A Machine Learning Study of High Robustness Quantum Walk Search Algorithm with Qudit Householder Coins
Abstract
1. Introduction
2. Quantum Random Walk Search with an Alternative Walk Coin
2.1. Quantum Random Walk Search Algorithm—Quantum Circuit
2.2. Walk Coin by a Householder Reflection and an Additional Phase Multiplier
3. Qrws with Qudit Coin Constructed by Householder Reflection
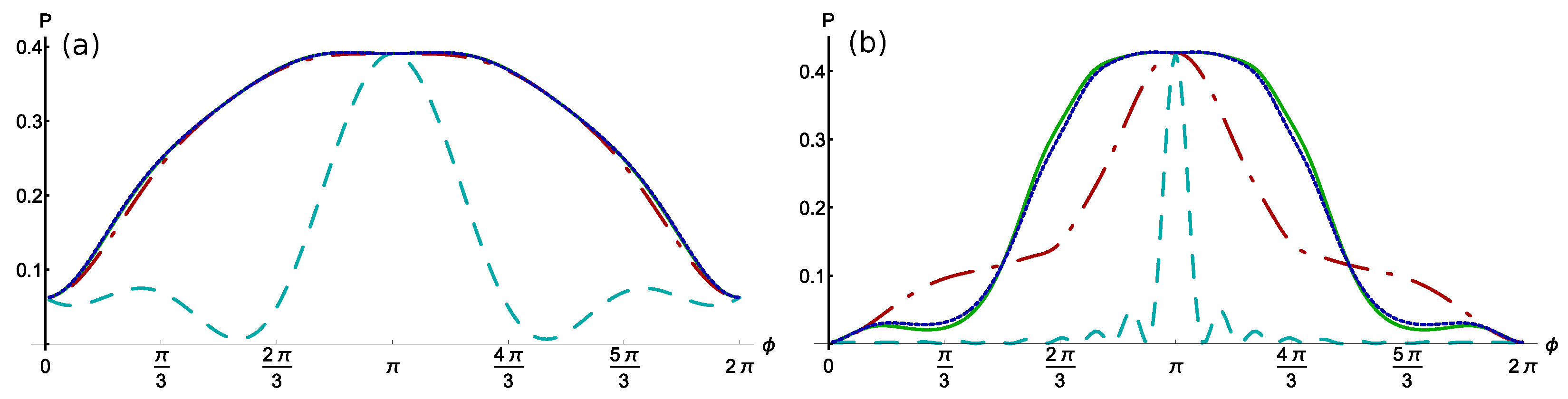
3.1. Monte Carlo Simulations of Qrws
3.2. Robustness of the Coin for Different Functions
- (1)
- Reducing the width of the curves with increasing of m;
- (2)
- The suggested nonlinear dependence between angles (18) gives the highest stability of the algorithm. Worst performance is when .
4. Numerical Results
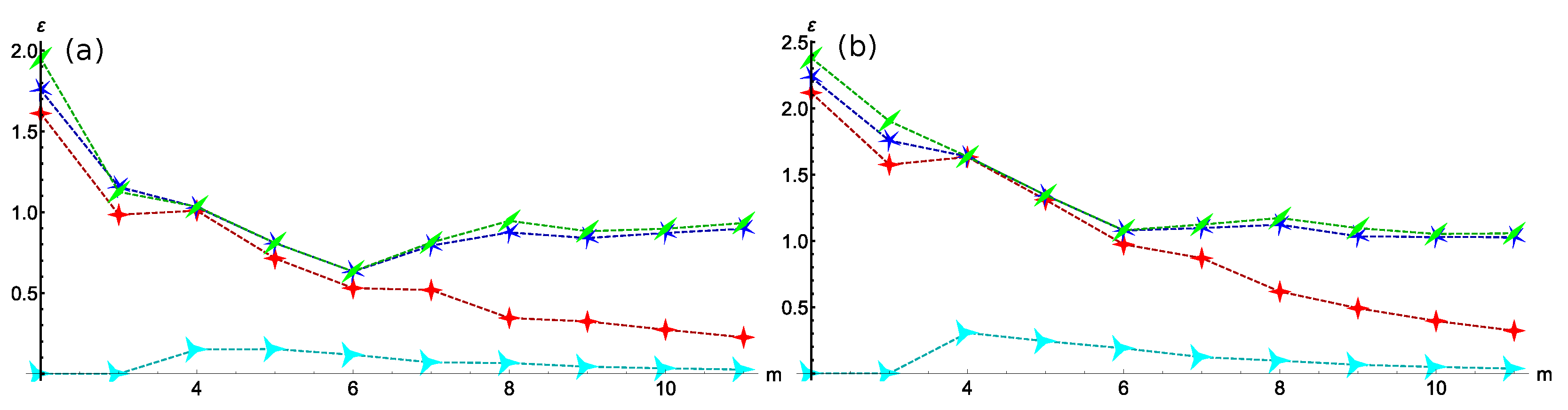
4.1. Region of Stability for Different Coin Sizes
4.2. Analysis of Algorithm’S Robustness
4.3. Dependence between Alpha and Coin Size
5. Conclusions
Author Contributions
Funding
Data Availability Statement
Acknowledgments
Conflicts of Interest
Abbreviations
| QRW | Quantum Random Walk |
| QRWS | Quantum Random Walk Search |
| HR | Householder Reflection |
| ML | Machine Learning |
| DNN | Deep Neural Network |
| Eq. | Equation |
Appendix A. Monte Carlo Simulations for Different Coin Size

Appendix B. Curves for Different Qudit Size

Appendix C. Region of Stability for Different Coin Sizes—Practical Consideration

Appendix D. Area of Stability of QRWS as Function of α and ϕ


Appendix E. Robustness of the Modified Quantum Random Walk Algorithm for Different Size of the Walk Coin


Appendix F. Deep Network Model and Machine Learning Predictions

References
- Aharonov, Y.; Davidovich, L.; Zagury, N. Quantum random walks. Phys. Rev. A 1993, 48, 1687–1690. [Google Scholar] [CrossRef]
- Lawler, G.F.; Limic, V. Random Walk: A Modern Introduction; Cambridge Studies in Advanced Mathematics; Cambridge University Press: Cambridge, UK, 2010. [Google Scholar] [CrossRef]
- Travaglione, B.C.; Milburn, G.J. Implementing the quantum random walk. Phys. Rev. A 2002, 65, 032310. [Google Scholar] [CrossRef]
- Ambainis, A.; Kempe, J.; Rivosh, A. Coins Make Quantum Walks Faster. arXiv 2004, arXiv:quant-ph/0402107. [Google Scholar]
- Di Crescenzo, A.; Macci, C.; Martinucci, B.; Spina, S. Analysis of random walks on a hexagonal lattice. IMA J. Appl. Math. 2019, 84, 1061–1081. [Google Scholar] [CrossRef]
- Bru, L.A.; de Valcárcel, G.J.; Di Molfetta, G.; Pérez, A.; Roldán, E.; Silva, F. Quantum walk on a cylinder. Phys. Rev. A 2016, 94, 032328. [Google Scholar] [CrossRef]
- Kempe, J. Quantum Random Walks Hit Exponentially Faster. arXiv 2002, arXiv:quant-ph/0205083. [Google Scholar]
