Experimental Study of Damage Evolution in Circular Stirrup-Confined Concrete
Abstract
:1. Introduction
2. Specimen Tests
2.1. Materials
2.2. Specimen Design
2.3. Test Procedure
3. Test Results
3.1. Monotonic Loading Tests
3.2. Cyclic Loading Tests
- When the load reached a certain level, complete unloading always led to plastic deformation. The strain of unloading points increased with the loading/unloading process progressed.
- The curves showed obvious stiffness degradation during unloading process. With loading cycles increased, the unloading elastic modulus decreased continuously.
- The stirrup-confined concrete bore more loading/unloading cycles with higher ultimate strain compared with the unconfined concrete when failure occurred.
3.3. Failure Modes
4. Analysis and Discussions
4.1. Strength and Ductility of Stirrup-Confined Concrete
4.2. Damage Evolution of Stirrup-Confined Concrete
4.2.1. Plastic Strain
4.2.2. Effects on Concrete Damage Evolution
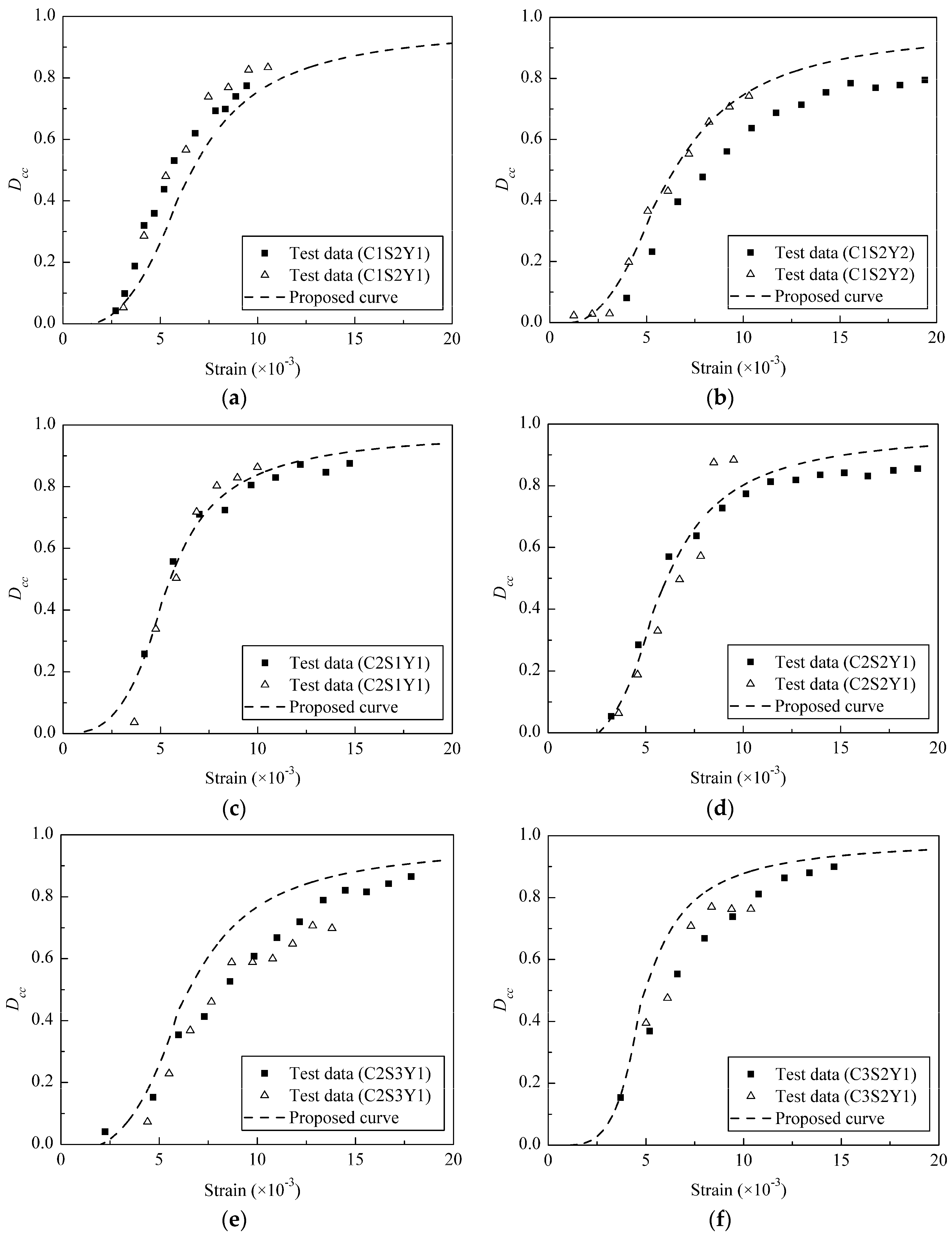
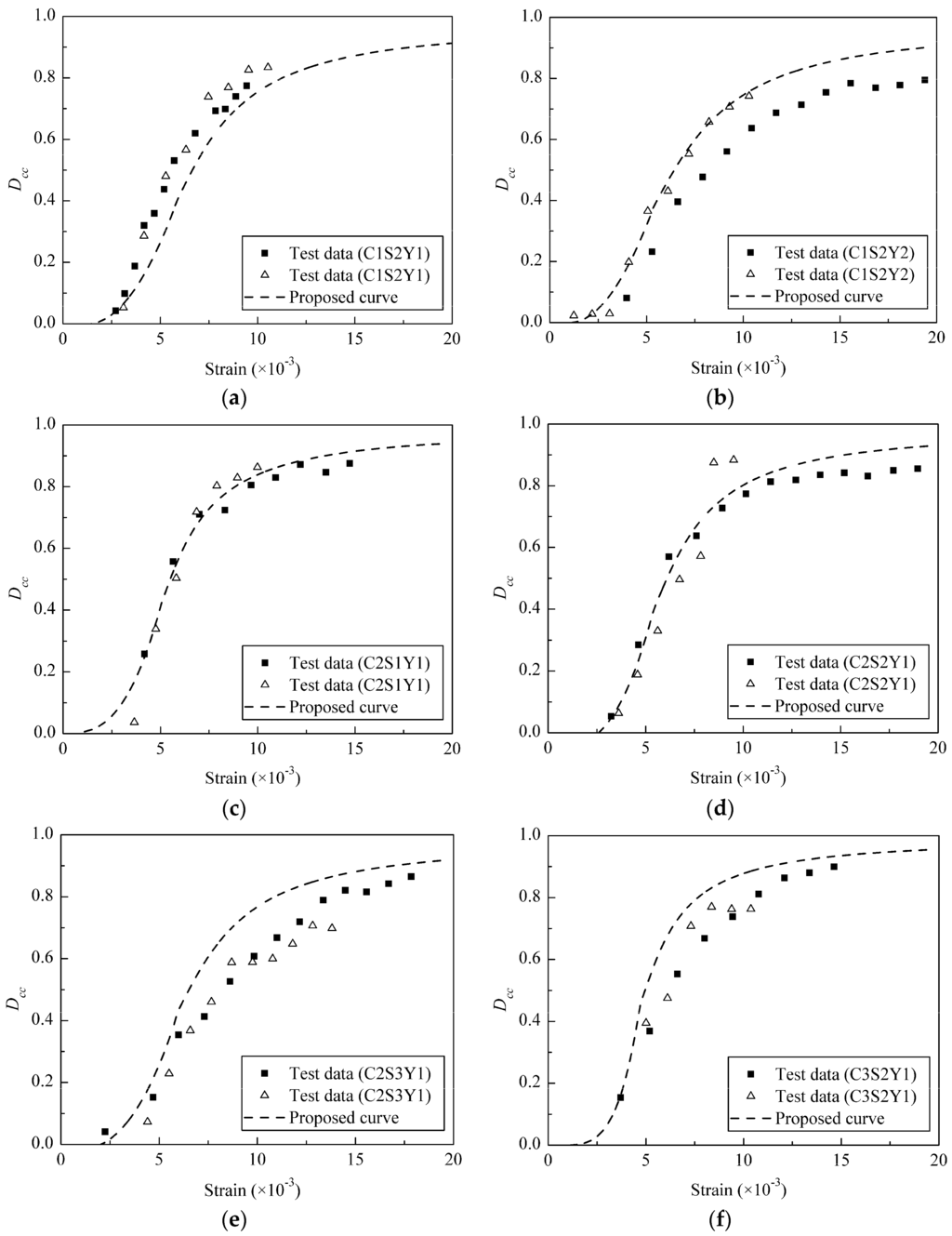
4.3. Proposed Damage Evolution Equation
- In the elastic stage (Curve OA in Figure 8), no damage appeared, meant D was very small (close or equal to zero).
