
| Unimodal | 1 | Shifted and rotated Bent Cigar function | 100 |
| functions | 2 | Shifted and rotated Zakharov function | 200 |
| 3 | Shifted and rotated Rosenbrock’s function | 300 | |
| 4 | Shifted and rotated Rastrigin’s function | 400 | |
| 5 | Shifted and rotated expanded Scaffer’s F6 function | 500 | |
| Simple multimodal | 6 | Shifted and rotated Lunacek Bi_Rastrigin function | 600 |
| functions | 7 | Shifted and rotated Non-Continuous Rastrigin’s function | 700 |
| 8 | Shifted and rotated Levy function | 800 | |
| 9 | Shifted and rotated Schwefel’s function | 900 | |
| 10 | Hybrid function 1 (N = 3) | 1000 | |
| 11 | Hybrid function 2 (N = 3) | 1100 | |
| 12 | Hybrid function 3 (N = 3) | 1200 | |
| 13 | Hybrid function 4 (N = 4) | 1300 | |
| Hybrid | 14 | Hybrid function 5 (N = 4) | 1400 |
| functions | 15 | Hybrid function 6 (N = 5) | 1500 |
| 16 | Hybrid function 6 (N = 5) | 1600 | |
| 17 | Hybrid function 6 (N = 5) | 1700 | |
| 18 | Hybrid function 6 (N = 6) | 1800 | |
| 19 | Hybrid function 6 (N = 6) | 1900 | |
| 20 | Composition function 1 (N = 3) | 2000 | |
| 21 | Composition function 2 (N = 3) | 2100 | |
| 22 | Composition function 3 (N = 4) | 2200 | |
| 23 | Composition function 4 (N = 4) | 2300 | |
| Composition | 24 | Composition function 5 (N = 5) | 2400 |
| functions | 25 | Composition function 6 (N = 5) | 2500 |
| 26 | Composition function 7 (N = 6) | 2600 | |
| 27 | Composition function 8 (N = 6) | 2700 | |
| 28 | Composition function 9 (N = 3) | 2800 | |
| 29 | Composition function 10 (N = 3) | 2900 |
Appendix C. 50 Benchmark Functions
| Name | Characteristics | Function | Dimension Range, |
|---|---|---|---|
| Steptint | U, S | ||
| Step | U, S | ||
| Sphere | U, S | ||
| SumSquares | U, S | ||
| Quartic | U, S | ||
| Beale | U, N | ||
| Easom | U, N | ||
| Matyas | U, N | ||
| Colville | U, N | ||
| Trid6 | U, N | ||
| Trid10 | U, N | ||
| Zakharov | U, N | ||
| Powell | U, N | ||
| Schwefel 2.22 | U, N | ||
| Schwefel 1.2 | U, N | ||
| Rosenbrock | U, N | ||
| Dixon-Price | U, N | ||
| Foxholes | M, S | ||
| Branin | M, S | ||
| Bohachevsky 1 | M, S |
| Name | Characteristics | Function | Dimension Range, |
|---|---|---|---|
| Booth | M, S | ||
| Rastrigin | M, S | ||
| Schwefel | M, S | ||
| Michalewicz2 | M, S | ||
| Michalewicz5 | M, S | ||
| Michalewicz10 | M, S | ||
| Schaffer | M, N | ||
| Six Hump Camel Back | M, N | ||
| Bohachevsky2 | M, N | ||
| Bohachevsky3 | M, N | ||
| Shubert | M, N | ||
| Goldstein-Price | M, N | ||
| Kowalik | M, N | ||
| Shekel5 | M, N | ||
| Shekel7 | M, N | ||
| Shekel10 | M, N | ||
| Perm | M, N | ||
| PowerSum | M, N | ||
| Hartman3 | M, N | ||
| Hartman6 | M, N |
| Name | C | Function | D | Range | |
|---|---|---|---|---|---|
| Griewank | MN | 30 | 0 | ||
| Ackley | MN | 30 | 0 | ||
| Penalized | MN | 30 | 0 | ||
| Penalized2 | MN | 30 | 0 | ||
| Langerman2 | MN | 2 | 1.08 | ||
| Langerman5 | MN | similar to | 5 | 1.5 | |
| Langerman10 | MN | similar to | 10 | - | |
| FletcherPowell2 | MN | where , | 2 | 0 | |
| FletcherPowell5 | MN | similar to | 5 | 0 | |
| FletcherPowell10 | MN | similar to | 0 | 0 |
Appendix D. Wilcoxon Rank Sum Results over CEC2022 Benchmarks
| Function | FVIM | FLO | STOA | SOA | SPBO | AO | SSOA | Chimp | CPO | ROA |
|---|---|---|---|---|---|---|---|---|---|---|
| F1 | 4.07716E-11 | 3.02E-11 | 1.78E-10 | 7.39E-11 | 3.02E-11 | 3.69E-11 | 3.02E-11 | 3.02E-11 | 3.02E-11 | 3.02E-11 |
| U: 468.00 | U: 465.00 | U: 483.00 | U: 474.00 | U: 465.00 | U: 467.00 | U: 465.00 | U: 465.00 | U: 465.00 | U: 465.00 | |
| S | S | S | S | S | S | S | S | S | S | |
| F2 | 1.10234E-08 | 3.02E-11 | 1.61E-10 | 4.98E-11 | 3.02E-11 | 8.89E-10 | 3.02E-11 | 3.02E-11 | 4.11E-07 | 3.02E-11 |
| U: 528.00 | U: 465.00 | U: 482.00 | U: 470.00 | U: 465.00 | U: 500.00 | U: 465.00 | U: 465.00 | U: 572.00 | U: 465.00 | |
| S | S | S | S | S | S | S | S | S | S | |
| F3 | 3.68973E-11 | 3.02E-11 | 3.02E-11 | 3.02E-11 | 3.02E-11 | 3.02E-11 | 3.02E-11 | 3.02E-11 | 3.02E-11 | 3.02E-11 |
| U: 467.00 | U: 465.00 | U: 465.00 | U: 465.00 | U: 465.00 | U: 465.00 | U: 465.00 | U: 465.00 | U: 465.00 | U: 465.00 | |
| S | S | S | S | S | S | S | S | S | S | |
| F4 | 0.000189162 | 4.5E-11 | 0.001174 | 9.26E-09 | 3.02E-11 | 0.325527 | 3.02E-11 | 1.07E-09 | 6.01E-08 | 5.49E-11 |
| U: 1168.00 | U: 469.00 | U: 695.00 | U: 526.00 | U: 465.00 | U: 848.00 | U: 465.00 | U: 502.00 | U: 548.00 | U: 471.00 | |
| N | S | S | S | S | E | S | S | S | S | |
| F5 | 3.01986E-11 | 3.02E-11 | 3.02E-11 | 3.02E-11 | 3.02E-11 | 3.02E-11 | 3.02E-11 | 3.02E-11 | 3.02E-11 | 3.02E-11 |
| U: 465.00 | U: 465.00 | U: 465.00 | U: 465.00 | U: 465.00 | U: 465.00 | U: 465.00 | U: 465.00 | U: 465.00 | U: 465.00 | |
| S | S | S | S | S | S | S | S | S | S | |
| F6 | 1.77691E-10 | 3.02E-11 | 3.02E-11 | 3.02E-11 | 3.02E-11 | 3.02E-11 | 3.02E-11 | 3.02E-11 | 2.03E-09 | 3.34E-11 |
| U: 483.00 | U: 465.00 | U: 465.00 | U: 465.00 | U: 465.00 | U: 465.00 | U: 465.00 | U: 465.00 | U: 509.00 | U: 466.00 | |
| S | S | S | S | S | S | S | S | S | S | |
| F7 | 9.26029E-09 | 3.02E-11 | 3.02E-11 | 3.02E-11 | 3.02E-11 | 3.02E-11 | 3.02E-11 | 3.02E-11 | 3.02E-11 | 3.02E-11 |
| U: 526.00 | U: 465.00 | U: 465.00 | U: 465.00 | U: 465.00 | U: 465.00 | U: 465.00 | U: 465.00 | U: 465.00 | U: 465.00 | |
| S | S | S | S | S | S | S | S | S | S | |
| F8 | 4.80107E-07 | 3.02E-11 | 2.37E-10 | 3.02E-11 | 3.02E-11 | 4.08E-11 | 3.02E-11 | 3.02E-11 | 2.39E-08 | 3.02E-11 |
| U: 574.00 | U: 465.00 | U: 486.00 | U: 465.00 | U: 465.00 | U: 468.00 | U: 465.00 | U: 465.00 | U: 537.00 | U: 465.00 | |
| S | S | S | S | S | S | S | S | S | S | |
| F9 | 3.01986E-11 | 3.02E-11 | 3.02E-11 | 3.02E-11 | 3.02E-11 | 3.02E-11 | 3.02E-11 | 3.02E-11 | 3.02E-11 | 3.02E-11 |
| U: 465.00 | U: 465.00 | U: 465.00 | U: 465.00 | U: 465.00 | U: 465.00 | U: 465.00 | U: 465.00 | U: 465.00 | U: 465.00 | |
| S | S | S | S | S | S | S | S | S | S | |
| F10 | 0.000421751 | 2.92E-09 | 1.73E-06 | 4.8E-07 | 1.73E-07 | 3.65E-08 | 9.76E-10 | 2.39E-08 | 2.92E-09 | 2.92E-09 |
| U: 676.00 | U: 513.00 | U: 591.00 | U: 574.00 | U: 561.00 | U: 542.00 | U: 501.00 | U: 537.00 | U: 513.00 | U: 513.00 | |
| S | S | S | N | S | S | S | S | S | S | |
| F11 | 2.0338E-09 | 4.5E-11 | 2.03E-09 | 5E-09 | 3.02E-11 | 7.12E-09 | 3.69E-11 | 4.5E-11 | 8.1E-10 | 1.21E-10 |
| U: 509.00 | U: 469.00 | U: 509.00 | U: 519.00 | U: 465.00 | U: 523.00 | U: 467.00 | U: 469.00 | U: 499.00 | U: 479.00 | |
| S | S | S | S | S | S | S | S | S | S | |
| F12 | 0.002958985 | 3.02E-11 | 0.08771 | 0.673495 | 3.02E-11 | 2.83E-08 | 3.02E-11 | 8.99E-11 | 3.02E-11 | 3.02E-11 |
| U: 632.00 | U: 465.00 | U: 1031.00 | U: 886.00 | U: 465.00 | U: 539.00 | U: 465.00 | U: 476.00 | U: 465.00 | U: 465.00 | |
| Total | S:11, N:1, E:0 | S:12, N:0, E:0 | S:11, N:0, E:1 | S:10, N:1, E:1 | S:12, N:0, E:0 | S:11, N:0, E:1 | S:12, N:0, E:0 | S:12, N:0, E:0 | S:12, N:0, E:0 | S:12, N:0, E:0 |
| WOA | PSO | MFO | SHIO | ZOA | MTDE | SCA | DOA | SCSO | GA | SA |
|---|---|---|---|---|---|---|---|---|---|---|
| 3.02E-11 | 1.96E-10 | 3.82E-10 | 4.98E-11 | 4.62E-10 | 2.96E-11 | 4.98E-11 | 3.82E-10 | 1.61E-10 | 3.02E-11 | 3.02E-11 |
| U: 465.00 | U: 484.00 | U: 491.00 | U: 470.00 | U: 493.00 | U: 465.00 | U: 470.00 | U: 491.00 | U: 482.00 | U: 465.00 | U: 465.00 |
| S | S | S | S | S | S | S | S | S | S | S |
| 3.82E-09 | 1.69E-09 | 9.49E-07 | 1.6E-07 | 8.1E-10 | 2.99E-11 | 3.02E-11 | 6.72E-10 | 5.07E-10 | 3.02E-11 | 3.02E-11 |
| U: 516.00 | U: 507.00 | U: 583.00 | U: 560.00 | U: 499.00 | U: 465.00 | U: 465.00 | U: 497.00 | U: 494.00 | U: 465.00 | U: 465.00 |
| S | S | S | S | S | S | S | S | S | S | S |
| 3.02E-11 | 3.69E-11 | 0.200949 | 2.44E-09 | 3.02E-11 | 3E-11 | 3.02E-11 | 3.02E-11 | 3.02E-11 | 3.02E-11 | 3.02E-11 |
| U: 465.00 | U: 467.00 | U: 1002.00 | U: 511.00 | U: 465.00 | U: 465.00 | U: 465.00 | U: 465.00 | U: 465.00 | U: 465.00 | U: 465.00 |
| S | S | E | S | S | S | S | S | S | S | S |
| 1.41E-09 | 0.340288 | 0.082357 | 0.982307 | 0.023243 | 2.98E-11 | 4.5E-11 | 0.025101 | 2.78E-07 | 3.02E-11 | 3.02E-11 |
| U: 505.00 | U: 980.00 | U: 797.00 | U: 917.00 | U: 1069.00 | U: 465.00 | U: 469.00 | U: 763.00 | U: 567.00 | U: 465.00 | U: 465.00 |
| S | E | E | E | N | S | S | S | S | S | S |
| 3.02E-11 | 3.02E-11 | 1.03E-06 | 3.02E-11 | 3.02E-11 | 2.99E-11 | 3.02E-11 | 3.02E-11 | 3.02E-11 | 3.02E-11 | 3.02E-11 |
| U: 465.00 | U: 465.00 | U: 584.00 | U: 465.00 | U: 465.00 | U: 465.00 | U: 465.00 | U: 465.00 | U: 465.00 | U: 465.00 | U: 465.00 |
| S | S | S | S | S | S | S | S | S | S | S |
| 4.2E-10 | 8.99E-11 | 2.15E-10 | 2.03E-09 | 1.29E-09 | 2.99E-11 | 3.02E-11 | 0.000141 | 9.76E-10 | 3.02E-11 | 3.02E-11 |
| U: 492.00 | U: 476.00 | U: 485.00 | U: 509.00 | U: 504.00 | U: 465.00 | U: 465.00 | U: 657.00 | U: 501.00 | U: 465.00 | U: 465.00 |
| S | S | S | S | S | S | S | S | S | S | S |
| 3.02E-11 | 2.03E-09 | 1.43E-08 | 3.02E-11 | 3.16E-10 | 2.97E-11 | 3.02E-11 | 1.09E-10 | 3.02E-11 | 3.02E-11 | 3.02E-11 |
| U: 465.00 | U: 509.00 | U: 531.00 | U: 465.00 | U: 489.00 | U: 465.00 | U: 465.00 | U: 478.00 | U: 465.00 | U: 465.00 | U: 465.00 |
| S | S | S | S | S | S | S | S | S | S | S |
| 3.02E-11 | 0.00238 | 0.1809 | 1.03E-06 | 0.000309 | 2.97E-11 | 3.02E-11 | 2.57E-07 | 2.39E-08 | 3.02E-11 | 9.26E-09 |
| U: 465.00 | U: 709.00 | U: 824.00 | U: 584.00 | U: 599.00 | U: 465.00 | U: 465.00 | U: 566.00 | U: 537.00 | U: 465.00 | U: 526.00 |
| S | S | E | S | S | S | S | S | S | S | S |
| 3.02E-11 | 3.02E-11 | 0.000282 | 3.02E-11 | 3.02E-11 | 2.96E-11 | 3.02E-11 | 0.001249 | 3.02E-11 | 3.02E-11 | 3.02E-11 |
| U: 465.00 | U: 465.00 | U: 1155.00 | U: 465.00 | U: 465.00 | U: 465.00 | U: 465.00 | U: 619.00 | U: 465.00 | U: 465.00 | U: 465.00 |
| S | S | S | S | S | S | S | S | S | S | S |
| 2.03E-09 | 0.012732 | 1.19E-06 | 0.011228 | 5E-09 | 1.69E-08 | 4.44E-07 | 8.48E-09 | 1.16E-07 | 1.7E-08 | 1.11E-06 |
| U: 509.00 | U: 746.00 | U: 586.00 | U: 743.00 | U: 519.00 | U: 533.00 | U: 573.00 | U: 525.00 | U: 556.00 | U: 533.00 | U: 585.00 |
| S | S | N | S | S | S | S | S | S | S | - |
| 9.76E-10 | 3.5E-09 | 0.000149 | 8.1E-10 | 8.1E-10 | 3E-11 | 8.48E-09 | 1.69E-09 | 2.44E-09 | 4.5E-11 | 8.48E-09 |
| U: 501.00 | U: 515.00 | U: 658.00 | U: 499.00 | U: 499.00 | U: 465.00 | U: 525.00 | U: 507.00 | U: 511.00 | U: 469.00 | U: 525.00 |
| S | S | S | S | S | S | S | S | S | S | S |
| 4.62E-10 | 0.233989 | 0.00081 | 2.03E-07 | 3.02E-11 | 2.99E-11 | 3.02E-11 | 7.12E-09 | 0.001004 | 3.02E-11 | 2.37E-10 |
| U: 493.00 | U: 834.00 | U: 1142.00 | U: 563.00 | U: 465.00 | U: 465.00 | U: 465.00 | U: 523.00 | U: 692.00 | U: 465.00 | U: 486.00 |
| S:12, N:0, E:0 | S:10, N:0, E:2 | S:7, N:2, E:3 | S:11, N:0, E:1 | S:11, N:1, E:0 | S:12, N:0, E:0 | S:12, N:0, E:0 | S:12, N:0, E:0 | S:12, N:0, E:0 | S:12, N:0, E:0 | S:11, N:1, E:0 |
Appendix E. Wilcoxon Sum Rank Test Results over 50 Benchmarks
| Function | FVIM | FLO | STOA | SOA | SPBO | AO | SSOA | Chimp | CPO | ROA |
|---|---|---|---|---|---|---|---|---|---|---|
| F1 | 1.17E-05 | 3.02E-11 | 3.02E-11 | 3.02E-11 | 3.02E-11 | 3.02E-11 | 3.02E-11 | 3.02E-11 | 1.73E-07 | 3.02E-11 |
| U: 618.00 | U: 465.00 | U: 465.00 | U: 465.00 | U: 465.00 | U: 465.00 | U: 465.00 | U: 465.00 | U: 1269.00 | U: 465.00 | |
| S | S | S | S | S | S | S | S | N | S | |
| F2 | 3.02E-11 | 3.02E-11 | 3.02E-11 | 3.02E-11 | 3.02E-11 | 3.02E-11 | 3.02E-11 | 3.02E-11 | 4.2E-10 | 3.02E-11 |
| U: 465.00 | U: 465.00 | U: 465.00 | U: 465.00 | U: 465.00 | U: 465.00 | U: 465.00 | U: 465.00 | U: 492.00 | U: 465.00 | |
| S | S | S | S | S | S | S | S | S | S | |
| F3 | 3.02E-11 | 3.02E-11 | 4.08E-11 | 3.02E-11 | 3.02E-11 | 7.77E-09 | 3.02E-11 | 3.02E-11 | 3.82E-09 | 3.02E-11 |
| U: 465.00 | U: 465.00 | U: 468.00 | U: 465.00 | U: 465.00 | U: 524.00 | U: 465.00 | U: 465.00 | U: 1314.00 | U: 465.00 | |
| S | S | S | S | S | S | S | S | N | S | |
| F4 | 3.02E-11 | 3.02E-11 | 3.02E-11 | 3.02E-11 | 3.02E-11 | 1.09E-10 | 3.02E-11 | 3.02E-11 | 1.07E-07 | 3.02E-11 |
| U: 465.00 | U: 465.00 | U: 465.00 | U: 465.00 | U: 465.00 | U: 478.00 | U: 465.00 | U: 465.00 | U: 555.00 | U: 465.00 | |
| S | S | S | S | S | S | S | S | S | S | |
| F5 | 8.15E-05 | 3.02E-11 | 3.2E-09 | 7.69E-08 | 3.02E-11 | 8.1E-10 | 3.02E-11 | 3.02E-11 | 4.98E-11 | 3.02E-11 |
| U: 648.00 | U: 465.00 | U: 514.00 | U: 551.00 | U: 465.00 | U: 499.00 | U: 465.00 | U: 465.00 | U: 470.00 | U: 465.00 | |
| S | S | S | S | S | S | S | S | S | S | |
| F6 | 0.019883 | 3.02E-11 | 3.02E-11 | 3.02E-11 | 3.02E-11 | 3.02E-11 | 3.02E-11 | 3.02E-11 | 3.02E-11 | 3.02E-11 |
| U: 757.00 | U: 465.00 | U: 465.00 | U: 465.00 | U: 465.00 | U: 465.00 | U: 465.00 | U: 465.00 | U: 465.00 | U: 465.00 | |
| S | S | S | S | S | S | S | S | S | S | |
| F7 | 0.245814 | 3.02E-11 | 5.46E-09 | 1.31E-08 | 3.02E-11 | 3.52E-07 | 3.02E-11 | 3.02E-11 | 7.39E-11 | 3.02E-11 |
| U: 994.00 | U: 465.00 | U: 520.00 | U: 530.00 | U: 465.00 | U: 570.00 | U: 465.00 | U: 465.00 | U: 474.00 | U: 465.00 | |
| E | S | S | S | S | S | S | S | S | S | |
| F8 | 0.000201 | 3.02E-11 | 1.78E-10 | 5.07E-10 | 3.02E-11 | 4.2E-10 | 3.02E-11 | 3.02E-11 | 3.34E-11 | 3.02E-11 |
| U: 663.00 | U: 465.00 | U: 483.00 | U: 494.00 | U: 465.00 | U: 492.00 | U: 465.00 | U: 465.00 | U: 466.00 | U: 465.00 | |
| S | S | S | S | S | S | S | S | S | S | |
| F9 | 2.23E-09 | 3.02E-11 | 3.02E-11 | 3.02E-11 | 3.02E-11 | 6.07E-11 | 3.02E-11 | 3.02E-11 | 3.02E-11 | 3.02E-11 |
| U: 510.00 | U: 465.00 | U: 465.00 | U: 465.00 | U: 465.00 | U: 472.00 | U: 465.00 | U: 465.00 | U: 465.00 | U: 465.00 | |
| S | S | S | S | S | S | S | S | S | S | |
| F10 | 1.29E-06 | 3.02E-11 | 7.69E-08 | 2.32E-06 | 3.02E-11 | 4.11E-07 | 3.02E-11 | 3.02E-11 | 9.92E-11 | 4.08E-11 |
| U: 587.00 | U: 465.00 | U: 551.00 | U: 595.00 | U: 465.00 | U: 572.00 | U: 465.00 | U: 465.00 | U: 477.00 | U: 468.00 | |
| S | S | S | S | S | S | S | S | S | S | |
| F11 | 8.89E-10 | 3.02E-11 | 4.5E-11 | 7.39E-11 | 3.02E-11 | 3.02E-11 | 3.02E-11 | 3.02E-11 | 2.15E-10 | 3.02E-11 |
| U: 500.00 | U: 465.00 | U: 469.00 | U: 474.00 | U: 465.00 | U: 465.00 | U: 465.00 | U: 465.00 | U: 485.00 | U: 465.00 | |
| S | S | S | S | S | S | S | S | S | S | |
| F12 | 3.02E-11 | 3.02E-11 | 3.02E-11 | 3.02E-11 | 3.02E-11 | 3.02E-11 | 3.02E-11 | 3.02E-11 | 3.02E-11 | 3.02E-11 |
| U: 465.00 | U: 465.00 | U: 465.00 | U: 465.00 | U: 465.00 | U: 465.00 | U: 465.00 | U: 465.00 | U: 465.00 | U: 465.00 | |
| Total | S:11, N:0, E:1 | S:12, N:0, E:0 | S:12, N:0, E:0 | S:12, N:0, E:0 | S:12, N:0, E:0 | S:12, N:0, E:0 | S:12, N:0, E:0 | S:12, N:0, E:0 | S:10, N:2, E:0 | S:12, N:0, E:0 |
| Function | WOA | PSO | MFO | SHIO | ZOA | MTDE | SCA | DOA | SCSO | GA | SA |
|---|---|---|---|---|---|---|---|---|---|---|---|
| F1 | 3.02E-11 | 5.09E-06 | 0.970491 | 2.67E-09 | 7.6E-07 | 2.9E-11 | 3.02E-11 | 2.37E-10 | 0.222573 | 3.02E-11 | 3.02E-11 |
| U: 465.00 | U: 606.00 | U: 912.00 | U: 512.00 | U: 580.00 | U: 465.00 | U: 465.00 | U: 486.00 | U: 832.00 | U: 465.00 | U: 465.00 | |
| S | S | E | S | S | S | S | S | E | S | S | |
| F2 | 3.02E-11 | 3.02E-11 | 5.97E-05 | 3.02E-11 | 3.02E-11 | 2.89E-11 | 3.02E-11 | 3.02E-11 | 3.34E-11 | 3.02E-11 | 3.02E-11 |
| U: 465.00 | U: 465.00 | U: 643.00 | U: 465.00 | U: 465.00 | U: 465.00 | U: 465.00 | U: 465.00 | U: 466.00 | U: 465.00 | U: 465.00 | |
| S | S | S | S | S | S | S | S | S | S | S | |
| F3 | 3.34E-11 | 4.98E-11 | 0.251881 | 3.02E-11 | 1.46E-10 | 2.86E-11 | 3.02E-11 | 9.76E-10 | 4.98E-11 | 3.02E-11 | 3.02E-11 |
| U: 466.00 | U: 470.00 | U: 837.00 | U: 465.00 | U: 481.00 | U: 465.00 | U: 465.00 | U: 501.00 | U: 470.00 | U: 465.00 | U: 465.00 | |
| S | S | E | S | S | S | S | S | S | S | S | |
| F4 | 3.02E-11 | 3.02E-11 | 5.99E-11 | 5.07E-10 | 3.02E-11 | 2.89E-11 | 3.02E-11 | 2.87E-10 | 3.02E-11 | 3.02E-11 | 3.02E-11 |
| U: 465.00 | U: 465.00 | U: 472.00 | U: 494.00 | U: 465.00 | U: 465.00 | U: 465.00 | U: 488.00 | U: 465.00 | U: 465.00 | U: 465.00 | |
| S | S | S | S | S | S | S | S | S | S | S | |
| F5 | 6.07E-11 | 7.2E-05 | 1.69E-09 | 2.03E-09 | 2.23E-09 | 2.91E-11 | 3.02E-11 | 2.61E-10 | 2.15E-10 | 3.02E-11 | 1.17E-09 |
| U: 472.00 | U: 646.00 | U: 507.00 | U: 509.00 | U: 510.00 | U: 465.00 | U: 465.00 | U: 487.00 | U: 485.00 | U: 465.00 | U: 503.00 | |
| S | S | S | S | S | S | S | S | S | S | S | |
| F6 | 3.02E-11 | 0.000422 | 0.045063 | 5.49E-11 | 3.02E-11 | 3.01E-11 | 3.02E-11 | 3.02E-11 | 3.02E-11 | 3.02E-11 | 3.02E-11 |
| U: 465.00 | U: 676.00 | U: 779.00 | U: 471.00 | U: 465.00 | U: 465.00 | U: 465.00 | U: 465.00 | U: 465.00 | U: 465.00 | U: 465.00 | |
| S | S | S | S | S | S | S | S | S | S | S | |
| F7 | 1.78E-10 | 0.662735 | 0.013832 | 0.000812 | 0.000132 | 2.94E-11 | 3.02E-11 | 1.85E-08 | 1.29E-09 | 3.02E-11 | 3.47E-10 |
| U: 483.00 | U: 885.00 | U: 748.00 | U: 688.00 | U: 656.00 | U: 465.00 | U: 465.00 | U: 534.00 | U: 504.00 | U: 465.00 | U: 490.00 | |
| S | E | S | S | S | S | S | S | S | S | S | |
| F8 | 3.34E-11 | 0.000201 | 1.54E-09 | 9.06E-08 | 0.000399 | 2.88E-11 | 3.02E-11 | 6.12E-10 | 2.15E-10 | 3.02E-11 | 3.02E-11 |
| U: 466.00 | U: 663.00 | U: 506.00 | U: 553.00 | U: 675.00 | U: 465.00 | U: 465.00 | U: 496.00 | U: 485.00 | U: 465.00 | U: 465.00 | |
| S | S | S | S | S | S | S | S | S | S | S | |
| F9 | 3.02E-11 | 4.44E-07 | 0.104666 | 3.34E-11 | 3.02E-11 | 2.95E-11 | 3.02E-11 | 3.02E-11 | 3.34E-11 | 3.02E-11 | 3.02E-11 |
| U: 465.00 | U: 573.00 | U: 805.00 | U: 466.00 | U: 465.00 | U: 465.00 | U: 465.00 | U: 465.00 | U: 466.00 | U: 465.00 | U: 465.00 | |
| S | S | E | S | S | S | S | S | S | S | S | |
| F10 | 9.76E-10 | 0.137323 | 2.02E-08 | 2.68E-06 | 0.025101 | 2.99E-11 | 1.09E-10 | 1.09E-10 | 1.43E-08 | 3.69E-11 | 0.006097 |
| U: 501.00 | U: 814.00 | U: 535.00 | U: 597.00 | U: 763.00 | U: 465.00 | U: 478.00 | U: 478.00 | U: 531.00 | U: 467.00 | U: 729.00 | |
| S | E | S | S | S | S | S | S | S | S | S | |
| F11 | 8.99E-11 | 2.92E-09 | 1.25E-07 | 8.99E-11 | 3.34E-11 | 2.89E-11 | 3.02E-11 | 3.02E-11 | 3.47E-10 | 3.02E-11 | 3.02E-11 |
| U: 476.00 | U: 513.00 | U: 557.00 | U: 476.00 | U: 466.00 | U: 465.00 | U: 465.00 | U: 465.00 | U: 490.00 | U: 465.00 | U: 465.00 | |
| S | S | S | S | S | S | S | S | S | S | S | |
| F12 | 3.02E-11 | 3.02E-11 | 3.02E-11 | 3.02E-11 | 3.02E-11 | 2.94E-11 | 3.02E-11 | 3.69E-11 | 3.02E-11 | 3.02E-11 | 3.02E-11 |
| U: 465.00 | U: 465.00 | U: 465.00 | U: 465.00 | U: 465.00 | U: 465.00 | U: 465.00 | U: 467.00 | U: 465.00 | U: 465.00 | U: 465.00 | |
| Total | S:12, N:0, E:0 | S:10, N:0, E:2 | S:9, N:0, E:3 | S:12, N:0, E:0 | S:12, N:0, E:0 | S:12, N:0, E:0 | S:12, N:0, E:0 | S:12, N:0, E:0 | S:11, N:0, E:1 | S:12, N:0, E:0 | S:12, N:0, E:0 |
| Function | FVIM | FLO | STOA | SOA | MVO | AO | SSOA | Chimp | CPO | ROA |
|---|---|---|---|---|---|---|---|---|---|---|
| F1 | 3.02E-11 | 1.21E-12 | 3.02E-11 | 4.08E-11 | 3.02E-11 | 3.02E-11 | 1.01E-12 | 3.02E-11 | 3.02E-11 | 3.02E-11 |
| U: 915.0000 | U: 915.0000 | U: 915.0000 | U: 915.0000 | U: 915.0000 | U: 915.0000 | U: 465.0000 | U: 915.0000 | U: 915.0000 | U: 915.0000 | |
| E | E | E | E | E | E | S | E | E | E | |
| F2 | 0.160802 | 0.160802 | 0.160802 | 0.160802 | 2.27E-12 | 0.160802 | 0.160802 | 1 | 0.160802 | 0.160802 |
| U: 945.0000 | U: 945.0000 | U: 945.0000 | U: 945.0000 | U: 465.0000 | U: 945.0000 | U: 945.0000 | U: 915.0000 | U: 945.0000 | U: 945.0000 | |
| E | E | E | E | S | E | E | E | E | E | |
| F3 | 3.02E-11 | 1.21E-12 | 3.02E-11 | 4.08E-11 | 3.02E-11 | 3.02E-11 | 1.21E-12 | 0.000132 | 3.02E-11 | 3.02E-11 |
| U: 1365.0000 | U: 1365.0000 | U: 465.0000 | U: 1362.0000 | U: 465.0000 | U: 1365.0000 | U: 1365.0000 | U: 656.0000 | U: 1365.0000 | U: 1365.0000 | |
| N | N | S | N | S | N | N | S | N | N | |
