Robust Registration of Medical Images in the Presence of Spatially-Varying Noise
Abstract
1. Introduction
2. Materials and Methods
2.1. Empirical Mode Decomposition
2.2. Bias Field Noise and Empirical Mode Decomposition
2.3. LR-EMD: Image Registration Algorithm Based on EMD Levels
| Algorithm 1 LR-EMD: Image Registration using EMD levels. |
| Input: floating image, , reference image, n number of IMFs or EMD levels, Similarity measure |
| Extract n IMFs of both and , |
| Initialize registration with unity transform |
| for to n do ▹ where is the coarse-grained level and is the fine-grained level |
| Register the ith IMF of to the ith IMF of based on Similarity measure and find transform |
| Initialize transform for next level of IMF with |
| end for |
2.4. AFR-EMD: Image Registration Algorithm Based on Average EMD Feature-Maps
| Algorithm 2 AFR-EMD: Image registration based on Average EMD feature-maps |
| Input: floating image, , reference image, n number of IMFs or EMD levels, Similarity measure |
| Extract n IMFs for both and , |
| Find and , the average of IMFs for both and |
| Initialize registration with unity transform |
| for to n do ▹ where is the coarse-grained level and is the fine-grained level |
| Compute and , the downsampled versions of and with respect to scale level i |
| Register to based on Similarity measure and find transform |
| Initialize transform for next level of registration with |
| end for |
2.5. Datasets
2.5.1. BrainWeb Dataset
2.5.2. IBSR Dataset
2.5.3. Fundus Image Registration (FIRE) Dataset
2.6. Measures of Accuracy
3. Results
3.1. Evaluation of the Proposed Algorithms on the MRIs from the BrainWeb Dataset
3.1.1. No Bias Field Case
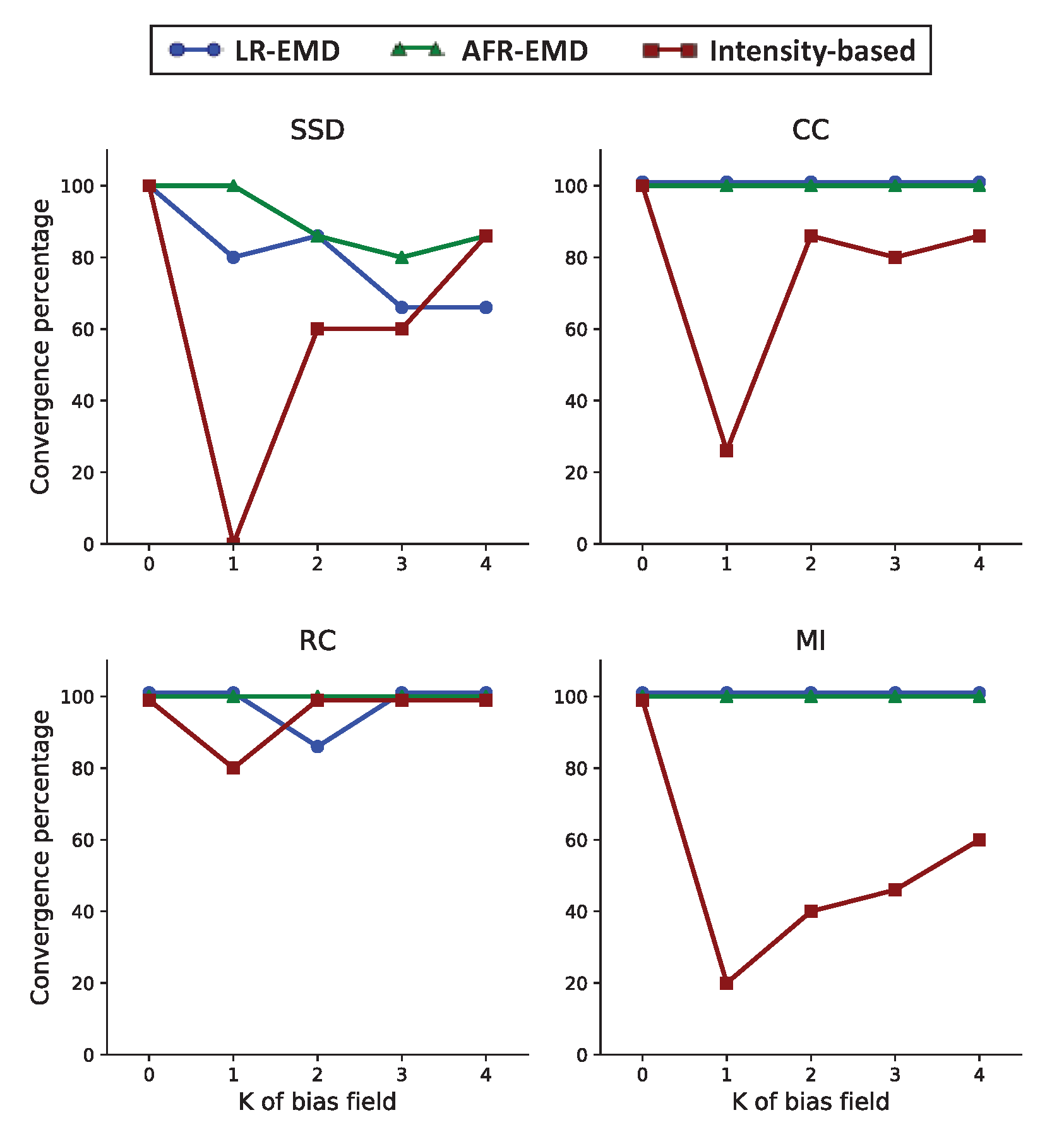
3.1.2. Convergence in the Presence of Bias Field
3.1.3. Registration Performance in the Presence of Bias Field
3.2. Evaluation of the Proposed Algorithms on the MRIs from the IBSR Dataset
3.3. Evaluation of the Proposed Algorithms on Retina Images
4. Discussion and Future Works
Author Contributions
Funding
Data Availability Statement
Conflicts of Interest
Appendix A
Appendix A.1. Registration Performance in the Presence of Three and Four Gaussian Kernels


References
- Sotiras, A.; Davatzikos, C.; Paragios, N. Deformable medical image registration: A survey. IEEE Trans. Med. Imaging 2013, 32, 1153–1190. [Google Scholar] [CrossRef] [PubMed]
- Feng, Q.; Zhou, Y.; Li, X.; Mei, Y.; Lu, Z.; Zhang, Y.; Feng, Y.; Liu, Y.; Yang, W.; Chen, W. Liver DCE-MRI registration in manifold space based on robust principal component analysis. Sci. Rep. 2016, 6, 34461. [Google Scholar] [CrossRef]
- Brooks, R.R.; Iyengar, S.S. Multi-Sensor Fusion: Fundamentals and Applications with Software; Prentice-Hall, Inc.: Hillsdale, NJ, USA, 1998. [Google Scholar]