- Plastic stage 1 included the ascending branch before peak stress and the declining branch after peak stress up to interval point. In the ascending branch, microcracks formed quickly, which resulted in rapid damage evolution, although with a small amount of damage (Curve AB in Figure 8). After peak stress, the crack merging processes progressed further, and damage accumulated during this stage. However, damage began to stabilize because of stirrup confinement effect (Curve BC in Figure 8).
- In plastic stage 2, few new microcracks were generated, and damage increased very slowly while loading increased continuously until failure occurred (Curve CD in Figure 8).
5. Conclusions
- Strength and ductility of reinforced concrete can be improved by stirrup confinement effect. The ratio fcc/fc0 was introduced to describe the concrete strength improvement, which ranged from 1.07 to 1.19; additionally, the peak strain and ultimate strain displayed remarkable enhancements, as εcc/εc0 and εccu/εcu were in the range of 1.43–2.12 and 1.70–2.79, respectively.
- The stirrup-confined concrete specimens showed clear transverse expansion instead of brittle failure, and the stirrups bowed out when failure occurred. The stirrups with lower stirrup volume ratios show limited confinement effect. At higher stirrup volume ratios, the stirrups provide higher confinement effect. Thus, the stirrup volume ratios play an important role in transverse confining of concrete.
- Confining pressure from stirrups reduces microcrack formation and restrained the damage evolution of concrete. As stirrup volume ratio increases, the stirrups provide a stronger transverse confining pressure, further restraining the damage evolution of concrete. Higher stirrup yield strength can generate a larger confining pressure, which would inhibit damage evolution. Due to the brittleness of high-strength concrete, growth and merging of microcracks proceed rapidly, causing the acceleration of damage evolution.
- Based on experimental results, a plastic strain expression was proposed, and a confinement factor (C) was introduced to the proposed damage evolution equation, to describe the effects of various confinement parameters on concrete damage evolution. The established damage evolution model can well represent the whole damage evolution process in circular stirrup-confined concrete. Because of less confinement parameters involved, the model can be conveniently applied to evaluate the plastic damage behavior of circular stirrup-confined concrete with reasonable accuracy.
- Evidently, more test results are needed to fully validate the proposed model. In addition, the size effect of specimen on damage evolution model was not considered in the present study. As such, the proposed damage evolution model for circular stirrup-confined concrete can be refined in future research works.
Acknowledgments
Author Contributions
Conflicts of Interest
Abbreviations
| IoT | Internet of Things |
| NDT | Non Destructive Testing |
| LVDT | Linear Variable Differential Transformer |
List of Symbols
| d | Stirrup diameter |
| s | Stirrup spacing |
| ρv | Stirrup volume ratio |
| λv | Stirrup characteristic value |
| fy | Stirrup yield strength |
| fcu | Cubic compressive strength of the concrete |
| F0 | Ultimate load of the unconfined concrete |
| Fc | Ultimate load of the stirrup-confined concrete |
| E0 | Elastic modulus of the unconfined concrete |
| Ec | Elastic modulus of the confined concrete |