| F4 | 3.02E-11 | 1.21E-12 | 3.02E-11 | 4.08E-11 | 3.02E-11 | 3.02E-11 | 1.21E-12 | 8.88E-06 | 3.02E-11 | 3.02E-11 |
| U: 1365.0000 | U: 1365.0000 | U: 465.0000 | U: 1362.0000 | U: 465.0000 | U: 1365.0000 | U: 1365.0000 | U: 614.0000 | U: 1365.0000 | U: 1365.0000 | |
| N | N | S | N | S | N | N | S | N | N | |
| F5 | 3.65E-08 | 3.02E-11 | 0.026077 | 1.07E-09 | 1.09E-10 | 3.02E-11 | 3.02E-11 | 8.48E-09 | 3.02E-11 | 3.02E-11 |
| U: 1288.0000 | U: 1365.0000 | U: 1066.0000 | U: 1328.0000 | U: 478.0000 | U: 1365.0000 | U: 1365.0000 | U: 1305.0000 | U: 1365.0000 | U: 1365.0000 | |
| N | N | N | N | S | N | N | N | N | N | |
| F6 | 1.21E-12 | 1.21E-12 | 1.21E-12 | 1.21E-12 | 1.21E-12 | 1.21E-12 | 1.21E-12 | 1.21E-12 | 1.21E-12 | 1.21E-12 |
| U: 465.0000 | U: 465.0000 | U: 465.0000 | U: 465.0000 | U: 465.0000 | U: 465.0000 | U: 465.0000 | U: 465.0000 | U: 465.0000 | U: 465.0000 | |
| S | S | S | S | S | S | S | S | S | S | |
| F7 | 1.21E-12 | 0.00137 | 1.21E-12 | 1.21E-12 | 1.21E-12 | 1.21E-12 | 1.21E-12 | 1.21E-12 | 1.21E-12 | 1.21E-12 |
| U: 465.0000 | U: 780.0000 | U: 465.0000 | U: 465.0000 | U: 465.0000 | U: 465.0000 | U: 465.0000 | U: 465.0000 | U: 465.0000 | U: 465.0000 | |
| S | S | S | S | S | S | S | S | S | S | |
| F8 | 3.02E-11 | 1.21E-12 | 8.35E-08 | 3.02E-11 | 3.02E-11 | 3.02E-11 | 1.21E-12 | 3.02E-11 | 3.02E-11 | 3.02E-11 |
| U: 1365.0000 | U: 1365.0000 | U: 552.0000 | U: 1365.0000 | U: 465.0000 | U: 1365.0000 | U: 1365.0000 | U: 1365.0000 | U: 1365.0000 | U: 465.0000 | |
| N | N | S | N | S | N | N | N | N | S | |
| F9 | 3.02E-11 | 1.21E-12 | 3.02E-11 | 3.02E-11 | 3.02E-11 | 6.01E-08 | 3.02E-11 | 3.02E-11 | 0.009069 | 5.07E-10 |
| U: 465.0000 | U: 1365.0000 | U: 465.0000 | U: 465.0000 | U: 465.0000 | U: 548.0000 | U: 465.0000 | U: 465.0000 | U: 738.0000 | U: 494.0000 | |
| S | N | S | S | S | S | S | S | N | S | |
| F10 | 6.7E-11 | 3.02E-11 | 3.02E-11 | 3.02E-11 | 6.7E-11 | 3.02E-11 | 3.02E-11 | 3.02E-11 | 2.96E-05 | 3.02E-11 |
| U: 473.0000 | U: 465.0000 | U: 465.0000 | U: 465.0000 | U: 473.0000 | U: 465.0000 | U: 465.0000 | U: 465.0000 | U: 1198.0000 | U: 465.0000 | |
| S | S | S | S | S | S | S | S | N | S | |
| F11 | 0.001518 | 3.02E-11 | 3.02E-11 | 3.02E-11 | 0.311188 | 1.25E-07 | 3.02E-11 | 3.02E-11 | 1.46E-10 | 3.02E-11 |
| U: 700.0000 | U: 465.0000 | U: 465.0000 | U: 465.0000 | U: 984.0000 | U: 557.0000 | U: 465.0000 | U: 465.0000 | U: 1349.0000 | U: 465.0000 | |
| S | S | S | S | E | S | S | S | N | S | |
| F12 | 3.02E-11 | 1.72E-12 | 0.011711 | 3.02E-11 | 3.02E-11 | 3.02E-11 | 1.72E-12 | 0.304177 | 3.02E-11 | 1.43E-05 |
| U: 1365.0000 | U: 1365.0000 | U: 744.0000 | U: 1365.0000 | U: 465.0000 | U: 1365.0000 | U: 1365.0000 | U: 845.0000 | U: 1365.0000 | U: 1209.0000 | |
| N | N | S | N | S | N | N | E | N | N | |
| F13 | 3.47E-10 | 1.21E-12 | 3.02E-11 | 3.02E-11 | 3.02E-11 | 3.02E-11 | 1.21E-12 | 3.02E-11 | 3.02E-11 | 3.02E-11 |
| U: 1340.0000 | U: 1365.0000 | U: 1365.0000 | U: 1365.0000 | U: 465.0000 | U: 1365.0000 | U: 1365.0000 | U: 1365.0000 | U: 1365.0000 | U: 1365.0000 | |
| N | N | N | N | S | N | N | N | N | N | |
| F14 | 3.02E-11 | 3.02E-11 | 2.23E-09 | 3.02E-11 | 3.02E-11 | 3.02E-11 | 3.02E-11 | 0.028129 | 3.02E-11 | 3.02E-11 |
| U: 1365.0000 | U: 1365.0000 | U: 510.0000 | U: 1365.0000 | U: 465.0000 | U: 1365.0000 | U: 1365.0000 | U: 766.0000 | U: 1365.0000 | U: 1365.0000 | |
| N | N | S | N | S | N | N | S | N | N | |
| F15 | 3.02E-11 | 9.4E-12 | 4.5E-11 | 3.02E-11 | 3.02E-11 | 3.02E-11 | 1.72E-12 | 0.011228 | 3.02E-11 | 3.02E-11 |
| U: 1365.0000 | U: 1365.0000 | U: 1361.0000 | U: 1365.0000 | U: 465.0000 | U: 1365.0000 | U: 1365.0000 | U: 743.0000 | U: 1365.0000 | U: 1365.0000 | |
| N | N | N | N | S | N | N | S | N | N | |
| F16 | 0.610008 | 1.21E-12 | 0.001597 | 0.000856 | 3.02E-11 | 3.02E-11 | 1.61E-10 | 4.62E-10 | 0.3871 | 3.02E-11 |
| U: 950.0000 | U: 1365.0000 | U: 701.0000 | U: 689.0000 | U: 465.0000 | U: 1365.0000 | U: 482.0000 | U: 493.0000 | U: 856.0000 | U: 1365.0000 | |
| E | N | S | S | S | N | S | S | E | N | |
| F17 | 0.003034 | 3.02E-11 | 0.001442 | 5.19E-07 | 6.7E-11 | 3.02E-11 | 3.02E-11 | 2.32E-06 | 9.53E-07 | 5.07E-10 |
| U: 1116.0000 | U: 1365.0000 | U: 699.0000 | U: 1255.0000 | U: 473.0000 | U: 1365.0000 | U: 1365.0000 | U: 595.0000 | U: 583.0000 | U: 1336.0000 | |
| S | N | N | N | S | N | N | S | N | N | |
| F18 | 1.94E-11 | 0.520149 | 1.21E-10 | 7.35E-11 | 2.2E-10 | 9.93E-11 | 1.28E-11 | 2.2E-10 | 1.28E-11 | 1.63E-10 |
| U: 471.0000 | U: 878.5000 | U: 489.0000 | U: 484.0000 | U: 495.0000 | U: 487.0000 | U: 467.0000 | U: 495.0000 | U: 467.0000 | U: 492.0000 | |
| S | E | S | S | N | S | S | N | S | S | |
| F19 | 1.21E-12 | 4.57E-12 | 1.21E-12 | 1.21E-12 | 1.21E-12 | 1.21E-12 | 1.21E-12 | 1.21E-12 | 1.21E-12 | 1.21E-12 |
| U: 465.0000 | U: 480.0000 | U: 465.0000 | U: 465.0000 | U: 465.0000 | U: 465.0000 | U: 465.0000 | U: 465.0000 | U: 465.0000 | U: 465.0000 | |
| S | S | S | S | S | S | S | S | S | S | |
| F20 | 1.21E-12 | 4.57E-12 | 1.21E-12 | 1.21E-12 | 1.21E-12 | 1.21E-12 | 1.21E-12 | 1.21E-12 | 1.21E-12 | 0.041911 |
| U: 915.0000 | U: 915.0000 | U: 915.0000 | U: 915.0000 | U: 465.0000 | U: 915.0000 | U: 915.0000 | U: 915.0000 | U: 915.0000 | U: 855.0000 | |
| E | E | E | E | S | E | E | E | E | S | |
| F21 | 1.21E-12 | 1.21E-12 | 1.21E-12 | 1.21E-12 | 1.21E-12 | 1.21E-12 | 1.21E-12 | 1.21E-12 | 1.21E-12 | 1.21E-12 |
| U: 465.0000 | U: 465.0000 | U: 465.0000 | U: 465.0000 | U: 465.0000 | U: 465.0000 | U: 465.0000 | U: 465.0000 | U: 465.0000 | U: 465.0000 | |
| S | S | S | S | S | S | S | S | S | S | |
| F22 | 0.000253 | 1.21E-12 | 4.44E-07 | 4.2E-10 | 1.78E-10 | 1.21E-12 | 1.21E-12 | 2E-06 | 1.21E-12 | 1.21E-12 |
| U: 1163.0000 | U: 1365.0000 | U: 1257.0000 | U: 1338.0000 | U: 483.0000 | U: 1365.0000 | U: 1365.0000 | U: 1237.0000 | U: 1365.0000 | U: 1365.0000 | |
| N | N | N | N | S | N | N | N | N | N | |
| F23 | 0.099258 | 1.59E-10 | 0.258051 | 0.652044 | 8.48E-09 | 0.020681 | 3.02E-11 | 3.32E-06 | 5.97E-05 | 3.02E-11 |
| U: 1027.0000 | U: 1344.0000 | U: 992.0000 | U: 946.0000 | U: 1305.0000 | U: 1072.0000 | U: 465.0000 | U: 1230.0000 | U: 643.0000 | U: 1365.0000 | |
| E | N | E | E | N | N | S | N | S | N | |
| F24 | 1.21E-12 | 1.21E-12 | 1.21E-12 | 1.21E-12 | 1.21E-12 | 1.21E-12 | 1.21E-12 | 1.21E-12 | 1.21E-12 | 1.21E-12 |
| U: 465.0000 | U: 465.0000 | U: 465.0000 | U: 465.0000 | U: 465.0000 | U: 465.0000 | U: 465.0000 | U: 465.0000 | U: 465.0000 | U: 465.0000 | |
| S | S | S | S | S | S | S | S | S | S | |
| F25 | 6.12E-10 | 3.02E-11 | 4.5E-11 | 3.02E-11 | 3.96E-08 | 3.02E-11 | 3.02E-11 | 3.02E-11 | 1.96E-10 | 3.02E-11 |
| U: 496.0000 | U: 465.0000 | U: 469.0000 | U: 465.0000 | U: 543.0000 | U: 465.0000 | U: 465.0000 | U: 465.0000 | U: 484.0000 | U: 465.0000 | |
| S | S | S | S | S | S | S | S | S | S |
| Function | FVIM | FLO | STOA | SOA | MVO | AO | SSOA | Chimp | CPO | ROA |
|---|---|---|---|---|---|---|---|---|---|---|
| F26 | 0.019112 | 1.29E-09 | 2.15E-10 | 2.23E-09 | 6.36E-05 | 2.03E-09 | 3.02E-11 | 3.02E-11 | 0.464273 | 5.57E-10 |
| U: 1074.0000 | U: 504.0000 | U: 485.0000 | U: 510.0000 | U: 644.0000 | U: 509.0000 | U: 465.0000 | U: 465.0000 | U: 865.0000 | U: 495.0000 | |
| N | S | S | S | S | S | S | S | E | S | |
| F27 | 1.21E-12 | 1.21E-12 | 1.21E-12 | 1.21E-12 | 1.21E-12 | 1.21E-12 | 1.21E-12 | 1.21E-12 | 1.21E-12 | 1.21E-12 |
| U: 915.0000 | U: 915.0000 | U: 915.0000 | U: 915.0000 | U: 465.0000 | U: 915.0000 | U: 915.0000 | U: 915.0000 | U: 915.0000 | U: 915.0000 | |
| E | E | E | E | S | E | E | E | E | E | |
| F28 | 2.36E-12 | 2.64E-12 | 2.36E-12 | 2.36E-12 | 2.36E-12 | 2.36E-12 | 2.36E-12 | 2.36E-12 | 2.36E-12 | 2.36E-12 |
| U: 465.0000 | U: 466.0000 | U: 465.0000 | U: 465.0000 | U: 465.0000 | U: 465.0000 | U: 465.0000 | U: 465.0000 | U: 465.0000 | U: 465.0000 | |
| S | S | S | S | S | S | S | S | S | S | |
| F29 | 1.21E-12 | 1.21E-12 | 1.21E-12 | 1.21E-12 | 1.21E-12 | 1.21E-12 | 1.21E-12 | 1.21E-12 | 1.21E-12 | 1.21E-12 |
| U: 915.0000 | U: 915.0000 | U: 915.0000 | U: 915.0000 | U: 465.0000 | U: 915.0000 | U: 915.0000 | U: 915.0000 | U: 915.0000 | U: 825.0000 | |
| E | E | E | E | S | E | E | E | E | S | |
| F30 | 1.21E-12 | 1.21E-12 | 1.21E-12 | 1.21E-12 | 1.21E-12 | 1.21E-12 | 1.21E-12 | 1.21E-12 | 1.21E-12 | 1.21E-12 |
| U: 915.0000 | U: 915.0000 | U: 915.0000 | U: 915.0000 | U: 465.0000 | U: 915.0000 | U: 915.0000 | U: 915.0000 | U: 915.0000 | U: 765.0000 | |
| E | E | E | E | S | E | E | E | E | S | |
| F31 | 1.36E-07 | 0.000433 | 4.08E-11 | 3.02E-11 | 1.7E-08 | 3.02E-11 | 3.02E-11 | 3.02E-11 | 6.52E-09 | 3.69E-11 |
| U: 558.0000 | U: 676.5000 | U: 468.0000 | U: 465.0000 | U: 533.0000 | U: 465.0000 | U: 465.0000 | U: 465.0000 | U: 522.0000 | U: 467.0000 | |
| S | S | S | S | S | S | S | S | S | S | |
| F32 | 2.08E-11 | 2.08E-11 | 2.08E-11 | 2.08E-11 | 2.08E-11 | 2.08E-11 | 2.08E-11 | 2.08E-11 | 2.08E-11 | 2.08E-11 |
| U: 465.0000 | U: 465.0000 | U: 465.0000 | U: 465.0000 | U: 465.0000 | U: 465.0000 | U: 465.0000 | U: 465.0000 | U: 465.0000 | U: 465.0000 | |
| S | S | S | S | S | S | S | S | S | S | |
| F33 | 1.87E-05 | 3.83E-05 | 3.82E-09 | 3.02E-11 | 5.19E-07 | 0.000132 | 4.12E-06 | 3.02E-11 | 0.000213 | 0.000125 |
| U: 625.0000 | U: 636.0000 | U: 516.0000 | U: 465.0000 | U: 575.0000 | U: 656.0000 | U: 603.0000 | U: 465.0000 | U: 664.0000 | U: 655.0000 | |
| S | S | S | S | S | N | S | S | N | S | |
| F34 | 3.02E-11 | 3.02E-11 | 3.02E-11 | 3.02E-11 | 3.02E-11 | 3.02E-11 | 3.02E-11 | 3.02E-11 | 3.02E-11 | 3.02E-11 |
| U: 465.0000 | U: 465.0000 | U: 465.0000 | U: 465.0000 | U: 465.0000 | U: 465.0000 | U: 465.0000 | U: 465.0000 | U: 465.0000 | U: 465.0000 | |
| S | S | S | S | S | S | S | S | S | S | |
| F35 | 3.02E-11 | 3.02E-11 | 3.02E-11 | 3.02E-11 | 3.02E-11 | 3.02E-11 | 3.02E-11 | 3.02E-11 | 3.02E-11 | 3.02E-11 |
| U: 465.0000 | U: 465.0000 | U: 465.0000 | U: 465.0000 | U: 465.0000 | U: 465.0000 | U: 465.0000 | U: 465.0000 | U: 465.0000 | U: 465.0000 | |
| S | S | S | S | S | S | S | S | S | S | |
| F36 | 3.02E-11 | 3.02E-11 | 3.02E-11 | 3.02E-11 | 3.02E-11 | 3.02E-11 | 3.02E-11 | 3.02E-11 | 3.02E-11 | 3.02E-11 |
| U: 465.0000 | U: 465.0000 | U: 465.0000 | U: 465.0000 | U: 465.0000 | U: 465.0000 | U: 465.0000 | U: 465.0000 | U: 465.0000 | U: 465.0000 | |
| S | S | S | S | S | S | S | S | S | S | |
| F37 | 2.32E-06 | 1.21E-10 | 4.31E-08 | 1.2E-08 | 0.211561 | 2.15E-10 | 3.02E-11 | 3.02E-11 | 2.6E-08 | 2.23E-09 |
| U: 595.0000 | U: 479.0000 | U: 544.0000 | U: 529.0000 | U: 1000.0000 | U: 485.0000 | U: 465.0000 | U: 465.0000 | U: 538.0000 | U: 510.0000 | |
| S | S | S | S | E | S | S | S | S | S | |
| F38 | 0.325527 | 1.86E-09 | 5.57E-10 | 1.61E-10 | 9.83E-08 | 2.19E-08 | 3.02E-11 | 3.02E-11 | 0.001302 | 4.98E-11 |
| U: 848.0000 | U: 508.0000 | U: 495.0000 | U: 482.0000 | U: 1276.0000 | U: 536.0000 | U: 465.0000 | U: 465.0000 | U: 697.0000 | U: 470.0000 | |
| E | S | S | S | N | S | S | S | S | S | |
| F39 | 1.01E-11 | 1.01E-11 | 1.01E-11 | 1.01E-11 | 1.01E-11 | 1.01E-11 | 1.01E-11 | 1.01E-11 | 1.01E-11 | 1.01E-11 |
| U: 465.0000 | U: 465.0000 | U: 465.0000 | U: 465.0000 | U: 465.0000 | U: 465.0000 | U: 465.0000 | U: 465.0000 | U: 465.0000 | U: 465.0000 | |
| S | S | S | S | S | S | S | S | S | S | |
| F40 | 0.455297 | 3.82E-10 | 3.02E-11 | 3.02E-11 | 0.10547 | 0.005084 | 3.02E-11 | 3.96E-08 | 0.145319 | 3.02E-11 |
| U: 966.0000 | U: 491.0000 | U: 465.0000 | U: 465.0000 | U: 805.0000 | U: 725.0000 | U: 465.0000 | U: 543.0000 | U: 1014.0000 | U: 465.0000 | |
| E | S | S | S | E | S | S | S | E | S | |
| F41 | 0.014872 | 1.21E-12 | 1.39E-06 | 0.141278 | 3.02E-11 | 1.21E-12 | 1.21E-12 | 0.015014 | 1.21E-12 | 5.22E-12 |
| U: 1078.0000 | U: 1365.0000 | U: 588.0000 | U: 1015.0000 | U: 465.0000 | U: 1365.0000 | U: 1365.0000 | U: 750.0000 | U: 1365.0000 | U: 1365.0000 | |
| N | N | S | E | S | N | N | S | N | N | |
| F42 | 2.96E-11 | 1.21E-12 | 3.02E-11 | 3.02E-11 | 3.02E-11 | 1.21E-12 | 1.21E-12 | 3.02E-11 | 1.21E-12 | 3.34E-11 |
| U: 1365.0000 | U: 1365.0000 | U: 465.0000 | U: 465.0000 | U: 465.0000 | U: 1365.0000 | U: 1365.0000 | U: 465.0000 | U: 1365.0000 | U: 1364.0000 | |
| N | N | S | S | S | N | N | S | N | N | |
| F43 | 0.021506 | 1.21E-12 | 0.093341 | 1.17E-05 | 8.1E-10 | 3.02E-11 | 3.02E-11 | 2.2E-07 | 3.02E-11 | 3.02E-11 |
| U: 1071.0000 | U: 1365.0000 | U: 801.0000 | U: 618.0000 | U: 499.0000 | U: 1365.0000 | U: 465.0000 | U: 564.0000 | U: 1365.0000 | U: 1365.0000 | |
| N | N | E | S | S | N | S | S | N | N | |
| F44 | 0.032651 | 1.21E-12 | 2.19E-08 | 3.69E-11 | 3.02E-11 | 3.02E-11 | 3.02E-11 | 3.02E-11 | 3.02E-11 | 3.02E-11 |
| U: 1060.0000 | U: 1365.0000 | U: 536.0000 | U: 467.0000 | U: 1365.0000 | U: 1365.0000 | U: 465.0000 | U: 465.0000 | U: 1365.0000 | U: 1365.0000 | |
| N | N | S | S | N | N | S | S | N | N | |
| F45 | 1.21E-12 | 1.21E-12 | 1.21E-12 | 1.21E-12 | 1.21E-12 | 1.21E-12 | 1.21E-12 | 1.21E-12 | 1.21E-12 | 1.21E-12 |
| U: 465.0000 | U: 465.0000 | U: 465.0000 | U: 465.0000 | U: 465.0000 | U: 465.0000 | U: 465.0000 | U: 465.0000 | U: 465.0000 | U: 465.0000 | |
| S | S | S | S | S | S | S | S | S | S | |
| F46 | 0.000213 | 4.08E-11 | 3.34E-11 | 3.02E-11 | 0.739399 | 1.41E-09 | 3.02E-11 | 3.02E-11 | 5.49E-11 | 5.49E-11 |
| U: 664.0000 | U: 468.0000 | U: 466.0000 | U: 465.0000 | U: 938.0000 | U: 505.0000 | U: 465.0000 | U: 465.0000 | U: 471.0000 | U: 471.0000 | |
| S | S | S | S | E | S | S | S | S | S | |
| F47 | 0.195791 | 3.02E-11 | 3.02E-11 | 2.87E-10 | 0.695215 | 0.000284 | 3.02E-11 | 1.33E-10 | 1.16E-07 | 3.02E-11 |
| U: 827.0000 | U: 465.0000 | U: 465.0000 | U: 488.0000 | U: 888.0000 | U: 669.0000 | U: 465.0000 | U: 480.0000 | U: 556.0000 | U: 465.0000 | |
| E | S | S | S | E | S | S | S | S | S | |
| F48 | 1.27E-11 | 1.27E-11 | 1.27E-11 | 1.27E-11 | 1.27E-11 | 1.27E-11 | 1.27E-11 | 1.27E-11 | 1.27E-11 | 1.27E-11 |
| U: 465.0000 | U: 465.0000 | U: 465.0000 | U: 465.0000 | U: 465.0000 | U: 465.0000 | U: 465.0000 | U: 465.0000 | U: 465.0000 | U: 465.0000 | |
| S | S | S | S | S | S | S | S | S | S | |
| F49 | 0.000587 | 3.02E-11 | 2.83E-08 | 3.5E-09 | 0.000655 | 1.11E-06 | 3.02E-11 | 8.88E-06 | 0.000117 | 8.89E-10 |
| U: 682.0000 | U: 465.0000 | U: 539.0000 | U: 515.0000 | U: 684.0000 | U: 585.0000 | U: 465.0000 | U: 614.0000 | U: 654.0000 | U: 500.0000 | |
| S | S | S | S | S | S | S | S | S | S | |
| F50 | 3.81E-07 | 3.02E-11 | 2.61E-10 | 2.37E-10 | 0.19073 | 7.38E-10 | 3.02E-11 | 3.02E-11 | 4.18E-09 | 3.02E-11 |
| U: 571.0000 | U: 465.0000 | U: 487.0000 | U: 486.0000 | U: 826.0000 | U: 498.0000 | U: 465.0000 | U: 465.0000 | U: 517.0000 | U: 465.0000 | |
| Total | S:25, N:14, E:11 | S:26, N:17, E:7 | S:37, N:5, E:8 | S:32, N:10, E:8 | S:39, N:4, E:7 | S:27, N:17, E:6 | S:33, N:12, E:5 | S:37, N:6, E:7 | S:23, N:18, E:9 | S:32, N:15, E:3 |
| Function | WOA | PSO | MFO | SHIO | ZOA | GWO | SCA | DOA | SCSO | GA | SA |
|---|---|---|---|---|---|---|---|---|---|---|---|
| F1 | 3.02E-11 | 3.02E-11 | 3.02E-11 | 3.02E-11 | 5.87E-10 | 3.02E-11 | 3.02E-11 | 3.02E-11 | 3.02E-11 | 5.07E-09 | 3.02E-11 |
| U: 915.0000 | U: 915.0000 | U: 915.0000 | U: 915.0000 | U: 540.0000 | U: 915.0000 | U: 915.0000 | U: 915.0000 | U: 915.0000 | U: 570.0000 | U: 915.0000 | |
| E | E | E | E | S | E | E | E | E | S | E | |
| F2 | 0.557056 | 0.160802 | 5.89E-11 | 0.160802 | 0.160802 | 0.160802 | 2.06E-08 | 0.160802 | 0.160802 | 2.37E-12 | 2.37E-12 |
| U: 930.5000 | U: 945.0000 | U: 500.5000 | U: 945.0000 | U: 945.0000 | U: 945.0000 | U: 572.5000 | U: 945.0000 | U: 945.0000 | U: 465.0000 | U: 465.0000 | |
| E | E | S | E | E | E | S | E | E | S | S | |
| F3 | 3.02E-11 | 3.02E-11 | 3.02E-11 | 3.02E-11 | 3.02E-11 | 3.02E-11 | 3.02E-11 | 3.01E-11 | 3.02E-11 | 3.02E-11 | 3.02E-11 |
| U: 1365.0000 | U: 465.0000 | U: 465.0000 | U: 1365.0000 | U: 1365.0000 | U: 1365.0000 | U: 465.0000 | U: 1365.0000 | U: 1365.0000 | U: 465.0000 | U: 465.0000 | |
| N | S | S | N | N | N | S | N | N | S | S | |
| F4 | 3.02E-11 | 3.02E-11 | 3.02E-11 | 3.02E-11 | 3.02E-11 | 3.02E-11 | 3.02E-11 | 3.02E-11 | 3.02E-11 | 3.02E-11 | 3.02E-11 |
| U: 1365.0000 | U: 465.0000 | U: 465.0000 | U: 1365.0000 | U: 1365.0000 | U: 1365.0000 | U: 465.0000 | U: 1365.0000 | U: 1365.0000 | U: 465.0000 | U: 465.0000 | |
| N | S | S | N | N | N | S | N | N | S | S | |
| F5 | 4.11E-07 | 3.02E-11 | 3.02E-11 | 0.011228 | 3.02E-11 | 3.47E-10 | 3.02E-11 | 3.69E-11 | 3.02E-11 | 3.02E-11 | 3.02E-11 |
| U: 1258.0000 | U: 465.0000 | U: 465.0000 | U: 1087.0000 | U: 1365.0000 | U: 1340.0000 | U: 465.0000 | U: 1363.0000 | U: 1365.0000 | U: 465.0000 | U: 465.0000 | |
| N | S | S | N | N | N | S | N | N | S | S | |
| F6 | 1.21E-12 | 0.160802 | 1.21E-12 | 4.57E-12 | 1.21E-12 | 1.21E-12 | 8.87E-07 | 1.21E-12 | 1.21E-12 | 1.21E-12 | |
| U: 465.0000 | U: 915.0000 | U: 885.0000 | U: 465.0000 | U: 480.0000 | U: 465.0000 | U: 465.0000 | U: 645.0000 | U: 465.0000 | U: 465.0000 | U: 465.0000 | |
| S | E | E | S | S | S | S | S | S | S | S | |
| F7 | 1.21E-12 | 1.21E-12 | 1.21E-12 | 1.21E-12 | 8.87E-07 | 1.21E-12 | 1.21E-12 | 1.21E-12 | 1.21E-12 | 1.21E-12 | 1.21E-12 |
| U: 465.0000 | U: 915.0000 | U: 915.0000 | U: 465.0000 | U: 645.0000 | U: 465.0000 | U: 465.0000 | U: 915.0000 | U: 465.0000 | U: 465.0000 | U: 465.0000 | |
| S | E | E | S | S | S | S | E | S | S | S | |
| F8 | 3.02E-11 | 3.02E-11 | 0.000399 | 3.02E-11 | 1.21E-12 | 3.02E-11 | 0.403538 | 3E-11 | 3.02E-11 | 3.02E-11 | 3.02E-11 |
| U: 1365.0000 | U: 465.0000 | U: 1155.0000 | U: 1365.0000 | U: 1365.0000 | U: 1365.0000 | U: 858.0000 | U: 1365.0000 | U: 1365.0000 | U: 465.0000 | U: 465.0000 | |
| N | S | S | N | N | N | E | N | N | S | S | |
| F9 | 3.02E-11 | 7.39E-11 | 3.02E-11 | 6.07E-11 | 3.02E-11 | 3.69E-11 | 3.02E-11 | 0.000399 | 3.02E-11 | 3.02E-11 | 3.02E-11 |
| U: 465.0000 | U: 474.0000 | U: 465.0000 | U: 472.0000 | U: 465.0000 | U: 467.0000 | U: 465.0000 | U: 1155.0000 | U: 465.0000 | U: 465.0000 | U: 465.0000 | |
| S | S | S | S | S | S | S | S | S | S | S | |
| F10 | 0.000132 | 2.13E-11 | 3.02E-11 | 0.001174 | 0.437641 | 1.6E-07 | 3.02E-11 | 0.001836 | 0.559231 | 3.02E-11 | 3.02E-11 |
| U: 656.0000 | U: 1365.0000 | U: 1365.0000 | U: 695.0000 | U: 862.0000 | U: 560.0000 | U: 465.0000 | U: 1125.0000 | U: 875.0000 | U: 465.0000 | U: 465.0000 | |
| S | N | N | S | E | S | S | S | E | S | S | |
| F11 | 0.074827 | 8.99E-11 | 5.19E-07 | 0.000587 | 2.87E-10 | 0.761828 | 3.02E-11 | 3.02E-11 | 2.78E-07 | 3.02E-11 | 3.02E-11 |
| U: 794.0000 | U: 1354.0000 | U: 575.0000 | U: 682.0000 | U: 488.0000 | U: 936.0000 | U: 465.0000 | U: 465.0000 | U: 567.0000 | U: 465.0000 | U: 465.0000 | |
| E | N | S | S | S | E | S | S | S | S | S | |
| F12 | 3.02E-11 | 3.02E-11 | 3.02E-11 | 3.02E-11 | 3.02E-11 | 3.02E-11 | 3.02E-11 | 2.95E-11 | 3.02E-11 | 3.02E-11 | 3.02E-11 |
| U: 465.0000 | U: 465.0000 | U: 465.0000 | U: 1365.0000 | U: 1365.0000 | U: 1365.0000 | U: 465.0000 | U: 1365.0000 | U: 1365.0000 | U: 465.0000 | U: 465.0000 | |
| S | S | S | N | N | N | S | N | N | S | S | |
| F13 | 4.98E-11 | 3.02E-11 | 3.02E-11 | 0.00062 | 3.02E-11 | 4.08E-11 | 3.02E-11 | 3.01E-11 | 3.02E-11 | 3.02E-11 | 3.02E-11 |
| U: 1360.0000 | U: 465.0000 | U: 465.0000 | U: 1147.0000 | U: 1365.0000 | U: 1362.0000 | U: 465.0000 | U: 1365.0000 | U: 1365.0000 | U: 465.0000 | U: 465.0000 | |
| N | S | S | N | N | N | S | N | N | S | S | |
| F14 | 3.02E-11 | 3.02E-11 | 3.02E-11 | 3.02E-11 | 3.02E-11 | 3.02E-11 | 3.02E-11 | 3.02E-11 | 3.02E-11 | 3.02E-11 | 3.02E-11 |
| U: 1365.0000 | U: 465.0000 | U: 465.0000 | U: 1365.0000 | U: 1365.0000 | U: 1365.0000 | U: 465.0000 | U: 1365.0000 | U: 1365.0000 | U: 465.0000 | U: 465.0000 | |
| N | S | S | N | N | N | S | N | N | S | S | |
| F15 | 3.02E-11 | 3.02E-11 | 3.02E-11 | 3.02E-11 | 3.02E-11 | 3.02E-11 | 3.02E-11 | 2.92E-11 | 3.02E-11 | 3.02E-11 | 3.02E-11 |