- Magniez, F.; Santha, M.; Szegedy, M. Quantum Algorithms for the Triangle Problem. SIAM J. Comput. 2007, 37, 413–424. [Google Scholar] [CrossRef]
- Ambainis, A.; Childs, A.M.; Reichardt, B.W.; Špalek, R.; Zhang, S. Any AND-OR Formula of Size N Can Be Evaluated in Time N1/2+o(1) on a Quantum Computer. SIAM J. Comput. 2010, 39, 2513–2530. [Google Scholar] [CrossRef]
- Sornsaeng, A.; Dangniam, N.; Palittapongarnpim, P.; Chotibut, T. Quantum diffusion map for nonlinear dimensionality reduction. arXiv 2021, arXiv:2106.07302. [Google Scholar] [CrossRef]
- Dernbach, S.; Mohseni-Kabir, A.; Pal, S.; Towsley, D. Quantum Walk Neural Networks for Graph-Structured Data. In Proceedings of the Complex Networks and Their Applications VII, Studies in Computational Intelligence, Cambridge, UK, 11–13 December 2018; Aiello, L.M., Cherifi, C., Cherifi, H., Lambiotte, R., Lió, P., Rocha, L.M., Eds.; Springer International Publishing: Cham, Switzerland, 2019; pp. 182–193. [Google Scholar] [CrossRef]
- Feng, Y.; Shi, R.; Shi, J.; Zhou, J.; Guo, Y. Arbitrated quantum signature scheme with quantum walk-based teleportation. Quantum Inf. Process. 2019, 18, 154. [Google Scholar] [CrossRef]
- Shenvi, N.; Kempe, J.; Whaley, K.B. Quantum random-walk search algorithm. Phys. Rev. A 2003, 67, 052307. [Google Scholar] [CrossRef]
- Novo, L.; Chakraborty, S.; Mohseni, M.; Neven, H.; Omar, Y. Systematic Dimensionality Reduction for Quantum Walks: Optimal Spatial Search and Transport on Non-Regular Graphs. Sci. Rep. 2015, 5, 13304. [Google Scholar] [CrossRef]
- Koch, D.; Hillery, M. Finding paths in tree graphs with a quantum walk. Phys. Rev. A 2018, 97, 012308. [Google Scholar] [CrossRef]
- Potoček, V.; Gábris, A.; Kiss, T.; Jex, I. Optimized quantum random-walk search algorithms on the hypercube. Phys. Rev. A 2009, 79, 012325. [Google Scholar] [CrossRef]
- Giordani, T.; Polino, E.; Emiliani, S.; Suprano, A.; Innocenti, L.; Majury, H.; Marrucci, L.; Paternostro, M.; Ferraro, A.; Spagnolo, N.; et al. Experimental Engineering of Arbitrary Qudit States with Discrete-Time Quantum Walks. Phys. Rev. Lett. 2019, 122, 020503. [Google Scholar] [CrossRef] [PubMed]
- Côté, R.; Russell, A.; Eyler, E.E.; Gould, P.L. Quantum random walk with Rydberg atoms in an optical lattice. New J. Phys. 2006, 8, 156. [Google Scholar] [CrossRef]
- Zhou, J.Q.; Cai, L.; Su, Q.P.; Yang, C.P. Protocol of a quantum walk in circuit QED. Phys. Rev. A 2019, 100, 012343. [Google Scholar] [CrossRef]
- Fujiwara, S.; Osaki, H.; Buluta, I.M.; Hasegawa, S. Scalable networks for discrete quantum random walks. Phys. Rev. A 2005, 72, 032329. [Google Scholar] [CrossRef]
- Bullock, S.S.; O’Leary, D.P.; Brennen, G.K. Asymptotically Optimal Quantum Circuits for d-Level Systems. Phys. Rev. Lett. 2005, 94, 230502. [Google Scholar] [CrossRef]