| Eu | Secant stiffness of the line connecting present unloading point to next loading point |
| fc0 | Peak compressive stress of the unconfined concrete |
| fcc | Peak compressive stress of the stirrup-confined concrete |
| ε | Strain |
| Δε | Strain increment |
| εc0 | Peak compressive strain corresponding to fc0 |
| εcc | Peak compressive strain corresponding to fcc |
| εcu | Ultimate compressive strain of the unconfined concrete |
| εccu | Ultimate compressive strain of the stirrup-confined concrete |
| εce | Elastic compressive limit strain of the stirrup-confined concrete |
| εp | Plastic strain |
| εin | Plastic strain at the interval point |
| Dc | Damage indicator of unconfined concrete |
| Dcc | Damage indicator of stirrup-confined concrete |
| C | Confinement factor |
| Cin | Confinement factor corresponding to εin |
| Yc | Damage energy release rate function |
Appendix



References
- Considère, A.; Moisseiff, L.S. Experimental Research on Reinforced Concrete; McGraw Publishing: New York, NY, USA, 1906. [Google Scholar]
- Richart, F.E.; Brandtzaeg, A.; Brown, R.L. A Study of the Failure of Concrete under Combined Compressive Stresses; Bulletin No. 185; Engineering Experimental Station, University of Illinois: Urbana, IL, USA, 1928. [Google Scholar]
- Kent, D.C.; Park, R. Flexural members with confined concrete. J. Struct. Div. ASCE 1971, 97, 1969–1990. [Google Scholar]
- Sheikh, S.A.; Uzumeri, S.M. Strength and ductility of tied concrete columns. J. Struct. Div. ASCE 1980, 106, 1079–1102. [Google Scholar]
- Mander, J.B.; Priestley, M.J.N.; Park, R. Observed Stress-Strain Behavior of Confined Concrete. J. Struct. Eng. 1988, 114, 1827–1849. [Google Scholar] [CrossRef]
- Karabinis, A.I.; Kiousis, P.D. Effects of confinement on concrete columns: Plasticity approach. J. Struct. Eng. ASCE 1994, 120, 2747–2767. [Google Scholar] [CrossRef]
- Spoelstra, M.R.; Monti, G. FRP-confined concrete model. J. Compos. Constr. 1999, 3, 143–150. [Google Scholar] [CrossRef]
- Montoya, E.; Vecchio, F.J.; Sheikh, S.A. Numerical evaluation of the behaviour of steel- and FRP-confined concrete columns using compression field modeling. Eng. Struct. 2004, 26, 1535–1545. [Google Scholar] [CrossRef]
- Papanikolaou, V.K.; Kappos, A.J. Confinement-sensitive plasticity constitutive model for concrete in triaxial compression. Int. J. Solids Struct. 2007, 44, 7021–7048. [Google Scholar] [CrossRef]
- Rousakis, T.C.; Karabinis, A.I.; Kiousis, P.D.; Tepfers, R. Analytical modelling of Plastic Behaviour of Uniformly FRP Confined Concrete Members. Compos. B Eng. 2008, 39, 1104–1113. [Google Scholar] [CrossRef]
- Karabinis, A.I.; Rousakis, T.C.; Manolitsi, G. 3D Finite Element Analysis of Substandard Columns Strengthened by Fiber Reinforced Polymer Sheets. J. Compos. Constr. 2008, 12, 531–540. [Google Scholar] [CrossRef]
- Monti, G.; Nisticò, N. Square and rectangular concrete columns confined by CFRP: Experimental and numerical investigation. Mech. Compos. Mater. 2008, 44, 289–308. [Google Scholar] [CrossRef]
- Moghaddam, H.; Samadi, M.; Pilakoutas, K.; Mohebbi, S. Axial compressive behavior of concrete actively confined by metal strips; part A: Experimental study. Mater. Struct. 2010, 43, 1369–1381. [Google Scholar] [CrossRef]
- Jiang, J.F.; Wu, Y.F. Identification of material parameters for Drucker-Prager plasticity model for FRP confined circular concrete columns. Int. J. Solids Struct. 2012, 49, 445–456. [Google Scholar] [CrossRef]