- Wang, C.W.; Gosno, E.B.; Li, Y.S. Fully automatic and robust 3D registration of serial-section microscopic images. Sci. Rep. 2015, 5, 15051. [Google Scholar] [CrossRef]
- Wang, C.W.; Ka, S.M.; Chen, A. Robust image registration of biological microscopic images. Sci. Rep. 2014, 4, 6050. [Google Scholar] [CrossRef] [PubMed]
- Matsuda, A.; Schermelleh, L.; Hirano, Y.; Haraguchi, T.; Hiraoka, Y. Accurate and fiducial-marker-free correction for three-dimensional chromatic shift in biological fluorescence microscopy. Sci. Rep. 2018, 8, 7583. [Google Scholar] [CrossRef]
- Lucas, B.D.; Kanade, T. An iterative image registration technique with an application to stereo vision. In Proceedings of the Image Understanding Workshop, Vancouver, BC, Canada, 24–28 August 1981. [Google Scholar]
- Wang, Y.J.; Chen, P.J.; Liang, X.; Lin, Y.H. Augmented reality with image registration, vision correction and sunlight readability via liquid crystal devices. Sci. Rep. 2017, 7, 433. [Google Scholar] [CrossRef]
- Brock, K.K.; Dawson, L.A.; Sharpe, M.B.; Moseley, D.J.; Jaffray, D.A. Feasibility of a novel deformable image registration technique to facilitate classification, targeting, and monitoring of tumor and normal tissue. Int. J. Radiat. Oncol. Biol. Phys. 2006, 64, 1245–1254. [Google Scholar] [CrossRef] [PubMed]
- Thompson, P.M.; Giedd, J.N.; Woods, R.P.; MacDonald, D.; Evans, A.C.; Toga, A.W. Growth patterns in the developing brain detected by using continuum mechanical tensor maps. Nature 2000, 404, 190–193. [Google Scholar] [CrossRef]
- Vemuri, B.C.; Ye, J.; Chen, Y.; Leonard, C.M. Image registration via level-set motion: Applications to atlas-based segmentation. Med. Image Anal. 2003, 7, 1–20. [Google Scholar] [CrossRef]
- Oliveira, F.P.; Tavares, J.M.R. Medical image registration: A review. Comput. Methods Biomech. Biomed. Eng. 2014, 17, 73–93. [Google Scholar] [CrossRef]
- Johnson, H.J.; Christensen, G.E. Consistent landmark and intensity-based image registration. IEEE Trans. Med. Imaging 2002, 21, 450–461. [Google Scholar] [CrossRef]
- Ghanbari, A.; Abbasi-Asl, R.; Ghaffari, A.; Fatemizadeh, E. Automatic b-spline image registration using histogram-based landmark extraction. In Proceedings of the 2012 IEEE-EMBS Conference on Biomedical Engineering and Sciences, Langkawi, Malaysia, 17–19 December 2012; pp. 1004–1008. [Google Scholar]
- Shen, D.; Davatzikos, C. HAMMER: Hierarchical attribute matching mechanism for elastic registration. IEEE Trans. Med. Imaging 2002, 21, 1421–1439. [Google Scholar] [CrossRef]
- Liao, S.; Chung, A.C. Feature based nonrigid brain MR image registration with symmetric alpha stable filters. IEEE Trans. Med. Imaging 2010, 29, 106–119. [Google Scholar] [CrossRef]