| U: 465.0000 | U: 465.0000 | U: 465.0000 | U: 1365.0000 | U: 1365.0000 | U: 1365.0000 | U: 465.0000 | U: 1365.0000 | U: 1365.0000 | U: 465.0000 | U: 465.0000 | |
| S | S | S | N | N | N | S | N | N | S | S | |
| F16 | 0.78446 | 0.000284 | 3.02E-11 | 0.888303 | 0.002499 | 0.016285 | 3.02E-11 | 3.02E-11 | 0.118817 | 3.02E-11 | 3.02E-11 |
| U: 896.0000 | U: 669.0000 | U: 465.0000 | U: 925.0000 | U: 710.0000 | U: 1078.0000 | U: 465.0000 | U: 465.0000 | U: 809.0000 | U: 465.0000 | U: 465.0000 | |
| E | S | S | E | S | N | S | S | E | S | S | |
| F17 | 0.019883 | 6.07E-11 | 3.02E-11 | 0.025101 | 3.02E-11 | 3.82E-10 | 3.02E-11 | 5.57E-10 | 3.02E-11 | 3.02E-11 | 3.02E-11 |
| U: 757.0000 | U: 472.0000 | U: 465.0000 | U: 1067.0000 | U: 1365.0000 | U: 1339.0000 | U: 465.0000 | U: 495.0000 | U: 1365.0000 | U: 465.0000 | U: 465.0000 | |
| N | S | S | S | N | N | S | S | N | S | S | |
| F18 | 6.64E-11 | 0.004764 | 0.682368 | 1.58E-11 | 6.03E-09 | 7.35E-11 | 1.34E-10 | 0.37355 | 4E-11 | 1.95E-11 | 2.2E-10 |
| U: 483.0000 | U: 744.0000 | U: 936.5000 | U: 469.0000 | U: 534.0000 | U: 484.0000 | U: 490.0000 | U: 865.0000 | U: 478.0000 | U: 471.0000 | U: 495.0000 | |
| S | S | E | S | S | S | S | E | S | S | N | |
| F19 | 1.21E-12 | 1.21E-12 | 1.21E-12 | 1.21E-12 | 4.79E-08 | 1.21E-12 | 1.21E-12 | 1.21E-12 | 1.21E-12 | 1.21E-12 | 1.21E-12 |
| U: 465.0000 | U: 915.0000 | U: 915.0000 | U: 465.0000 | U: 600.0000 | U: 465.0000 | U: 465.0000 | U: 915.0000 | U: 465.0000 | U: 465.0000 | U: 465.0000 | |
| S | E | E | S | S | S | S | E | S | S | S | |
| F20 | 1.21E-12 | 1.21E-12 | 2.21E-06 | 1.21E-12 | 1.21E-12 | 1.21E-12 | 1.21E-12 | 2.21E-06 | 1.21E-12 | 1.21E-12 | 1.21E-12 |
| U: 915.0000 | U: 915.0000 | U: 915.0000 | U: 915.0000 | U: 915.0000 | U: 915.0000 | U: 915.0000 | U: 915.0000 | U: 915.0000 | U: 465.0000 | U: 465.0000 | |
| E | E | E | E | E | E | E | E | E | S | S | |
| F21 | 1.21E-12 | 1.21E-12 | 1.66E-11 | 1.21E-12 | 1.66E-11 | 1.21E-12 | 1.21E-12 | 2.21E-06 | 1.21E-12 | 1.21E-12 | 1.21E-12 |
| U: 465.0000 | U: 915.0000 | U: 915.0000 | U: 465.0000 | U: 495.0000 | U: 465.0000 | U: 465.0000 | U: 660.0000 | U: 465.0000 | U: 465.0000 | U: 465.0000 | |
| S | E | E | S | S | S | S | S | S | S | S | |
| F22 | 1.21E-12 | 9.76E-10 | 3.34E-11 | 2.68E-06 | 1.21E-12 | 8.17E-11 | 0.695215 | 1.21E-12 | 1.21E-12 | 3.02E-11 | 3.02E-11 |
| U: 1365.0000 | U: 501.0000 | U: 466.0000 | U: 597.0000 | U: 1365.0000 | U: 1349.0000 | U: 888.0000 | U: 1365.0000 | U: 1365.0000 | U: 465.0000 | U: 465.0000 | |
| N | S | S | S | N | N | E | N | N | S | S | |
| F23 | 7.39E-11 | 0.297272 | 7.38E-10 | 0.695215 | 6.53E-08 | 0.000377 | 3.02E-11 | 0.153667 | 1.16E-07 | 3.02E-11 | 7.77E-09 |
| U: 1356.0000 | U: 986.0000 | U: 1332.0000 | U: 942.0000 | U: 1281.0000 | U: 1156.0000 | U: 465.0000 | U: 1012.0000 | U: 1274.0000 | U: 465.0000 | U: 1306.0000 | |
| N | E | N | E | N | N | S | E | N | S | N | |
| F24 | 1.21E-12 | 1.21E-12 | 1.21E-12 | 2.21E-06 | 1.21E-12 | 1.21E-12 | 1.21E-12 | 1.21E-12 | 2.21E-06 | 1.21E-12 | 1.21E-12 |
| U: 465.0000 | U: 915.0000 | U: 915.0000 | U: 465.0000 | U: 600.0000 | U: 465.0000 | U: 465.0000 | U: 915.0000 | U: 465.0000 | U: 465.0000 | U: 465.0000 | |
| S | E | E | S | S | S | S | E | S | S | S | |
| F25 | 1.46E-10 | 0.72646 | 2.88E-09 | 3.47E-10 | 5.61E-05 | 7.38E-10 | 3.02E-11 | 1.29E-09 | 1.25E-07 | 3.02E-11 | 1.46E-10 |
| U: 481.0000 | U: 939.0000 | U: 513.0000 | U: 490.0000 | U: 642.0000 | U: 498.0000 | U: 465.0000 | U: 504.0000 | U: 557.0000 | U: 465.0000 | U: 481.0000 | |
| S | E | S | S | S | S | S | S | S | S | S |
| Function | WOA | PSO | MFO | SHIO | ZOA | GWO | SCA | DOA | SCSO | GA | SA |
|---|---|---|---|---|---|---|---|---|---|---|---|
| F26 | 3.08E-08 | 0.761828 | 0.706171 | 0.673495 | 0.761828 | 0.77312 | 3.02E-11 | 1.53E-05 | 2E-05 | 3.02E-11 | 0.055546 |
| U: 540.0000 | U: 894.0000 | U: 941.0000 | U: 886.0000 | U: 936.0000 | U: 895.0000 | U: 465.0000 | U: 622.0000 | U: 626.0000 | U: 465.0000 | U: 785.0000 | |
| S | E | E | E | E | E | S | S | S | S | E | |
| F27 | 1.21E-12 | 1.21E-12 | 1.21E-12 | 1.21E-12 | 1.21E-12 | 1.21E-12 | 1.21E-12 | 1.21E-12 | 1.21E-12 | 1.21E-12 | 1.21E-12 |
| U: 915.0000 | U: 915.0000 | U: 915.0000 | U: 915.0000 | U: 915.0000 | U: 915.0000 | U: 915.0000 | U: 915.0000 | U: 915.0000 | U: 465.0000 | U: 465.0000 | |
| E | E | E | E | E | E | E | E | E | S | S | |
| F28 | 2.36E-12 | 0.654333 | 0.160742 | 2.36E-12 | 4.95E-09 | 2.36E-12 | 2.36E-12 | 3.81E-05 | 2.36E-12 | 2.36E-12 | 2.36E-12 |
| U: 465.0000 | U: 900.0000 | U: 945.0000 | U: 465.0000 | U: 555.0000 | U: 465.0000 | U: 465.0000 | U: 690.0000 | U: 465.0000 | U: 465.0000 | U: 465.0000 | |
| S | E | E | S | S | S | S | N | S | S | S | |
| F29 | 0.333711 | 1.21E-12 | 1.21E-12 | 1.21E-12 | 1.21E-12 | 1.21E-12 | 1.21E-12 | 1.21E-12 | 1.21E-12 | 1.21E-12 | 1.21E-12 |
| U: 900.0000 | U: 915.0000 | U: 915.0000 | U: 915.0000 | U: 915.0000 | U: 915.0000 | U: 915.0000 | U: 915.0000 | U: 915.0000 | U: 465.0000 | U: 465.0000 | |
| E | E | E | E | E | E | E | E | E | S | S | |
| F30 | 4.45E-12 | 1.21E-12 | 1.21E-12 | 1.21E-12 | 1.21E-12 | 1.21E-12 | 1.21E-12 | 1.21E-12 | 1.21E-12 | 1.21E-12 | 1.21E-12 |
| U: 480.0000 | U: 915.0000 | U: 915.0000 | U: 915.0000 | U: 915.0000 | U: 915.0000 | U: 915.0000 | U: 915.0000 | U: 915.0000 | U: 465.0000 | U: 465.0000 | |
| S | E | E | E | E | E | E | E | E | S | S | |
| F31 | 0.001767 | 5.11E-10 | 3.27E-10 | 1.03E-06 | 0.005801 | 5.53E-08 | 3.02E-11 | 6.19E-10 | 0.000318 | 3.02E-11 | 9.76E-10 |
| U: 703.0000 | U: 1331.0000 | U: 1337.0000 | U: 584.0000 | U: 1102.0000 | U: 547.0000 | U: 465.0000 | U: 1329.0000 | U: 671.0000 | U: 465.0000 | U: 501.0000 | |
| N | N | N | S | N | S | S | N | S | S | S | |
| F32 | 2.08E-11 | 0.667292 | 0.231069 | 2.08E-11 | 2.03E-08 | 2.08E-11 | 2.08E-11 | 2.12E-06 | 2.08E-11 | 2.08E-11 | 2.08E-11 |
| U: 465.0000 | U: 888.0000 | U: 839.5000 | U: 465.0000 | U: 540.5000 | U: 465.0000 | U: 465.0000 | U: 601.0000 | U: 465.0000 | U: 465.0000 | U: 465.0000 | |
| S | E | E | S | S | S | S | S | S | S | S | |
| F33 | 7.66E-05 | 7.02E-07 | 9.17E-06 | 1.75E-05 | 0.000399 | 3.16E-05 | 1.56E-08 | 0.830227 | 0.000149 | 1.78E-10 | 4.44E-07 |
| U: 647.0000 | U: 579.0000 | U: 614.5000 | U: 624.0000 | U: 675.0000 | U: 633.0000 | U: 532.0000 | U: 930.0000 | U: 658.0000 | U: 483.0000 | U: 573.0000 | |
| S | S | S | S | N | S | S | E | N | S | S | |
| F34 | 3.02E-11 | 0.661701 | 0.183929 | 3.02E-11 | 3.02E-11 | 3.02E-11 | 3.02E-11 | 0.026028 | 3.02E-11 | 3.02E-11 | 3.02E-11 |
| U: 465.0000 | U: 945.0000 | U: 825.0000 | U: 465.0000 | U: 465.0000 | U: 465.0000 | U: 465.0000 | U: 1065.0000 | U: 465.0000 | U: 465.0000 | U: 465.0000 | |
| S | E | E | S | S | S | S | S | S | S | S | |
| F35 | 3.02E-11 | 0.007258 | 0.001816 | 3.02E-11 | 3.02E-11 | 3.02E-11 | 3.02E-11 | 0.001689 | 3.02E-11 | 3.02E-11 | 3.02E-11 |
| U: 465.0000 | U: 1095.0000 | U: 1125.0000 | U: 465.0000 | U: 465.0000 | U: 465.0000 | U: 465.0000 | U: 1125.0000 | U: 465.0000 | U: 465.0000 | U: 465.0000 | |
| S | S | S | S | S | S | S | S | S | S | S | |
| F36 | 3.02E-11 | 6.77E-08 | 0.075258 | 3.02E-11 | 3.02E-11 | 3.02E-11 | 3.02E-11 | 0.075997 | 3.02E-11 | 3.02E-11 | 3.02E-11 |
| U: 465.0000 | U: 1275.0000 | U: 1035.0000 | U: 465.0000 | U: 465.0000 | U: 465.0000 | U: 465.0000 | U: 1035.0000 | U: 465.0000 | U: 465.0000 | U: 465.0000 | |
| S | S | E | S | S | S | S | E | S | S | S | |
| F37 | 9.92E-11 | 0.004427 | 0.706171 | 2.88E-06 | 0.00238 | 9.53E-07 | 1.86E-09 | 0.559231 | 4.12E-06 | 3.02E-11 | 4.74E-06 |
| U: 477.0000 | U: 1108.0000 | U: 941.0000 | U: 598.0000 | U: 709.0000 | U: 583.0000 | U: 508.0000 | U: 955.0000 | U: 603.0000 | U: 465.0000 | U: 605.0000 | |
| S | N | E | S | S | S | S | E | S | S | S | |
| F38 | 4.08E-11 | 2.13E-05 | 0.17145 | 0.311188 | 0.004427 | 0.099258 | 3.34E-11 | 0.000903 | 0.176128 | 3.02E-11 | 8.84E-07 |
| U: 468.0000 | U: 1203.0000 | U: 1008.0000 | U: 984.0000 | U: 1108.0000 | U: 803.0000 | U: 466.0000 | U: 1140.0000 | U: 823.0000 | U: 465.0000 | U: 582.0000 | |
| S | N | E | E | N | E | S | S | E | S | S | |
| F39 | 1.01E-11 | 0.008547 | 0.001305 | 1.01E-11 | 1.01E-11 | 1.01E-11 | 1.01E-11 | 0.342316 | 1.01E-11 | 1.01E-11 | 1.01E-11 |
| U: 465.0000 | U: 1030.5000 | U: 1050.0000 | U: 465.0000 | U: 465.0000 | U: 465.0000 | U: 465.0000 | U: 861.0000 | U: 465.0000 | U: 465.0000 | U: 465.0000 | |
| S | S | N | S | S | S | S | E | S | S | S | |
| F40 | 0.911709 | 0.156048 | 4.79E-06 | 0.077272 | 1.47E-07 | 0.946956 | 3.82E-10 | 6.66E-06 | 0.853382 | 3.02E-11 | 1.11E-06 |
| U: 907.0000 | U: 1011.0000 | U: 1217.0000 | U: 1035.0000 | U: 1271.0000 | U: 910.0000 | U: 491.0000 | U: 1219.0000 | U: 902.0000 | U: 465.0000 | U: 1245.0000 | |
| E | E | N | E | N | E | S | N | E | S | N | |
| F41 | 1.21E-12 | 0.009468 | 3.02E-11 | 0.006056 | 1.21E-12 | 2.98E-11 | 8.15E-11 | 1.21E-12 | 1.21E-12 | 3.02E-11 | 3.02E-11 |
| U: 1365.0000 | U: 739.0000 | U: 465.0000 | U: 1101.0000 | U: 1365.0000 | U: 1339.0000 | U: 475.0000 | U: 1365.0000 | U: 1365.0000 | U: 465.0000 | U: 465.0000 | |
| N | S | S | N | N | N | S | N | N | S | S | |
| F42 | 1.87E-11 | 3.02E-11 | 3.02E-11 | 3.02E-11 | 1.21E-12 | 2.28E-11 | 3.02E-11 | 4.08E-12 | 1.21E-12 | 3.02E-11 | 3.02E-11 |
| U: 1365.0000 | U: 465.0000 | U: 465.0000 | U: 1365.0000 | U: 1365.0000 | U: 1365.0000 | U: 465.0000 | U: 1365.0000 | U: 1365.0000 | U: 465.0000 | U: 465.0000 | |
| N | S | S | N | N | N | S | N | N | S | S | |
| F43 | 3.02E-11 | 3.02E-11 | 3.02E-11 | 0.045146 | 0.78446 | 5.49E-11 | 3.02E-11 | 1.01E-08 | 6.74E-06 | 3.02E-11 | 3.02E-11 |
| U: 1365.0000 | U: 1365.0000 | U: 465.0000 | U: 779.0000 | U: 896.0000 | U: 1359.0000 | U: 465.0000 | U: 527.0000 | U: 1220.0000 | U: 465.0000 | U: 465.0000 | |
| N | N | S | S | E | N | S | S | N | S | S | |
| F44 | 3.02E-11 | 3.02E-11 | 4.69E-08 | 0.051877 | 2.61E-10 | 8.99E-11 | 3.02E-11 | 3.69E-11 | 1.33E-10 | 3.02E-11 | 3.02E-11 |
| U: 1365.0000 | U: 1365.0000 | U: 545.0000 | U: 783.0000 | U: 487.0000 | U: 1354.0000 | U: 465.0000 | U: 467.0000 | U: 480.0000 | U: 465.0000 | U: 465.0000 | |
| N | N | S | E | S | N | S | S | S | S | S | |
| F45 | 1.21E-12 | 0.160742 | 1.21E-12 | 1.21E-12 | 1.93E-10 | 1.21E-12 | 1.21E-12 | 7.28E-07 | 1.21E-12 | 1.21E-12 | 1.21E-12 |
| U: 465.0000 | U: 885.0000 | U: 915.0000 | U: 465.0000 | U: 525.0000 | U: 465.0000 | U: 465.0000 | U: 645.0000 | U: 465.0000 | U: 465.0000 | U: 465.0000 | |
| S | E | E | S | S | S | S | S | S | S | S | |
| F46 | 1.17E-09 | 0.500506 | 0.034716 | 0.3871 | 0.002157 | 0.005322 | 3.02E-11 | 2.03E-07 | 0.000158 | 3.02E-11 | 5.49E-11 |
| U: 503.0000 | U: 869.0000 | U: 772.0000 | U: 974.0000 | U: 707.0000 | U: 726.0000 | U: 465.0000 | U: 563.0000 | U: 659.0000 | U: 465.0000 | U: 471.0000 | |
| S | E | S | E | S | S | S | S | S | S | S | |
| F47 | 7.12E-09 | 0.070111 | 0.007956 | 0.78446 | 0.001301 | 0.037782 | 3.02E-11 | 3.5E-09 | 0.000189 | 3.02E-11 | 1.03E-06 |
| U: 523.0000 | U: 792.0000 | U: 735.0000 | U: 896.0000 | U: 697.0000 | U: 774.0000 | U: 465.0000 | U: 515.0000 | U: 662.0000 | U: 465.0000 | U: 584.0000 | |
| S | E | S | E | S | S | S | S | S | S | S | |
| F48 | 1.27E-11 | 0.000662 | 0.000662 | 1.27E-11 | 8.71E-09 | 1.27E-11 | 1.27E-11 | 0.12526 | 1.27E-11 | 1.27E-11 | 1.27E-11 |
| U: 465.0000 | U: 1065.0000 | U: 1065.0000 | U: 465.0000 | U: 535.0000 | U: 465.0000 | U: 465.0000 | U: 817.5000 | U: 465.0000 | U: 465.0000 | U: 465.0000 | |
| S | N | N | S | S | S | S | E | S | S | S | |
| F49 | 0.000104 | 5.6E-05 | 0.549316 | 1.17E-05 | 9.79E-05 | 2.77E-05 | 1.1E-08 | 0.020679 | 0.000377 | 6.07E-11 | 0.001236 |
| U: 652.0000 | U: 642.0000 | U: 874.0000 | U: 618.0000 | U: 651.0000 | U: 631.0000 | U: 528.0000 | U: 758.0000 | U: 674.0000 | U: 472.0000 | U: 696.0000 | |
| S | S | E | S | S | S | S | S | S | S | S | |
| F50 | 3.82E-10 | 8.08E-10 | 7.6E-07 | 6.72E-10 | 8.15E-11 | 3.26E-07 | 3.02E-11 | 3.96E-08 | 7.12E-09 | 3.02E-11 | 3.69E-11 |
| U: 491.0000 | U: 499.0000 | U: 580.0000 | U: 497.0000 | U: 475.0000 | U: 569.0000 | U: 465.0000 | U: 543.0000 | U: 523.0000 | U: 465.0000 | U: 467.0000 | |
| Total | S:28, N:14, E:8 | S:21, N:8, E:21 | S:24, N:6, E:20 | S:26, N:10, E:14 | S:25, N:17, E:8 | S:24, N:16, E:10 | S:43, N:0, E:7 | S:20, N:14, E:16 | S:25, N:15, E:10 | S:50, N:0, E:0 | S:45, N:3, E:2 |
Appendix F







References
- Abualigah, L.; Elaziz, M.A.; Khasawneh, A.M.; Alshinwan, M.; Ibrahim, R.A.; Al-Qaness, M.A.; Mirjalili, S.; Sumari, P.; Gandomi, A.H. Metaheuristic optimization algorithms for solving real-world mechanical engineering design problems: A comprehensive survey, applications, comparative analysis, and results. Neural Comput. Appl. 2022, 34, 4081–4110. [Google Scholar] [CrossRef]
- Sharma, M.; Kaur, P. A comprehensive analysis of nature-inspired meta-heuristic techniques for feature selection problem. Arch. Comput. Methods Eng. 2021, 28, 1103–1127. [Google Scholar] [CrossRef]
- Eshelman, L.J. Genetic algorithms. In Evolutionary Computation 1; CRC Press: Boca Raton, FL, USA, 2018; pp. 102–118. [Google Scholar]
- Kirkpatrick, S.; Gelatt, C.D., Jr.; Vecchi, M.P. Optimization by simulated annealing. Science 1983, 220, 671–680. [Google Scholar] [CrossRef] [PubMed]
- Fakhouri, H.N.; Alawadi, S.; Awaysheh, F.M.; Hamad, F. Novel hybrid success history intelligent optimizer with gaussian transformation: Application in CNN hyperparameter tuning. Clust. Comput. 2024, 27, 3717–3739. [Google Scholar] [CrossRef]
- Karimi-Mamaghan, M.; Mohammadi, M.; Meyer, P.; Karimi-Mamaghan, A.M.; Talbi, E.-G. Machine learning at the service of meta-heuristics for solving combinatorial optimization problems: A state-of-the-art. Eur. J. Oper. Res. 2022, 296, 393–422. [Google Scholar] [CrossRef]
- Wang, Z.; Schafer, B.C. Machine learming to set meta-heuristic specific parameters for high-level synthesis design space exploration. In Proceedings of the 2020 57th ACM/IEEE Design Automation Conference (DAC), San Francisco, CA, USA, 20–24 July 2020; IEEE: Piscataway, NJ, USA, 2020; pp. 1–6. [Google Scholar]
- Vikhar, P.A. Evolutionary algorithms: A critical review and its future prospects. In Proceedings of the 2016 International Conference on Global Trends in Signal Processing, Information Computing and Communication (ICGTSPICC), Jalgaon, India, 22–24 December 2016; IEEE: Piscataway, NJ, USA, 2016; pp. 261–265. [Google Scholar]
- Beni, G. Swarm intelligence. In Complex Social and Behavioral Systems: Game Theory and Agent-Based Models; Springer: New York, NY, USA, 2020; pp. 791–818. [Google Scholar]
- Kennedy, J.; Eberhart, R. Particle swarm optimization. In Proceedings of the ICNN’95-International Conference on Neural Networks, Perth, WA, Australia, 27 November–1 December 1995; IEEE: Piscataway, NJ, USA, 1995; Volume 4, pp. 1942–1948. [Google Scholar]
- Dorigo, M.; Stützle, T. Ant Colony Optimization: Overview and Recent Advances; Springer: Cham, Switzerland, 2019. [Google Scholar]
- Rashedi, E.; Rashedi, E.; Nezamabadi-Pour, H. A comprehensive survey on gravitational search algorithm. Swarm Evol. Comput. 2018, 41, 141–158. [Google Scholar] [CrossRef]
- Fakhouri, H.N.; Hudaib, A.; Sleit, A. Hybrid particle swarm optimization with sine cosine algorithm and nelder–mead simplex for solving engineering design problems. Arab. J. Sci. Eng. 2020, 45, 3091–3109. [Google Scholar] [CrossRef]
- Soler-Dominguez, A.; Juan, A.A.; Kizys, R. A survey on financial applications of metaheuristics. ACM Comput. Surv. (CSUR) 2017, 50, 15. [Google Scholar] [CrossRef]
- Kumar, A.; Pant, S.; Ram, M.; Yadav, O. Meta-Heuristic Optimization Techniques: Applications in Engineering; Walter de Gruyter GmbH & Co KG: Berlin, Germany, 2022; Volume 10. [Google Scholar]
- Fakhouri, H.N.; Ishtaiwi, A.; Makhadmeh, S.N.; Al-Betar, M.A.; Alkhalaileh, M. Novel hybrid crayfish optimization algorithm and self-adaptive differential evolution for solving complex optimization problems. Symmetry 2024, 16, 927. [Google Scholar] [CrossRef]
- Chopard, B.; Tomassini, M.; Chopard, B.; Tomassini, M. Performance and limitations of metaheuristics. In An Introduction to Metaheuristics for Optimization; Springer: Berlin/Heidelberg, Germany, 2018; pp. 191–203. [Google Scholar]
- Adam, S.P.; Alexandropoulos, S.-A.N.; Pardalos, P.M.; Vrahatis, M.N. No free lunch theorem: A review. In Approximation and Optimization: Algorithms, Complexity and Applications; Springer: Cham, Switzerland, 2019; pp. 57–82. [Google Scholar]
- Huang, J.; Hu, H. Hybrid beluga whale optimization algorithm with multi-strategy for functions and engineering optimization problems. J. Big Data 2024, 11, 3. [Google Scholar] [CrossRef]
- Tang, W.; Cao, L.; Chen, Y.; Chen, B.; Yue, Y. Solving Engineering Optimization Problems Based on Multi-Strategy Particle Swarm Optimization Hybrid Dandelion Optimization Algorithm. Biomimetics 2024, 9, 298. [Google Scholar] [CrossRef] [PubMed]
- Liu, H.; Duan, S.; Luo, H. A hybrid engineering algorithm of the seeker algorithm and particle swarm optimization. Mater. Test. 2022, 64, 1051–1089. [Google Scholar] [CrossRef]
- Cheng, J.; Lu, W.; Liu, Z.; Wu, D.; Gao, W.; Tan, J. Robust optimization of engineering structures involving hybrid probabilistic and interval uncertainties. Struct. Multidiscip. Optim. 2021, 63, 1327–1349. [Google Scholar] [CrossRef]
- Dhiman, G. SSC: A hybrid nature-inspired meta-heuristic optimization algorithm for engineering applications. Knowl.-Based Syst. 2021, 222, 106926. [Google Scholar] [CrossRef]
- Qin, C.; Han, B. A novel hybrid quantum particle swarm optimization with marine predators for engineering design problems. IEEE Access 2022, 10, 129322–129343. [Google Scholar] [CrossRef]
- Chu, S.-C.; Guo, B.; Sun, B.; Pan, J.-S. A hybrid parallel willow catkin optimization algorithm applied for engineering optimization problems. IEEE Access 2024, 12, 102396–102415. [Google Scholar] [CrossRef]
- Cuevas, E.; Diaz, P.; Camarena, O. Experimental analysis between exploration and exploitation. In Metaheuristic Computation: A Performance Perspective; Springer: Berlin/Heidelberg, Germany, 2021; pp. 249–269. [Google Scholar]
- Dokeroglu, T.; Sevinc, E.; Kucukyilmaz, T.; Cosar, A. A survey on new generation metaheuristic algorithms. Comput. Ind. Eng. 2019, 137, 106040. [Google Scholar] [CrossRef]
- Fakhouri, H.N.; Awaysheh, F.M.; Alawadi, S.; Alkhalaileh, M.; Hamad, F. Four vector intelligent metaheuristic for data optimization. Computing 2024, 106, 2321–2359. [Google Scholar] [CrossRef]
- Storn, R.; Price, K. Differential evolution—A simple and efficient heuristic for global optimization over continuous spaces. J. Glob. Optim. 1997, 11, 341–359. [Google Scholar] [CrossRef]
- Pant, M.; Zaheer, H.; Garcia-Hernandez, L.; Abraham, A. Differential evolution: A review of more than two decades of research. Eng. Appl. Artif. Intell. 2020, 90, 103479. [Google Scholar]
- Luo, W.; Lin, X.; Li, C.; Yang, S.; Shi, Y. Benchmark functions for CEC 2022 competition on seeking multiple optima in dynamic environments. arXiv 2022, arXiv:2201.00523. [Google Scholar]
- Wu, G.; Mallipeddi, R.; Suganthan, P.N. Problem Definitions and Evaluation Criteria for the CEC 2017 Competition on Constrained Real-Parameter Optimization. Available online: https://www.researchgate.net/profile/Guohua-Wu-5/publication/317228117_Problem_Definitions_and_Evaluation_Criteria_for_the_CEC_2017_Competition_and_Special_Session_on_Constrained_Single_Objective_Real-Parameter_Optimization/links/5982cdbaa6fdcc8b56f59104/Problem-Definitions-and-Evaluation-Criteria-for-the-CEC-2017-Competition-and-Special-Session-on-Constrained-Single-Objective-Real-Parameter-Optimization.pdf (accessed on 17 July 2024).
