The Role of Ambient Gas and Pressure on the Structuring of Hard Diamond-Like Carbon Films Synthesized by Pulsed Laser Deposition
Abstract
:1. Introduction
2. Experimental Section
2.1. PLD Experiment
2.2. Characterization of Deposited Structures
3. Results
3.1. Films Adherence to Substrate
| Substrate | Bonding strength [MPa] |
|---|---|
| SiO2 | 30 ± 0.7 |
| SiO2 (buffer) | 48 ± 2.6 |
| Si (100) | 50 ±9.0 |
| Si (100)/buffer | 50 ± 8.0 |
3.2. Films Morphology


3.3. Structure and Composition

| Sample type | Layer | Thickness (nm) | Roughness (nm) | Density (g/cm3) |
|---|---|---|---|---|
| Vacuum | Top | 28 | 0.8 | 1.9 |
| Bottom | 288 | 9.7 | 2.4 | |
| 0.5 mbar CH4 | Top | 138 | 1.2 | 1.7 |
| Bottom | 93 | 3.8 | 2.5 | |
| 1 mbar CH4 | Top | 150 | 2.0 | 1.5 |
| Bottom | 245 | 3.9 | 2.4 | |
| 10 mbar CH4 | Mono | 4.3 | 1.3 | 2.6 |

| Sample type | Vacuum (10−7 mbar) | 0.5 mbar CH4 | 1 mbar CH4 | 10 mbar CH4 | ||||||||
|---|---|---|---|---|---|---|---|---|---|---|---|---|
| Component assignment | sp2-C | sp3-C | O-C* | sp2-C | sp3-C | O-C* | sp2-C | sp3-C | O-C* | sp2-C | sp3-C | O-C* |
| Component (%) | 30.3 | 55.7 | 14.0 | 10.0 | 86.2 | 3.8 | 10.7 | 88.0 | 1.3 | 8.1 | 61.8 | 30.1 |
| Position (eV) | 284.5 | 285.3 | 286.9 | 284.5 | 285.8 | 287.8 | 284.5 | 286.1 | 288.8 | 284.5 | 285.8 | 287.5 |
| FWHM (eV) | 1.3 | 1.45 | 1.95 | 1.85 | 1.95 | 2.7 | 1.84 | 2.1 | 1.8 | 1.82 | 1.95 | 2.65 |