- Abbasi-Asl, R.; Fatemizadeh, E. MMRO: A feature selection criterion for mr images based on alpha stable filter responses. In Proceedings of the 7th Iranian Conference on Machine Vision and Image Processing (MVIP), Tehran, Iran, 16–17 November 2011; pp. 1–5. [Google Scholar]
- Wells, W.M.; Viola, P.; Atsumi, H.; Nakajima, S.; Kikinis, R. Multi-modal volume registration by maximization of mutual information. Med. Image Anal. 1996, 1, 35–51. [Google Scholar] [CrossRef]
- Maes, F.; Collignon, A.; Vandermeulen, D.; Marchal, G.; Suetens, P. Multimodality image registration by maximization of mutual information. IEEE Trans. Med. Imaging 1997, 16, 187–198. [Google Scholar] [CrossRef]
- Guyader, J.M.; Huizinga, W.; Poot, D.H.; van Kranenburg, M.; Uitterdijk, A.; Niessen, W.J.; Klein, S. Groupwise image registration based on a total correlation dissimilarity measure for quantitative MRI and dynamic imaging data. Sci. Rep. 2018, 8, 13112. [Google Scholar] [CrossRef] [PubMed]
- Studholme, C.; Drapaca, C.; Iordanova, B.; Cardenas, V. Deformation-based mapping of volume change from serial brain MRI in the presence of local tissue contrast change. IEEE Trans. Med. Imaging 2006, 25, 626–639. [Google Scholar] [CrossRef]
- Myronenko, A.; Song, X. Intensity-based image registration by minimizing residual complexity. IEEE Trans. Med. Imaging 2010, 29, 1882–1891. [Google Scholar] [CrossRef]
- Ghaffari, A.; Fatemizadeh, E. RISM: Single-modal image registration via rank-induced similarity measure. IEEE Trans. Image Process. 2015, 24, 5567–5580. [Google Scholar] [CrossRef]
- Ghaffari, A.; Fatemizadeh, E. Image Registration based on Low Rank Matrix: Rank-Regularized SSD. IEEE Trans. Med. Imaging 2018, 37, 138–150. [Google Scholar] [CrossRef] [PubMed]
- Afzali, M.; Ghaffari, A.; Fatemizadeh, E.; Soltanian-Zadeh, H. Medical image registration using sparse coding of image patches. Comput. Biol. Med. 2016, 73, 56–70. [Google Scholar] [CrossRef] [PubMed]
- Ghaffari, A.; Fatemizadeh, E. Robust Huber similarity measure for image registration in the presence of spatially-varying intensity distortion. Signal Process. 2015, 109, 54–68. [Google Scholar] [CrossRef]
- Pohl, K.M.; Fisher, J.; Levitt, J.J.; Shenton, M.E.; Kikinis, R.; Grimson, W.E.L.; Wells, W.M. A unifying approach to registration, segmentation, and intensity correction. In Proceedings of the Medical Image Computing and Computer-Assisted Intervention—MICCAI 2005, Palm Springs, CA, USA, 26–29 October 2005; pp. 310–318. [Google Scholar]
- Friston, K.; Ashburner, J.; Frith, C.D.; Poline, J.B.; Heather, J.D.; Frackowiak, R.S. Spatial registration and normalization of images. Hum. Brain Mapp. 1995, 3, 165–189. [Google Scholar] [CrossRef]