- Salgotra, R.; Singh, U.; Saha, S. Improved cuckoo search with better search capabilities for solving CEC2017 benchmark problems. In Proceedings of the 2018 IEEE Congress on Evolutionary Computation (CEC), Rio de Janeiro, Brazil, 8–13 July 2018; IEEE: Piscataway, NJ, USA, 2018; pp. 1–7. [Google Scholar]
- Stanovov, V.; Akhmedova, S.; Semenkin, E. LSHADE algorithm with rank-based selective pressure strategy for solving CEC 2017 benchmark problems. In Proceedings of the 2018 IEEE Congress on Evolutionary Computation (CEC), Rio de Janeiro, Brazil, 8–13 July 2018; IEEE: Piscataway, NJ, USA, 2018; pp. 1–8. [Google Scholar]
- Zhao, W.; Wang, L.; Mirjalili, S. Artificial hummingbird algorithm: A new bio-inspired optimizer with its engineering applications. Comput. Methods Appl. Mech. Eng. 2022, 388, 114194. [Google Scholar] [CrossRef]
- Jamil, M.; Yang, X.-S. A literature survey of benchmark functions for global optimisation problems. Int. J. Math. Model. Numer. Optim. 2013, 4, 150–194. [Google Scholar] [CrossRef]
- Alzoubi, S.; Abualigah, L.; Sharaf, M.; Daoud, M.S.; Khodadadi, N.; Jia, H. Synergistic Swarm Optimization Algorithm; Tech Science Press: Henderson, NV, USA, 2024. [Google Scholar]
- Falahah, I.A.; Al-Baik, O.; Alomari, S.; Bektemyssova, G.; Gochhait, S.; Leonova, I.; Malik, O.P.; Werner, F.; Dehghani, M. Frilled lizard optimization: A novel nature-inspired metaheuristic algorithm for solving optimization problems. Preprints 2024, 2024030898. [Google Scholar] [CrossRef]
- Zhang, F.; Wu, S.; Cen, P. The past, present and future of the pangolin in mainland China. Glob. Ecol. Conserv. 2022, 33, e01995. [Google Scholar] [CrossRef]
- Jahn, J. Vector Optimization; Springer: Berlin/Heidelberg, Germany, 2009. [Google Scholar]
- Fakhouri, H.N.; Hamad, F.; Alawamrah, A. Success history intelligent optimizer. J. Supercomput. 2022, 78, 6461–6502. [Google Scholar] [CrossRef]
- Mohapatra, S.; Mohapatra, P. American zebra optimization algorithm for global optimization problems. Sci. Rep. 2023, 13, 5211. [Google Scholar] [CrossRef] [PubMed]
- Bairwa, A.K.; Joshi, S.; Singh, D. Dingo optimizer: A nature-inspired metaheuristic approach for engineering problems. Math. Probl. Eng. 2021, 2021, 2571863. [Google Scholar] [CrossRef]
- Jia, H.; Peng, X.; Lang, C. Remora optimization algorithm. Expert Syst. Appl. 2021, 185, 115665. [Google Scholar] [CrossRef]
- Abualigah, L.; Yousri, D.; Abd Elaziz, M.; Ewees, A.A.; Al-Qaness, M.A.A.; Gandomi, A.H. Aquila optimizer: A novel meta-heuristic optimization algorithm. Comput. Ind. Eng. 2021, 157, 107250. [Google Scholar] [CrossRef]
- Khishe, M.; Mosavi, M.R. Chimp optimization algorithm. Expert Syst. Appl. 2020, 149, 113338. [Google Scholar] [CrossRef]
- Singh, A.; Sharma, A.; Rajput, S.; Mondal, A.K.; Bose, A.; Ram, M. Parameter extraction of solar module using the sooty tern optimization algorithm. Electronics 2022, 11, 564. [Google Scholar] [CrossRef]
- Dhiman, G.; Kumar, V. Seagull optimization algorithm: Theory and its applications for large-scale industrial engineering problems. Knowl.-Based Syst. 2019, 165, 169–196. [Google Scholar] [CrossRef]
- Wu, D.; Rao, H.; Wen, C.; Jia, H.; Liu, Q.; Abualigah, L. Modified sand cat swarm optimization algorithm for solving constrained engineering optimization problems. Mathematics 2022, 10, 4350. [Google Scholar] [CrossRef]
- Mirjalili, S.; Mirjalili, S.M.; Hatamlou, A. Multi-verse optimizer: A nature-inspired algorithm for global optimization. Neural Comput. Appl. 2016, 27, 495–513. [Google Scholar] [CrossRef]
- Mirjalili, S.; Lewis, A. The whale optimization algorithm. Adv. Eng. Softw. 2016, 95, 51–67. [Google Scholar] [CrossRef]
- Mirjalili, S. SCA: A sine cosine algorithm for solving optimization problems. Knowl.-Based Syst. 2016, 96, 120–133. [Google Scholar] [CrossRef]
- Mirjalili, S. Moth-flame optimization algorithm: A novel nature-inspired heuristic paradigm. Knowl.-Based Syst. 2015, 89, 228–249. [Google Scholar] [CrossRef]
- Mirjalili, S.; Mirjalili, S.M.; Lewis, A. Grey wolf optimizer. Adv. Eng. Softw. 2014, 69, 46–61. [Google Scholar] [CrossRef]
- Wang, D.; Tan, D.; Liu, L. Particle swarm optimization algorithm: An overview. Soft Comput. 2018, 22, 387–408. [Google Scholar] [CrossRef]
- Nikolaev, A.G.; Jacobson, S.H. Simulated annealing. In Handbook of Metaheuristics; Springer: Berlin/Heidelberg, Germany, 2010; pp. 1–39. [Google Scholar]
- Mathew, T.V. Genetic Algorithm. Available online: https://datajobs.com/data-science-repo/Genetic-Algorithm-Guide-[Tom-Mathew].pdf (accessed on 17 July 2024).
- Deb, K. An efficient constraint handling method for genetic algorithms. Comput. Methods Appl. Mech. Eng. 2000, 186, 311–338. [Google Scholar] [CrossRef]
- Faramarzi, A.; Heidarinejad, M.; Stephens, B.; Mirjalili, S. Equilibrium optimizer: A novel optimization algorithm. Knowl.-Based Syst. 2020, 191, 105190. [Google Scholar] [CrossRef]
- Hashim, F.A.; Houssein, E.H.; Mabrouk, M.S.; Al-Atabany, W.; Mirjalili, S. Henry gas solubility optimization: A novel physics-based algorithm. Future Gener. Comput. Syst. 2019, 101, 646–667. [Google Scholar] [CrossRef]
- Zhao, S.; Zhang, T.; Ma, S.; Wang, M. Sea-horse optimizer: A novel nature-inspired meta-heuristic for global optimization problems. Appl. Intell. 2023, 53, 11833–11860. [Google Scholar] [CrossRef]
- Abualigah, L.; Elaziz, M.A.; Sumari, P.; Geem, Z.W.; Gandomi, A.H. Reptile search algorithm (rsa): A nature-inspired meta-heuristic optimizer. Expert Syst. Appl. 2022, 191, 116158. [Google Scholar] [CrossRef]
- Mirjalili, S. Dragonfly algorithm: A new meta-heuristic optimization technique for solving single-objective, discrete, and multi-objective problems. Neural Comput. Appl. 2016, 27, 1053–1073. [Google Scholar] [CrossRef]
- Tzanetos, A.; Blondin, M. A qualitative systematic review of metaheuristics applied to tension/compression spring design problem: Current situation, recommendations, and research direction. Eng. Appl. Artif. Intell. 2023, 118, 105521. [Google Scholar] [CrossRef]
- Kamil, A.T.; Saleh, H.M.; Abd-Alla, I.H. A multi-swarm structure for particle swarm optimization: Solving the welded beam design problem. J. Phys. Conf. Ser. 2021, 1804, 012012. [Google Scholar] [CrossRef]
- Yildirim, A.E.; Karci, A. Application of three bar truss problem among engineering design optimization problems using artificial atom algorithm. In Proceedings of the 2018 International Conference on Artificial Intelligence and Data Processing (IDAP), Malatya, Turkey, 28–30 September 2018; IEEE: Piscataway, NJ, USA, 2018; pp. 1–5. [Google Scholar]
- Fenves, S.J. Tabular decision logic for structural design. J. Struct. Div. 1966, 92, 473–490. [Google Scholar] [CrossRef]







| Parameter | Value |
|---|---|
| Dimensionality (D) | 10 |
| Search Range | |
| Rotation | Applied to all rotated functions |
| Shift | Applied to all shifted functions |
| Parameter | Value |
|---|---|
| Population Size | 30 |
| Maximum Function Evaluations | 1000 |
| Acronym | Algorithm Name | Year |
|---|---|---|
| SSOA | Synergistic Swarm Optimization Algorithm [37] | 2024 |
| FLO | Frilled Lizard Optimization [38] | 2024 |
| CPO | Chinese Pangolin Optimizer [39] | 2024 |
| FVIM | Four Vector Optimizer [40] | 2024 |
| SHIO | Success History Intelligent Optimizer [41] | 2022 |
| ZOA | Zebra Optimization Algorithm [42] | 2022 |
| DOA | Dingo Optimization Algorithm [43] | 2021 |
| ROA | Remora Optimization Algorithm [44] | 2021 |
| AO | Aquila Optimizer [45] | 2021 |
| CHIMP | Chimp Optimization Algorithm [46] | 2020 |
| STOA | Sooty Tern Optimization Algorithm [47] | 2019 |
| SOA | Seagull Optimization Algorithm [48] | 2019 |
| SCSO | Sand Cat Optimization Algorithm [49] | 2023 |
| MVO | Multi-Verse Optimizer [50] | 2016 |
| WOA | Whale Optimization Algorithm [51] | 2016 |
| SCA | Sine Cosine Algorithm [52] | 2016 |
| MFO | Moth-Flame Optimization Algorithm [53] | 2015 |
| GWO | Grey Wolf Optimizer [54] | 2014 |
| PSO | Particle Swarm Optimization [55] | 1995 |
| SA | Simulated Annealing Algorithm [56] | 1983 |
| GA | Genetic Algorithm [57] | 1960 |
| Function | FVIMDE | FVIM | FLO | STOA | SOA | SPBO | AO | SSOA | Chimp | CPO | ROA | |
|---|---|---|---|---|---|---|---|---|---|---|---|---|
| F1 | Mean | 3.01E+02 | 4.64E+03 | 8.72E+03 | 1.88E+03 | 2.80E+03 | 3.23E+04 | 1.59E+03 | 1.03E+04 | 2.42E+03 | 1.58E+03 | 8.32E+03 |
| Std | 1.29E+00 | 3.02E+03 | 1.32E+03 | 1.62E+03 | 2.91E+03 | 9.71E+03 | 1.13E+03 | 5.23E+03 | 9.72E+02 | 2.43E+03 | 1.50E+03 | |
| Rank | 1 | 14 | 16 | 11 | 13 | 21 | 8 | 17 | 12 | 7 | 15 | |
| F2 | Mean | 4.06E+02 | 4.39E+02 | 1.27E+03 | 4.17E+02 | 4.80E+02 | 9.44E+02 | 4.08E+02 | 1.25E+03 | 5.22E+02 | 4.06E+02 | 5.14E+02 |
| Std | 2.62E+00 | 3.01E+01 | 5.53E+02 | 2.05E+01 | 1.31E+02 | 1.52E+02 | 1.03E+01 | 3.09E+02 | 7.96E+01 | 3.75E+00 | 2.85E+01 | |
| Rank | 1 | 13 | 22 | 6 | 15 | 20 | 3 | 21 | 17 | 2 | 16 | |
| F3 | Mean | 6.00E+02 | 6.02E+02 | 6.49E+02 | 6.12E+02 | 6.09E+02 | 6.74E+02 | 6.13E+02 | 6.61E+02 | 6.23E+02 | 6.46E+02 | 6.38E+02 |
| Std | 6.22E-02 | 2.19E+00 | 1.43E+01 | 7.65E+00 | 5.26E+00 | 6.33E+00 | 6.03E+00 | 4.62E+00 | 5.26E+00 | 1.11E+01 | 1.36E+01 | |
| Rank | 1 | 3 | 19 | 8 | 6 | 22 | 9 | 21 | 14 | 18 | 16 | |
| F4 | Mean | 8.14E+02 | 8.24E+02 | 8.43E+02 | 8.23E+02 | 8.25E+02 | 8.98E+02 | 8.26E+02 | 8.65E+02 | 8.29E+02 | 8.32E+02 | 8.41E+02 |
| Std | 1.04E+01 | 7.88E+00 | 1.84E+01 | 1.01E+01 | 2.68E+00 | 9.08E+00 | 6.74E+00 | 9.95E+00 | 7.99E+00 | 5.43E-01 | 1.15E+01 | |
| Rank | 1 | 7 | 18 | 5 | 8 | 22 | 9 | 19 | 11 | 14 | 16 | |
| F5 | Mean | 9.00E+02 | 9.06E+02 | 1.33E+03 | 9.54E+02 | 9.94E+02 | 3.75E+03 | 9.57E+02 | 1.70E+03 | 1.20E+03 | 1.46E+03 | 1.27E+03 |
| Std | 1.16E-01 | 1.09E+01 | 1.77E+02 | 3.11E+01 | 9.31E+01 | 7.05E+02 | 4.23E+01 | 1.80E+02 | 1.37E+02 | 2.47E+02 | 1.82E+02 | |
| Rank | 1 | 2 | 15 | 5 | 9 | 22 | 6 | 20 | 13 | 17 | 14 | |
| F6 | Mean | 1.80E+03 | 5.00E+03 | 5.44E+07 | 1.69E+04 | 2.01E+04 | 2.41E+08 | 7.33E+03 | 1.84E+08 | 1.21E+06 | 4.86E+03 | 5.36E+04 |
| Std | 1.58E+00 | 1.91E+03 | 3.34E+07 | 6.33E+03 | 9.40E+03 | 1.03E+08 | 2.21E+03 | 1.89E+08 | 1.48E+06 | 2.86E+03 | 6.98E+04 | |
| Rank | 1 | 10 | 20 | 13 | 14 | 22 | 12 | 21 | 16 | 9 | 15 | |
| F7 | Mean | 2.02E+03 | 2.03E+03 | 2.09E+03 | 2.04E+03 | 2.03E+03 | 2.17E+03 | 2.03E+03 | 2.15E+03 | 2.06E+03 | 2.07E+03 | 2.07E+03 |
| Std | 5.42E+00 | 1.10E+01 | 3.07E+01 | 6.81E+00 | 8.54E+00 | 3.46E+01 | 6.24E+00 | 1.67E+01 | 8.08E+00 | 1.79E+01 | 1.24E+01 | |
| Rank | 1 | 6 | 19 | 7 | 5 | 22 | 4 | 21 | 13 | 16 | 17 | |
| F8 | Mean | 2.21E+03 | 2.23E+03 | 2.26E+03 | 2.23E+03 | 2.23E+03 | 2.66E+03 | 2.23E+03 | 2.38E+03 | 2.28E+03 | 2.28E+03 | 2.23E+03 |
| Std | 5.50E+00 | 1.33E+00 | 3.81E+01 | 3.23E+00 | 2.50E+00 | 7.91E+02 | 1.14E+00 | 1.01E+02 | 6.54E+01 | 5.91E+01 | 2.85E+00 | |
| Rank | 1 | 6 | 17 | 10 | 9 | 22 | 5 | 21 | 18 | 19 | 15 | |
| F9 | Mean | 2.53E+03 | 2.60E+03 | 2.76E+03 | 2.57E+03 | 2.56E+03 | 2.73E+03 | 2.57E+03 | 2.77E+03 | 2.58E+03 | 2.58E+03 | 2.67E+03 |
| Std | 5.30E-09 | 3.24E+01 | 1.20E+02 | 4.49E+01 | 4.00E+01 | 6.54E+01 | 3.06E+01 | 2.86E+01 | 2.16E+01 | 5.92E+01 | 3.15E+01 | |
| Rank | 1 | 15 | 21 | 11 | 6 | 20 | 8 | 22 | 13 | 12 | 18 | |
| F10 | Mean | 2.51E+03 | 2.60E+03 | 2.81E+03 | 2.50E+03 | 2.50E+03 | 2.59E+03 | 2.55E+03 | 2.59E+03 | 2.70E+03 | 2.64E+03 | 2.57E+03 |
| Std | 2.92E+01 | 5.39E+01 | 1.44E+02 | 1.83E-01 | 6.36E-02 | 5.49E+01 | 6.11E+01 | 5.55E+01 | 4.38E+02 | 7.71E+01 | 8.45E+01 | |
| Rank | 6 | 17 | 21 | 1 | 2 | 16 | 9 | 15 | 20 | 19 | 13 | |
| F11 | Mean | 2.60E+03 | 2.93E+03 | 3.69E+03 | 2.72E+03 | 2.78E+03 | 3.60E+03 | 2.66E+03 | 3.73E+03 | 3.29E+03 | 2.78E+03 | 2.87E+03 |
| Std | 1.67E-01 | 2.08E+02 | 4.85E+02 | 5.57E+01 | 1.43E+01 | 3.03E+02 | 7.94E+01 | 4.08E+02 | 7.33E+01 | 1.81E+02 | 8.20E+01 | |
| Rank | 1 | 17 | 21 | 6 | 9 | 20 | 4 | 22 | 19 | 10 | 16 | |
| F12 | Mean | 2.86E+03 | 2.88E+03 | 3.05E+03 | 2.86E+03 | 2.86E+03 | 2.89E+03 | 2.87E+03 | 3.10E+03 | 2.87E+03 | 2.95E+03 | 2.95E+03 |
| Std | 1.59E+00 | 1.99E+01 | 6.06E+01 | 5.46E-01 | 3.50E-01 | 6.08E+00 | 5.10E+00 | 1.63E+02 | 1.36E-01 | 1.04E+02 | 3.46E+01 | |
| Rank | 1 | 13 | 21 | 3 | 4 | 15 | 8 | 22 | 6 | 19 | 18 |
| Function | WOA | PSO | MFO | SHIO | ZOA | MTDE | SCA | DOA | SCSO | GA | SA | |
|---|---|---|---|---|---|---|---|---|---|---|---|---|
| F1 | Mean | 1.39E+04 | 7.13E+02 | 1.79E+03 | 1.20E+03 | 4.84E+02 | 1.38E+04 | 1.72E+03 | 1.54E+03 | 5.11E+02 | 5.16E+04 | 1.07E+04 |
| Std | 7.02E+03 | 5.97E+02 | 2.08E+03 | 1.07E+03 | 3.34E+01 | 3.65E+03 | 3.92E+02 | 1.31E+03 | 1.95E+02 | 1.37E+04 | 2.34E+03 | |
| Rank | 20 | 4 | 10 | 5 | 2 | 19 | 9 | 6 | 3 | 22 | 18 | |
| F2 | Mean | 4.20E+02 | 4.12E+02 | 4.26E+02 | 4.10E+02 | 4.36E+02 | 5.38E+02 | 4.62E+02 | 4.36E+02 | 4.36E+02 | 7.77E+02 | 4.20E+02 |
| Std | 3.00E+01 | 1.43E+01 | 3.31E+01 | 1.12E+01 | 2.67E+01 | 2.57E+01 | 1.44E+01 | 3.96E+01 | 3.89E+01 | 2.98E+02 | 5.01E+00 | |
| Rank | 8 | 5 | 9 | 4 | 11 | 18 | 14 | 10 | 12 | 19 | 7 | |
| F3 | Mean | 6.39E+02 | 6.00E+02 | 6.03E+02 | 6.07E+02 | 6.13E+02 | 6.33E+02 | 6.16E+02 | 6.18E+02 | 6.14E+02 | 6.59E+02 | 6.11E+02 |
| Std | 9.65E+00 | 7.64E-02 | 5.46E+00 | 9.03E+00 | 5.24E+00 | 4.88E+00 | 1.69E+00 | 1.19E+01 | 9.72E+00 | 1.25E+01 | 3.00E+00 | |
| Rank | 17 | 2 | 4 | 5 | 10 | 15 | 12 | 13 | 11 | 20 | 7 | |
| F4 | Mean | 8.29E+02 | 8.21E+02 | 8.28E+02 | 8.22E+02 | 8.23E+02 | 8.71E+02 | 8.36E+02 | 8.22E+02 | 8.31E+02 | 8.67E+02 | 8.42E+02 |
| Std | 1.61E+01 | 2.19E+00 | 4.62E+00 | 4.06E+00 | 4.84E+00 | 7.80E+00 | 6.10E+00 | 1.11E+01 | 8.66E+00 | 2.02E+01 | 8.79E+00 | |
| Rank | 12 | 2 | 10 | 4 | 6 | 21 | 15 | 3 | 13 | 20 | 17 | |
| F5 | Mean | 1.79E+03 | 9.07E+02 | 9.35E+02 | 9.76E+02 | 1.01E+03 | 1.50E+03 | 9.69E+02 | 1.11E+03 | 1.06E+03 | 1.36E+03 | 1.47E+03 |
| Std | 6.44E+02 | 5.68E+00 | 4.03E+01 | 1.44E+02 | 6.07E+01 | 1.92E+02 | 1.65E+01 | 1.31E+02 | 2.09E+02 | 1.02E+02 | 1.24E+02 | |
| Rank | 21 | 3 | 4 | 8 | 10 | 19 | 7 | 12 | 11 | 16 | 18 | |
| F6 | Mean | 3.19E+03 | 3.89E+03 | 5.21E+03 | 2.81E+03 | 3.06E+03 | 9.43E+06 | 1.58E+06 | 2.00E+03 | 4.14E+03 | 1.53E+07 | 4.49E+03 |
| Std | 1.43E+03 | 2.41E+03 | 2.92E+03 | 9.00E+02 | 1.35E+03 | 8.21E+06 | 1.87E+06 | 1.61E+02 | 1.74E+03 | 1.88E+07 | 2.15E+03 | |
| Rank | 5 | 6 | 11 | 3 | 4 | 18 | 17 | 2 | 7 | 19 | 8 | |
| F7 | Mean | 2.06E+03 | 2.02E+03 | 2.04E+03 | 2.06E+03 | 2.04E+03 | 2.08E+03 | 2.05E+03 | 2.04E+03 | 2.06E+03 | 2.12E+03 | 2.03E+03 |
| Std | 1.63E+01 | 3.94E-01 | 3.42E+01 | 3.75E+01 | 2.03E+01 | 6.82E+00 | 9.86E+00 | 2.31E+01 | 1.63E+01 | 2.19E+01 | 2.24E+00 | |
| Rank | 15 | 2 | 8 | 14 | 9 | 18 | 11 | 10 | 12 | 20 | 3 | |
| F8 | Mean | 2.23E+03 | 2.23E+03 | 2.23E+03 | 2.23E+03 | 2.22E+03 | 2.24E+03 | 2.23E+03 | 2.23E+03 | 2.22E+03 | 2.32E+03 | 2.23E+03 |
| Std | 5.45E+00 | 2.32E+00 | 4.13E+00 | 7.04E+00 | 1.86E+00 | 1.12E+01 | 3.54E+00 | 6.79E+00 | 3.55E+00 | 6.58E+01 | 2.79E+00 | |
| Rank | 14 | 8 | 7 | 11 | 2 | 16 | 13 | 12 | 3 | 20 | 4 | |
| F9 | Mean | 2.54E+03 | 2.55E+03 | 2.53E+03 | 2.58E+03 | 2.62E+03 | 2.63E+03 | 2.56E+03 | 2.57E+03 | 2.57E+03 | 2.73E+03 | 2.53E+03 |
| Std | 1.86E+01 | 2.11E+01 | 1.41E+00 | 3.07E+01 | 4.78E+01 | 4.12E+01 | 9.42E+00 | 5.07E+01 | 5.24E+01 | 7.33E+01 | 1.87E+00 | |
| Rank | 4 | 5 | 2 | 14 | 16 | 17 | 7 | 10 | 9 | 19 | 3 | |
| F10 | Mean | 2.53E+03 | 2.57E+03 | 2.50E+03 | 2.61E+03 | 2.55E+03 | 2.51E+03 | 2.50E+03 | 2.55E+03 | 2.58E+03 | 2.86E+03 | 2.50E+03 |
| Std | 6.65E+01 | 5.98E+01 | 1.64E+00 | 7.69E+01 | 6.89E+01 | 1.05E+01 | 2.88E-01 | 7.18E+01 | 6.81E+01 | 6.49E+02 | 2.44E-01 | |
| Rank | 8 | 12 | 4 | 18 | 10 | 7 | 5 | 11 | 14 | 22 | 3 | |
| F11 | Mean | 2.87E+03 | 2.65E+03 | 2.66E+03 | 2.81E+03 | 2.71E+03 | 2.86E+03 | 2.78E+03 | 2.74E+03 | 2.84E+03 | 3.26E+03 | 2.78E+03 |
| Std | 2.08E+02 | 7.09E+01 | 8.71E+01 | 1.62E+02 | 9.68E+01 | 7.05E+01 | 6.92E+00 | 5.04E+01 | 2.06E+02 | 4.94E+02 | 7.56E+00 | |
| Rank | 15 | 2 | 3 | 12 | 5 | 14 | 8 | 7 | 13 | 18 | 11 | |
| F12 | Mean | 2.88E+03 | 2.86E+03 | 2.86E+03 | 2.88E+03 | 2.92E+03 | 2.89E+03 | 2.87E+03 | 2.91E+03 | 2.87E+03 | 3.04E+03 | 2.87E+03 |
| Std | 2.66E+01 | 1.82E+00 | 1.08E+00 | 1.87E+01 | 2.10E+01 | 2.84E+00 | 1.68E+00 | 6.40E+01 | 5.77E+00 | 8.20E+01 | 7.08E-01 | |
| Rank | 12 | 5 | 2 | 11 | 17 | 14 | 9 | 16 | 10 | 20 | 7 |
| Function | FVIMDE | FVIM | FLO | STOA | SOA | SPBO | AO | SSOA | Chimp | CPO | ROA | |
|---|---|---|---|---|---|---|---|---|---|---|---|---|
| F1 | Mean | 3.21E+03 | 5.68E+06 | 1.14E+10 | 1.99E+08 | 3.47E+08 | 8.71E+09 | 8.43E+05 | 1.17E+10 | 1.52E+09 | 2.21E+03 | 4.06E+09 |
| Std | 1.66E+03 | 1.03E+07 | 3.75E+09 | 2.05E+08 | 1.81E+08 | 3.09E+09 | 4.58E+05 | 2.56E+09 | 1.50E+09 | 2.21E+03 | 1.97E+09 | |
| SEM | 6.78E+02 | 4.19E+06 | 1.53E+09 | 8.38E+07 | 7.41E+07 | 1.26E+09 | 1.87E+05 | 1.04E+09 | 6.14E+08 | 9.03E+02 | 8.03E+08 | |
| Rank | 3 | 6 | 20 | 11 | 12 | 19 | 4 | 21 | 15 | 1 | 17 | |
| F2 | Mean | 1.51E+03 | 3.00E+07 | 4.12E+11 | 1.98E+07 | 2.08E+07 | 3.76E+10 | 6.11E+06 | 6.28E+12 | 6.65E+08 | 7.42E+03 | 9.54E+10 |
