On Fast Converging Data-Selective Adaptive Filtering
Abstract
:1. Introduction
2. Problem Description
2.1. Equalization
2.2. Signal Enhancement
2.3. Signal Prediction
2.4. System Identification
3. Data-Selective Adaptive Filtering Algorithms
3.1. LMSN and LMSQN
| Algorithm 1 Data-Selective LMSN and LMSQN algorithms |
| DS-LMSN and DS-LMSQN algorithms |
| Initialize |
| , (for LMSN), small positive constant, |
| random vectors or zero vectors and |
| Prescribe and choose |
| For prediction and equalizer use |
| For system identification use . |
| Do for |
| acquire and |
| if |
| if |
| end if |
| else |
| , for LMSN |
| , for LMSQN |
| end if |
3.2. Online Conjugate Gradient
| Algorithm 2 Data-Selective Conjugate Gradient algorithm |
| DS-CG algorithm |
| Initialize |
| , random vectors or zero vectors |
| , , small constant for regularization |
| Prescribe , and choose |
| For prediction and equalizer use |
| For system identification use . |
| Do for |
| acquire and |
| if |
| if |
| end if |
| else |
| end if |
4. Simulation Results
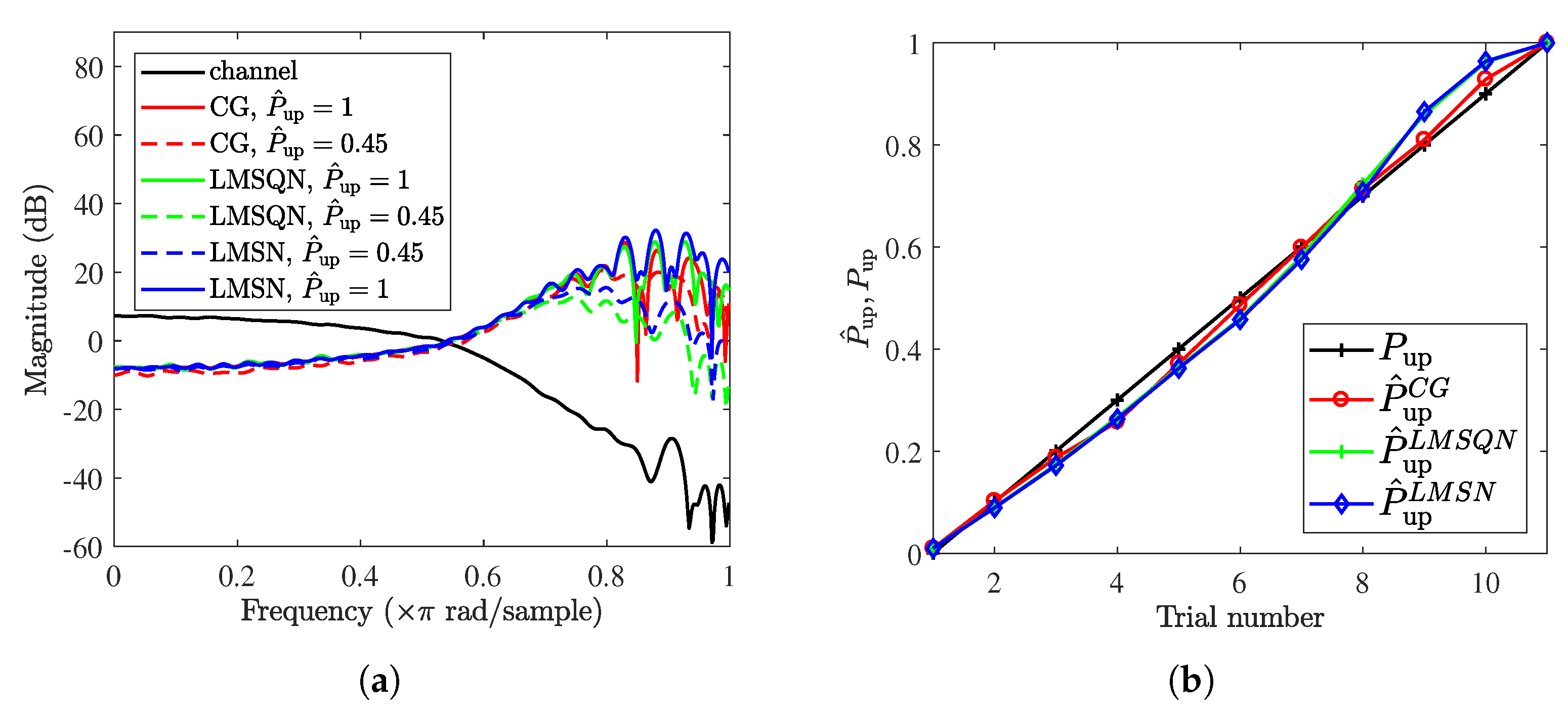
4.1. Simulation 1: Equalizer
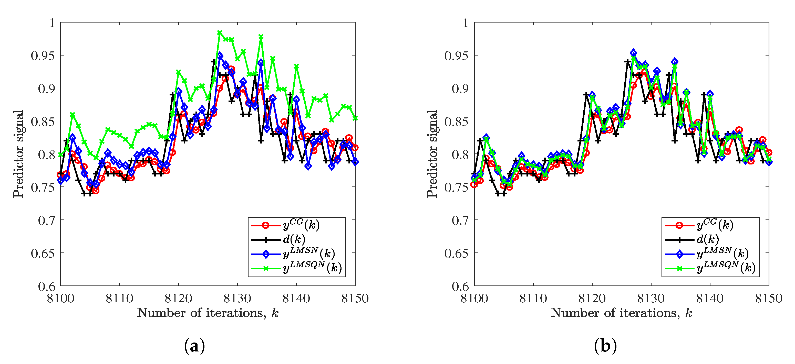
4.2. Simulation 2: Prediction
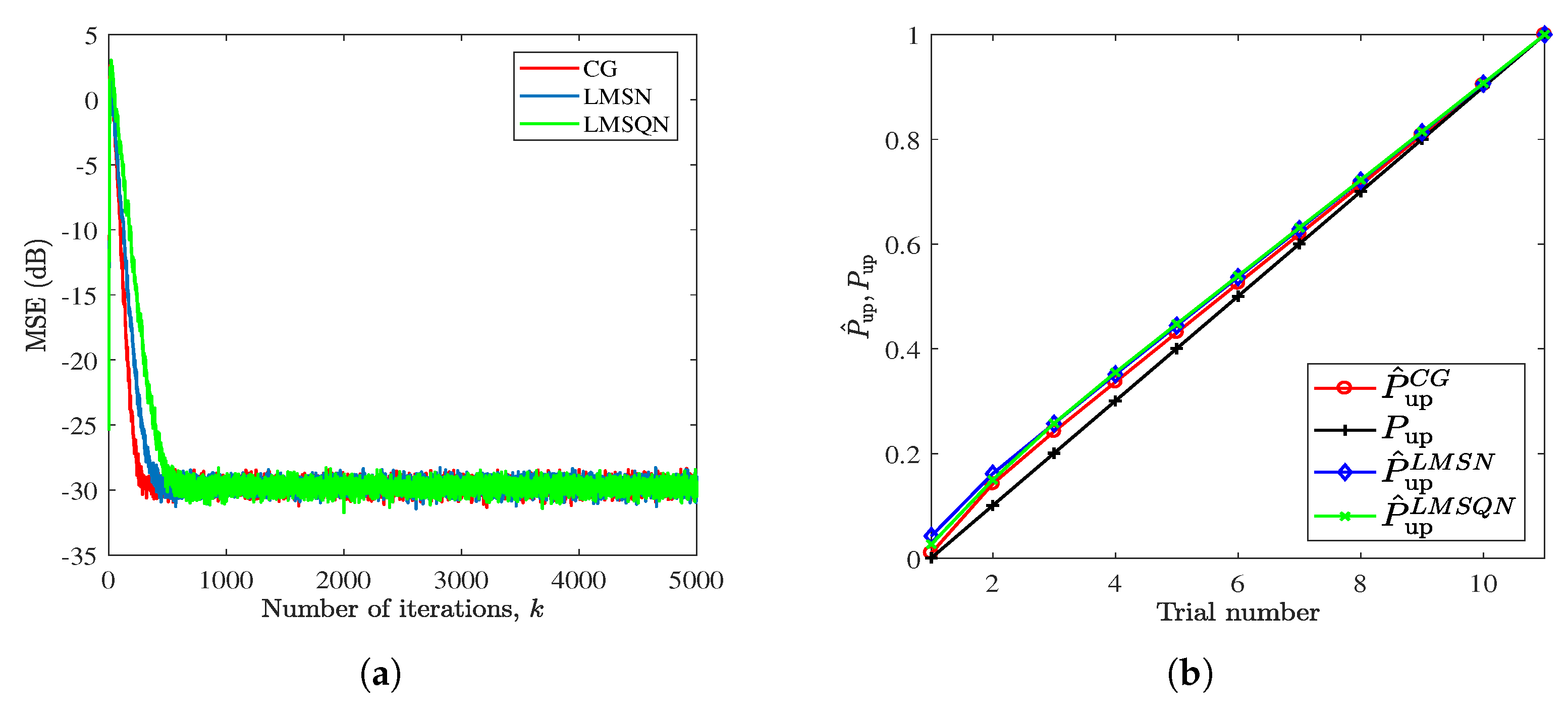
4.3. Simulation 3: System Identification
5. Conclusions
Author Contributions
Funding
Conflicts of Interest
References
- Diniz, P.S.R. On Data-Selective Adaptive Filtering. IEEE Trans. Signal Process. 2018, 66, 4239–4252. [Google Scholar] [CrossRef]
