Tailorable Burning Behavior of Ti14 Alloy by Controlling Semi-Solid Forging Temperature
Abstract
:1. Introduction
2. Experimental Sections
2.1. Sample Preparation
2.2. Burning Test
3. Results and Discussion
3.1. The General Burning Behavior
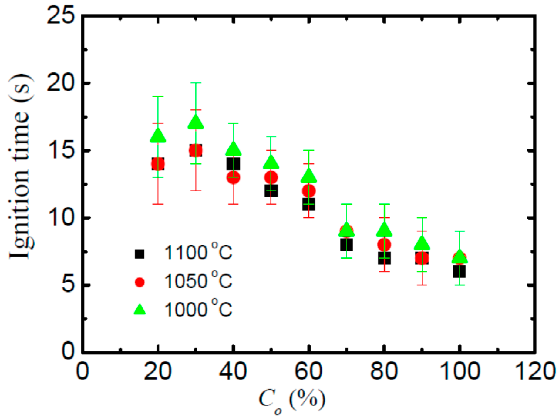
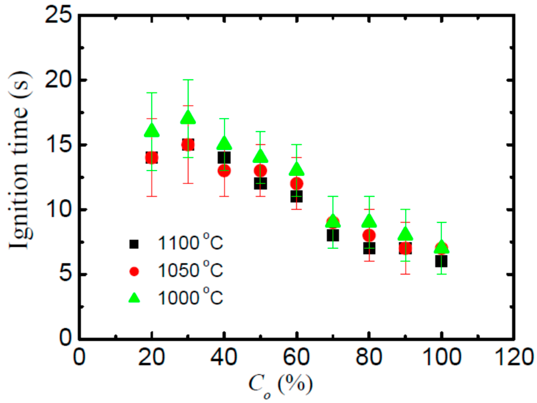
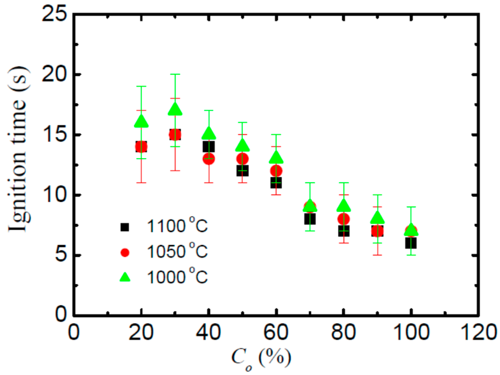
3.2. Ignition Stage
3.3. Stable Burning Stage
4. Conclusions
Acknowledgments
Author Contributions
Conflicts of Interest
References
- Lutering, G.; Willams, J.C. Titanium; Springer: Berlin, Germany, 2003. [Google Scholar]
- Peters, M.; Leyens, C. Titanium and Titanium Alloys; Wiley-VCH: Weinheim, Germany, 2003. [Google Scholar]
- Zheng, Y.F.; Williams, R.E.A.; Sosa, J.M.; Alam, T.; Wang, Y.Z.; Banerjee, R.; Fraser, H.L. The indirect influence of the ω phase on the degree of refinement of distributions of the α phase in metastable β-Titanium alloys. Acta Mater. 2016, 103, 165–173. [Google Scholar] [CrossRef]
- Shanoob, B.; Ankush, K.; Abhik, C.; Dipankar, B.; Rongpei, S.; Wang, Y.Z. On variant distribution and coarsening behavior of the α phase in a metastable β titanium alloy. Acta Mater. 2016, 106, 374–387. [Google Scholar]
- Hayam, A.; Andrade, P.N.; Cremasco, A.; Contieri, R.J.; Afonso, C.R.M.; Caram, R. Effects of composition and heat treatment on the mechanical behavior of Ti-Cu alloys. Mater. Des. 2014, 55, 1006–1013. [Google Scholar] [CrossRef]
- Saray, O.; Purcek, G.; Karaman, I.; Maier, H.J. Improvement of formability of ultrafine-grained materials by post-SPD annealing. Mater. Sci. Eng. A 2014, 619, 119–128. [Google Scholar] [CrossRef]
- Chen, Y.N.; We, J.F.; Zhao, Y.Q. Compressive deformation and forging behavior of Ti14 alloy in semi-solid state. Mater. Sci. Eng. A 2009, 520, 16–26. [Google Scholar] [CrossRef]
- Campo, K.N.; Lima, D.D.; Lopes, E.S.N.; Caram, R. On the selection of Ti–Cu alloys for thixoforming processes: Phase diagram and microstructural evaluation. J. Mater. Sci. 2015, 50, 8007–8017. [Google Scholar] [CrossRef]
- Chen, Y.N.; Luo, C.; Wei, J.F.; Zhao, Y.Q.; Ma, X.D. Characterization of semisolid deformation behavior and constitutive analysis of Ti230 alloy. Mech. Time-Depend. Mater. 2015, 19, 325–334. [Google Scholar] [CrossRef]
- Chen, Y.N.; Liu, G.; Zhao, Y.Q.; Zhang, X.M. Formability of Ti14 alloy during semisolid deformation. Mater. Sci. Technol. 2012, 28, 549–552. [Google Scholar] [CrossRef]
- Zabler, S.; Ershov, A.; Rack, A.; Garcia-Moreno, F.; Baumbach, T.; Banhart, J. Particle and liquid motion in semi-solid aluminum alloys: A quantitative in situ microradioscopy study. Acta Mater. 2013, 61, 1244–1253. [Google Scholar] [CrossRef]
- Sajjadi, S.A.; Mezatpour, H.R.; Parizi, M.T. Comparison of microstructure and mechanical properties of A356 aluminum alloy/Al2O3 composites fabricated by stir and compo-casting processes. Mater. Des. 2011, 34, 106–111. [Google Scholar] [CrossRef]
- Puncreobutr, C.; Lee, P.D.; Kareh, K.M.; Connolley, T.; Fife, J.L.; Phillion, A.B. Influence of Fe-rich intermetallics on solidification defects in Al-Si-Cu alloys. Acta Mater. 2014, 68, 42–51. [Google Scholar] [CrossRef]