| Std | 3.21E+03 | 7.31E+07 | 5.31E+11 | 2.14E+07 | 2.28E+07 | 3.94E+10 | 8.48E+06 | 1.03E+13 | 1.03E+09 | 1.05E+04 | 1.26E+11 | |
| SEM | 1.31E+03 | 2.98E+07 | 2.17E+11 | 8.75E+06 | 9.30E+06 | 1.61E+10 | 3.46E+06 | 4.22E+12 | 4.21E+08 | 4.29E+03 | 5.15E+10 | |
| Rank | 2 | 11 | 19 | 8 | 10 | 17 | 6 | 20 | 16 | 3 | 18 | |
| F3 | Mean | 3.01E+02 | 5.93E+03 | 1.40E+04 | 2.79E+03 | 1.72E+03 | 4.09E+04 | 9.28E+02 | 1.49E+04 | 2.95E+03 | 3.56E+02 | 1.13E+04 |
| Std | 1.08E+00 | 5.23E+03 | 2.79E+03 | 1.47E+03 | 1.66E+03 | 7.70E+03 | 4.53E+02 | 3.14E+03 | 1.12E+03 | 6.92E+01 | 4.29E+03 | |
| SEM | 4.40E-01 | 2.14E+03 | 1.14E+03 | 6.00E+02 | 6.78E+02 | 3.14E+03 | 1.85E+02 | 1.28E+03 | 4.58E+02 | 2.83E+01 | 1.75E+03 | |
| Rank | 1 | 13 | 17 | 9 | 7 | 20 | 4 | 18 | 10 | 3 | 15 | |
| F4 | Mean | 4.01E+02 | 4.15E+02 | 1.24E+03 | 4.50E+02 | 4.72E+02 | 1.32E+03 | 4.19E+02 | 1.23E+03 | 5.81E+02 | 4.06E+02 | 7.31E+02 |
| Std | 4.07E-01 | 1.88E+01 | 2.73E+02 | 2.94E+01 | 4.62E+01 | 3.14E+02 | 2.20E+01 | 4.56E+02 | 1.42E+02 | 1.14E+00 | 1.40E+02 | |
| SEM | 1.66E-01 | 7.66E+00 | 1.11E+02 | 1.20E+01 | 1.88E+01 | 1.28E+02 | 8.98E+00 | 1.86E+02 | 5.81E+01 | 4.66E-01 | 5.72E+01 | |
| Rank | 1 | 4 | 20 | 11 | 13 | 21 | 6 | 19 | 16 | 3 | 17 | |
| F5 | Mean | 5.17E+02 | 5.25E+02 | 5.92E+02 | 5.24E+02 | 5.25E+02 | 6.09E+02 | 5.25E+02 | 6.05E+02 | 5.59E+02 | 5.71E+02 | 5.77E+02 |
| Std | 8.72E+00 | 5.05E+00 | 1.86E+01 | 4.43E+00 | 9.76E+00 | 1.04E+01 | 5.40E+00 | 1.67E+01 | 1.32E+01 | 1.89E+01 | 1.36E+01 | |
| SEM | 3.56E+00 | 2.06E+00 | 7.59E+00 | 1.81E+00 | 3.98E+00 | 4.25E+00 | 2.20E+00 | 6.80E+00 | 5.38E+00 | 7.70E+00 | 5.57E+00 | |
| Rank | 1 | 4 | 18 | 2 | 5 | 21 | 3 | 20 | 15 | 16 | 17 | |
| F6 | Mean | 6.00E+02 | 6.02E+02 | 6.55E+02 | 6.13E+02 | 6.14E+02 | 6.71E+02 | 6.15E+02 | 6.60E+02 | 6.24E+02 | 6.45E+02 | 6.44E+02 |
| Std | 2.45E-02 | 1.33E+00 | 1.08E+01 | 4.47E+00 | 6.79E+00 | 1.03E+01 | 5.18E+00 | 4.61E+00 | 6.74E+00 | 1.34E+01 | 1.30E+01 | |
| SEM | 9.99E-03 | 5.45E-01 | 4.40E+00 | 1.82E+00 | 2.77E+00 | 4.22E+00 | 2.11E+00 | 1.88E+00 | 2.75E+00 | 5.47E+00 | 5.32E+00 | |
| Rank | 1 | 2 | 18 | 6 | 7 | 20 | 8 | 19 | 13 | 17 | 16 | |
| F7 | Mean | 7.23E+02 | 7.34E+02 | 8.16E+02 | 7.60E+02 | 7.57E+02 | 1.17E+03 | 7.49E+02 | 8.23E+02 | 8.01E+02 | 7.89E+02 | 8.06E+02 |
| Std | 1.21E+01 | 1.44E+01 | 1.41E+01 | 7.93E+00 | 2.13E+01 | 4.57E+01 | 1.66E+01 | 1.97E+01 | 2.00E+01 | 3.72E+01 | 3.07E+01 | |
| SEM | 4.95E+00 | 5.86E+00 | 5.75E+00 | 3.24E+00 | 8.71E+00 | 1.86E+01 | 6.79E+00 | 8.03E+00 | 8.17E+00 | 1.52E+01 | 1.25E+01 | |
| Rank | 1 | 2 | 17 | 10 | 8 | 21 | 6 | 19 | 15 | 13 | 16 | |
| F8 | Mean | 8.13E+02 | 8.11E+02 | 8.66E+02 | 8.28E+02 | 8.27E+02 | 9.27E+02 | 8.25E+02 | 8.72E+02 | 8.39E+02 | 8.35E+02 | 8.49E+02 |
| Std | 6.82E+00 | 3.20E+00 | 1.31E+01 | 1.25E+01 | 1.01E+01 | 1.19E+01 | 9.62E-01 | 7.60E+00 | 9.41E+00 | 3.98E-01 | 9.34E+00 | |
| SEM | 2.78E+00 | 1.31E+00 | 5.36E+00 | 5.09E+00 | 4.11E+00 | 4.87E+00 | 3.93E-01 | 3.10E+00 | 3.84E+00 | 1.63E-01 | 3.81E+00 | |
| Rank | 2 | 1 | 18 | 8 | 6 | 21 | 5 | 19 | 14 | 11 | 17 | |
| F9 | Mean | 9.00E+02 | 9.64E+02 | 1.55E+03 | 9.98E+02 | 9.96E+02 | 4.17E+03 | 1.03E+03 | 1.87E+03 | 1.62E+03 | 1.83E+03 | 1.71E+03 |
| Std | 7.02E-02 | 1.01E+02 | 1.81E+02 | 8.59E+01 | 4.52E+01 | 5.29E+02 | 1.18E+02 | 3.84E+02 | 2.91E+02 | 2.13E+02 | 3.35E+02 | |
| SEM | 2.87E-02 | 4.12E+01 | 7.37E+01 | 3.51E+01 | 1.85E+01 | 2.16E+02 | 4.82E+01 | 1.57E+02 | 1.19E+02 | 8.69E+01 | 1.37E+02 | |
| Rank | 1 | 2 | 14 | 5 | 4 | 21 | 9 | 19 | 15 | 18 | 16 | |
| F10 | Mean | 1.45E+03 | 1.65E+03 | 2.79E+03 | 1.88E+03 | 2.05E+03 | 2.65E+03 | 1.97E+03 | 3.25E+03 | 2.94E+03 | 2.73E+03 | 2.40E+03 |
| Std | 6.81E+01 | 3.57E+02 | 1.40E+02 | 3.27E+02 | 2.66E+02 | 8.75E+01 | 2.48E+02 | 2.66E+02 | 9.78E+01 | 6.54E+02 | 4.72E+02 | |
| SEM | 2.78E+01 | 1.46E+02 | 5.72E+01 | 1.33E+02 | 1.09E+02 | 3.57E+01 | 1.01E+02 | 1.09E+02 | 3.99E+01 | 2.67E+02 | 1.93E+02 | |
| Rank | 1 | 3 | 18 | 6 | 10 | 15 | 8 | 21 | 19 | 17 | 13 | |
| F11 | Mean | 1.11E+03 | 1.90E+03 | 4.42E+03 | 1.26E+03 | 1.25E+03 | 4.21E+03 | 1.21E+03 | 6.78E+03 | 1.29E+03 | 1.24E+03 | 4.29E+03 |
| Std | 5.02E+00 | 1.84E+03 | 2.70E+03 | 8.33E+01 | 9.09E+01 | 8.75E+02 | 5.16E+01 | 3.89E+03 | 1.15E+02 | 9.75E+01 | 4.07E+03 | |
| SEM | 2.05E+00 | 7.49E+02 | 1.10E+03 | 3.40E+01 | 3.71E+01 | 3.57E+02 | 2.10E+01 | 1.59E+03 | 4.70E+01 | 3.98E+01 | 1.66E+03 | |
| Rank | 1 | 16 | 19 | 12 | 11 | 17 | 8 | 21 | 13 | 10 | 18 | |
| F12 | Mean | 1.65E+03 | 7.80E+05 | 5.00E+08 | 8.21E+05 | 1.99E+06 | 8.12E+08 | 3.07E+06 | 4.92E+08 | 6.80E+06 | 4.01E+06 | 3.72E+07 |
| Std | 1.97E+02 | 6.24E+05 | 3.76E+08 | 6.17E+05 | 3.24E+06 | 2.09E+08 | 2.63E+06 | 5.76E+08 | 3.19E+06 | 5.35E+06 | 3.35E+07 | |
| SEM | 8.04E+01 | 2.55E+05 | 1.54E+08 | 2.52E+05 | 1.32E+06 | 8.55E+07 | 1.08E+06 | 2.35E+08 | 1.30E+06 | 2.18E+06 | 1.37E+07 | |
| Rank | 1 | 6 | 20 | 7 | 9 | 21 | 10 | 19 | 13 | 11 | 17 | |
| F13 | Mean | 1.32E+03 | 1.32E+04 | 1.22E+07 | 1.78E+04 | 2.14E+04 | 2.39E+08 | 8.04E+03 | 1.40E+07 | 2.90E+04 | 1.37E+04 | 7.98E+04 |
| Std | 3.42E+00 | 8.11E+03 | 1.86E+07 | 1.08E+04 | 1.38E+04 | 8.00E+07 | 5.65E+03 | 2.25E+07 | 2.30E+04 | 9.01E+03 | 7.65E+04 | |
| SEM | 1.40E+00 | 3.31E+03 | 7.58E+06 | 4.41E+03 | 5.62E+03 | 3.27E+07 | 2.31E+03 | 9.19E+06 | 9.38E+03 | 3.68E+03 | 3.12E+04 | |
| Rank | 1 | 6 | 18 | 11 | 13 | 21 | 4 | 19 | 15 | 8 | 17 | |
| F14 | Mean | 1.42E+03 | 4.16E+03 | 5.74E+03 | 3.02E+03 | 2.38E+03 | 1.28E+06 | 2.39E+03 | 2.62E+04 | 5.80E+03 | 5.81E+03 | 2.17E+03 |
| Std | 1.10E+01 | 2.09E+03 | 7.75E+03 | 2.19E+03 | 1.62E+03 | 1.81E+06 | 7.05E+02 | 5.02E+04 | 2.46E+02 | 3.06E+03 | 1.12E+03 | |
| SEM | 4.48E+00 | 8.53E+02 | 3.16E+03 | 8.92E+02 | 6.61E+02 | 7.40E+05 | 2.88E+02 | 2.05E+04 | 1.00E+02 | 1.25E+03 | 4.56E+02 | |
| Rank | 1 | 13 | 16 | 12 | 8 | 20 | 9 | 19 | 17 | 18 | 7 | |
| F15 | Mean | 1.50E+03 | 6.31E+03 | 1.21E+04 | 4.45E+03 | 4.65E+03 | 5.82E+06 | 4.42E+03 | 2.12E+04 | 1.14E+04 | 4.23E+04 | 7.99E+03 |
| Std | 2.49E+00 | 2.74E+03 | 3.86E+03 | 1.70E+03 | 4.71E+03 | 1.15E+07 | 2.41E+03 | 3.90E+03 | 8.64E+03 | 4.37E+04 | 4.42E+03 | |
| SEM | 1.02E+00 | 1.12E+03 | 1.58E+03 | 6.95E+02 | 1.92E+03 | 4.71E+06 | 9.83E+02 | 1.59E+03 | 3.53E+03 | 1.78E+04 | 1.80E+03 | |
| Rank | 1 | 12 | 16 | 9 | 10 | 21 | 8 | 18 | 15 | 19 | 13 |
| Function | WOA | PSO | MFO | SHIO | ZOA | MTDE | SCA | DOA | SCSO | GA | SA | |
|---|---|---|---|---|---|---|---|---|---|---|---|---|
| F1 | Mean | 3.74E+06 | 2.54E+03 | 2.34E+07 | 7.84E+07 | 5.27E+08 | 1.80E+11 | 7.23E+08 | 2.31E+09 | 1.52E+07 | 4.94E+09 | 4.98E+07 |
| Std | 1.89E+06 | 2.41E+03 | 3.62E+07 | 1.91E+08 | 7.65E+08 | 8.91E+09 | 2.26E+08 | 2.23E+09 | 2.17E+07 | 2.93E+09 | 2.29E+07 | |
| Rank | 5 | 2 | 8 | 10 | 13 | 22 | 14 | 16 | 7 | 18 | 9 | |
| F2 | Mean | 3.58E+06 | 2.00E+02 | 5.17E+07 | 3.39E+08 | 2.03E+07 | 3.47E+54 | 5.25E+07 | 6.87E+07 | 1.32E+07 | 9.90E+15 | 6.74E+05 |
| Std | 8.62E+06 | 5.22E-05 | 1.23E+08 | 7.89E+08 | 2.20E+07 | 3.77E+54 | 4.37E+07 | 1.63E+08 | 2.05E+07 | 2.42E+16 | 4.18E+05 | |
| Rank | 5 | 1 | 12 | 15 | 9 | 22 | 13 | 14 | 7 | 21 | 4 | |
| F3 | Mean | 4.50E+03 | 3.01E+02 | 1.60E+04 | 7.13E+03 | 1.53E+03 | 1.68E+14 | 2.59E+03 | 3.92E+03 | 1.59E+03 | 4.88E+04 | 1.30E+04 |
| Std | 5.00E+03 | 3.60E-14 | 9.91E+03 | 5.37E+03 | 1.72E+03 | 7.39E+13 | 1.11E+03 | 1.99E+03 | 1.62E+03 | 2.16E+04 | 1.59E+03 | |
| Rank | 12 | 2 | 19 | 14 | 5 | 22 | 8 | 11 | 6 | 21 | 16 | |
| F4 | Mean | 4.72E+02 | 4.02E+02 | 4.24E+02 | 4.39E+02 | 4.22E+02 | 3.18E+04 | 4.67E+02 | 5.15E+02 | 4.44E+02 | 1.01E+03 | 4.16E+02 |
| Std | 8.45E+01 | 1.19E+00 | 3.76E+01 | 3.74E+01 | 2.83E+01 | 4.23E+03 | 4.51E+01 | 7.56E+01 | 4.83E+01 | 2.18E+02 | 5.51E+00 | |
| Rank | 14 | 2 | 8 | 9 | 7 | 22 | 12 | 15 | 10 | 18 | 5 | |
| F5 | Mean | 5.56E+02 | 5.42E+02 | 5.29E+02 | 5.32E+02 | 5.43E+02 | 1.26E+03 | 5.53E+02 | 5.54E+02 | 5.32E+02 | 6.01E+02 | 5.26E+02 |
| Std | 2.11E+01 | 1.71E+01 | 7.81E+00 | 9.25E+00 | 2.58E+01 | 2.70E+01 | 8.07E+00 | 1.87E+01 | 1.45E+01 | 2.55E+01 | 7.20E+00 | |
| Rank | 14 | 10 | 7 | 8 | 11 | 22 | 12 | 13 | 9 | 19 | 6 | |
| F6 | Mean | 6.38E+02 | 6.15E+02 | 6.03E+02 | 6.05E+02 | 6.19E+02 | 7.24E+02 | 6.16E+02 | 6.28E+02 | 6.20E+02 | 6.73E+02 | 6.12E+02 |
| Std | 1.27E+01 | 1.17E+01 | 3.05E+00 | 6.75E+00 | 8.09E+00 | 5.06E+00 | 2.27E+00 | 1.33E+01 | 9.41E+00 | 1.13E+01 | 2.33E+00 | |
| Rank | 15 | 9 | 3 | 4 | 11 | 22 | 10 | 14 | 12 | 21 | 5 | |
| F7 | Mean | 8.17E+02 | 7.36E+02 | 7.42E+02 | 7.49E+02 | 7.53E+02 | 3.65E+03 | 7.74E+02 | 8.00E+02 | 7.73E+02 | 8.97E+02 | 7.57E+02 |
| Std | 3.74E+01 | 7.14E+00 | 1.34E+01 | 1.64E+01 | 1.51E+01 | 2.34E+02 | 5.34E+00 | 5.89E+01 | 3.11E+01 | 8.85E+01 | 1.39E+01 | |
| Rank | 18 | 3 | 4 | 5 | 7 | 22 | 12 | 14 | 11 | 20 | 9 | |
| F8 | Mean | 8.39E+02 | 8.23E+02 | 8.36E+02 | 8.28E+02 | 8.15E+02 | 1.46E+03 | 8.46E+02 | 8.43E+02 | 8.29E+02 | 8.77E+02 | 8.31E+02 |
| Std | 1.88E+01 | 4.67E+00 | 1.59E+01 | 1.50E+01 | 7.91E+00 | 3.96E+01 | 8.15E+00 | 1.08E+01 | 6.67E+00 | 1.16E+01 | 6.38E+00 | |
| Rank | 13 | 4 | 12 | 7 | 3 | 22 | 16 | 15 | 9 | 20 | 10 | |
| F9 | Mean | 1.73E+03 | 9.78E+02 | 1.01E+03 | 1.15E+03 | 1.09E+03 | 3.33E+04 | 1.02E+03 | 1.39E+03 | 1.00E+03 | 2.61E+03 | 1.19E+03 |
| Std | 7.62E+02 | 1.49E+02 | 1.79E+02 | 2.25E+02 | 1.03E+02 | 4.14E+03 | 3.14E+01 | 3.41E+02 | 1.33E+02 | 7.79E+02 | 1.47E+02 | |
| Rank | 17 | 3 | 7 | 11 | 10 | 22 | 8 | 13 | 6 | 20 | 12 | |
| F10 | Mean | 2.23E+03 | 1.75E+03 | 1.91E+03 | 2.04E+03 | 1.75E+03 | 1.01E+04 | 2.43E+03 | 2.66E+03 | 2.17E+03 | 2.95E+03 | 1.62E+03 |
| Std | 2.51E+02 | 2.71E+02 | 1.53E+02 | 3.02E+02 | 2.07E+02 | 2.51E+02 | 2.15E+02 | 5.74E+02 | 2.02E+02 | 2.35E+02 | 1.71E+02 | |
| Rank | 12 | 4 | 7 | 9 | 5 | 22 | 14 | 16 | 11 | 20 | 2 | |
| F11 | Mean | 1.30E+03 | 1.13E+03 | 1.14E+03 | 1.17E+03 | 1.14E+03 | 1.88E+09 | 1.22E+03 | 1.61E+03 | 1.15E+03 | 6.05E+03 | 1.17E+03 |
| Std | 7.05E+01 | 1.23E+01 | 3.55E+01 | 3.71E+01 | 2.07E+01 | 1.01E+09 | 3.19E+01 | 6.64E+02 | 2.55E+01 | 5.31E+03 | 2.96E+01 | |
| Rank | 14 | 2 | 4 | 6 | 3 | 22 | 9 | 15 | 5 | 20 | 7 | |
| F12 | Mean | 9.96E+06 | 1.75E+04 | 9.01E+06 | 6.50E+05 | 9.18E+05 | 2.57E+10 | 1.40E+07 | 4.50E+06 | 6.14E+05 | 1.87E+08 | 5.50E+05 |
| Std | 8.01E+06 | 1.62E+04 | 8.91E+06 | 1.07E+06 | 6.61E+05 | 2.91E+09 | 7.47E+06 | 7.20E+06 | 5.93E+05 | 1.79E+08 | 2.93E+05 | |
| Rank | 15 | 2 | 14 | 5 | 8 | 22 | 16 | 12 | 4 | 18 | 3 | |
| F13 | Mean | 1.33E+04 | 1.17E+04 | 1.44E+04 | 2.01E+04 | 1.45E+04 | 1.22E+10 | 4.40E+04 | 2.41E+03 | 2.27E+04 | 3.52E+07 | 2.05E+03 |
| Std | 8.83E+03 | 8.31E+03 | 1.44E+04 | 2.19E+04 | 5.70E+03 | 1.94E+09 | 3.52E+04 | 4.64E+02 | 1.71E+04 | 3.61E+07 | 4.11E+02 | |
| Rank | 7 | 5 | 9 | 12 | 10 | 22 | 16 | 3 | 14 | 20 | 2 | |
| F14 | Mean | 1.73E+03 | 1.93E+03 | 2.72E+03 | 4.65E+03 | 5.45E+03 | 4.41E+08 | 1.65E+03 | 1.46E+03 | 2.83E+03 | 1.52E+06 | 1.56E+03 |
| Std | 1.72E+02 | 7.68E+02 | 7.72E+02 | 1.56E+03 | 2.61E+03 | 1.51E+08 | 1.09E+02 | 1.84E+01 | 1.97E+03 | 1.56E+06 | 7.43E+01 | |
| Rank | 5 | 6 | 10 | 14 | 15 | 22 | 4 | 2 | 11 | 21 | 3 | |
| F15 | Mean | 8.49E+03 | 2.18E+03 | 1.47E+04 | 2.76E+03 | 5.48E+03 | 7.53E+09 | 2.59E+03 | 2.00E+03 | 3.92E+03 | 1.35E+06 | 1.66E+03 |
| Std | 5.74E+03 | 6.07E+02 | 1.24E+04 | 1.32E+03 | 2.23E+03 | 1.81E+09 | 1.06E+03 | 5.86E+02 | 1.10E+03 | 3.06E+06 | 5.46E+01 | |
| Rank | 14 | 4 | 17 | 6 | 11 | 22 | 5 | 3 | 7 | 20 | 2 |
| Function | FVIMDE | FVIM | FLO | STOA | SOA | SPBO | AO | SSOA | Chimp | CPO | ROA | |
|---|---|---|---|---|---|---|---|---|---|---|---|---|
| F16 | Mean | 1.61E+03 | 1.92E+03 | 2.31E+03 | 1.75E+03 | 1.74E+03 | 2.48E+03 | 1.80E+03 | 2.30E+03 | 2.04E+03 | 2.08E+03 | 1.99E+03 |
| Std | 1.04E+01 | 1.48E+02 | 1.46E+02 | 9.03E+01 | 1.20E+02 | 2.87E+02 | 1.21E+02 | 1.76E+02 | 8.58E+01 | 1.34E+02 | 1.44E+02 | |
| Rank | 1 | 13 | 20 | 4 | 3 | 21 | 8 | 19 | 16 | 17 | 15 | |
| F17 | Mean | 1.73E+03 | 1.79E+03 | 1.86E+03 | 1.76E+03 | 1.85E+03 | 2.17E+03 | 1.77E+03 | 1.92E+03 | 1.81E+03 | 1.87E+03 | 1.81E+03 |
| Std | 7.52E+00 | 4.65E+01 | 2.74E+01 | 1.27E+01 | 5.95E+01 | 2.08E+02 | 1.75E+01 | 7.46E+01 | 8.82E+00 | 1.13E+02 | 2.12E+01 | |
| Rank | 1 | 11 | 17 | 4 | 16 | 21 | 5 | 19 | 13 | 18 | 14 | |
| F18 | Mean | 1.81E+03 | 1.58E+04 | 1.10E+08 | 4.05E+04 | 4.31E+04 | 1.61E+08 | 1.69E+04 | 1.85E+08 | 6.36E+04 | 1.48E+04 | 7.97E+04 |
| Std | 4.24E+00 | 1.15E+04 | 2.14E+08 | 9.32E+03 | 2.12E+04 | 1.46E+08 | 9.84E+03 | 1.59E+08 | 7.18E+04 | 1.30E+04 | 6.48E+04 | |
| Rank | 1 | 7 | 19 | 13 | 14 | 20 | 8 | 21 | 15 | 6 | 16 | |
| F19 | Mean | 1.90E+03 | 8.26E+03 | 1.27E+05 | 6.71E+03 | 1.69E+04 | 1.32E+07 | 4.67E+03 | 1.08E+06 | 2.29E+04 | 1.18E+04 | 2.44E+04 |
| Std | 3.50E-01 | 5.99E+03 | 2.59E+05 | 6.91E+03 | 9.99E+03 | 1.46E+07 | 3.05E+03 | 3.44E+05 | 7.25E+03 | 1.17E+04 | 1.37E+04 | |
| Rank | 1 | 11 | 18 | 7 | 13 | 21 | 5 | 20 | 14 | 12 | 15 | |
| F20 | Mean | 2.00E+03 | 2.16E+03 | 2.22E+03 | 2.12E+03 | 2.16E+03 | 2.45E+03 | 2.12E+03 | 2.37E+03 | 2.23E+03 | 2.33E+03 | 2.26E+03 |
| Std | 7.60E+00 | 5.72E+01 | 6.79E+01 | 5.95E+01 | 5.91E+01 | 8.41E+01 | 6.16E+01 | 4.37E+01 | 8.20E+01 | 1.58E+02 | 3.66E+01 | |
| Rank | 1 | 9 | 15 | 6 | 10 | 21 | 5 | 20 | 16 | 19 | 17 | |
| F21 | Mean | 2.31E+03 | 2.30E+03 | 2.37E+03 | 2.20E+03 | 2.20E+03 | 2.39E+03 | 2.27E+03 | 2.41E+03 | 2.31E+03 | 2.35E+03 | 2.35E+03 |
| Std | 9.17E+00 | 4.97E+01 | 7.58E+01 | 1.15E+00 | 1.77E+00 | 4.05E+01 | 5.99E+01 | 8.25E+00 | 6.40E+01 | 2.10E+01 | 5.70E+01 | |
| Rank | 9 | 8 | 18 | 1 | 2 | 20 | 4 | 21 | 10 | 17 | 16 | |
| F22 | Mean | 2.29E+03 | 2.35E+03 | 3.09E+03 | 3.20E+03 | 3.44E+03 | 3.39E+03 | 2.30E+03 | 2.95E+03 | 3.65E+03 | 2.31E+03 | 2.67E+03 |
| Std | 4.33E+01 | 3.51E+01 | 6.29E+02 | 7.02E+02 | 5.87E+02 | 3.37E+02 | 2.83E+01 | 2.70E+02 | 6.59E+02 | 4.05E+00 | 2.40E+02 | |
| Rank | 1 | 11 | 17 | 18 | 20 | 19 | 3 | 15 | 21 | 5 | 14 | |
| F23 | Mean | 2.62E+03 | 2.65E+03 | 2.74E+03 | 2.63E+03 | 2.63E+03 | 2.69E+03 | 2.64E+03 | 2.81E+03 | 2.65E+03 | 2.68E+03 | 2.66E+03 |
| Std | 1.01E+01 | 2.19E+01 | 2.55E+01 | 5.39E+00 | 8.14E+00 | 6.08E+00 | 1.33E+01 | 5.56E+01 | 6.83E+00 | 2.97E+01 | 1.90E+01 | |
| Rank | 1 | 8 | 19 | 2 | 4 | 17 | 6 | 21 | 11 | 15 | 12 | |
| F24 | Mean | 2.75E+03 | 2.75E+03 | 2.93E+03 | 2.76E+03 | 2.75E+03 | 2.83E+03 | 2.77E+03 | 2.97E+03 | 2.81E+03 | 2.84E+03 | 2.78E+03 |
| Std | 1.42E+01 | 1.10E+01 | 7.89E+01 | 1.11E+01 | 6.88E+00 | 1.44E+01 | 6.72E+00 | 5.61E+01 | 1.69E+01 | 4.81E+01 | 6.88E+01 | |
| Rank | 5 | 4 | 19 | 7 | 6 | 17 | 10 | 21 | 16 | 18 | 12 | |
| F25 | Mean | 2.91E+03 | 2.94E+03 | 3.51E+03 | 2.94E+03 | 2.94E+03 | 3.46E+03 | 2.93E+03 | 3.30E+03 | 3.00E+03 | 2.94E+03 | 3.16E+03 |
| Std | 1.86E+01 | 2.83E+01 | 2.02E+02 | 1.34E+01 | 2.33E+01 | 1.15E+02 | 2.30E+01 | 9.80E+01 | 3.23E+01 | 4.59E+01 | 2.24E+02 | |
| Rank | 1 | 7 | 21 | 5 | 10 | 20 | 4 | 18 | 15 | 8 | 17 | |
| F26 | Mean | 2.90E+03 | 2.95E+03 | 4.00E+03 | 3.32E+03 | 3.32E+03 | 4.61E+03 | 2.97E+03 | 4.48E+03 | 4.06E+03 | 4.16E+03 | 3.56E+03 |
| Std | 3.41E-02 | 1.11E+02 | 5.12E+02 | 5.66E+02 | 5.04E+02 | 1.59E+02 | 1.44E+02 | 1.24E+02 | 1.37E+02 | 3.89E+02 | 1.40E+02 | |
| Rank | 1 | 2 | 16 | 11 | 10 | 21 | 4 | 20 | 17 | 18 | 15 | |
| F27 | Mean | 3.09E+03 | 3.13E+03 | 3.32E+03 | 3.09E+03 | 3.09E+03 | 3.13E+03 | 3.10E+03 | 3.41E+03 | 3.10E+03 | 3.17E+03 | 3.18E+03 |
| Std | 3.26E-01 | 3.72E+01 | 7.69E+01 | 2.42E+00 | 2.10E+00 | 7.82E+00 | 5.91E+00 | 9.12E+01 | 6.44E+00 | 6.56E+01 | 3.79E+01 | |
| Rank | 1 | 13 | 20 | 2 | 3 | 11 | 7 | 21 | 6 | 17 | 18 | |
| F28 | Mean | 3.20E+03 | 3.46E+03 | 3.87E+03 | 3.41E+03 | 3.27E+03 | 3.49E+03 | 3.38E+03 | 3.88E+03 | 3.25E+03 | 3.37E+03 | 3.58E+03 |
| Std | 9.78E+00 | 1.65E+02 | 2.31E+01 | 5.06E+00 | 1.11E+02 | 8.06E+01 | 8.02E+01 | 1.09E+02 | 7.86E+00 | 2.89E+02 | 2.87E+02 | |
| Rank | 2 | 15 | 20 | 12 | 5 | 16 | 10 | 21 | 4 | 9 | 17 | |
| F29 | Mean | 3.15E+03 | 3.20E+03 | 3.51E+03 | 3.18E+03 | 3.25E+03 | 3.52E+03 | 3.22E+03 | 3.69E+03 | 3.33E+03 | 3.34E+03 | 3.42E+03 |
| Std | 1.48E+01 | 4.82E+01 | 1.44E+02 | 4.97E+01 | 7.55E+01 | 9.64E+01 | 3.17E+01 | 1.66E+02 | 5.13E+01 | 1.20E+02 | 9.42E+01 | |
| Rank | 1 | 4 | 18 | 2 | 10 | 19 | 6 | 21 | 14 | 15 | 17 | |
| F30 | Mean | 5.95E+03 | 1.22E+06 | 2.28E+07 | 7.28E+04 | 2.19E+05 | 6.59E+06 | 3.26E+05 | 5.17E+07 | 3.91E+06 | 3.17E+06 | 8.04E+06 |
| Std | 5.45E+03 | 1.62E+06 | 1.03E+07 | 3.16E+04 | 2.78E+05 | 2.37E+06 | 2.98E+05 | 1.90E+07 | 2.73E+06 | 3.36E+06 | 1.08E+07 | |
| Rank | 1 | 13 | 19 | 3 | 5 | 17 | 6 | 21 | 16 | 15 | 18 |
| Function | WOA | PSO | MFO | SHIO | ZOA | MTDE | SCA | DOA | SCSO | GA | SA | |
|---|---|---|---|---|---|---|---|---|---|---|---|---|
| F16 | Mean | 1.98E+03 | 1.84E+03 | 1.79E+03 | 1.91E+03 | 1.85E+03 | 5.79E+04 | 1.79E+03 | 1.90E+03 | 1.78E+03 | 2.21E+03 | 1.73E+03 |
| Std | 1.48E+02 | 1.26E+02 | 1.72E+02 | 1.61E+02 | 4.96E+01 | 3.46E+03 | 9.71E+01 | 1.77E+02 | 9.63E+01 | 1.84E+02 | 4.38E+01 | |
| Rank | 14 | 9 | 7 | 12 | 10 | 22 | 6 | 11 | 5 | 18 | 2 | |