- Diniz, P.S.R.; de Campos, M.L.R.; Antoniou, A. Analysis of LMS-Newton adaptive filtering algorithms with variable convergence factor. IEEE Trans. Signal Process. 1995, 43, 617–627. [Google Scholar] [CrossRef]
- De Campos, M.L.R.; Antoniou, A. A new quasi-Newton adaptive filtering algorithm. IEEE Trans. Circuits Syst. II Analog. Digit. Signal Process. 1997, 44, 924–934. [Google Scholar] [CrossRef]
- Antoniou, A.; Lu, W.S. Practical Optimization—Algorithms and Engineering Applications; Springer: New York, NY, USA, 2007. [Google Scholar]
- Fletcher, R. Practical Methods of Optimization, 2nd ed.; John Wiley & Sons: Cornwall, UK, 2013. [Google Scholar]
- Apolinário, J.A.; de Campos, M.L.R.; Bernal O, C.P. The constrained conjugate gradient algorithm. IEEE Signal Process. Lett. 2000, 7, 351–354. [Google Scholar] [CrossRef]
- Hull, A.W.; Jenkins, W.K. Preconditioned conjugate gradient methods for adaptive filtering. In Proceedings of the IEEE International Sympoisum on Circuits and Systems, Singapore, 11–14 June 1991; pp. 540–543. [Google Scholar]
- Chen, Z.; Li, H.; Rangaswamy, M. Conjugate gradient adaptive matched filter. IEEE Trans. Aerosp. Electron. Syst. 2015, 51, 178–191. [Google Scholar] [CrossRef]
- Zhang, M.; Zhang, A.; Yang, Q. Robust Adaptive Beamforming Based on Conjugate Gradient Algorithms. IEEE Trans. Signal Process. 2016, 4, 6046–6057. [Google Scholar] [CrossRef]
- Marshall, D.F.; Jenkins, W.K. A fast quasi-Newton adaptive filtering algorithm. IEEE Trans. Signal Process. 1992, 40, 1652–1662. [Google Scholar] [CrossRef]
- Glentis, G.; Berberidis, K.; Theodoridis, S. Efficient least squares adaptive algorithms for FIR transversal filtering. IEEE Signal Process. Mag. 1999, 16, 13–41. [Google Scholar] [CrossRef]