- Reis, A.A.; Oliveira, J.R.; Oliveira, R.M.; Vieira, E.A. Thixoforging of Al-3.8%Si alloy recycled from aluminum cans. Mater. Sci. Eng. A 2014, 607, 219–225. [Google Scholar] [CrossRef]
- Cai, B.; Lee, P.D.; Karagadde, S.; Marrow, T.J.; Connolley, T. Time-resolved synchrotron tomographic quantification of deformation during indentation of an equiaxed semi-solid granular alloy. Acta Mater. 2016, 105, 338–346. [Google Scholar] [CrossRef]
- Fu, H.; Li, H.; Fang, D.Q.; Cai, X.C.; Peng, Q. High ductility of a bi-modal Mg-7wt. %Y alloy at low temperature prepared by high pressure boriding and semi-solid extrusion. Mater. Des. 2016, 92, 240–245. [Google Scholar] [CrossRef]
- Guan, R.G.; Zhao, Z.Y.; Zhang, H.; Lian, C.; Lee, C.S.; Liu, C.M. Microstructure evolution and properties of Mg–3Sn–1Mn (wt. %) alloy strip processed by semisolid rheo-rolling. J. Mater. Process. Technol. 2012, 6, 1430–1436. [Google Scholar] [CrossRef]
- Chen, Y.S.; Zhang, L.; Liu, W.C.; Ding, W. Preparation of Mg-Nd-Zn-(Zr) alloys semisolid slurry by electromagnetic stirring. Mater. Des. 2016, 95, 398–409. [Google Scholar] [CrossRef]
- Fonseca, J.; Sullivan, C.; Nagira, T.; Yasuda, H.; Gourlay, C.M. In situ study of granular micromechanics in semi-solid carbon steels. Acta Mater. 2013, 61, 4169–4179. [Google Scholar] [CrossRef]
- Gua, G.C.; Pesci, R.; Langlois, L.; Becker, E.; Bigot, R.; Guo, M.X. Microstructure observation and quantification of the liquid fraction of M2 steel grade in the semi-solid state, combining confocal laser scanning microscopy and X-ray microtomography. Acta Mater. 2014, 66, 118–131. [Google Scholar] [CrossRef]
- Püttgen, W.; Hallstedt, B.; Bleck, W.; Löffler, J.F.; Uggowitzer, P.J. On the microstructure and properties of 100Cr6 steel processed in the semi-solid state. Acta Mater. 2007, 55, 6553–6561. [Google Scholar] [CrossRef]
- Flemings, M.C. Solidification Processing; McGraw Hill: New York, NY, USA, 1974. [Google Scholar]
- Flemings, M.C. Behavior of metal alloys in the semisolid state. Metall. Trans. A 1991, 22, 957–981. [Google Scholar] [CrossRef]
- Atkinson, H.V. Modelling the semisolid processing of metallic alloys. Prog. Mater. Sci. 2005, 50, 341–412. [Google Scholar] [CrossRef]
- Atkinson, H.V. Current status of semi-solid processing of metallic materials. Adv. Mater. Form. 2007, 81–98. [Google Scholar] [CrossRef]
- Douglas, C.H.; Scott, N.R. Infrared thermal processing history of a Ti-based bulk metallic glass matrix composite manufactured via semi-solid forging. Acta Mater. 2015, 95, 192–200. [Google Scholar]
- Haghdadi, N.; Zarei-Hanzaki, A.; Heshmati-Manesh, S.; Abedi, R.; Hassas-Irani, S.B. The semisolid microstructural evolution of a severely deformed A356 aluminum alloy. Mater. Des. 2013, 49, 878–887. [Google Scholar] [CrossRef]
- Canyook, R.; Wannasin, J.; Wisuthmethangkul, S.; Flemings, M.C. Characterization of the microstructure evolution of a semi-solid metal slurry during the early stages. Acta Mater. 2012, 60, 3501–3510. [Google Scholar] [CrossRef]