| F17 | Mean | 1.78E+03 | 1.78E+03 | 1.80E+03 | 1.82E+03 | 1.76E+03 | 6.00E+05 | 1.78E+03 | 1.78E+03 | 1.78E+03 | 1.99E+03 | 1.74E+03 |
| Std | 1.67E+01 | 4.36E+01 | 4.31E+01 | 8.21E+01 | 1.49E+01 | 1.67E+05 | 1.90E+01 | 2.61E+01 | 1.95E+01 | 2.25E+02 | 7.53E+00 | |
| Rank | 10 | 6 | 12 | 15 | 3 | 22 | 8 | 9 | 7 | 20 | 2 | |
| F18 | Mean | 1.91E+04 | 1.07E+04 | 3.25E+04 | 1.89E+04 | 1.34E+04 | 6.84E+08 | 2.90E+05 | 1.39E+04 | 2.80E+04 | 7.33E+06 | 4.75E+03 |
| Std | 1.28E+04 | 7.28E+03 | 8.12E+03 | 1.50E+04 | 7.40E+03 | 3.04E+08 | 3.16E+05 | 2.10E+04 | 1.24E+04 | 1.04E+07 | 1.60E+03 | |
| Rank | 10 | 3 | 12 | 9 | 4 | 22 | 17 | 5 | 11 | 18 | 2 | |
| F19 | Mean | 3.35E+04 | 6.95E+03 | 3.68E+03 | 6.51E+03 | 3.96E+04 | 5.63E+09 | 3.15E+03 | 7.76E+03 | 8.20E+03 | 9.56E+05 | 2.03E+03 |
| Std | 3.95E+04 | 3.75E+03 | 2.17E+03 | 6.84E+03 | 8.07E+04 | 1.37E+09 | 1.45E+03 | 1.21E+04 | 6.84E+03 | 1.07E+06 | 8.48E+01 | |
| Rank | 16 | 8 | 4 | 6 | 17 | 22 | 3 | 9 | 10 | 19 | 2 | |
| F20 | Mean | 2.17E+03 | 2.13E+03 | 2.11E+03 | 2.21E+03 | 2.08E+03 | 3.49E+03 | 2.14E+03 | 2.19E+03 | 2.17E+03 | 2.29E+03 | 2.04E+03 |
| Std | 9.51E+01 | 9.79E+01 | 5.82E+01 | 8.46E+01 | 3.65E+01 | 1.25E+02 | 3.79E+01 | 7.79E+01 | 3.22E+01 | 1.13E+02 | 7.15E+00 | |
| Rank | 11 | 7 | 4 | 14 | 3 | 22 | 8 | 13 | 12 | 18 | 2 | |
| F21 | Mean | 2.31E+03 | 2.32E+03 | 2.33E+03 | 2.29E+03 | 2.31E+03 | 2.94E+03 | 2.28E+03 | 2.34E+03 | 2.27E+03 | 2.38E+03 | 2.25E+03 |
| Std | 7.17E+01 | 5.92E+01 | 1.33E+01 | 6.62E+01 | 5.23E+01 | 2.94E+01 | 6.84E+01 | 7.78E+00 | 6.83E+01 | 5.51E+01 | 4.83E+01 | |
| Rank | 12 | 13 | 14 | 7 | 11 | 22 | 6 | 15 | 5 | 19 | 3 | |
| F22 | Mean | 2.30E+03 | 2.29E+03 | 2.31E+03 | 2.33E+03 | 2.34E+03 | 1.17E+04 | 2.39E+03 | 2.48E+03 | 2.31E+03 | 3.01E+03 | 2.31E+03 |
| Std | 3.71E+01 | 3.07E+01 | 1.87E+01 | 4.26E+01 | 2.09E+01 | 2.19E+02 | 3.92E+01 | 1.56E+02 | 1.06E+01 | 5.18E+02 | 1.64E+01 | |
| Rank | 4 | 2 | 7 | 9 | 10 | 22 | 12 | 13 | 8 | 16 | 6 | |
| F23 | Mean | 2.66E+03 | 2.73E+03 | 2.63E+03 | 2.64E+03 | 2.68E+03 | 5.04E+03 | 2.66E+03 | 2.65E+03 | 2.65E+03 | 2.80E+03 | 2.63E+03 |
| Std | 2.88E+01 | 6.59E+01 | 1.04E+01 | 1.33E+01 | 1.05E+01 | 1.08E+02 | 1.03E+01 | 1.87E+01 | 1.78E+01 | 2.99E+01 | 7.11E+00 | |
| Rank | 14 | 18 | 5 | 7 | 16 | 22 | 13 | 10 | 9 | 20 | 3 | |
| F24 | Mean | 2.67E+03 | 2.76E+03 | 2.76E+03 | 2.72E+03 | 2.79E+03 | 5.62E+03 | 2.79E+03 | 2.80E+03 | 2.78E+03 | 2.94E+03 | 2.59E+03 |
| Std | 1.24E+02 | 1.30E+02 | 4.75E+00 | 8.67E+01 | 2.20E+01 | 8.25E+01 | 3.80E+00 | 1.25E+02 | 1.15E+01 | 7.81E+01 | 3.43E+01 | |
| Rank | 2 | 9 | 8 | 3 | 13 | 22 | 14 | 15 | 11 | 20 | 1 | |
| F25 | Mean | 2.95E+03 | 2.93E+03 | 2.94E+03 | 2.96E+03 | 2.98E+03 | 1.12E+04 | 2.97E+03 | 3.06E+03 | 2.93E+03 | 3.35E+03 | 2.94E+03 |
| Std | 4.91E+01 | 2.31E+01 | 2.79E+01 | 2.81E+01 | 1.03E+02 | 1.10E+03 | 9.04E+00 | 9.58E+01 | 2.06E+01 | 2.58E+02 | 1.29E+01 | |
| Rank | 11 | 2 | 9 | 12 | 14 | 22 | 13 | 16 | 3 | 19 | 6 | |
| F26 | Mean | 3.40E+03 | 3.05E+03 | 2.96E+03 | 3.30E+03 | 3.47E+03 | 2.72E+04 | 3.08E+03 | 3.47E+03 | 3.16E+03 | 4.47E+03 | 3.06E+03 |
| Std | 4.10E+02 | 2.41E+02 | 9.66E+01 | 4.86E+02 | 3.40E+02 | 1.09E+03 | 3.83E+01 | 3.27E+02 | 2.19E+02 | 3.92E+02 | 9.13E+01 | |
| Rank | 12 | 5 | 3 | 9 | 13 | 22 | 7 | 14 | 8 | 19 | 6 | |
| F27 | Mean | 3.14E+03 | 3.15E+03 | 3.09E+03 | 3.13E+03 | 3.16E+03 | 5.56E+03 | 3.10E+03 | 3.12E+03 | 3.10E+03 | 3.29E+03 | 3.10E+03 |
| Std | 3.71E+01 | 5.12E+01 | 2.85E+00 | 3.49E+01 | 3.61E+01 | 9.16E+01 | 2.53E+00 | 8.10E+00 | 1.06E+01 | 7.97E+01 | 3.74E+00 | |
| Rank | 14 | 15 | 4 | 12 | 16 | 22 | 8 | 10 | 9 | 19 | 5 | |
| F28 | Mean | 3.41E+03 | 3.18E+03 | 3.39E+03 | 3.41E+03 | 3.37E+03 | 1.20E+04 | 3.37E+03 | 3.58E+03 | 3.35E+03 | 3.86E+03 | 3.24E+03 |
| Std | 1.32E+02 | 5.02E+01 | 4.29E+01 | 3.51E+01 | 1.25E+02 | 9.36E+02 | 1.52E+02 | 2.79E+02 | 1.93E+02 | 2.23E+02 | 3.75E+01 | |
| Rank | 13 | 1 | 11 | 14 | 8 | 22 | 7 | 18 | 6 | 19 | 3 | |
| F29 | Mean | 3.37E+03 | 3.21E+03 | 3.28E+03 | 3.23E+03 | 3.23E+03 | 4.17E+05 | 3.24E+03 | 3.25E+03 | 3.30E+03 | 3.53E+03 | 3.19E+03 |
| Std | 5.43E+01 | 3.38E+01 | 6.76E+01 | 6.73E+01 | 6.01E+01 | 2.26E+05 | 4.28E+01 | 8.30E+01 | 4.50E+01 | 1.76E+02 | 4.56E+01 | |
| Rank | 16 | 5 | 12 | 7 | 8 | 22 | 9 | 11 | 13 | 20 | 3 | |
| F30 | Mean | 1.76E+06 | 1.37E+04 | 7.14E+05 | 7.74E+05 | 7.48E+05 | 9.88E+09 | 1.21E+06 | 8.17E+05 | 7.46E+05 | 3.01E+07 | 1.15E+05 |
| Std | 2.18E+06 | 5.82E+03 | 6.87E+05 | 1.12E+06 | 1.07E+06 | 5.52E+08 | 9.02E+05 | 1.20E+06 | 1.25E+06 | 1.90E+07 | 1.15E+05 | |
| Rank | 14 | 2 | 7 | 10 | 9 | 22 | 12 | 11 | 8 | 20 | 4 |
| Function | Stat. | FVIMDE | FVIM | FLO | STOA | SOA | MVO | AO | SSOA | Chimp | CPO | ROA |
|---|---|---|---|---|---|---|---|---|---|---|---|---|
| F1 | Mean | 0.00E+00 | 1.60E+00 | 0.00E+00 | 0.00E+00 | 0.00E+00 | 0.00E+00 | 0.00E+00 | 1.04E+01 | 0.00E+00 | 0.00E+00 | 0.00E+00 |
| Std | 0.00E+00 | 2.19E+00 | 0.00E+00 | 0.00E+00 | 0.00E+00 | 0.00E+00 | 0.00E+00 | 1.14E+00 | 0.00E+00 | 0.00E+00 | 0.00E+00 | |
| Rank | 1 | 19 | 1 | 1 | 1 | 1 | 1 | 22 | 1 | 1 | 1 | |
| F2 | Mean | 0.00E+00 | 0.00E+00 | 0.00E+00 | 0.00E+00 | 0.00E+00 | 7.60E+00 | 0.00E+00 | 0.00E+00 | 0.00E+00 | 0.00E+00 | 0.00E+00 |
| Std | 0.00E+00 | 0.00E+00 | 0.00E+00 | 0.00E+00 | 0.00E+00 | 1.67E+00 | 0.00E+00 | 0.00E+00 | 0.00E+00 | 0.00E+00 | 0.00E+00 | |
| Rank | 1 | 1 | 1 | 1 | 1 | 19 | 1 | 1 | 1 | 1 | 1 | |
| F3 | Mean | 3.42E-44 | 7.07E-21 | 0.00E+00 | 5.94E-18 | 1.23E-27 | 2.99E-01 | 5.25E-202 | 0.00E+00 | 1.13E-13 | 1.69E-179 | 7.30E-22 |
| Std | 2.35E-44 | 6.53E-21 | 0.00E+00 | 7.95E-18 | 2.00E-27 | 4.34E-02 | 0.00E+00 | 0.00E+00 | 2.35E-13 | 0.00E+00 | 1.63E-21 | |
| Rank | 11 | 14 | 1 | 15 | 12 | 20 | 6 | 1 | 16 | 7 | 13 | |
| F4 | Mean | 9.57E-45 | 1.83E-21 | 0.00E+00 | 2.11E-19 | 4.72E-29 | 4.40E-01 | 1.62E-216 | 0.00E+00 | 5.11E-16 | 3.41E-193 | 5.16E-34 |
| Std | 1.62E-44 | 1.47E-21 | 0.00E+00 | 2.78E-19 | 6.41E-29 | 3.82E-01 | 0.00E+00 | 0.00E+00 | 1.01E-15 | 0.00E+00 | 1.15E-33 | |
| Rank | 11 | 14 | 1 | 15 | 13 | 18 | 5 | 1 | 16 | 6 | 12 | |
| F5 | Mean | 1.51E-03 | 3.85E-03 | 2.05E-05 | 1.48E-03 | 1.56E-03 | 1.45E-02 | 3.55E-05 | 4.69E-05 | 5.57E-04 | 5.69E-05 | 7.24E-05 |
| Std | 6.49E-04 | 1.09E-03 | 1.62E-05 | 4.92E-04 | 1.21E-03 | 4.44E-03 | 3.08E-05 | 2.32E-05 | 4.18E-04 | 6.43E-05 | 4.58E-05 | |
| Rank | 13 | 15 | 1 | 12 | 14 | 17 | 2 | 5 | 9 | 6 | 7 | |
| F6 | Mean | 0.00E+00 | 2.86E-01 | 8.09E-02 | 4.82E-06 | 4.57E-06 | 3.05E-01 | 1.01E-04 | 3.15E-01 | 1.52E-01 | 1.75E-08 | 2.43E-07 |
| Std | 0.00E+00 | 3.15E-01 | 1.63E-01 | 7.50E-06 | 4.63E-06 | 4.17E-01 | 6.49E-05 | 4.49E-01 | 3.41E-01 | 2.40E-08 | 2.00E-07 | |
| Rank | 1 | 19 | 16 | 12 | 11 | 20 | 13 | 21 | 18 | 8 | 10 | |
| F7 | Mean | −1.00E+00 | −1.00E+00 | −1.00E+00 | −1.00E+00 | −1.00E+00 | −8.00E-01 | −1.00E+00 | −8.14E-01 | −1.00E+00 | −1.00E+00 | −7.98E-01 |
| Std | 0.00E+00 | 2.07E-07 | 7.33E-06 | 9.74E-06 | 2.99E-05 | 4.47E-01 | 2.08E-06 | 2.05E-01 | 1.45E-04 | 4.36E-09 | 4.46E-01 | |
| Rank | 1 | 10 | 13 | 14 | 15 | 20 | 11 | 19 | 16 | 7 | 21 | |
| F8 | Mean | 6.11E-151 | 3.97E-149 | 0.00E+00 | 1.47E-96 | 3.16E-155 | 5.89E-09 | 5.87E-210 | 0.00E+00 | 3.07E-131 | 2.96E-166 | 3.39E-27 |
| Std | 9.16E-151 | 8.87E-149 | 0.00E+00 | 3.18E-96 | 7.07E-155 | 5.36E-09 | 0.00E+00 | 0.00E+00 | 6.85E-131 | 0.00E+00 | 4.47E-27 | |
| Rank | 12 | 13 | 1 | 16 | 11 | 20 | 8 | 1 | 14 | 10 | 19 | |
| F9 | Mean | 1.82E-18 | 2.57E+00 | 0.00E+00 | 1.29E+00 | 8.14E-01 | 1.36E-02 | 8.13E-05 | 2.11E+01 | 4.94E+00 | 3.14E-06 | 1.42E-03 |
| Std | 3.40E-18 | 2.68E+00 | 0.00E+00 | 8.60E-01 | 7.35E-01 | 9.93E-03 | 6.61E-05 | 5.65E+00 | 3.04E+00 | 4.98E-06 | 2.33E-03 | |
| Rank | 2 | 18 | 1 | 13 | 11 | 7 | 4 | 21 | 20 | 3 | 5 | |
| F10 | Mean | −5.00E+01 | −4.58E+01 | −3.85E+01 | −5.00E+01 | −5.00E+01 | −5.00E+01 | −5.00E+01 | −1.26E+01 | 1.81E+00 | −5.00E+01 | −3.67E+01 |
| Std | 1.07E-11 | 9.40E+00 | 5.83E+00 | 8.39E-03 | 2.93E-03 | 4.05E-05 | 4.57E-03 | 1.53E+01 | 1.64E+00 | 9.99E-07 | 6.73E+00 | |
| Rank | 3 | 15 | 18 | 12 | 10 | 9 | 11 | 20 | 21 | 4 | 19 | |
| F11 | Mean | −2.10E+02 | −7.14E+01 | −1.21E+02 | −1.61E+02 | −1.14E+02 | −2.10E+02 | −2.10E+02 | 4.95E+00 | 7.14E+00 | −2.10E+02 | −1.25E+02 |
| Std | 2.29E-03 | 4.81E+01 | 3.17E+01 | 2.65E+01 | 6.38E+01 | 2.92E-02 | 2.24E-02 | 1.00E+00 | 1.84E+00 | 3.04E-04 | 3.23E+01 | |
| Rank | 3 | 17 | 13 | 8 | 14 | 4 | 6 | 20 | 21 | 1 | 12 | |
| F12 | Mean | 2.97E-26 | 1.62E-21 | 0.00E+00 | 6.08E-24 | 4.63E-23 | 2.33E-04 | 1.07E-192 | 0.00E+00 | 3.09E-21 | 1.14E-182 | 2.75E-25 |
| Std | 3.83E-26 | 2.43E-21 | 0.00E+00 | 1.36E-24 | 1.03E-22 | 1.56E-04 | 0.00E+00 | 0.00E+00 | 6.80E-21 | 0.00E+00 | 6.15E-25 | |
| Rank | 10 | 14 | 1 | 12 | 13 | 17 | 6 | 1 | 15 | 7 | 11 | |
| F13 | Mean | 7.98E-05 | 6.69E-06 | 0.00E+00 | 3.98E-09 | 7.11E-09 | 2.98E-01 | 3.02E-200 | 0.00E+00 | 8.81E-08 | 2.08E-147 | 6.91E-18 |
| Std | 3.83E-05 | 4.93E-06 | 0.00E+00 | 6.31E-09 | 1.59E-08 | 1.36E-01 | 0.00E+00 | 0.00E+00 | 1.96E-07 | 4.65E-147 | 1.54E-17 | |
| Rank | 16 | 13 | 1 | 9 | 10 | 18 | 4 | 1 | 11 | 6 | 8 | |
| F14 | Mean | 1.36E-12 | 1.20E-25 | 0.00E+00 | 5.98E-12 | 1.41E-17 | 3.33E-01 | 1.23E-102 | 0.00E+00 | 1.04E-10 | 7.29E-88 | 7.33E-14 |
| Std | 5.30E-13 | 7.45E-26 | 0.00E+00 | 7.88E-12 | 1.48E-17 | 3.85E-02 | 2.75E-102 | 0.00E+00 | 1.73E-10 | 1.63E-87 | 1.39E-13 | |
| Rank | 14 | 11 | 1 | 15 | 12 | 18 | 6 | 1 | 16 | 8 | 13 | |
| F15 | Mean | 3.21E-02 | 1.90E-09 | 0.00E+00 | 5.98E-08 | 7.03E-14 | 2.97E+01 | 7.58E-202 | 0.00E+00 | 3.44E-01 | 1.24E-167 | 6.28E-21 |
| Std | 6.28E-02 | 4.10E-09 | 0.00E+00 | 5.65E-08 | 1.31E-13 | 7.36E+00 | 0.00E+00 | 0.00E+00 | 4.79E-01 | 0.00E+00 | 1.40E-20 | |
| Rank | 14 | 12 | 1 | 13 | 10 | 17 | 4 | 1 | 15 | 6 | 8 | |
| F16 | Mean | 2.58E+01 | 2.77E+01 | 0.00E+00 | 2.81E+01 | 2.81E+01 | 1.15E+02 | 9.43E-04 | 2.89E+01 | 2.87E+01 | 2.74E+01 | 5.70E-02 |
| Std | 7.20E-01 | 6.19E-01 | 0.00E+00 | 2.53E-01 | 6.82E-01 | 8.61E+01 | 1.14E-03 | 8.41E-02 | 4.89E-01 | 4.60E-01 | 8.47E-02 | |
| Rank | 4 | 9 | 1 | 11 | 10 | 18 | 2 | 16 | 14 | 7 | 3 | |
| F17 | Mean | 6.66E-01 | 6.67E-01 | 2.49E-01 | 6.67E-01 | 6.67E-01 | 1.75E+00 | 2.50E-01 | 6.67E-01 | 7.33E-01 | 6.67E-01 | 2.51E-01 |
| Std | 5.42E-03 | 6.44E-07 | 4.14E-04 | 4.07E-06 | 3.44E-06 | 1.94E+00 | 5.78E-04 | 6.44E-08 | 1.49E-01 | 2.18E-04 | 3.41E-03 | |
| Rank | 4 | 9 | 1 | 11 | 10 | 17 | 2 | 6 | 15 | 13 | 3 | |
| F18 | Mean | 1.39E+00 | 8.80E+00 | 9.98E-01 | 1.39E+00 | 9.98E-01 | 9.98E-01 | 1.39E+00 | 9.58E+00 | 9.98E-01 | 1.23E+01 | 9.98E-01 |
| Std | 8.87E-01 | 5.31E+00 | 2.22E-16 | 8.87E-01 | 5.95E-09 | 1.19E-11 | 8.87E-01 | 4.19E+00 | 3.10E-06 | 8.53E-01 | 3.44E-10 | |
| Rank | 9 | 20 | 1 | 11 | 6 | 3 | 10 | 21 | 7 | 22 | 4 |
| Function | Stat. | WOA | PSO | MFO | SHIO | ZOA | GWO | SCA | DOA | SCSO | GA | SA |
|---|---|---|---|---|---|---|---|---|---|---|---|---|
| F1 | Mean | 0.00E+00 | 0.00E+00 | 0.00E+00 | 0.00E+00 | 4.60E+00 | 0.00E+00 | 0.00E+00 | 0.00E+00 | 0.00E+00 | 4.40E+00 | 0.00E+00 |
| Std | 0.00E+00 | 0.00E+00 | 0.00E+00 | 0.00E+00 | 2.88E+00 | 0.00E+00 | 0.00E+00 | 0.00E+00 | 0.00E+00 | 3.36E+00 | 0.00E+00 | |
| Rank | 1 | 1 | 1 | 1 | 21 | 1 | 1 | 1 | 1 | 20 | 1 | |
| F2 | Mean | 0.00E+00 | 0.00E+00 | 2.00E+03 | 0.00E+00 | 0.00E+00 | 0.00E+00 | 6.00E-01 | 0.00E+00 | 0.00E+00 | 4.59E+04 | 5.84E+03 |
| Std | 0.00E+00 | 0.00E+00 | 4.47E+03 | 0.00E+00 | 0.00E+00 | 0.00E+00 | 1.34E+00 | 0.00E+00 | 0.00E+00 | 8.46E+03 | 6.45E+02 | |
| Rank | 1 | 1 | 20 | 1 | 1 | 1 | 18 | 1 | 1 | 22 | 21 | |
| F3 | Mean | 8.59E-153 | 1.57E-09 | 1.86E-03 | 5.29E-65 | 0.00E+00 | 1.03E-58 | 7.34E-04 | 1.89E-206 | 3.79E-236 | 3.89E+04 | 5.35E+03 |
| Std | 1.78E-152 | 2.00E-09 | 3.98E-03 | 3.95E-65 | 0.00E+00 | 1.88E-58 | 9.49E-04 | 0.00E+00 | 0.00E+00 | 5.99E+03 | 8.01E+02 | |
| Rank | 8 | 17 | 19 | 9 | 1 | 10 | 18 | 5 | 4 | 22 | 21 | |
| F4 | Mean | 2.27E-155 | 8.00E+01 | 5.80E+02 | 1.96E-64 | 0.00E+00 | 1.36E-59 | 2.03E-03 | 1.37E-154 | 2.22E-235 | 6.06E+03 | 6.37E+02 |
| Std | 4.96E-155 | 1.10E+02 | 7.09E+02 | 4.35E-64 | 0.00E+00 | 2.20E-59 | 2.99E-03 | 3.05E-154 | 0.00E+00 | 1.52E+03 | 1.25E+02 | |
| Rank | 7 | 19 | 20 | 9 | 1 | 10 | 17 | 8 | 4 | 22 | 21 | |
| F5 | Mean | 8.63E-04 | 1.65E+00 | 1.73E+00 | 4.31E-03 | 4.22E-05 | 8.22E-04 | 5.03E-02 | 1.68E-04 | 4.14E-05 | 2.48E+01 | 1.11E+00 |
| Std | 7.43E-04 | 2.20E+00 | 3.66E+00 | 9.76E-04 | 2.99E-05 | 2.27E-04 | 4.44E-02 | 2.02E-04 | 3.47E-05 | 1.32E+01 | 3.54E-01 | |
| Rank | 11 | 20 | 21 | 16 | 4 | 10 | 18 | 8 | 3 | 22 | 19 | |
| F6 | Mean | 1.01E-11 | 0.00E+00 | 1.69E-30 | 2.61E-08 | 1.66E-10 | 1.52E-01 | 2.24E-04 | 0.00E+00 | 2.00E-10 | 4.92E-01 | 2.22E-04 |
| Std | 1.92E-11 | 0.00E+00 | 2.32E-30 | 2.03E-08 | 3.66E-10 | 3.41E-01 | 2.30E-04 | 0.00E+00 | 2.32E-10 | 6.68E-01 | 3.50E-04 | |
| Rank | 5 | 1 | 4 | 9 | 6 | 17 | 15 | 1 | 7 | 22 | 14 | |
| F7 | Mean | −1.00E+00 | −1.00E+00 | −1.00E+00 | −1.00E+00 | −1.00E+00 | −1.00E+00 | −9.99E-01 | −1.00E+00 | −1.00E+00 | −2.08E-01 | −9.30E-01 |
| Std | 3.83E-06 | 0.00E+00 | 0.00E+00 | 6.45E-08 | 8.93E-11 | 4.25E-08 | 1.06E-03 | 0.00E+00 | 4.19E-09 | 3.96E-01 | 1.50E-01 | |
| Rank | 12 | 1 | 1 | 9 | 5 | 8 | 17 | 1 | 6 | 22 | 18 | |
| F8 | Mean | 0.00E+00 | 3.99E-88 | 3.33E-56 | 1.13E-259 | 0.00E+00 | 2.71E-202 | 1.12E-116 | 0.00E+00 | 0.00E+00 | 9.09E-03 | 7.24E-05 |
| Std | 0.00E+00 | 8.70E-88 | 7.45E-56 | 0.00E+00 | 0.00E+00 | 0.00E+00 | 2.46E-116 | 0.00E+00 | 0.00E+00 | 7.34E-03 | 6.10E-05 | |
| Rank | 1 | 17 | 18 | 7 | 1 | 9 | 15 | 1 | 1 | 22 | 21 | |
| F9 | Mean | 5.00E-01 | 1.12E-02 | 2.25E+00 | 6.44E-01 | 1.51E+00 | 4.99E-01 | 1.40E+00 | 1.96E+00 | 9.41E-01 | 3.49E+02 | 2.90E+00 |
| Std | 5.47E-01 | 9.88E-03 | 1.93E+00 | 8.04E-01 | 1.48E+00 | 7.10E-01 | 3.74E-01 | 3.32E+00 | 8.46E-01 | 6.85E+02 | 4.24E+00 | |
| Rank | 9 | 6 | 17 | 10 | 15 | 8 | 14 | 16 | 12 | 22 | 19 | |
| F10 | Mean | −5.00E+01 | −5.00E+01 | −5.00E+01 | −4.58E+01 | −5.00E+01 | −5.00E+01 | −4.13E+01 | −4.94E+01 | −5.00E+01 | 1.56E+01 | −4.86E+01 |
| Std | 3.92E-05 | 4.02E-14 | 4.77E-14 | 9.42E+00 | 4.17E-05 | 4.59E-05 | 8.31E+00 | 1.39E+00 | 1.59E-05 | 4.82E+01 | 7.98E-01 | |
| Rank | 7 | 1 | 2 | 16 | 8 | 6 | 17 | 13 | 5 | 22 | 14 | |
| F11 | Mean | −2.10E+02 | −2.10E+02 | −2.10E+02 | −5.51E+01 | −1.30E+02 | −1.31E+02 | −3.02E+01 | −8.81E+01 | −1.60E+02 | 2.63E+03 | −8.86E+01 |
| Std | 4.31E-02 | 6.13E-04 | 3.89E-01 | 6.02E+01 | 5.12E+01 | 7.61E+01 | 2.89E+01 | 6.35E+01 | 5.62E+01 | 1.99E+03 | 4.87E+01 | |
| Rank | 5 | 2 | 7 | 18 | 11 | 10 | 19 | 16 | 9 | 22 | 15 | |
| F12 | Mean | 8.28E-03 | 1.13E+01 | 1.19E+01 | 7.71E-78 | 0.00E+00 | 1.73E-71 | 1.88E-15 | 0.00E+00 | 5.23E-243 | 1.56E+02 | 3.16E+01 |
| Std | 1.12E-02 | 1.57E+01 | 2.66E+01 | 1.70E-77 | 0.00E+00 | 3.62E-71 | 3.10E-15 | 0.00E+00 | 0.00E+00 | 2.76E+01 | 7.25E+00 | |
| Rank | 18 | 19 | 20 | 8 | 1 | 9 | 16 | 1 | 5 | 22 | 21 | |
| F13 | Mean | 2.30E-06 | 3.43E+02 | 6.76E+01 | 7.15E-05 | 3.00E-85 | 3.41E-05 | 2.35E-03 | 4.40E-181 | 2.78E-205 | 5.54E+03 | 2.11E+02 |
| Std | 3.07E-06 | 1.01E+02 | 4.33E+01 | 1.49E-05 | 6.70E-85 | 3.66E-05 | 3.67E-03 | 0.00E+00 | 0.00E+00 | 3.11E+03 | 4.80E+01 | |
| Rank | 12 | 21 | 19 | 15 | 7 | 14 | 17 | 5 | 3 | 22 | 20 | |
| F14 | Mean | 7.57E-103 | 6.00E+00 | 3.00E+01 | 5.44E-38 | 3.14E-268 | 7.81E-35 | 1.01E-05 | 1.24E-90 | 1.46E-123 | 3.15E+08 | 2.69E+01 |
| Std | 1.69E-102 | 8.94E+00 | 2.55E+01 | 5.93E-38 | 0.00E+00 | 5.60E-35 | 1.90E-05 | 2.77E-90 | 2.96E-123 | 6.98E+08 | 2.43E+00 | |
| Rank | 5 | 19 | 21 | 9 | 3 | 10 | 17 | 7 | 4 | 22 | 20 | |
| F15 | Mean | 2.88E+04 | 1.51E+01 | 1.28E+04 | 1.78E-10 | 0.00E+00 | 7.27E-15 | 3.49E+03 | 1.01E-164 | 2.84E-200 | 5.74E+04 | 3.41E+04 |
| Std | 1.86E+04 | 8.95E+00 | 1.82E+04 | 2.05E-10 | 0.00E+00 | 1.17E-14 | 2.95E+03 | 0.00E+00 | 0.00E+00 | 1.32E+04 | 3.23E+03 | |
| Rank | 20 | 16 | 19 | 11 | 1 | 9 | 18 | 7 | 5 | 22 | 21 | |
| F16 | Mean | 2.72E+01 | 3.52E+01 | 3.61E+04 | 2.75E+01 | 2.82E+01 | 2.66E+01 | 3.28E+02 | 2.89E+01 | 2.85E+01 | 1.30E+08 | 2.13E+06 |
| Std | 4.14E-01 | 3.06E+01 | 4.93E+04 | 1.20E+00 | 6.64E-01 | 1.40E+00 | 4.47E+02 | 2.62E-02 | 7.05E-01 | 4.61E+07 | 8.37E+05 | |
| Rank | 6 | 17 | 20 | 8 | 12 | 5 | 19 | 15 | 13 | 22 | 21 | |
| F17 | Mean | 6.67E-01 | 9.78E+01 | 6.25E+04 | 7.33E-01 | 6.67E-01 | 6.67E-01 | 5.08E+00 | 9.66E-01 | 6.67E-01 | 8.35E+05 | 1.42E+04 |
| Std | 3.38E-05 | 1.31E+02 | 1.40E+05 | 1.48E-01 | 1.06E-09 | 6.02E-07 | 5.82E+00 | 1.38E-02 | 4.21E-08 | 2.51E+05 | 5.95E+03 | |
| Rank | 12 | 19 | 21 | 14 | 5 | 8 | 18 | 16 | 7 | 22 | 20 | |
| F18 | Mean | 3.35E+00 | 1.59E+00 | 3.55E+00 | 6.86E+00 | 2.58E+00 | 3.73E+00 | 1.79E+00 | 1.20E+00 | 9.98E-01 | 8.47E+00 | 9.98E-01 |
| Std | 4.23E+00 | 8.88E-01 | 4.24E+00 | 5.31E+00 | 2.04E+00 | 5.07E+00 | 1.09E+00 | 4.45E-01 | 5.06E-13 | 1.76E+00 | 5.24E-10 | |
| Rank | 15 | 12 | 16 | 18 | 14 | 17 | 13 | 8 | 2 | 19 | 5 |
| Function | Stat. | FVIMDE | FVIM | FLO | STOA | SOA | MVO | AO | SSOA | Chimp | CPO | ROA |
|---|---|---|---|---|---|---|---|---|---|---|---|---|
| F19 | Mean | 3.98E-01 | 3.98E-01 | 4.22E-01 | 3.98E-01 | 3.98E-01 | 3.98E-01 | 3.98E-01 | 8.11E-01 | 3.98E-01 | 3.98E-01 | 3.98E-01 |