- Farhang-Boroujeny, B. Fast LMS/Newton algorithms based on autoregressive modeling and their application to acoustic echo cancellation. IEEE Trans. Signal Process. 1997, 45, 1987–2000. [Google Scholar] [CrossRef]
- Albu, F.; Paleologu, C. The Variable Step-Size Gauss-Seidel Pseudo Affine Projection Algorithm. Int. J. Math. Comput. Phys. Electr. Comput. Eng. 2009, 3, 27–30. [Google Scholar]
- Tsinos, C.G.; Diniz, P.S.R. Data-Selective Lms-Newton And Lms-Quasi-Newton Algorithms. Unpublished work. 2019; under review. [Google Scholar]
- Diniz, P.S.R.; Mendonça, M.O.K.; Ferreira, J.O.; Ferreira, T.N. Data-Selective Conjugate Gradient Algorithm. In Proceedings of the Eusipco: European Signal Processing Conference, Rome, Italy, 3–7 September 2018. [Google Scholar]
- Papoulis, A.; Pillai, S.U. Probability, Random Variables, and Stochastic Processes; McGraw-Hill Education: New York, NY, USA, 2002. [Google Scholar]
- Miller, S.; Childers, D. Probability, and Random Processes, 2nd ed.; Academic Press: Oxford, UK, 2012. [Google Scholar]
- Lima, M.; Diniz, P. Steady-state MSE performance of the set-membership affine projection algorithm. Circuits Syst. Signal Process. 2013, 32, 1811–1837. [Google Scholar] [CrossRef]
- Chang, P.S.; Willson, A.N., Jr. Analysis of conjugate gradient algorithms for adaptive filtering. IEEE Trans. Signal Process. 2000, 48, 409–418. [Google Scholar] [CrossRef]
- SPIB. Signal Processing Information Base. Available online: http://spib.linse.ufsc.br/microwave.html (accessed on 29 November 2018).