- Peter, G.; Dimitrios, X.; Ulrika, N.; Rasmus, R.; Kent, G. CDPM2: A damage-plasticity approach to modelling the failure of concrete. Int. J. Solids Struct. 2013, 15, 3805–3816. [Google Scholar]
- Nisticò, N.; Monti, G. RC square sections confined by FRP: Analytical prediction of peak strength. Compos. B Eng. 2013, 45, 127–137. [Google Scholar] [CrossRef]
- Nisticò, N.; Pallini, F.; Rousakis, T.; Wu, Y.F.; Karabinis, A. Peak strength and ultimate strain prediction for FRP confined square and circular concrete sections. Compos. B Eng. 2014, 67, 543–554. [Google Scholar] [CrossRef]
- Gambarelli, S.; Nisticò, N.; Ožbolt, J. Numerical analysis of compressed concrete columns confined with CFRP: Microplane-based approach. Compos. B Eng. 2014, 67, 303–312. [Google Scholar] [CrossRef]
- Nisticò, N. RC square sections confined by FRP: A numerical procedure for predicting stress-strain relationships. Compos. B Eng. 2014, 59, 238–247. [Google Scholar] [CrossRef]
- Wei, Y.; Wu, Y.F. Compression behavior of concrete columns confined by high strength steel wire. Constr. Build. Mater. 2014, 54, 443–453. [Google Scholar] [CrossRef]
- Cusson, D.; Paultre, P. High-strength concrete columns confined by rectangular ties. J. Struct. Eng. 1994, 120, 783–804. [Google Scholar] [CrossRef]
- Sheikh, S.A.; Uzumeri, S.M. Analytical model for concrete confinement in tied columns. J. Struct. Div. ASCE 1982, 108, 2703–2722. [Google Scholar]
- Mander, J.B.; Priestley, M.J.N.; Park, R. Theoretical stress-strain model for confined concrete columns. J. Struct. Eng. 1988, 114, 1804–1826. [Google Scholar] [CrossRef]
- Saatcioglu, M.; Razvi, S.R. Strength and ductility of confined concrete. J. Struct. Eng. 1992, 118, 1590–1607. [Google Scholar] [CrossRef]
- Cusson, D.; Paultre, P. Stress-strain model for confined high-strength concrete. J. Struct. Eng. 1995, 12, 468–477. [Google Scholar] [CrossRef]
- Moghaddam, H.; Samadi, M.; Pilakoutas, K. Compressive behavior of concrete actively confined by metal strips, part B: Analysis. Mater. Struct. 2010, 43, 1383–1396. [Google Scholar] [CrossRef]
- Samani, A.K.; Attard, M.M. A stress-strain model for uniaxial and confined concrete under compression. Eng. Struct. 2012, 41, 335–349. [Google Scholar] [CrossRef]
- Chen, W.F. Constitutive Equations for Engineering Materials. Volume 2: Plasticity and Modeling; Elsevier: New York, NY, USA, 1994. [Google Scholar]
- Chen, W.F. Plasticity in Reinforced Concrete; McGraw-Hill: New York, NY, USA, 1982. [Google Scholar]
- Krajcinovic, D. Damage mechanics: Accomplishments, trends and needs. Int. J. Solids Struct. 2000, 37, 267–277. [Google Scholar] [CrossRef]
- Shaochun, M.; Nan, J. Seismic Experimental Study on New-Type Composite Exterior Wallboard with Integrated Structural Function and Insulation. Materials 2015, 8, 3732–3753. [Google Scholar]
- Løland, K.E. Continuous damage model for load-response estimation of concrete. Cem. Concr. Res. 1980, 10, 395–402. [Google Scholar] [CrossRef]
- Bang, Y.L.; Su-Tae, K.; Hae-Bum, Y.; Yun, Y.K. Improved Sectional Image Analysis Technique for Evaluating Fiber Orientations in Fiber-Reinforced Cement-Based Materials. Materials 2016, 9, 42. [Google Scholar] [CrossRef]
- Ramamoorthy, S.K.; Kane, Y.; Turner, J.A. Ultrasound diffusion for crack depth determination in concrete. J. Acoust. Soc. Am. 2004, 115, 523–529. [Google Scholar] [CrossRef] [PubMed]