| Std | 0.00E+00 | 1.51E-06 | 5.24E-02 | 3.79E-05 | 1.05E-04 | 1.72E-07 | 1.52E-04 | 5.04E-01 | 6.40E-04 | 4.52E-08 | 3.27E-05 | |
| Rank | 1 | 13 | 20 | 15 | 16 | 10 | 17 | 21 | 18 | 7 | 14 | |
| F20 | Mean | 0.00E+00 | 0.00E+00 | 0.00E+00 | 0.00E+00 | 0.00E+00 | 1.37E-04 | 0.00E+00 | 0.00E+00 | 0.00E+00 | 0.00E+00 | 1.33E-16 |
| Std | 0.00E+00 | 0.00E+00 | 0.00E+00 | 0.00E+00 | 0.00E+00 | 1.92E-04 | 0.00E+00 | 0.00E+00 | 0.00E+00 | 0.00E+00 | 2.98E-16 | |
| Rank | 1 | 1 | 1 | 1 | 1 | 21 | 1 | 1 | 1 | 1 | 19 | |
| F21 | Mean | 0.00E+00 | 9.11E-08 | 1.40E-01 | 9.70E-06 | 1.52E-05 | 2.22E-07 | 1.53E-04 | 1.16E-01 | 1.63E-04 | 4.76E-08 | 2.70E-04 |
| Std | 0.00E+00 | 8.77E-08 | 1.93E-01 | 6.93E-06 | 6.80E-06 | 7.65E-08 | 1.87E-04 | 1.05E-01 | 1.59E-04 | 4.98E-08 | 4.24E-04 | |
| Rank | 1 | 10 | 21 | 12 | 13 | 11 | 15 | 20 | 16 | 7 | 18 | |
| F22 | Mean | 1.40E+01 | 1.02E+01 | 0.00E+00 | 4.50E+00 | 1.14E-14 | 9.79E+01 | 0.00E+00 | 0.00E+00 | 1.10E+00 | 0.00E+00 | 0.00E+00 |
| Std | 6.21E+00 | 8.64E+00 | 0.00E+00 | 2.63E+00 | 2.54E-14 | 1.40E+01 | 0.00E+00 | 0.00E+00 | 1.75E+00 | 0.00E+00 | 0.00E+00 | |
| Rank | 16 | 15 | 1 | 14 | 11 | 19 | 1 | 1 | 12 | 1 | 1 | |
| F23 | Mean | −7.58E+03 | −5.35E+03 | −9.02E+03 | −5.41E+03 | −5.32E+03 | −8.31E+03 | −8.17E+03 | −2.46E+03 | −5.76E+03 | −4.80E+03 | −1.26E+04 |
| Std | 1.09E+03 | 6.61E+02 | 8.01E-04 | 1.95E+02 | 6.45E+02 | 9.73E+02 | 4.06E+03 | 6.51E+02 | 6.41E+01 | 2.37E+03 | 9.22E-04 | |
| Rank | 8 | 16 | 2 | 15 | 17 | 6 | 7 | 21 | 13 | 18 | 1 | |
| F24 | Mean | −1.80E+00 | −1.80E+00 | −1.66E+00 | −1.64E+00 | −1.80E+00 | −1.80E+00 | −1.80E+00 | −1.14E+00 | −1.48E+00 | −1.80E+00 | −1.80E+00 |
| Std | 0.00E+00 | 6.89E-07 | 1.93E-01 | 3.58E-01 | 3.22E-05 | 1.41E-07 | 4.15E-04 | 2.47E-01 | 4.38E-01 | 8.15E-08 | 4.28E-04 | |
| Rank | 1 | 12 | 17 | 19 | 13 | 10 | 15 | 21 | 20 | 8 | 14 | |
| F25 | Mean | −4.67E+00 | −4.50E+00 | −3.03E+00 | −3.07E+00 | −3.96E+00 | −4.32E+00 | −3.99E+00 | −2.12E+00 | −2.78E+00 | −3.88E+00 | −3.29E+00 |
| Std | 2.29E-02 | 2.41E-02 | 3.39E-01 | 9.48E-01 | 5.60E-01 | 3.93E-01 | 3.66E-01 | 4.84E-01 | 6.79E-01 | 4.91E-01 | 6.74E-01 | |
| Rank | 2 | 5 | 18 | 17 | 13 | 8 | 12 | 21 | 20 | 14 | 16 | |
| F26 | Mean | −8.10E+00 | −8.10E+00 | −5.72E+00 | −5.20E+00 | −5.33E+00 | −6.64E+00 | −6.06E+00 | −2.87E+00 | −4.06E+00 | −7.75E+00 | −5.81E+00 |
| Std | 1.47E+00 | 6.98E-01 | 5.38E-01 | 7.17E-01 | 1.11E+00 | 7.80E-01 | 1.25E+00 | 3.90E-01 | 5.45E-01 | 1.73E+00 | 6.61E-01 | |
| Rank | 2 | 3 | 16 | 18 | 17 | 10 | 12 | 21 | 20 | 5 | 14 | |
| F27 | Mean | 0.00E+00 | 0.00E+00 | 0.00E+00 | 0.00E+00 | 0.00E+00 | 3.46E-09 | 0.00E+00 | 0.00E+00 | 0.00E+00 | 0.00E+00 | 0.00E+00 |
| Std | 0.00E+00 | 0.00E+00 | 0.00E+00 | 0.00E+00 | 0.00E+00 | 3.26E-09 | 0.00E+00 | 0.00E+00 | 0.00E+00 | 0.00E+00 | 0.00E+00 | |
| Rank | 1 | 1 | 1 | 1 | 1 | 19 | 1 | 1 | 1 | 1 | 1 | |
| F28 | Mean | −1.03E+00 | −1.03E+00 | −1.03E+00 | −1.03E+00 | −1.03E+00 | −1.03E+00 | −1.03E+00 | −1.01E+00 | −1.03E+00 | −1.03E+00 | −1.03E+00 |
| Std | 0.00E+00 | 3.88E-09 | 2.66E-03 | 4.14E-07 | 2.72E-07 | 5.25E-08 | 2.84E-04 | 1.26E-02 | 6.31E-06 | 1.34E-03 | 1.03E-05 | |
| Rank | 1 | 10 | 20 | 14 | 13 | 12 | 18 | 21 | 15 | 19 | 17 | |
| F29 | Mean | 0.00E+00 | 0.00E+00 | 0.00E+00 | 0.00E+00 | 0.00E+00 | 1.63E-04 | 0.00E+00 | 0.00E+00 | 0.00E+00 | 0.00E+00 | 0.00E+00 |
| Std | 0.00E+00 | 0.00E+00 | 0.00E+00 | 0.00E+00 | 0.00E+00 | 1.52E-04 | 0.00E+00 | 0.00E+00 | 0.00E+00 | 0.00E+00 | 0.00E+00 | |
| Rank | 1 | 1 | 1 | 1 | 1 | 20 | 1 | 1 | 1 | 1 | 1 | |
| F30 | Mean | 0.00E+00 | 0.00E+00 | 0.00E+00 | 0.00E+00 | 0.00E+00 | 8.68E-05 | 0.00E+00 | 0.00E+00 | 0.00E+00 | 0.00E+00 | 0.00E+00 |
| Std | 0.00E+00 | 0.00E+00 | 0.00E+00 | 0.00E+00 | 0.00E+00 | 4.58E-05 | 0.00E+00 | 0.00E+00 | 0.00E+00 | 0.00E+00 | 0.00E+00 | |
| Rank | 1 | 1 | 1 | 1 | 1 | 20 | 1 | 1 | 1 | 1 | 1 | |
| F31 | Mean | −1.87E+02 | −1.87E+02 | −1.84E+02 | −1.87E+02 | −1.87E+02 | −1.87E+02 | −1.87E+02 | −1.40E+02 | −1.86E+02 | −1.86E+02 | −1.87E+02 |
| Std | 2.46E-14 | 1.27E-04 | 4.90E+00 | 9.11E-02 | 1.01E-01 | 1.06E-04 | 8.99E-02 | 3.14E+01 | 9.22E-01 | 7.62E-01 | 9.22E-02 | |
| Rank | 1 | 9 | 20 | 14 | 16 | 8 | 15 | 21 | 19 | 18 | 13 | |
| F32 | Mean | 3.00E+00 | 3.00E+00 | 6.22E+00 | 3.00E+00 | 3.00E+00 | 3.00E+00 | 3.02E+00 | 8.42E+00 | 3.00E+00 | 3.00E+00 | 3.00E+00 |
| Std | 1.26E-15 | 8.90E-06 | 5.05E+00 | 1.27E-05 | 4.13E-06 | 1.05E-06 | 3.83E-02 | 1.21E+01 | 4.22E-05 | 2.04E-04 | 3.50E-04 | |
| Rank | 1 | 10 | 19 | 11 | 9 | 5 | 18 | 20 | 15 | 17 | 16 | |
| F33 | Mean | 1.01E-03 | 8.36E-03 | 8.33E-04 | 1.05E-03 | 1.24E-03 | 9.32E-04 | 4.94E-04 | 1.53E-03 | 1.27E-03 | 3.21E-04 | 8.14E-04 |
| Std | 8.76E-03 | 1.10E-02 | 6.06E-04 | 3.95E-04 | 3.07E-05 | 2.75E-04 | 9.42E-05 | 1.52E-03 | 2.63E-05 | 1.34E-05 | 5.42E-04 | |
| Rank | 10 | 19 | 7 | 11 | 14 | 8 | 4 | 16 | 15 | 3 | 6 | |
| F34 | Mean | −1.02E+01 | −7.65E+00 | −9.92E+00 | −4.34E+00 | −7.18E+00 | −9.14E+00 | −1.01E+01 | −1.12E+00 | −2.43E+00 | −1.02E+01 | −1.02E+01 |
| Std | 1.26E-15 | 3.53E+00 | 4.12E-01 | 5.26E+00 | 4.33E+00 | 2.26E+00 | 7.71E-03 | 8.34E-01 | 2.30E+00 | 5.58E-06 | 2.81E-03 | |
| Rank | 2 | 13 | 8 | 18 | 14 | 9 | 6 | 21 | 20 | 3 | 5 | |
| F35 | Mean | −1.04E+01 | −9.35E+00 | −8.42E+00 | −5.53E+00 | −3.57E+00 | −8.87E+00 | −1.04E+01 | −9.44E-01 | −3.37E+00 | −1.04E+01 | −1.04E+01 |
| Std | 0.00E+00 | 2.36E+00 | 2.73E+00 | 4.74E+00 | 4.25E+00 | 3.42E+00 | 1.24E-02 | 3.18E-01 | 2.25E+00 | 4.93E-06 | 2.78E-04 | |
| Rank | 1 | 7 | 13 | 17 | 18 | 11 | 6 | 21 | 19 | 2 | 4 | |
| F36 | Mean | −1.05E+01 | −1.05E+01 | −1.05E+01 | −7.52E+00 | −8.51E+00 | −7.29E+00 | −1.05E+01 | −1.64E+00 | −3.43E+00 | −1.05E+01 | −1.05E+01 |
| Std | 1.26E-15 | 1.19E-04 | 1.29E-03 | 4.35E+00 | 4.45E+00 | 4.44E+00 | 4.65E-03 | 3.58E-01 | 2.27E+00 | 3.36E-06 | 1.06E-04 | |
| Rank | 2 | 7 | 8 | 15 | 13 | 16 | 9 | 21 | 20 | 3 | 6 |
| Function | Stat. | WOA | PSO | MFO | SHIO | ZOA | GWO | SCA | DOA | SCSO | GA | SA |
|---|---|---|---|---|---|---|---|---|---|---|---|---|
| F19 | Mean | 3.98E-01 | 3.98E-01 | 3.98E-01 | 3.98E-01 | 3.98E-01 | 3.98E-01 | 3.98E-01 | 3.98E-01 | 3.98E-01 | 6.83E+01 | 3.98E-01 |
| Std | 2.21E-07 | 0.00E+00 | 0.00E+00 | 2.69E-07 | 3.86E-10 | 1.26E-06 | 5.25E-04 | 0.00E+00 | 6.17E-09 | 8.79E+00 | 1.50E-07 | |
| Rank | 8 | 1 | 1 | 11 | 5 | 12 | 19 | 1 | 6 | 22 | 9 | |
| F20 | Mean | 0.00E+00 | 0.00E+00 | 0.00E+00 | 0.00E+00 | 0.00E+00 | 0.00E+00 | 0.00E+00 | 0.00E+00 | 0.00E+00 | 1.29E+01 | 6.92E-05 |
| Std | 0.00E+00 | 0.00E+00 | 0.00E+00 | 0.00E+00 | 0.00E+00 | 0.00E+00 | 0.00E+00 | 0.00E+00 | 0.00E+00 | 1.54E+01 | 1.45E-04 | |
| Rank | 1 | 1 | 1 | 1 | 1 | 1 | 1 | 1 | 1 | 22 | 20 | |
| F21 | Mean | 2.05E-04 | 0.00E+00 | 0.00E+00 | 8.26E-08 | 2.18E-13 | 6.65E-08 | 4.83E-04 | 0.00E+00 | 8.78E-10 | 3.42E-01 | 5.69E-05 |
| Std | 5.55E-05 | 0.00E+00 | 0.00E+00 | 2.47E-08 | 4.88E-13 | 5.88E-08 | 2.62E-04 | 0.00E+00 | 1.36E-09 | 5.49E-01 | 6.64E-05 | |
| Rank | 17 | 1 | 1 | 9 | 5 | 8 | 19 | 1 | 6 | 22 | 14 | |
| F22 | Mean | 0.00E+00 | 8.89E+01 | 1.54E+02 | 4.12E+01 | 0.00E+00 | 0.00E+00 | 3.26E+00 | 0.00E+00 | 0.00E+00 | 3.23E+02 | 1.45E+02 |
| Std | 0.00E+00 | 1.90E+01 | 6.20E+01 | 1.60E+01 | 0.00E+00 | 0.00E+00 | 5.98E+00 | 0.00E+00 | 0.00E+00 | 3.82E+01 | 8.18E+00 | |
| Rank | 1 | 18 | 21 | 17 | 1 | 1 | 13 | 1 | 1 | 22 | 20 | |
| F23 | Mean | −8.78E+03 | −6.58E+03 | −8.66E+03 | −5.72E+03 | −6.99E+03 | −6.38E+03 | −3.97E+03 | −4.57E+03 | −6.88E+03 | −2.21E+03 | −8.64E+03 |
| Std | 1.33E+03 | 5.45E+02 | 1.33E+03 | 4.34E+02 | 5.66E+02 | 5.77E+02 | 1.14E+02 | 1.98E+02 | 6.33E+02 | 6.28E+02 | 3.03E+02 | |
| Rank | 3 | 11 | 4 | 14 | 9 | 12 | 20 | 19 | 10 | 22 | 5 | |
| F24 | Mean | −1.80E+00 | −1.80E+00 | −1.80E+00 | −1.64E+00 | −1.80E+00 | −1.80E+00 | −1.80E+00 | −1.80E+00 | −1.80E+00 | −1.04E+00 | −1.80E+00 |
| Std | 1.62E-07 | 0.00E+00 | 0.00E+00 | 3.58E-01 | 2.79E-08 | 2.98E-07 | 1.90E-03 | 0.00E+00 | 4.82E-09 | 2.24E-01 | 2.74E-09 | |
| Rank | 9 | 1 | 1 | 18 | 7 | 11 | 16 | 1 | 5 | 22 | 6 | |
| F25 | Mean | −4.32E+00 | −4.11E+00 | −4.38E+00 | −4.51E+00 | −4.64E+00 | −4.35E+00 | −2.98E+00 | −4.05E+00 | −3.76E+00 | −1.51E+00 | −4.67E+00 |
| Std | 2.83E-01 | 8.04E-01 | 1.54E-01 | 1.68E-01 | 8.31E-02 | 4.77E-01 | 7.17E-01 | 6.51E-01 | 6.44E-01 | 2.99E-01 | 1.77E-02 | |
| Rank | 9 | 10 | 6 | 4 | 3 | 7 | 19 | 11 | 15 | 22 | 1 | |
| F26 | Mean | −5.98E+00 | −7.48E+00 | −7.83E+00 | −7.50E+00 | −7.57E+00 | −6.90E+00 | −4.07E+00 | −5.78E+00 | −6.49E+00 | −2.74E+00 | −8.60E+00 |
| Std | 4.85E-01 | 1.15E+00 | 7.97E-01 | 1.22E+00 | 4.68E-01 | 4.54E-01 | 5.77E-01 | 7.18E-01 | 3.23E-01 | 4.34E-01 | 9.26E-02 | |
| Rank | 13 | 8 | 4 | 7 | 6 | 9 | 19 | 15 | 11 | 22 | 1 | |
| F27 | Mean | 0.00E+00 | 0.00E+00 | 8.14E-04 | 0.00E+00 | 0.00E+00 | 0.00E+00 | 0.00E+00 | 0.00E+00 | 0.00E+00 | 6.47E-02 | 1.47E-05 |
| Std | 0.00E+00 | 0.00E+00 | 1.82E-03 | 0.00E+00 | 0.00E+00 | 0.00E+00 | 0.00E+00 | 0.00E+00 | 0.00E+00 | 6.72E-02 | 2.79E-05 | |
| Rank | 1 | 1 | 21 | 1 | 1 | 1 | 1 | 1 | 1 | 22 | 20 | |
| F28 | Mean | −1.03E+00 | −1.03E+00 | −1.03E+00 | −1.03E+00 | −1.03E+00 | −1.03E+00 | −1.03E+00 | −1.03E+00 | −1.03E+00 | −8.69E-01 | −1.03E+00 |
| Std | 4.19E-12 | 0.00E+00 | 0.00E+00 | 1.86E-09 | 3.87E-11 | 1.17E-09 | 2.46E-05 | 1.92E-16 | 7.10E-11 | 1.73E-01 | 6.90E-08 | |
| Rank | 5 | 1 | 1 | 9 | 6 | 8 | 16 | 4 | 7 | 22 | 11 | |
| F29 | Mean | 0.00E+00 | 0.00E+00 | 0.00E+00 | 0.00E+00 | 0.00E+00 | 0.00E+00 | 0.00E+00 | 0.00E+00 | 0.00E+00 | 1.46E+00 | 1.93E-04 |
| Std | 0.00E+00 | 0.00E+00 | 0.00E+00 | 0.00E+00 | 0.00E+00 | 0.00E+00 | 0.00E+00 | 0.00E+00 | 0.00E+00 | 2.61E+00 | 2.60E-04 | |
| Rank | 1 | 1 | 1 | 1 | 1 | 1 | 1 | 1 | 1 | 22 | 21 | |
| F30 | Mean | 2.44E-16 | 0.00E+00 | 0.00E+00 | 0.00E+00 | 0.00E+00 | 0.00E+00 | 0.00E+00 | 0.00E+00 | 0.00E+00 | 9.16E-01 | 1.92E-04 |
| Std | 2.62E-16 | 0.00E+00 | 0.00E+00 | 0.00E+00 | 0.00E+00 | 0.00E+00 | 0.00E+00 | 0.00E+00 | 0.00E+00 | 1.87E+00 | 1.80E-04 | |
| Rank | 19 | 1 | 1 | 1 | 1 | 1 | 1 | 1 | 1 | 22 | 21 | |
| F31 | Mean | −1.87E+02 | −1.87E+02 | −1.87E+02 | −1.87E+02 | −1.87E+02 | −1.87E+02 | −1.87E+02 | −1.87E+02 | −1.87E+02 | −5.74E+01 | −1.87E+02 |
| Std | 8.11E-04 | 2.46E-14 | 1.42E-14 | 3.58E-02 | 8.29E-07 | 7.96E-02 | 4.10E-02 | 2.46E-14 | 6.57E-07 | 4.76E+01 | 1.87E-05 | |
| Rank | 10 | 3 | 1 | 11 | 5 | 12 | 17 | 3 | 6 | 22 | 7 | |
| F32 | Mean | 3.00E+00 | 3.00E+00 | 3.00E+00 | 3.00E+00 | 3.00E+00 | 1.92E+01 | 3.00E+00 | 3.00E+00 | 3.00E+00 | 2.25E+01 | 3.00E+00 |
| Std | 6.77E-06 | 1.26E-15 | 1.31E-15 | 1.18E-05 | 1.99E-06 | 3.62E+01 | 3.87E-05 | 8.02E-15 | 2.02E-06 | 1.32E+01 | 1.72E-05 | |
| Rank | 8 | 1 | 1 | 12 | 6 | 21 | 14 | 4 | 7 | 22 | 13 | |
| F33 | Mean | 6.60E-04 | 4.69E-03 | 9.54E-04 | 8.59E-03 | 3.07E-04 | 8.36E-03 | 1.08E-03 | 8.52E-03 | 3.08E-04 | 2.29E-02 | 1.11E-03 |
| Std | 3.35E-04 | 8.77E-03 | 3.92E-04 | 1.08E-02 | 5.63E-09 | 1.10E-02 | 4.31E-04 | 1.12E-02 | 3.13E-08 | 2.08E-02 | 2.89E-04 | |
| Rank | 5 | 17 | 9 | 21 | 1 | 18 | 12 | 20 | 2 | 22 | 13 | |
| F34 | Mean | −7.09E+00 | −8.12E+00 | −1.02E+01 | −7.65E+00 | −1.02E+01 | −9.13E+00 | −5.02E+00 | −6.08E+00 | −4.22E+00 | −7.45E-01 | −1.01E+01 |
| Std | 2.79E+00 | 2.78E+00 | 0.00E+00 | 3.53E+00 | 4.54E-05 | 2.28E+00 | 3.10E+00 | 2.27E+00 | 1.87E+00 | 4.94E-01 | 8.02E-03 | |
| Rank | 15 | 11 | 1 | 12 | 4 | 10 | 17 | 16 | 19 | 22 | 7 | |
| F35 | Mean | −8.87E+00 | −8.69E+00 | −7.82E+00 | −8.88E+00 | −9.34E+00 | −1.04E+01 | −1.72E+00 | −6.56E+00 | −7.22E+00 | −7.77E-01 | −1.04E+01 |
| Std | 3.41E+00 | 3.83E+00 | 3.64E+00 | 3.42E+00 | 2.38E+00 | 7.75E-05 | 1.82E+00 | 3.75E+00 | 2.90E+00 | 1.97E-01 | 1.28E-02 | |
| Rank | 10 | 12 | 14 | 9 | 8 | 3 | 20 | 16 | 15 | 22 | 5 | |
| F36 | Mean | −5.20E+00 | −1.05E+01 | −5.94E+00 | −8.91E+00 | −1.05E+01 | −1.05E+01 | −4.03E+00 | −9.08E+00 | −8.37E+00 | −9.00E-01 | −1.05E+01 |
| Std | 3.24E+00 | 8.88E-16 | 4.20E+00 | 3.63E+00 | 2.38E-05 | 8.65E-05 | 3.14E+00 | 2.33E+00 | 2.96E+00 | 8.38E-02 | 4.18E-02 | |
| Rank | 18 | 1 | 17 | 12 | 4 | 5 | 19 | 11 | 14 | 22 | 10 |
| Function | Stat. | FVIMDE | FVIM | FLO | STOA | SOA | MVO | AO | SSOA | Chimp | CPO | ROA |
|---|---|---|---|---|---|---|---|---|---|---|---|---|
| F37 | Mean | 9.59E-02 | 1.46E+00 | 8.17E+00 | 1.30E+00 | 3.48E-01 | 1.18E-01 | 8.74E-01 | 1.36E+02 | 6.82E+00 | 2.15E+00 | 3.52E+00 |
| Std | 2.10E-01 | 9.87E-01 | 6.22E+00 | 8.28E-01 | 3.02E-01 | 2.02E-01 | 5.92E-01 | 8.52E+01 | 4.63E+00 | 2.35E+00 | 2.00E+00 | |
| Rank | 4 | 13 | 19 | 12 | 7 | 6 | 9 | 21 | 18 | 15 | 16 | |
| F38 | Mean | 7.34E-04 | 2.21E-02 | 7.76E-01 | 8.64E+00 | 4.30E+01 | 6.89E-04 | 8.54E-02 | 5.48E+01 | 7.95E+00 | 2.70E-01 | 1.73E-01 |
| Std | 1.48E-03 | 2.47E-02 | 1.10E+00 | 1.06E+01 | 6.22E+01 | 2.71E-04 | 5.26E-02 | 8.92E+01 | 9.78E+00 | 4.87E-01 | 2.49E-01 | |
| Rank | 2 | 8 | 15 | 19 | 21 | 1 | 10 | 22 | 18 | 14 | 12 | |
| F39 | Mean | −3.86E+00 | −3.86E+00 | −3.72E+00 | −3.86E+00 | −3.86E+00 | −3.86E+00 | −3.86E+00 | −3.29E+00 | −3.85E+00 | −3.86E+00 | −3.84E+00 |
| Std | 0.00E+00 | 3.30E-03 | 1.66E-01 | 3.50E-03 | 6.46E-04 | 1.59E-06 | 1.85E-03 | 4.57E-01 | 1.13E-03 | 7.69E-05 | 5.15E-02 | |
| Rank | 1 | 10 | 20 | 15 | 17 | 5 | 13 | 21 | 18 | 6 | 19 | |
| F40 | Mean | −3.32E+00 | −3.23E+00 | −2.63E+00 | −3.04E+00 | −3.04E+00 | −3.30E+00 | −3.17E+00 | −1.69E+00 | −2.80E+00 | −3.25E+00 | −2.80E+00 |
| Std | 1.46E-06 | 5.32E-02 | 8.85E-02 | 5.22E-02 | 5.23E-02 | 5.36E-02 | 7.57E-02 | 5.77E-01 | 5.38E-01 | 6.60E-02 | 5.89E-01 | |
| Rank | 1 | 12 | 20 | 17 | 16 | 5 | 13 | 21 | 19 | 10 | 18 | |
| F41 | Mean | 3.19E-03 | 4.34E-03 | 0.00E+00 | 7.96E-03 | 0.00E+00 | 5.71E-01 | 0.00E+00 | 0.00E+00 | 2.42E-02 | 0.00E+00 | 0.00E+00 |
| Std | 5.28E-03 | 5.99E-03 | 0.00E+00 | 1.25E-02 | 0.00E+00 | 4.50E-02 | 0.00E+00 | 0.00E+00 | 3.74E-02 | 0.00E+00 | 0.00E+00 | |
| Rank | 12 | 14 | 1 | 15 | 1 | 19 | 1 | 1 | 17 | 1 | 1 | |
| F42 | Mean | 1.20E+01 | 4.59E-14 | 4.44E-16 | 2.00E+01 | 2.00E+01 | 1.59E+00 | 4.44E-16 | 4.44E-16 | 2.00E+01 | 4.44E-16 | 4.57E-13 |
| Std | 1.09E+01 | 3.89E-15 | 0.00E+00 | 1.23E-03 | 3.28E-03 | 1.10E+00 | 0.00E+00 | 0.00E+00 | 8.03E-04 | 0.00E+00 | 9.98E-13 | |
| Rank | 16 | 11 | 1 | 20 | 19 | 14 | 1 | 1 | 21 | 1 | 12 | |
| F43 | Mean | 1.25E-01 | 1.32E-01 | 1.57E-32 | 1.66E-01 | 2.80E-01 | 2.79E+00 | 2.84E-07 | 9.12E-01 | 4.07E-01 | 1.40E-03 | 2.13E-06 |
| Std | 8.35E-02 | 5.83E-02 | 0.00E+00 | 7.03E-02 | 9.86E-02 | 2.14E+00 | 3.37E-07 | 6.05E-02 | 2.30E-01 | 3.10E-03 | 2.64E-06 | |
| Rank | 10 | 11 | 1 | 12 | 13 | 19 | 3 | 18 | 15 | 5 | 4 | |
| F44 | Mean | 1.05E+00 | 1.13E+00 | 1.35E-32 | 1.98E+00 | 2.03E+00 | 6.51E-02 | 7.55E-06 | 2.92E+00 | 2.88E+00 | 1.55E-03 | 8.39E-05 |
| Std | 1.82E-01 | 3.46E-01 | 0.00E+00 | 1.11E-01 | 2.28E-01 | 2.30E-02 | 7.16E-06 | 4.38E-02 | 1.25E-01 | 3.46E-03 | 1.29E-04 | |
| Rank | 9 | 10 | 1 | 13 | 14 | 6 | 2 | 17 | 16 | 4 | 3 | |
| F45 | Mean | −1.08E+00 | −1.08E+00 | −5.06E-01 | −9.31E-01 | −9.31E-01 | −1.08E+00 | −1.08E+00 | −1.82E-01 | −7.80E-01 | −9.86E-01 | −1.08E+00 |
| Std | 0.00E+00 | 7.33E-08 | 3.08E-01 | 3.36E-01 | 3.36E-01 | 7.82E-08 | 1.44E-04 | 7.30E-02 | 4.12E-01 | 6.09E-02 | 6.36E-06 | |
| Rank | 1 | 9 | 20 | 18 | 17 | 8 | 12 | 22 | 19 | 16 | 10 | |
| F46 | Mean | −1.38E+00 | −1.39E+00 | −5.14E-01 | −1.85E-01 | −9.49E-01 | −9.32E-01 | −1.11E+00 | −2.04E-01 | −5.66E-01 | −5.60E-01 | −3.83E-01 |
| Std | 2.65E-01 | 2.39E-01 | 2.68E-01 | 1.86E-01 | 5.11E-01 | 2.43E-02 | 3.59E-01 | 2.65E-01 | 9.52E-02 | 1.33E-01 | 3.01E-01 | |
| Rank | 3 | 2 | 17 | 21 | 11 | 12 | 5 | 20 | 15 | 16 | 19 | |
| F47 | Mean | −5.76E-01 | −5.18E-01 | −1.32E-03 | −4.73E-02 | −3.77E-02 | −4.23E-01 | −4.59E-01 | −5.91E-05 | −7.45E-02 | −2.22E-01 | −1.47E-02 |
| Std | 2.08E-01 | 1.85E-01 | 2.64E-03 | 4.93E-02 | 3.37E-02 | 8.49E-02 | 2.13E-01 | 1.02E-04 | 4.48E-02 | 1.43E-01 | 2.71E-02 | |
| Rank | 2 | 3 | 20 | 15 | 17 | 10 | 7 | 21 | 14 | 13 | 19 | |
| F48 | Mean | 0.00E+00 | 2.14E-04 | 3.99E+01 | 4.50E-02 | 5.87E-02 | 1.75E-05 | 7.93E-02 | 3.80E+01 | 1.41E+02 | 1.41E+00 | 3.72E-02 |
| Std | 0.00E+00 | 1.16E-04 | 5.50E+01 | 3.45E-02 | 6.13E-02 | 1.04E-05 | 6.18E-02 | 1.02E+01 | 3.15E+02 | 3.16E+00 | 2.49E-02 | |
| Rank | 1 | 11 | 21 | 14 | 15 | 9 | 16 | 20 | 22 | 18 | 12 | |
| F49 | Mean | 9.66E+01 | 4.14E+01 | 1.84E+04 | 1.63E+03 | 9.51E+02 | 7.49E+02 | 7.01E+02 | 3.79E+04 | 1.51E+02 | 4.04E+02 | 8.02E+03 |
| Std | 8.59E+01 | 8.20E+01 | 5.69E+03 | 1.49E+03 | 9.67E+02 | 9.36E+02 | 9.92E+02 | 2.71E+04 | 9.68E+01 | 6.29E+02 | 1.26E+04 | |
| Rank | 3 | 2 | 21 | 16 | 15 | 14 | 13 | 22 | 5 | 11 | 20 | |
| F50 | Mean | 1.79E+03 | 2.50E+04 | 1.63E+05 | 9.75E+03 | 6.96E+03 | 4.77E+02 | 4.93E+03 | 2.26E+05 | 3.47E+04 | 2.89E+04 | 1.01E+05 |
| Std | 2.59E+03 | 1.58E+04 | 8.57E+04 | 7.48E+03 | 5.59E+03 | 8.69E+02 | 3.72E+03 | 3.44E+04 | 2.07E+04 | 2.46E+04 | 3.61E+04 | |
| Rank | 2 | 15 | 21 | 10 | 8 | 1 | 7 | 22 | 17 | 16 | 20 |
| Function | Stat. | WOA | PSO | MFO | SHIO | ZOA | GWO | SCA | DOA | SCSO | GA | SA |