- Google. RE < C: Surface Level Wind Data Collection, Google Code. Available online: http://code.google.com/p/google-rec-csp/ (accessed on 29 November 2018).







| Outlier | Yes | Yes | Yes | No | |
|---|---|---|---|---|---|
| on | yes | no | yes | no | |
| 0.3 | 0.3 | 0.1 | 1 | ||
| DS-CG | −33.29 | −15.25 | −30.47 | −33.37 | |
| Average | DS-LMSQN | −32.75 | −15.42 | −32.45 | −32.80 |
| Misalignment (dB) | DS-LMSN | −31.17 | −13.81 | −30.39 | −31.91 |
© 2018 by the authors. Licensee MDPI, Basel, Switzerland. This article is an open access article distributed under the terms and conditions of the Creative Commons Attribution (CC BY) license (http://creativecommons.org/licenses/by/4.0/).
Share and Cite
Mendonça, M.O.K.; Ferreira, J.O.; Tsinos, C.G.; Diniz, P.S.R.; Ferreira, T.N. On Fast Converging Data-Selective Adaptive Filtering. Algorithms 2019, 12, 4. https://doi.org/10.3390/a12010004
Mendonça MOK, Ferreira JO, Tsinos CG, Diniz PSR, Ferreira TN. On Fast Converging Data-Selective Adaptive Filtering. Algorithms. 2019; 12(1):4. https://doi.org/10.3390/a12010004
Chicago/Turabian StyleMendonça, Marcele O. K., Jonathas O. Ferreira, Christos G. Tsinos, Paulo S R Diniz, and Tadeu N. Ferreira. 2019. "On Fast Converging Data-Selective Adaptive Filtering" Algorithms 12, no. 1: 4. https://doi.org/10.3390/a12010004
APA StyleMendonça, M. O. K., Ferreira, J. O., Tsinos, C. G., Diniz, P. S. R., & Ferreira, T. N. (2019). On Fast Converging Data-Selective Adaptive Filtering. Algorithms, 12(1), 4. https://doi.org/10.3390/a12010004