- Khosravani, A.; Aashuri, H.; Davami, P.; Narimannezhad, A.; Hadian, R. Liquid segregation behavior of semi-solid AZ91 alloy during back extrusion test. J. Alloys Compd. 2009, 477, 822–827. [Google Scholar] [CrossRef]
- Muenstermanna, S.; Telle, R. Wear and corrosion resistance of alumina dies for isothermal semi-solid processing of steel. Wear 2009, 267, 1566–1573. [Google Scholar] [CrossRef]
- Terzi, S.; Salvo, L.; Suery, M.; Dahle, A.K.; Boller, E. Coarsening mechanisms in a dendritic Al–10% Cu alloy. Acta Mater. 2010, 58, 20–30. [Google Scholar] [CrossRef]
- Chen, C.P.; Tsao, C.Y.A. Semi-solid deformation of non-dendric structures-I. Phenomenological behavior. Acta Mater. 1996, 45, 1955–1961. [Google Scholar] [CrossRef]
- Chen, Y.N.; Wei, J.F.; Zhao, Y.Q.; Sun, J. Effect of semi-solid forging temperature on microstructure and mechanical properties of Ti14 alloy. J. Alloys Compd. 2009, 487, 314–320. [Google Scholar] [CrossRef]
- Chen, Y.N.; Luo, C.; Wei, J.F.; Zhao, Y.Q.; Xu, Y.K. Liquid Segregation Phenomenological Behaviors of Ti14 Alloy during Semisolid Deformation. Adv. Mech. Eng. 2014, 6, 1–8. [Google Scholar] [CrossRef]
- Zhao, Y.Q.; Zhou, L.; Deng, J. Effects of the alloying element Cr on the burning behavior of titanium alloys. J. Alloys Compd. 1999, 284, 190–193. [Google Scholar]
- Li, B.; Ding, R.D.; Shen, Y.F.; Hu, Y.; Guo, Y. Preparation of Ti-Cr and Ti-Cu flame-retardant coatings on Ti-6Al-4V using a high-energy mechanical alloying method. Mater. Des. 2012, 35, 25–36. [Google Scholar] [CrossRef]
- Zhao, Y.Q.; Zhao, X.M.; Zhu, K. Burn resistant properties and microstructure of Ti-Cu-Al alloy. Rare Mater. Eng. 1998, 27, 11–14. [Google Scholar]
- Shmakov, A.G.; Korobeinichev, O.P.; Knyazkov, D.A.; Paletsky, A.A.; Maksutov, R.A.; Gerasimov, I.E.; Bolshova, T.A.; Kiselev, V.G.; Gritsan, N.P. Combustion chemistry of Ti(OC3H7)4 in premixed flat burner-stabilized H2/O2/Ar flame at 1 atm. Proceed. Combust. Inst. 2013, 34, 1143–1149. [Google Scholar] [CrossRef]
- Rosa, R.; Veronesi, P.; Casagrande, A.; Leonelli, C. Microwave ignition of the combustion synthesis of aluminides and field-related effects. J. Alloys Compd. 2016, 657, 59–67. [Google Scholar] [CrossRef]
- Mi, G.B.; Huang, X.; Cao, J.X.; Huang, X.S. Frictional ignition of Ti40 fire proof titanium alloys for aero-engine in oxygen-containing media. Trans. Nonferr. Met. Soc. China 2013, 23, 2270–2275. [Google Scholar] [CrossRef]
- Schiemann, M.; Bergthorson, J.; Fischer, P.; Scherer, V.; Taroata, D.; Schmid, G. A review on lithium combustion. Appl. Energy 2016, 162, 948–965. [Google Scholar] [CrossRef]
- Delgado, A.; Shafirovich, E. Towards better combustion of lunar regolith with magnesium. Combust. Flame 2013, 160, 1876–1882. [Google Scholar] [CrossRef]
- Nelson, L.S. Explosion of Burning Zirconium Droplets Caused by Nitrogen. Science 1965, 148, 1594–1595. [Google Scholar] [CrossRef] [PubMed]
- Gromov, A.; Igorevna, Y.; Pautova, Y.I.; Lider, A.M.; Korotkikh, A.G.; Teipel, U.; Chaplina, E.V.; Sigfusson, T.I. Interaction of powdery Al, Zr and Ti with atmospheric nitrogen and subsequent nitride formation under the metal powder combustion in air. Power Technol. 2011, 214, 229–236. [Google Scholar] [CrossRef]