- Huang, N.E.; Shen, Z.; Long, S.R.; Wu, M.C.; Shih, H.H.; Zheng, Q.; Yen, N.C.; Tung, C.C.; Liu, H.H. The empirical mode decomposition and the Hilbert spectrum for nonlinear and non-stationary time series analysis. Proc. R. Soc. Lond. Math. Phys. Eng. Sci. R. Soc. 1998, 454, 903–995. [Google Scholar] [CrossRef]
- Riffi, J.; Mahraz, A.M.; Tairi, H. Medical image registration based on fast and adaptive bidimensional empirical mode decomposition. IET Image Process. 2013, 7, 567–574. [Google Scholar] [CrossRef]
- Jinsha, Y.; Zhenbing, Z.; Qiang, G.; Jie, D.; Meng, L. Multimodal image registration based on empirical mode decomposition and mutual information. Chin. J. Sci. Instrum. 2009, 10, 12. [Google Scholar]
- Guryanov, F.; Krylov, A. Fast medical image registration using bidirectional empirical mode decomposition. Signal Process. Image Commun. 2017, 59, 12–17. [Google Scholar] [CrossRef]
- Looney, D.; Mandic, D.P. Multiscale image fusion using complex extensions of EMD. IEEE Trans. Signal Process. 2009, 57, 1626–1630. [Google Scholar] [CrossRef]
- Schafer, R.W.; Rabiner, L.R. A digital signal processing approach to interpolation. Proc. IEEE 1973, 61, 692–702. [Google Scholar] [CrossRef]
- Antonini, M.; Barlaud, M.; Mathieu, P.; Daubechies, I. Image coding using wavelet transform. IEEE Trans. Image Process. 1992, 1, 205–220. [Google Scholar] [CrossRef]
- Wu, Z.; Huang, N.E. A study of the characteristics of white noise using the empirical mode decomposition method. Proc. R. Soc. Lond. Math. Phys. Eng. Sci. R. Soc. 2004, 460, 1597–1611. [Google Scholar] [CrossRef]
- Huang, N.E.; Wu, M.L.; Qu, W.; Long, S.R.; Shen, S.S. Applications of Hilbert–Huang transform to non-stationary financial time series analysis. Appl. Stoch. Model. Bus. Ind. 2003, 19, 245–268. [Google Scholar] [CrossRef]
- Ren, Y.; Suganthan, P.; Srikanth, N. A comparative study of empirical mode decomposition-based short-term wind speed forecasting methods. IEEE Trans. Sustain. Energy 2015, 6, 236–244. [Google Scholar] [CrossRef]
- Park, C.; Looney, D.; ur Rehman, N.; Ahrabian, A.; Mandic, D.P. Classification of motor imagery BCI using multivariate empirical mode decomposition. IEEE Trans. Neural Syst. Rehabil. Eng. 2013, 21, 10–22. [Google Scholar] [CrossRef]
- Hao, H.; Wang, H.; Rehman, N. A joint framework for multivariate signal denoising using multivariate empirical mode decomposition. Signal Process. 2017, 135, 263–273. [Google Scholar] [CrossRef]
- Nunes, J.C.; Bouaoune, Y.; Delechelle, E.; Niang, O.; Bunel, P. Image analysis by bidimensional empirical mode decomposition. Image Vis. Comput. 2003, 21, 1019–1026. [Google Scholar] [CrossRef]
- Chen, Y.; Feng, M.Q. A technique to improve the empirical mode decomposition in the Hilbert-Huang transform. Earthq. Eng. Eng. Vib. 2003, 2, 75–85. [Google Scholar] [CrossRef][Green Version]
- Available online: http://www.bic.mni.mcgill.ca/brainweb/ (accessed on 10 January 2013).