- Gokhale, P.; Baker, J.M.; Duckering, C.; Brown, N.C.; Brown, K.R.; Chong, F.T. Asymptotic improvements to quantum circuits via qutrits. In Proceedings of the 46th International Symposium on Computer Architecture, Phoenix, AZ, USA, 22–26 June 2019; Association for Computing Machinery: New York, NY, USA, 2019; pp. 554–566. [Google Scholar] [CrossRef]
- Hajji, H.; El Baz, M. Qutrit-based semi-quantum key distribution protocol. Quantum Inf. Process. 2021, 20, 4. [Google Scholar] [CrossRef]
- Bruß, D.; Macchiavello, C. Optimal Eavesdropping in Cryptography with Three-Dimensional Quantum States. Phys. Rev. Lett. 2002, 88, 127901. [Google Scholar] [CrossRef]
- Durt, T.; Kaszlikowski, D.; Chen, J.L.; Kwek, L.C. Security of quantum key distributions with entangled qudits. Phys. Rev. A 2004, 69, 032313. [Google Scholar] [CrossRef]
- Bocharov, A.; Roetteler, M.; Svore, K.M. Factoring with qutrits: Shor’s algorithm on ternary and metaplectic quantum architectures. Phys. Rev. A 2017, 96, 012306. [Google Scholar] [CrossRef]
- Ivanov, S.S.; Tonchev, H.S.; Vitanov, N.V. Time-efficient implementation of quantum search with qudits. Phys. Rev. A 2012, 85, 062321. [Google Scholar] [CrossRef]
- Tonchev, H.S.; Vitanov, N.V. Quantum phase estimation and quantum counting with qudits. Phys. Rev. A 2016, 94, 042307. [Google Scholar] [CrossRef]
- Nielsen, M.A.; Chuang, I.L. Quantum Computation and Quantum Information; Cambridge University Press: Cambridge, UK, 2007. [Google Scholar]
- Ivanov, P.A.; Kyoseva, E.S.; Vitanov, N.V. Engineering of arbitrary U(N) transformations by quantum Householder reflections. Phys. Rev. A 2006, 74, 022323. [Google Scholar] [CrossRef]
- Vitanov, N.V. Synthesis of arbitrary SU(3) transformations of atomic qutrits. Phys. Rev. A 2012, 85, 032331. [Google Scholar] [CrossRef]
- Ivanov, P.A.; Vitanov, N.V. Synthesis of arbitrary unitary transformations of collective states of trapped ions by quantum Householder reflections. Phys. Rev. A 2008, 77, 012335. [Google Scholar] [CrossRef]
- Kyoseva, E.S.; Angelakis, D.G.; Kwek, L.C. A single-interaction step implementation of a quantum search in coupled micro-cavities. EPL 2010, 89, 20005. [Google Scholar] [CrossRef]
- Torosov, B.T.; Kyoseva, E.; Vitanov, N.V. Fault-tolerant composite Householder reflection. J. Phys. B 2015, 48, 135502. [Google Scholar] [CrossRef]
- Bassi, A.; Deckert, D.A. Noise gates for decoherent quantum circuits. Phys. Rev. A 2008, 77, 032323. [Google Scholar] [CrossRef]
- Feng, Y.Y.; Zhou, J.; Zhang, D.B.; Shi, J.J. Parameterized Quantum Circuits for Learning Cooperative Quantum Teleportation. Adv. Quantum Technol. 2022, 5, 2200040. [Google Scholar] [CrossRef]