- Francisco, J.B.; Oscar, G.; Emilio, Z.; Pedro, G. Multifunctional Cement Composites Strain and Damage Sensors Applied on Reinforced Concrete (RC) Structural Elements. Materials 2013, 6, 841–855. [Google Scholar]
- Abdelrahman, M.; ElBatanouny, M.K.; Ziehl, P.H. Acoustic emission based damage assessment method for prestressed concrete structures: Modified index of damage. Eng. Struct. 2014, 60, 258–264. [Google Scholar] [CrossRef]
- Omar, A.A.; Mohd, M.A.B.A.; Kamarudin, H.; Khairul, N.I.; Mohammed, B.I. Mechanical and Microstructural Evaluations of Lightweight Aggregate Geopolymer Concrete before and after Exposed to Elevated Temperatures. Materials 2013, 6, 4450–4461. [Google Scholar]
- Shahiron, S.; Rhys, P.; Norazura, M.B.; Karen, M.H. Damage classification in reinforced concrete beam by acoustic emission signal analysis. Constr. Build. Mater. 2013, 45, 78–86. [Google Scholar]
- Yoseok, J.; Jaeha, L.; WooSeok, K. Modeling and Measurement of Sustained Loading and Temperature-Dependent Deformation of Carbon Fiber-Reinforced Polymer Bonded to Concrete. Materials 2015, 8, 435–450. [Google Scholar]
- Anugonda, P.; Wiehn, J.S.; Turner, J.A. Diffusion of ultrasound in concrete. Ultrasonics 2001, 39, 429–435. [Google Scholar] [CrossRef]
- Jun, L.; Feng, X.; Biqin, D.; Hongyan, M.; Dong, P. Study on Surface Permeability of Concrete under Immersion. Materials 2014, 7, 876–886. [Google Scholar]
- Cook, D.J.; Chindaprasirt, P. Influence of loading history upon the tensile properties of concrete. Mag. Concr. Res. 1981, 33, 154–160. [Google Scholar] [CrossRef]
- Shiyun, X.; Hongnan, L.; Paulo, J.M.M. Influence of strain rates and loading histories on the compressive damage behaviour of concrete. Mag. Concr. Res. 2011, 63, 915–926. [Google Scholar]
- Poinard, C.; Malecot, Y.; Daudeville, L. Damage of concrete in a very high stress state: Experimental investigation. Mater. Struct. 2010, 43, 15–29. [Google Scholar] [CrossRef]
- Gettu, R.; Aguado, A.; Oliveira, M.F. Damage in high-strength concrete due to monotonic and cyclic compression—A study based on splitting tensile strength. ACI Mater. J. 1996, 93, 519–523. [Google Scholar]
- China Standard GB/T 50081-2002: Standard for Test Method of Mechanical Properties on Ordinary Concrete; China Architecture & Building Press: Beijing, China, 2003.
- China Standard GB/T 50107-2010: Standard for Evaluation of Concrete Compressive Strength; China Architecture & Building Press: Beijing, China, 2010.
- China Standard GB/T 50011-2010: Standard for Seismic Design of Buildings; China Architecture & Building Press: Beijing, China, 2010.
- European Standard Eurocode 8: Design of Structures for Earthquake Resistance Part 1: General Rules, Seismic Actions and Rules for Buildings; European Committee for Standardization: Brussels, Belgium, 2004.
- Rousakis, T.C.; Karabinis, A.I. Adequately FRP confined reinforced concrete columns under axial compressive monotonic or cyclic loading. Mater. Struct. 2012, 45, 957–975. [Google Scholar] [CrossRef]
- Bazant, Z.P.; Kim, S. Plastic-fracturing theory for concrete. J. Eng. Mech. Div. ASCE 1979, 105, 407–428. [Google Scholar]
- Sinha, B.P.; Gerstle, K.H.; Tulin, L.G. Stress-strain relations for concrete under cyclic loading. J. ACI 1964, 61, 195–212. [Google Scholar]
- Lemaitre, J. A continuous damage mechanics model for ductile fracture. J. Eng. Mater. Technol. 1985, 107, 83–89. [Google Scholar] [CrossRef]
- Li, Z.H.; Li, A.; Teng, J. A plastic-damage uniaxial compression constitutive of concrete. China Civ. Eng. J. 2012, 45, 182–186. [Google Scholar]