|---|---|---|---|---|---|---|---|---|---|---|---|---|
| F37 | Mean | 9.49E+00 | 4.16E-03 | 1.07E-01 | 5.65E+00 | 4.76E-02 | 5.63E-01 | 8.80E-01 | 1.53E+00 | 1.19E+00 | 1.86E+02 | 5.64E-02 |
| Std | 6.97E+00 | 2.57E-03 | 2.15E-01 | 5.64E+00 | 6.53E-02 | 6.47E-01 | 4.80E-01 | 3.37E+00 | 8.37E-01 | 3.86E+02 | 5.81E-02 | |
| Rank | 20 | 1 | 5 | 17 | 2 | 8 | 10 | 14 | 11 | 22 | 3 | |
| F38 | Mean | 9.97E-01 | 7.47E-04 | 1.07E-02 | 4.74E-02 | 1.33E-03 | 4.65E-03 | 4.68E+00 | 1.13E-01 | 1.93E-01 | 1.43E+01 | 1.40E-02 |
| Std | 1.13E+00 | 1.30E-03 | 1.15E-02 | 7.66E-02 | 1.08E-03 | 2.35E-03 | 8.74E+00 | 2.52E-01 | 3.86E-01 | 1.31E+01 | 1.29E-02 | |
| Rank | 16 | 3 | 6 | 9 | 4 | 5 | 17 | 11 | 13 | 20 | 7 | |
| F39 | Mean | −3.86E+00 | −3.86E+00 | −3.86E+00 | −3.86E+00 | −3.86E+00 | −3.86E+00 | −3.86E+00 | −3.86E+00 | −3.86E+00 | −3.12E+00 | −3.86E+00 |
| Std | 3.02E-03 | 3.52E-03 | 0.00E+00 | 1.16E-03 | 2.19E-04 | 2.28E-03 | 2.44E-03 | 3.85E-16 | 4.31E-03 | 5.32E-01 | 4.30E-07 | |
| Rank | 12 | 11 | 1 | 8 | 7 | 9 | 16 | 1 | 14 | 22 | 4 | |
| F40 | Mean | −3.27E+00 | −3.12E+00 | −3.23E+00 | −3.32E+00 | −3.32E+00 | −3.25E+00 | −3.07E+00 | −3.29E+00 | −3.26E+00 | −1.46E+00 | −3.32E+00 |
| Std | 1.07E-01 | 1.73E-01 | 5.32E-02 | 3.79E-06 | 5.87E-05 | 1.06E-01 | 7.40E-02 | 2.19E-02 | 8.64E-02 | 3.89E-01 | 6.43E-04 | |
| Rank | 7 | 14 | 11 | 2 | 3 | 9 | 15 | 6 | 8 | 22 | 4 | |
| F41 | Mean | 0.00E+00 | 1.87E-02 | 1.82E+01 | 3.72E-03 | 0.00E+00 | 0.00E+00 | 2.82E-01 | 0.00E+00 | 0.00E+00 | 4.19E+02 | 5.02E+01 |
| Std | 0.00E+00 | 7.09E-03 | 4.06E+01 | 8.33E-03 | 0.00E+00 | 0.00E+00 | 1.34E-01 | 0.00E+00 | 0.00E+00 | 7.39E+01 | 6.94E+00 | |
| Rank | 1 | 16 | 20 | 13 | 1 | 1 | 18 | 1 | 1 | 22 | 21 | |
| F42 | Mean | 1.87E-15 | 3.42E-05 | 1.97E+01 | 7.55E-15 | 4.44E-16 | 1.61E-14 | 9.51E+00 | 4.44E-16 | 4.44E-16 | 2.01E+01 | 1.41E+01 |
| Std | 1.95E-15 | 3.49E-05 | 3.37E-01 | 0.00E+00 | 0.00E+00 | 3.18E-15 | 9.31E+00 | 0.00E+00 | 0.00E+00 | 4.90E-01 | 1.26E+00 | |
| Rank | 8 | 13 | 18 | 9 | 1 | 10 | 15 | 1 | 1 | 22 | 17 | |
| F43 | Mean | 9.26E-03 | 6.00E-11 | 5.12E+07 | 2.96E-01 | 1.12E-01 | 4.72E-02 | 7.96E-01 | 7.05E-01 | 6.73E-02 | 1.56E+08 | 2.45E+05 |
| Std | 9.51E-03 | 1.29E-10 | 1.14E+08 | 1.75E-01 | 3.24E-02 | 4.37E-02 | 3.52E-01 | 2.20E-01 | 3.75E-02 | 1.37E+08 | 2.79E+05 | |
| Rank | 6 | 2 | 21 | 14 | 9 | 7 | 17 | 16 | 8 | 22 | 20 | |
| F44 | Mean | 2.33E-01 | 2.20E-03 | 5.12E+07 | 1.62E+00 | 2.06E+00 | 5.21E-01 | 5.69E+00 | 2.93E+00 | 1.94E+00 | 2.12E+08 | 1.49E+05 |
| Std | 8.93E-02 | 4.91E-03 | 1.14E+08 | 4.42E-01 | 3.38E-01 | 2.58E-01 | 4.74E+00 | 1.44E-01 | 5.06E-01 | 1.31E+08 | 1.81E+05 | |
| Rank | 7 | 5 | 21 | 11 | 15 | 8 | 19 | 18 | 12 | 22 | 20 | |
| F45 | Mean | −1.08E+00 | −1.08E+00 | −1.08E+00 | −1.08E+00 | −1.01E+00 | −1.08E+00 | −1.08E+00 | −1.07E+00 | −1.08E+00 | −4.06E-01 | −1.08E+00 |
| Std | 5.60E-13 | 0.00E+00 | 0.00E+00 | 8.05E-08 | 1.69E-01 | 2.63E-08 | 1.74E-04 | 3.38E-02 | 8.96E-10 | 3.49E-01 | 6.11E-06 | |
| Rank | 4 | 1 | 1 | 7 | 15 | 6 | 13 | 14 | 5 | 21 | 11 | |
| F46 | Mean | −7.45E-01 | −9.86E-01 | −1.02E+00 | −1.50E+00 | −1.08E+00 | −1.08E+00 | −4.73E-01 | −7.50E-01 | −1.01E+00 | −6.34E-03 | −1.24E+00 |
| Std | 2.24E-01 | 2.91E-01 | 4.60E-01 | 8.02E-06 | 3.85E-01 | 4.23E-01 | 1.36E-01 | 4.98E-01 | 2.87E-01 | 1.05E-02 | 3.39E-01 | |
| Rank | 14 | 10 | 8 | 1 | 6 | 7 | 18 | 13 | 9 | 22 | 4 | |
| F47 | Mean | −2.35E-01 | −4.86E-01 | −3.46E-01 | −4.56E-01 | −4.25E-01 | −5.06E-01 | −4.11E-02 | −1.70E-02 | −5.02E-01 | −4.65E-06 | −6.01E-01 |
| Std | 1.22E-01 | 2.82E-01 | 1.19E-01 | 2.16E-01 | 2.38E-01 | 1.88E-01 | 2.86E-02 | 1.29E-02 | 2.72E-01 | 6.34E-06 | 1.64E-01 | |
| Rank | 12 | 6 | 11 | 8 | 9 | 4 | 16 | 18 | 5 | 22 | 1 | |
| F48 | Mean | 2.12E-08 | 0.00E+00 | 0.00E+00 | 3.78E-02 | 3.36E-06 | 1.23E-04 | 5.45E-01 | 0.00E+00 | 2.77E-06 | 1.46E+00 | 6.06E-06 |
| Std | 3.59E-08 | 0.00E+00 | 0.00E+00 | 7.75E-02 | 5.88E-06 | 8.29E-05 | 6.33E-01 | 0.00E+00 | 2.64E-06 | 1.70E+00 | 8.25E-06 | |
| Rank | 5 | 1 | 1 | 13 | 7 | 10 | 17 | 1 | 6 | 19 | 8 | |
| F49 | Mean | 5.79E+02 | 2.04E+02 | 1.03E+02 | 2.15E+02 | 1.88E+03 | 2.15E+02 | 2.10E+02 | 2.95E+03 | 2.02E+02 | 5.36E+03 | 2.95E+01 |
| Std | 1.01E+03 | 1.09E+02 | 1.36E+02 | 2.33E+02 | 1.56E+03 | 2.30E+02 | 1.05E+02 | 3.49E+03 | 2.31E+02 | 7.59E+03 | 2.01E+01 | |
| Rank | 12 | 7 | 4 | 9 | 17 | 10 | 8 | 18 | 6 | 19 | 1 | |
| F50 | Mean | 1.24E+04 | 1.63E+04 | 3.00E+03 | 1.48E+04 | 1.57E+04 | 2.84E+03 | 8.25E+03 | 4.21E+04 | 4.55E+03 | 7.55E+04 | 2.38E+03 |
| Std | 1.72E+04 | 1.73E+04 | 2.42E+03 | 2.38E+04 | 1.38E+04 | 2.78E+03 | 3.20E+03 | 2.56E+04 | 4.90E+03 | 2.90E+04 | 9.10E+02 | |
| Rank | 11 | 14 | 5 | 12 | 13 | 4 | 9 | 18 | 6 | 19 | 3 |
| Function | Statistics | FVIMDE | FVIMMU | FVIMCR | FVIMSE | FVIMMUCR |
|---|---|---|---|---|---|---|
| F1 | Mean | 3.01E+02 | 1.14E+04 | 9.12E+02 | 1.10E+03 | 1.39E+03 |
| Std | 5.66E-01 | 5.46E+04 | 8.24E+02 | 1.15E+03 | 1.49E+03 | |
| SEM | 1.03E-01 | 9.98E+03 | 1.50E+02 | 2.09E+02 | 2.72E+02 | |
| Rank | 1 | 6 | 3 | 4 | 5 | |
| F2 | Mean | 4.06E+02 | 4.75E+02 | 4.18E+02 | 4.31E+02 | 6.98E+02 |
| Std | 2.49E+00 | 3.10E+02 | 2.10E+01 | 2.86E+01 | 1.06E+03 | |
| SEM | 4.55E-01 | 5.67E+01 | 3.84E+00 | 5.23E+00 | 1.94E+02 | |
| Rank | 2 | 5 | 3 | 4 | 6 | |
| F3 | Mean | 6.00E+02 | 6.08E+02 | 6.06E+02 | 6.06E+02 | 6.10E+02 |
| Std | 8.20E-02 | 6.66E+00 | 5.11E+00 | 3.95E+00 | 1.92E+01 | |
| SEM | 1.50E-02 | 1.22E+00 | 9.33E-01 | 7.22E-01 | 3.51E+00 | |
| Rank | 1 | 5 | 4 | 3 | 6 | |
| F4 | Mean | 8.11E+02 | 8.46E+02 | 8.25E+02 | 8.24E+02 | 8.26E+02 |
| Std | 4.92E+00 | 4.02E+01 | 9.11E+00 | 8.66E+00 | 1.08E+01 | |
| SEM | 8.98E-01 | 7.34E+00 | 1.66E+00 | 1.58E+00 | 1.97E+00 | |
| Rank | 1 | 6 | 4 | 3 | 5 | |
| F5 | Mean | 9.00E+02 | 1.27E+03 | 9.62E+02 | 9.58E+02 | 9.51E+02 |
| Std | 4.83E-02 | 8.89E+02 | 6.45E+01 | 5.38E+01 | 4.55E+01 | |
| SEM | 8.81E-03 | 1.62E+02 | 1.18E+01 | 9.83E+00 | 8.31E+00 | |
| Rank | 1 | 6 | 5 | 4 | 3 | |
| F6 | Mean | 1.80E+03 | 1.06E+07 | 6.32E+03 | 6.58E+03 | 1.23E+08 |
| Std | 1.86E+00 | 4.26E+07 | 2.27E+03 | 2.07E+03 | 4.17E+08 | |
| SEM | 3.40E-01 | 7.78E+06 | 4.15E+02 | 3.79E+02 | 7.61E+07 | |
| Rank | 2 | 5 | 3 | 4 | 6 | |
| F7 | Mean | 2.02E+03 | 2.05E+03 | 2.04E+03 | 2.04E+03 | 2.04E+03 |
| Std | 8.07E+00 | 5.92E+01 | 1.70E+01 | 1.09E+01 | 2.70E+01 | |
| SEM | 1.47E+00 | 1.08E+01 | 3.11E+00 | 1.98E+00 | 4.94E+00 | |
| Rank | 1 | 6 | 5 | 3 | 4 | |
| F8 | Mean | 2.21E+03 | 2.25E+03 | 2.23E+03 | 2.22E+03 | 2.23E+03 |
| Std | 6.07E+00 | 8.62E+01 | 3.72E+00 | 3.96E+00 | 1.72E+01 | |
| SEM | 1.11E+00 | 1.57E+01 | 6.79E-01 | 7.23E-01 | 3.13E+00 | |
| Rank | 1 | 6 | 4 | 3 | 5 | |
| F9 | Mean | 2.53E+03 | 2.57E+03 | 2.55E+03 | 2.55E+03 | 2.55E+03 |
| Std | 5.83E-09 | 1.19E+02 | 3.33E+01 | 1.98E+01 | 2.40E+01 | |
| SEM | 1.06E-09 | 2.18E+01 | 6.09E+00 | 3.61E+00 | 4.37E+00 | |
| Rank | 1 | 6 | 4 | 3 | 5 | |
| F10 | Mean | 2.51E+03 | 2.56E+03 | 2.56E+03 | 2.55E+03 | 2.60E+03 |
| Std | 3.36E+01 | 1.06E+02 | 6.30E+01 | 6.43E+01 | 1.99E+02 | |
| SEM | 6.13E+00 | 1.94E+01 | 1.15E+01 | 1.17E+01 | 3.63E+01 | |
| Rank | 1 | 4 | 5 | 3 | 6 | |
| F11 | Mean | 2.60E+03 | 2.97E+03 | 2.84E+03 | 2.86E+03 | 2.84E+03 |
| Std | 1.22E-01 | 4.92E+02 | 1.98E+02 | 2.08E+02 | 2.83E+02 | |
| SEM | 2.23E-02 | 8.98E+01 | 3.61E+01 | 3.79E+01 | 5.17E+01 | |
| Rank | 1 | 6 | 4 | 5 | 3 | |
| F12 | Mean | 2.86E+03 | 2.89E+03 | 2.86E+03 | 2.86E+03 | 2.90E+03 |
| Std | 1.43E+00 | 6.91E+01 | 2.08E+00 | 1.74E+00 | 8.50E+01 | |
| SEM | 2.60E-01 | 1.26E+01 | 3.81E-01 | 3.18E-01 | 1.55E+01 | |
| Rank | 1 | 5 | 3 | 4 | 6 |
| Parameter | Details |
|---|---|
| Stopping criterion | Maximum of 1000 function evaluations |
| Runs | 30 independent runs |
| Statistical results | Best (BEST), mean (MEAN), worst (WORST), and standard deviation (SD) |
| Optimizer | Mean | Std | Max | Min Value | X1 | X2 | X3 |
|---|---|---|---|---|---|---|---|
| FVIMDE | 1.2665E-02 | 1.4363E-09 | 1.2665E-02 | 1.2665E-02 | 5.1686E-02 | 3.5663E-01 | 1.1294E+01 |
| GWO | 1.3401E-02 | 3.4570E-04 | 1.4014E-02 | 1.3009E-02 | 5.4997E-02 | 4.3879E-01 | 7.8022E+00 |
| HHO | 1.3186E-02 | 6.4970E-05 | 1.3258E-02 | 1.3051E-02 | 5.00E-02 | 3.1378E-01 | 1.4637E+01 |
| MVO | 1.8210E-01 | 1.5741E-01 | 5.2245E-01 | 2.1680E-02 | 6.0214E-02 | 5.2439E-01 | 9.4024E+00 |
| CPO | 1.4828E-02 | 1.8026E-03 | 1.8760E-02 | 1.3051E-02 | 5.5594E-02 | 4.5532E-01 | 7.2742E+00 |
| FOX | 5.4527E-02 | 4.7292E-02 | 1.4619E-01 | 1.0625E-02 | 5.00E-02 | 2.5000E-01 | 1.5000E+01 |
| ZOA | 2.9691E-02 | 9.0947E-03 | 4.4030E-02 | 1.8975E-02 | 5.7850E-02 | 4.0690E-01 | 1.1935E+01 |
| FOX | 1.3122E-02 | 1.5122E-04 | 1.3220E-02 | 1.2747E-02 | 5.00E-02 | 3.1725E-01 | 1.4072E+01 |
| AVOA | 1.3466E-02 | 6.6278E-04 | 1.5278E-02 | 1.2804E-02 | 5.0140E-02 | 3.2034E-01 | 1.3899E+01 |
| SCA | 1.3106E-02 | 1.6643E-04 | 1.3248E-02 | 1.2798E-02 | 5.00E-02 | 3.1728E-01 | 1.4134E+01 |
| MFO | 1.2709E-02 | 1.9473E-05 | 1.2720E-02 | 1.2666E-02 | 5.1787E-02 | 3.5907E-01 | 1.1153E+01 |
| WOA | 1.3323E-02 | 1.2549E-04 | 1.3498E-02 | 1.3077E-02 | 5.00E-02 | 3.1683E-01 | 1.4510E+01 |
| Optimizer | Mean | Max | Std | Best | X1 | X2 | X3 | X4 |
|---|---|---|---|---|---|---|---|---|
| FVIMDE | 1.724948 | 1.725806 | 0.000302 | 1.724852 | 0.20573 | 3.470489 | 9.036624 | 0.20573 |
| FVIM | 1.726068 | 1.726818 | 0.00049 | 1.725337 | 0.205748 | 3.47167 | 9.036949 | 0.205761 |
| WSO | 1.724852 | 1.724852 | 2.44E-11 | 1.724852 | 0.20573 | 3.470489 | 9.036624 | 0.20573 |
| ZOA | 1.803883 | 1.887076 | 0.06735 | 1.725173 | 0.205635 | 3.471647 | 9.03894 | 0.205718 |
| SCA | 1.816392 | 1.856325 | 0.03809 | 1.725198 | 0.205717 | 3.470253 | 9.03908 | 0.205726 |
| RTH | 1.724852 | 1.724852 | 1.01E-14 | 1.745062 | 0.199505 | 3.619743 | 9.094364 | 0.205716 |
| PSO | 1.726374 | 1.727971 | 0.000855 | 1.724852 | 0.20573 | 3.470489 | 9.036624 | 0.20573 |
| POA | 1.724852 | 1.724852 | 1.78E-09 | 1.724852 | 0.20573 | 3.470489 | 9.036624 | 0.20573 |
| MVO | 1.735975 | 1.771371 | 0.013881 | 1.726231 | 0.205337 | 3.482284 | 9.035197 | 0.205814 |
| AVOA | 1.724852 | 1.724853 | 1.85E-07 | 1.724852 | 0.20573 | 3.470489 | 9.036624 | 0.20573 |
| FOX | 1.731082 | 1.758473 | 0.01269 | 1.724852 | 0.20573 | 3.470489 | 9.036624 | 0.20573 |
| MFO | 1.724852 | 1.724852 | 4.66E-11 | 1.724852 | 0.20573 | 3.470489 | 9.036624 | 0.20573 |
| HOA | 2.365591 | 2.562652 | 0.14433 | 2.067993 | 0.287823 | 2.784202 | 7.682421 | 0.292287 |
| BBO | 1.872117 | 2.319204 | 0.175173 | 1.727696 | 0.203668 | 3.515431 | 9.036619 | 0.20573 |
| GWO | 1.726062 | 1.728523 | 0.000917 | 1.725133 | 0.205712 | 3.471168 | 9.037725 | 0.205733 |
| ROA | 1.724852 | 1.724853 | 1.3E-07 | 1.724852 | 0.20573 | 3.470489 | 9.036624 | 0.20573 |
| CPO | 1.729198 | 1.735134 | 0.002661 | 1.726255 | 0.20513 | 3.483531 | 9.03688 | 0.205799 |
| COA | 1.725016 | 1.725156 | 8.17E-05 | 1.724925 | 0.205697 | 3.471248 | 9.036709 | 0.20573 |
| Chimp | 2.273522 | 2.564183 | 0.209989 | 1.982986 | 0.204561 | 4.149214 | 10 | 0.205138 |
| HHO | 1.724852 | 1.724852 | 1.42E-12 | 1.724852 | 0.20573 | 3.470489 | 9.036624 | 0.20573 |
| Statistical Measurements | (X1–X4) for Minimum Value | ||||||||
|---|---|---|---|---|---|---|---|---|---|
| Sheet Name | Mean | Std | Max | Best | X1 | X2 | X3 | X4 | X5 |
| FVIMDE | 1.340E+00 | 1.765E-07 | 1.340E+00 | 1.340E+00 | 6.017E+00 | 5.306E+00 | 4.498E+00 | 3.501E+00 | 2.152E+00 |
| SNS | 1.340E+00 | 6.326E-07 | 1.340E+00 | 1.340E+00 | 6.018E+00 | 5.307E+00 | 4.495E+00 | 3.504E+00 | 2.150E+00 |
| GWO | 2.062E+00 | 6.002E-01 | 3.217E+00 | 1.511E+00 | 8.534E+00 | 4.145E+00 | 5.071E+00 | 4.510E+00 | 1.962E+00 |
| HHO | 3.796E+00 | 5.335E-01 | 4.712E+00 | 2.969E+00 | 7.249E+00 | 7.984E+00 | 1.058E+01 | 1.179E+01 | 9.974E+00 |
| MVO | 6.371E+00 | 1.449E+00 | 8.901E+00 | 4.017E+00 | 2.630E+01 | 6.630E+00 | 3.912E+00 | 1.197E+01 | 1.556E+01 |
| CPO | 2.805E+00 | 1.710E+00 | 5.983E+00 | 1.399E+00 | 7.231E+00 | 5.051E+00 | 3.861E+00 | 4.319E+00 | 1.951E+00 |
| FOX | 7.552E+00 | 1.139E+00 | 9.611E+00 | 6.061E+00 | 1.550E+01 | 5.194E+01 | 2.087E+01 | 4.175E+00 | 4.650E+00 |
| ZOA | 4.532E+00 | 9.627E-01 | 5.712E+00 | 2.931E+00 | 7.721E+00 | 3.787E+00 | 2.553E+01 | 5.680E+00 | 4.249E+00 |
| FOX | 5.668E+00 | 8.355E-01 | 6.703E+00 | 4.446E+00 | 2.396E+01 | 1.483E+01 | 5.848E+00 | 1.304E+01 | 1.358E+01 |
| AVOA | 3.229E+00 | 1.315E+00 | 5.863E+00 | 1.625E+00 | 5.697E+00 | 8.405E+00 | 4.295E+00 | 4.685E+00 | 2.954E+00 |
| SCA | 3.098E+00 | 1.933E+00 | 7.983E+00 | 1.756E+00 | 1.052E+01 | 7.122E+00 | 4.686E+00 | 2.823E+00 | 2.988E+00 |
| MFO | 1.341E+00 | 4.005E-04 | 1.341E+00 | 1.340E+00 | 5.976E+00 | 5.352E+00 | 4.506E+00 | 3.500E+00 | 2.142E+00 |
| WOA | 3.574E+00 | 8.699E-01 | 5.001E+00 | 1.749E+00 | 4.906E+00 | 9.387E+00 | 6.039E+00 | 5.316E+00 | 2.387E+00 |
| Statistical Measurements | (X1–X2) for Best Value | |||||
|---|---|---|---|---|---|---|
| Optimizer | Mean | Std | Max | Best | X1 | X2 |
| FVIMDE | 2.523E+02 | 1.272E+01 | 2.656E+02 | 2.320E+02 | 6.900E-01 | 3.688E-01 |
| GWO | 2.639E+02 | 1.921E-07 | 2.639E+02 | 2.639E+02 | 7.887E-01 | 4.083E-01 |
| HHO | 2.598E+02 | 5.064E+00 | 2.640E+02 | 2.498E+02 | 7.681E-01 | 3.257E-01 |
| MVO | 2.636E+02 | 3.371E-01 | 2.639E+02 | 2.628E+02 | 7.831E-01 | 4.135E-01 |
| CPO | 2.598E+02 | 4.458E+00 | 2.643E+02 | 2.515E+02 | 7.236E-01 | 4.688E-01 |
| FOX | 2.636E+02 | 8.884E-01 | 2.651E+02 | 2.620E+02 | 7.819E-01 | 4.086E-01 |
| ZOA | 2.639E+02 | 6.783E-08 | 2.639E+02 | 2.639E+02 | 7.887E-01 | 4.082E-01 |
| FOX | 2.636E+02 | 7.599E-01 | 2.640E+02 | 2.615E+02 | 7.833E-01 | 3.996E-01 |
| AVOA | 2.632E+02 | 5.715E-01 | 2.639E+02 | 2.620E+02 | 7.768E-01 | 4.227E-01 |
| SCA | 2.633E+02 | 1.660E+00 | 2.650E+02 | 2.601E+02 | 8.002E-01 | 3.376E-01 |
| MFO | 2.586E+02 | 4.265E+00 | 2.641E+02 | 2.524E+02 | 7.962E-01 | 2.722E-01 |
| WOA | 2.639E+02 | 1.376E-04 | 2.639E+02 | 2.639E+02 | 7.885E-01 | 4.088E-01 |
| MFO | 2.635E+02 | 3.574E-01 | 2.639E+02 | 2.628E+02 | 7.898E-01 | 3.940E-01 |
| Statistical Measurements | (X1–X4) for Minimum Value | |||||
|---|---|---|---|---|---|---|
| Sheet Name | Mean | Std | Max | Best | K | L |
| FVIMDE | 2.649E+01 | 2.160E-09 | 2.649E+01 | 2.649E+01 | 5.452E+00 | 2.916E-01 |
| SNS | 2.649E+01 | 3.413E-09 | 2.649E+01 | 2.649E+01 | 5.452E+00 | 2.916E-01 |
| GWO | 2.655E+01 | 3.984E-02 | 2.661E+01 | 2.649E+01 | 5.460E+00 | 2.910E-01 |
| HHO | 2.663E+01 | 8.973E-02 | 2.676E+01 | 2.653E+01 | 5.444E+00 | 2.931E-01 |
| MVO | 2.931E+01 | 1.346E+00 | 3.119E+01 | 2.693E+01 | 5.232E+00 | 3.211E-01 |
| CPO | 2.664E+01 | 9.296E-02 | 2.682E+01 | 2.654E+01 | 5.417E+00 | 2.959E-01 |
| FOX | 3.032E+01 | 1.989E+00 | 3.310E+01 | 2.698E+01 | 5.234E+00 | 3.220E-01 |
| ZOA | 2.663E+01 | 8.878E-02 | 2.679E+01 | 2.649E+01 | 5.428E+00 | 2.939E-01 |
| FOX | 2.762E+01 | 1.409E+00 | 3.111E+01 | 2.653E+01 | 5.473E+00 | 2.906E-01 |
| AVOA | 2.681E+01 | 1.914E-01 | 2.706E+01 | 2.650E+01 | 5.419E+00 | 2.950E-01 |
| SCA | 2.664E+01 | 1.049E-01 | 2.681E+01 | 2.651E+01 | 5.457E+00 | 2.916E-01 |
| MFO | 2.659E+01 | 6.546E-02 | 2.672E+01 | 2.651E+01 | 5.462E+00 | 2.912E-01 |
| WOA | 2.649E+01 | 4.410E-04 | 2.649E+01 | 2.649E+01 | 5.452E+00 | 2.916E-01 |
Disclaimer/Publisher’s Note: The statements, opinions and data contained in all publications are solely those of the individual author(s) and contributor(s) and not of MDPI and/or the editor(s). MDPI and/or the editor(s) disclaim responsibility for any injury to people or property resulting from any ideas, methods, instructions or products referred to in the content. |
© 2024 by the authors. Licensee MDPI, Basel, Switzerland. This article is an open access article distributed under the terms and conditions of the Creative Commons Attribution (CC BY) license (https://creativecommons.org/licenses/by/4.0/).
Share and Cite
Fakhouri, H.N.; Al-Shamayleh, A.S.; Ishtaiwi, A.; Makhadmeh, S.N.; Fakhouri, S.N.; Hamad, F. Hybrid Four Vector Intelligent Metaheuristic with Differential Evolution for Structural Single-Objective Engineering Optimization. Algorithms 2024, 17, 417. https://doi.org/10.3390/a17090417
Fakhouri HN, Al-Shamayleh AS, Ishtaiwi A, Makhadmeh SN, Fakhouri SN, Hamad F. Hybrid Four Vector Intelligent Metaheuristic with Differential Evolution for Structural Single-Objective Engineering Optimization. Algorithms. 2024; 17(9):417. https://doi.org/10.3390/a17090417
Chicago/Turabian StyleFakhouri, Hussam N., Ahmad Sami Al-Shamayleh, Abdelraouf Ishtaiwi, Sharif Naser Makhadmeh, Sandi N. Fakhouri, and Faten Hamad. 2024. "Hybrid Four Vector Intelligent Metaheuristic with Differential Evolution for Structural Single-Objective Engineering Optimization" Algorithms 17, no. 9: 417. https://doi.org/10.3390/a17090417
APA StyleFakhouri, H. N., Al-Shamayleh, A. S., Ishtaiwi, A., Makhadmeh, S. N., Fakhouri, S. N., & Hamad, F. (2024). Hybrid Four Vector Intelligent Metaheuristic with Differential Evolution for Structural Single-Objective Engineering Optimization. Algorithms, 17(9), 417. https://doi.org/10.3390/a17090417