- Salas, P.J. Noise effect on Grover algorithm. Eur. Phys. J. D 2008, 46, 365–373. [Google Scholar] [CrossRef]
- Manouchehri, K.; Wang, J.B. Quantum walks in an array of quantum dots. J. Phys. A 2008, 41, 6. [Google Scholar]
- Chandrashekar, C.M.; Srikanth, R.; Banerjee, S. Symmetries and noise in quantum walk. Phys. Rev. A 2007, 76, 022316. [Google Scholar] [CrossRef]
- Chen, T.; Zhang, X.; Zhang, X. Quantum sensing of noises in one and two dimensional quantum walks. Sci. Rep. 2017, 7, 4962. [Google Scholar] [CrossRef]
- Lei, M.; Jiang-Feng, D.; Yun, L.; Hui, L.; C, K.L.; H, O.C. White Noise in Quantum Random Walk Search Algorithm. Chin. Phys. Lett. 2006, 23, 779. [Google Scholar] [CrossRef]
- Chiang, C.F.; Hsieh, C.Y. Noise Characterization: Keeping Reduction Based Per-turbed Quantum Walk Search Optimal. EPJ Web Conf. 2019, 198, 00001. [Google Scholar] [CrossRef]
- Morley, J.G.; Chancellor, N.; Bose, S.; Kendon, V. Quantum search with hybrid adiabatic–quantum-walk algorithms and realistic noise. Phys. Rev. A 2019, 99, 022339. [Google Scholar] [CrossRef]
- Zhang, Y.C.; Bao, W.S.; Wang, X.; Fu, X.Q. Effects of systematic phase errors on optimized quantum random-walk search algorithm. Chin. Phys. B 2015, 24, 060304. [Google Scholar] [CrossRef]
- Nassif, A.B.; Shahin, I.; Attili, I.; Azzeh, M.; Shaalan, K. Speech Recognition Using Deep Neural Networks: A Systematic Review. IEEE Access 2019, 7, 19143–19165. [Google Scholar] [CrossRef]
- Liu, S.; Wang, T.; Bau, D.; Zhu, J.Y.; Torralba, A. Diverse Image Generation via Self-Conditioned GANs. arXiv 2022, arXiv:2006.10728. [Google Scholar]
- Wen, S.; Liu, W.; Yang, Y.; Huang, T.; Zeng, Z. Generating Realistic Videos From Keyframes With Concatenated GANs. IEEE Trans. Circuits Syst. Video Technol. 2019, 29, 2337–2348. [Google Scholar] [CrossRef]
- Wong, D.; Yip, S. Machine learning classifies cancer. Nature 2018, 555, 446–447. [Google Scholar] [CrossRef] [PubMed]
- Shi, J.; Wang, W.; Lou, X.; Zhang, S.; Li, X. Parameterized Hamiltonian Learning with Quantum Circuit. IEEE Trans. Pattern Anal. Mach. Intell. 2022, 1–10. [Google Scholar] [CrossRef] [PubMed]
- Shi, J.; Tang, Y.; Lu, Y.; Feng, Y.; Shi, R.; Zhang, S. Quantum Circuit Learning with Parameterized Boson Sampling. IEEE Trans. Knowl. Data Eng. 2023, 35, 1965–1976. [Google Scholar] [CrossRef]
- Tonchev, H.; Danev, P. Optimizing the walk coin in the quantum random walk search algorithm through machine learning. arXiv 2021, arXiv:2105.08020. [Google Scholar]
- Zhang, Y.C.; Bao, W.S.; Wang, X.; Fu, X.Q. Optimized quantum random-walk search algorithm for multi-solution search. Chin. Phys. B 2015, 24, 110309. [Google Scholar] [CrossRef]