| Group | C1 | C2 | C3 |
|---|---|---|---|
| Water (kg/m3) | 185 | 185 | 195 |
| Cement (kg/m3) | 285 | 310 | 410 |
| Gravel (kg/m3) | 1145 | 1125 | 1055 |
| Sand (kg/m3) | 785 | 780 | 740 |
| Test | Group | ||
|---|---|---|---|
| A | B | C | |
| 1 | 21.2 | 25.1 | 38.9 |
| 2 | 22.0 | 24.8 | 40.0 |
| 3 | 20.7 | 26.5 | 42.6 |
| Average | 21.3 | 25.5 | 40.5 |
| Test | Y1 | Y2 | Longitudinal Steel Bar |
|---|---|---|---|
| d = 6.0 mm | d = 6.5 mm | d = 10.0 mm | |
| 1 | 372 (518) | 553 (652) | 393 (530) |
| 2 | 368 (522) | 518 (672) | 385 (529) |
| 3 | 370 (520) | 538 (669) | 390 (532) |
| Average | 370 (520) | 536 (664) | 389 (530) |
| Group | Specimen | fcu (MPa) | d (mm) | s (mm) | ρv (%) | fy (MPa) | λv | ωwd | Number of Specimens |
|---|---|---|---|---|---|---|---|---|---|
| C1 | C1S0Y0 | 21.3 | – | – | – | – | – | – | 4 |
| C1 | C1S2Y1 | 21.3 | 6.5 | 70 | 1.65 | 370 | 0.29 | 0.29 | 3 |
| C1 | C1S2Y2 | 21.3 | 6 | 70 | 1.65 | 536 | 0.42 | 0.42 | 3 |
| C2 | C2S0Y0 | 25.5 | – | – | – | – | – | – | 4 |
| C2 | C2S1Y1 | 25.5 | 6.5 | 140 | 0.82 | 370 | 0.12 | 0.12 | 3 |
| C2 | C2S2Y1 | 25.5 | 6.5 | 70 | 1.65 | 370 | 0.24 | 0.24 | 3 |
| C2 | C2S3Y1 | 25.5 | 6.5 | 46.7 | 2.47 | 370 | 0.36 | 0.36 | 3 |
| C3 | C3S0Y0 | 40.5 | – | – | – | – | – | – | 4 |
| C3 | C3S2Y1 | 40.5 | 6.5 | 70 | 1.65 | 370 | 0.15 | 0.15 | 3 |
| Group | Specimen | fc0 or fcc (MPa) | εc0 or εcc (10−3) | εcu or εccu (10−3) | fcc/fc0 | εcc/εc0 | εccu/εcu |
|---|---|---|---|---|---|---|---|
| C1 | C1S0Y0 | 18.69 | 2.09 | 4.02 | – | – | – |
| C1 | C1S2Y1 | 19.92 | 2.98 | 6.85 | 1.07 | 1.43 | 1.70 |
| C1 | C1S2Y2 | 20.23 | 3.1 | 7.27 | 1.08 | 1.48 | 1.81 |
| C2 | C2S0Y0 | 21.5 | 1.77 | 3.14 | – | – | – |
| C2 | C2S1Y1 | 22.92 | 2.56 | 5.92 | 1.07 | 1.45 | 1.89 |
| C2 | C2S2Y1 | 24.57 | 3.09 | 6.88 | 1.14 | 1.75 | 2.19 |
| C2 | C2S3Y1 | 25.59 | 3.76 | 8.76 | 1.19 | 2.12 | 2.79 |
| C3 | C3S0Y0 | 32.35 | 1.97 | 2.83 | – | – | – |
| C3 | C3S2Y1 | 35.8 | 2.87 | 5.59 | 1.11 | 1.46 | 1.98 |
| Model | Peak Strength | Peak Strain | fcc/fc0 | εcc/εc0 |
|---|---|---|---|---|
| Kent and Park [3] | 1.14−1.47 | 1.14−1.47 | ||
| Mander et al. [23] | 1.11−1.84 | 1.54−5.21 | ||
| Saatcioglu and Razvi [24] | 1.12−1.3 | 1.61−2.51 | ||
| Present tests | – | – | 1.07−1.19 | 1.43−2.12 |
| Group | ac | bc | lc | kc |
|---|---|---|---|---|
| C1 | 0.0113 | −0.191 | 1.0 | −2.719 |
| C2 | 0.0110 | −0.432 | 1.0 | −7.071 |
| C3 | 0.0227 | −1.579 | 1.0 | −1.579 |
© 2016 by the authors; licensee MDPI, Basel, Switzerland. This article is an open access article distributed under the terms and conditions of the Creative Commons by Attribution (CC-BY) license (http://creativecommons.org/licenses/by/4.0/).
Share and Cite
Li, Z.; Peng, Z.; Teng, J.; Wang, Y. Experimental Study of Damage Evolution in Circular Stirrup-Confined Concrete. Materials 2016, 9, 278. https://doi.org/10.3390/ma9040278
Li Z, Peng Z, Teng J, Wang Y. Experimental Study of Damage Evolution in Circular Stirrup-Confined Concrete. Materials. 2016; 9(4):278. https://doi.org/10.3390/ma9040278
Chicago/Turabian StyleLi, Zuohua, Zhihan Peng, Jun Teng, and Ying Wang. 2016. "Experimental Study of Damage Evolution in Circular Stirrup-Confined Concrete" Materials 9, no. 4: 278. https://doi.org/10.3390/ma9040278
APA StyleLi, Z., Peng, Z., Teng, J., & Wang, Y. (2016). Experimental Study of Damage Evolution in Circular Stirrup-Confined Concrete. Materials, 9(4), 278. https://doi.org/10.3390/ma9040278