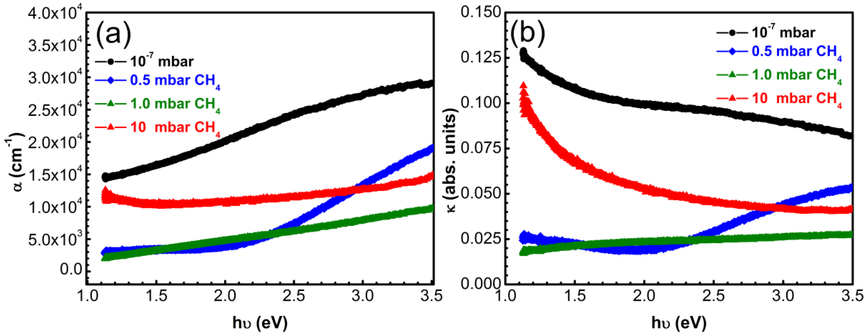
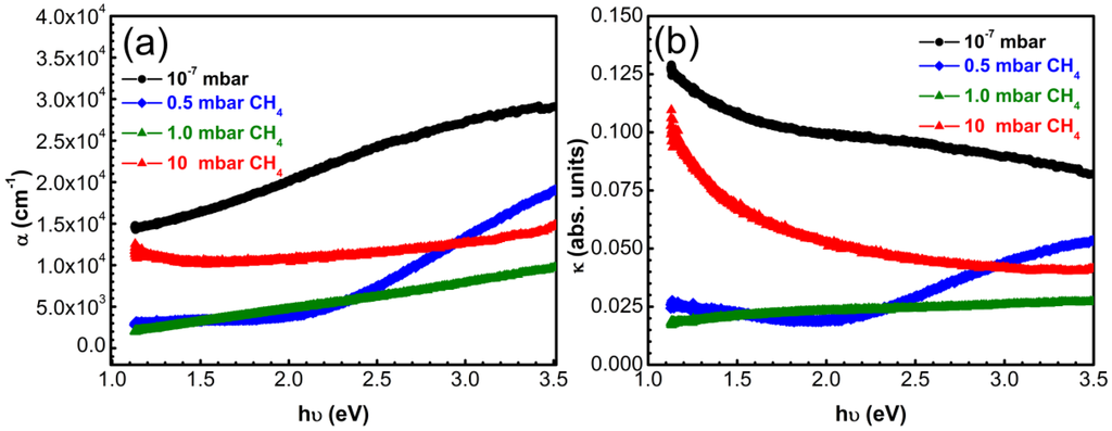
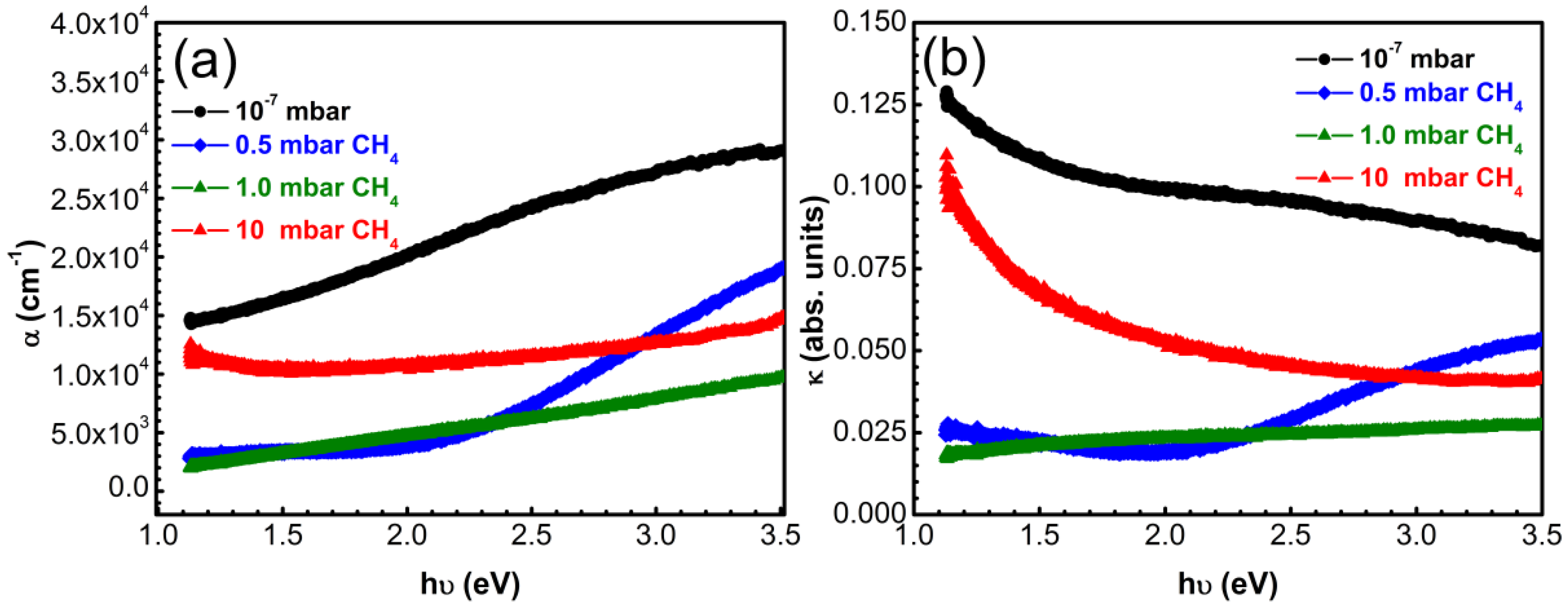
3.4. Optical Properties