- Molodetsky, I.E.; Vicenzi, E.P.; Dreizin, E.L.; Law, C.K. Phases of titanium combustion in air. Combust. Flame 1998, 112, 522–532. [Google Scholar] [CrossRef]
- Stephen, R.T. An Introduction to Combustion: Concepts and Application; McGraw-Hill Higher Education: New York, NY, USA, 2000. [Google Scholar]
- Angel, A.M.; Melvyn, C.; Daily, J.W. Ignition and combustion of bulk titanium and magnesium at normal and reduced gravity. Symp. (Int.) Combust. 1996, 26, 1929–1936. [Google Scholar]
- Shafirovich, E.; Teoh, S.K.; Varma, A. Combustion of levitated titanium particles in air. Combust. Flame 2008, 152, 262–271. [Google Scholar] [CrossRef]
- Chen, Y.N.; Huo, Y.Z.; Song, X.D.; Bi, Z.Z.; Gao, Y.; Zhao, Y.Q. Burn-resistant behavior and mechanism of Ti14 alloy. Int. J. Minera Metall. Mater. 2016, 23, 215–221. [Google Scholar] [CrossRef]
- Zanotti, C.; Giuliani, P.; Terrosu, A.; Gennari, S.; Maglia, F. Porous Ni-Ti ignition and combustion synthesis. Intermetallics 2007, 15, 404–412. [Google Scholar] [CrossRef]
- Mukasyan, A.S.; Vadchenko, S.G.; Khomenko, I.O. Combustion Modes in the Titanium-Nitrogen System at Low Nitrogen Pressures. Combust. Flame 1997, 111, 65–72. [Google Scholar] [CrossRef]
- Marstekin, G.H. Heterogeneous reaction processes in metal combustion. Symp. (Int.) Combust. 1967, 11, 219–234. [Google Scholar]









| Properties | fv (%) | UTS (MPa) | ∆UTS (%) | YS (MPa) | ∆YS (%) | El (%) | ∆El (%) |
|---|---|---|---|---|---|---|---|
| SF 950 °C | 18 | 790 | - | 625 | - | 15 | - |
| SSF 1000 °C | 33 | 990 | 25.3 | 880 | 40.8 | 9 | −40 |
| SSF 1050 °C | 35 | 970 | 22.3 | 855 | 36.8 | 8.5 | −43.0 |
| SSF 1100 °C | 39 | 900 | 14.0 | 800 | 28 | 6.5 | −56 |
| Burning Stage | Chemical Reaction | Notation. |
|---|---|---|
| I | a | |
| II | b | |
| c | ||
| d | ||
| e | ||
| f |
© 2016 by the authors; licensee MDPI, Basel, Switzerland. This article is an open access article distributed under the terms and conditions of the Creative Commons Attribution (CC-BY) license (http://creativecommons.org/licenses/by/4.0/).
Share and Cite
Chen, Y.; Yang, W.; Zhan, H.; Zhang, F.; Huo, Y.; Zhao, Y.; Song, X.; Gu, Y. Tailorable Burning Behavior of Ti14 Alloy by Controlling Semi-Solid Forging Temperature. Materials 2016, 9, 697. https://doi.org/10.3390/ma9080697
Chen Y, Yang W, Zhan H, Zhang F, Huo Y, Zhao Y, Song X, Gu Y. Tailorable Burning Behavior of Ti14 Alloy by Controlling Semi-Solid Forging Temperature. Materials. 2016; 9(8):697. https://doi.org/10.3390/ma9080697
Chicago/Turabian StyleChen, Yongnan, Wenqing Yang, Haifei Zhan, Fengying Zhang, Yazhou Huo, Yongqing Zhao, Xuding Song, and Yuantong Gu. 2016. "Tailorable Burning Behavior of Ti14 Alloy by Controlling Semi-Solid Forging Temperature" Materials 9, no. 8: 697. https://doi.org/10.3390/ma9080697
APA StyleChen, Y., Yang, W., Zhan, H., Zhang, F., Huo, Y., Zhao, Y., Song, X., & Gu, Y. (2016). Tailorable Burning Behavior of Ti14 Alloy by Controlling Semi-Solid Forging Temperature. Materials, 9(8), 697. https://doi.org/10.3390/ma9080697