- Rueckert, D.; Sonoda, L.I.; Hayes, C.; Hill, D.L.; Leach, M.O.; Hawkes, D.J. Nonrigid registration using free-form deformations: Application to breast MR images. IEEE Trans. Med. Imaging 1999, 18, 712–721. [Google Scholar] [CrossRef]
- Cocosco, C.A.; Kollokian, V.; Kwan, R.K.S.; Pike, G.B.; Evans, A.C. Brainweb: Online Interface to a 3D MRI Simulated Brain Database. NeuroImage. Citeseer. 1997. Available online: http://www.bic.mni.mcgill.ca/users/crisco/HBM97_poster/HBM97_poster.pdf (accessed on 10 January 2013).
- Available online: http://www.cma.mgh.harvard.edu/ibsr/ (accessed on 10 January 2013).
- Hernandez-Matas, C.; Zabulis, X.; Triantafyllou, A.; Anyfanti, P.; Douma, S.; Argyros, A.A. FIRE: Fundus image registration dataset. Model. Artif. Intell. Ophthalmol. 2017, 1, 16–28. [Google Scholar] [CrossRef]
- Ghassabi, Z.; Shanbehzadeh, J.; Sedaghat, A.; Fatemizadeh, E. An efficient approach for robust multimodal retinal image registration based on UR-SIFT features and PIIFD descriptors. EURASIP J. Image Video Process. 2013, 2013, 25. [Google Scholar] [CrossRef]
- Stewart, C.V.; Tsai, C.L.; Roysam, B. The dual-bootstrap iterative closest point algorithm with application to retinal image registration. IEEE Trans. Med. Imaging 2003, 22, 1379–1394. [Google Scholar] [CrossRef] [PubMed]
- Zana, F.; Meunier, I.; Klein, J. A region merging algorithm using mathematical morphology: Application to macula detection. Comput. Imaging Vis. 1998, 12, 423–430. [Google Scholar]
- Specht, D.F. A general regression neural network. IEEE Trans. Neural Netw. 1991, 2, 568–576. [Google Scholar] [CrossRef] [PubMed]
- Breiman, L. Random forests. Mach. Learn. 2001, 45, 5–32. [Google Scholar] [CrossRef]
- Abbasi-Asl, R.; Yu, B. Structural Compression of Convolutional Neural Networks with Applications in Interpretability. Front. Big Data 2021, 4, 704182. [Google Scholar] [CrossRef] [PubMed]
- Abbasi-Asl, R.; Yu, B. Interpreting Convolutional Neural Networks Through Compression. arXiv 2017, arXiv:1711.02329. [Google Scholar]
- Vellido, A.; Martín-Guerrero, J.D.; Lisboa, P.J. Making machine learning models interpretable. In Proceedings of the ESANN 2012 proceedings: European Symposium on Artificial Neural Networks, Computational Intelligence and Machine Learning, Bruges, Belgium, 25–27 April 2012; Volume 12, pp. 163–172. [Google Scholar]
- Murdoch, W.J.; Singh, C.; Kumbier, K.; Abbasi-Asl, R.; Yu, B. Definitions, methods, and applications in interpretable machine learning. Proc. Natl. Acad. Sci. USA 2019, 116, 22071–22080. [Google Scholar] [CrossRef]