- Saha, A.; Majumdar, R.; Saha, D.; Chakrabarti, A.; Sur-Kolay, S. Faster Search of Clustered Marked States with Lackadaisical Quantum Walks. arXiv 2021, arXiv:2107.02049. [Google Scholar] [CrossRef]
- Hoyer, S. Quantum Random Walk Search on Satisfiability Problems. Bachelor’s Thesis, Swarthmore College, Department of Physics and Astronomy, Swarthmore, PA, USA, 2008. Available online: http://hdl.handle.net/10066/10450 (accessed on 23 February 2023).










| Line∖Coin Size | 4 | 5 | 6 | 7 | 8 | 9 | 10 | 11 |
|---|---|---|---|---|---|---|---|---|
| Equation (17) | 0.3906 | 0.4137 | 0.4117 | 0.4022 | 0.4344 | 0.4272 | 0.4334 | 0.4414 |
| Equation (18) & | 0.3906 | 0.4137 | 0.4117 | 0.4022 | 0.4344 | 0.4272 | 0.4334 | 0.4414 |
| Equation (18) & | 0.3921 | 0.4137 | 0.4117 | 0.4082 | 0.4344 | 0.4279 | 0.4354 | 0.4414 |
| Equation (18) & | 0.3921 | 0.4137 | 0.4117 | 0.4093 | 0.4344 | 0.4277 | 0.4344 | 0.4414 |
| m | 2 | 3 | 4 | 5 | 6 | 7 | 8 |
|---|---|---|---|---|---|---|---|
| 0.558 | 0.552 | 0.142 | 0.155 | 0.163 | 0.209 | 0.206 | |
| m | 9 | 10 | 11 | 11 | 12 | 13 | 14 |
| 0.185 | 0.168 | 0.150 | 0.170 | 0.179 | 0.180 | 0.203 | |
| m | 15 | 16 | 17 | 18 | 19 | 20 | |
| 0.225 | 0.197 | 0.205 | 0.206 | 0.216 | 0.223 |
| a | b | c | |
|---|---|---|---|
Disclaimer/Publisher’s Note: The statements, opinions and data contained in all publications are solely those of the individual author(s) and contributor(s) and not of MDPI and/or the editor(s). MDPI and/or the editor(s) disclaim responsibility for any injury to people or property resulting from any ideas, methods, instructions or products referred to in the content. |
© 2023 by the authors. Licensee MDPI, Basel, Switzerland. This article is an open access article distributed under the terms and conditions of the Creative Commons Attribution (CC BY) license (https://creativecommons.org/licenses/by/4.0/).
Share and Cite
Tonchev, H.; Danev, P. A Machine Learning Study of High Robustness Quantum Walk Search Algorithm with Qudit Householder Coins. Algorithms 2023, 16, 150. https://doi.org/10.3390/a16030150
Tonchev H, Danev P. A Machine Learning Study of High Robustness Quantum Walk Search Algorithm with Qudit Householder Coins. Algorithms. 2023; 16(3):150. https://doi.org/10.3390/a16030150
Chicago/Turabian StyleTonchev, Hristo, and Petar Danev. 2023. "A Machine Learning Study of High Robustness Quantum Walk Search Algorithm with Qudit Householder Coins" Algorithms 16, no. 3: 150. https://doi.org/10.3390/a16030150
APA StyleTonchev, H., & Danev, P. (2023). A Machine Learning Study of High Robustness Quantum Walk Search Algorithm with Qudit Householder Coins. Algorithms, 16(3), 150. https://doi.org/10.3390/a16030150