- Abbasi-Asl, R.; Khorsandi, R.; Farzampour, S.; Zahedi, E. Estimation of muscle force with emg signals using hammerstein-wiener model. IFMBE Proc. BIOMED 2011, 35, 157–160. [Google Scholar]
- Hunter, I.W.; Korenberg, M.J. The identification of nonlinear biological systems: Wiener and Hammerstein cascade models. Biol. Cybern. 1986, 55, 135–144. [Google Scholar] [CrossRef]
- Abbasi-Asl, R.; Khorsandi, R.; Vosooghi-Vahdat, B. Hammerstein-Wiener Model: A New Approach to the Estimation of Formal Neural Information. Basic Clin. Neurosci. 2012, 3, 45–51. [Google Scholar]










| Similarity Measure | Method | Convergence % | T-RMSE | I-RMSE |
|---|---|---|---|---|
| SSD | Intensity-based | 61.33% | 2.393 ± 0.375 | 0.075 ± 0.008 |
| LR-EMD | 80% | 2.088 ± 0.309 | 0.073 ± 0.008 | |
| AFR-EMD | 90% | 1.927 ± 0.206 | 0.067 ± 0.007 | |
| CC | Intensity-based | 76% | 2.167 ± 0.341 | 0.069 ± 0.007 |
| LR-EMD | 100% | 2.032 ± 0.323 | 0.069 ± 0.008 | |
| AFR-EMD | 100% | 1.777 ± 0.213 | 0.062 ± 0.007 | |
| RC | Intensity-based | 96% | 1.331 ± 0.142 | 0.048 ± 0.003 |
| LR-EMD | 97.33% | 1.544 ± 0.357 | 0.053 ± 0.009 | |
| AFR-EMD | 100% | 1.217 ± 0.153 | 0.043 ± 0.003 | |
| MI | Intensity-based | 53% | 2.205 ± 0.516 | 0.062 ± 0.009 |
| LR-EMD | 100% | 1.299 ± 0.325 | 0.042 ± 0.008 | |
| AFR-EMD | 100% | 1.054 ± 0.266 | 0.035 ± 0.007 |
| Average MRE | |||
|---|---|---|---|
| Similarity Measure | Intensity-Based | LR-EMD | AFR-EMD |
| SSD | 106.19 | 26.27 | 25.6 |
| CC | 106.19 | 26.27 | 25.6 |
| RC | 22.97 | 15.7 | 18.06 |
| MI | 76.27 | 18.18 | 19.85 |
Publisher’s Note: MDPI stays neutral with regard to jurisdictional claims in published maps and institutional affiliations. |
© 2022 by the authors. Licensee MDPI, Basel, Switzerland. This article is an open access article distributed under the terms and conditions of the Creative Commons Attribution (CC BY) license (https://creativecommons.org/licenses/by/4.0/).
Share and Cite
Abbasi-Asl, R.; Ghaffari, A.; Fatemizadeh, E. Robust Registration of Medical Images in the Presence of Spatially-Varying Noise. Algorithms 2022, 15, 58. https://doi.org/10.3390/a15020058
Abbasi-Asl R, Ghaffari A, Fatemizadeh E. Robust Registration of Medical Images in the Presence of Spatially-Varying Noise. Algorithms. 2022; 15(2):58. https://doi.org/10.3390/a15020058
Chicago/Turabian StyleAbbasi-Asl, Reza, Aboozar Ghaffari, and Emad Fatemizadeh. 2022. "Robust Registration of Medical Images in the Presence of Spatially-Varying Noise" Algorithms 15, no. 2: 58. https://doi.org/10.3390/a15020058
APA StyleAbbasi-Asl, R., Ghaffari, A., & Fatemizadeh, E. (2022). Robust Registration of Medical Images in the Presence of Spatially-Varying Noise. Algorithms, 15(2), 58. https://doi.org/10.3390/a15020058