3.5. Mechanical Properties

4. Discussion
5. Conclusions
Supplementary Materials
Acknowledgments
Author Contributions
Conflicts of Interest
References
- Eskusson, J.; Jaaniso, R.; Lust, E. Diamond-like phase formation in an amorphous carbon films prepared by periodic pulsed laser deposition and laser irradiation method. Appl. Surf. Sci. 2009, 55, 7104–7108. [Google Scholar] [CrossRef]
- Hongrae, C.; Sanseo, K.; Hyungson, K. Pulsed laser deposition of functionally gradient diamond-like carbon (DLC) films using a 355 nm picosecond laser. Acta Mater. 2012, 60, 6237–6246. [Google Scholar]
- Wei, Q.; Narayan, J. Superhard diamondlike carbon: Preparation, theory, and properties. J. Int. Mater. Rev. 2000, 45, 133–164. [Google Scholar] [CrossRef]
- Rau, J.V.; Teghil, R.; De Bonis, A.; Generosi, A.; Paci, B.; Generosi, R.; Fosca, M.; Ferro, D.; Rossi Albertini, V.; Chilingarov, N.S. Pulsed laser deposition of hard and superhard carbon thin films from C-60 targets. Diamond Relat. Mater. 2010, 19, 7–14. [Google Scholar] [CrossRef]
- Cui, F.Z.; Li, D.J. A review of investigations on biocompatibility of diamond-like carbon and carbon nitride films. Surf. Coat. Technol. 2000, 131, 481–487. [Google Scholar] [CrossRef]
- Love, C.A.; Cook, R.B.; Harvey, T.J.; Dearnley, P.A.; Wood, R.J.K. Diamond like carbon coatings for potential application in biological implants—A review. Tribol. Int. 2013, 63, 141–150. [Google Scholar] [CrossRef]
- McKenzie, D.R.; Muller, D.; Pailthorpe, B.A. Compressive-stress-induced formation of thin-film tetrahedral amorphous carbon. Phys. Rev. Lett. 1990, 67, 773–776. [Google Scholar] [CrossRef]
- Prihandana, G.S.; Sanada, I.; Ito, H.; Noborisaka, M.; Kanno, Y.; Suzuki, T.; Miki, N. Antithrombogenicity of fluorinated diamond-like carbon films coated nano porous polyethersulfone (PES) membrane. Materials 2013, 6, 4309–4323. [Google Scholar] [CrossRef]
- Samudrala, G.K.; Vohra, Y.K.; Walock, M.J.; Miles, R. Rapid growth of nanostructured diamond film on silicon and Ti–6Al–4V alloy substrates. Materials 2014, 7, 365–374. [Google Scholar] [CrossRef]
- Hsu, H.L.; Leong, K.R.; Teng, I.J.; Halamicek, M.; Juang, J.Y.; Jian, S.R.; Qian, L.; Kherani, N.P. Erbium-doped amorphous carbon-based thin films: A photonic material prepared by low-temperature RF-PEMOCVD. Materials 2014, 7, 1539–1554. [Google Scholar] [CrossRef]
- Yap, S.S.; Siew, W.O.; Nee, C.H.; Tou, T.Y. Parametric studies of diamond-like carbon by pulsed Nd: YAG laser deposition. Diamond Relat. Mater. 2011, 20, 294–298. [Google Scholar] [CrossRef]
- Jelínek, M.; Smetana, K.; Kocourek, T.; Dvořánková, B.; Zemek, J.; Remsa, J.; Luxbacher, T. Biocompatibility and sp3/sp2 ratio of laser created DLC films. Mater. Sci. Eng. B 2010, 169, 89–93. [Google Scholar] [CrossRef]
- Qian, F.; Craciun, V.; Singh, R.K.; Dutta, S.D.; Pronko, P.P. High intensity femtosecond laser deposition of diamond-like carbon thin films. J. Appl. Phys. 1999, 86, 2281–2290. [Google Scholar] [CrossRef]
- Tomala, A.; Pauschitz, A.; Manish, R. Nanotribology of pulsed direct current magnetron sputtered diamond like carbon films. Surf. Sci. 2013, 616, 60–70. [Google Scholar] [CrossRef]
- Voevodin, A.A.; Donley, M.S.; Zabinski, J.S. Pulsed laser deposition of diamond-like carbon wear protective coatings: A review. Surf. Coat. Technol. 1997, 92, 42–49. [Google Scholar] [CrossRef]
- Chhowalla, M.; Robertson, J.; Chen, C.W.; Silva, S.R.P.; Davis, C.A.; Amaratunga, G.A.J.; Milne, W.I. Influence of ion energy and substrate temperature on the optical and electronic properties of tetrahedral amorphous carbon (ta-C) films. J. Appl. Phys. 1997, 81, 139–145. [Google Scholar] [CrossRef]
- Xu, S.; Cheah, L.K.; Tay, B.K. Spectroscopic ellipsometry studies of tetrahedral amorphous carbon prepared by filtered cathodic vacuum arc technique. Thin Solid Films 1998, 312, 160–169. [Google Scholar] [CrossRef]
- Siegal, M.P.; Tallant, D.R.; Provencio, P.N.; Overmyer, D.L.; Simpson, R.L.; Martinez-Miranda, L.J. Ultrahard carbon nanocomposite films. Appl. Phys. Lett. 2000, 76, 3052–3054. [Google Scholar] [CrossRef]
- Oliver, W.C.; Pharr, G.M. An improved technique for determining hardness and elastic modulus using load and displacement sensing indentation experiments. J. Mater. Sci. 1992, 76, 1564–1583. [Google Scholar]
- Sharda, T.; Soga, T.; Jimbo, T.; Umeno, M. Highly stressed carbon film coatings on silicon: Potential applications. Appl. Phys. Lett. 2002, 80, 2880–2882. [Google Scholar] [CrossRef]
- Lescoute, E.; Hallo, L.; Hébert, D.; Chimier, B.; Etchessahar, B.; Tikhonchuk, V.T.; Chevalier, J.M.; Combis, P. Experimental observations and modeling of nanoparticle formation in laser-produced expanding plasma. Phys. Plasma 2008, 15. [Google Scholar] [CrossRef]
- Chen, L.C. Particulates generated by pulsed laser ablation. In Pulsed Laser Deposition of Thin Films; Chrisey, D.B., Hubler, G.K., Eds.; Wiley-Interscience: New York, NY, USA, 1994; pp. 167–171. [Google Scholar]
- Capano, M.A.; Qian, F.; Singh, R.K.; McDevit, N.T. Structural analysis of carbon thin films deposited by pulsed laser deposition. Mater. Res. Soc. Symp. Proc. 1993, 285, 569–571. [Google Scholar] [CrossRef]
- Huai, Y.; Chaker, M.; Broughton, J.N.; Gat, E.; Pepin, H.; Gu, T.; Bian, X.; Sutton, M. Study of density in pulsed-laser deposited amorphous carbon films using x-ray reflectivity. Appl. Phys. Lett. 1994, 65, 830–832. [Google Scholar] [CrossRef]
- Haerle, R.; Riedo, E.; Pasquarello, A.; Baldereschi, A. sp2/sp3 hybridization ratio in amorphous carbon from C1s core-level shifts: X-ray photoelectron spectroscopy and first-principles calculation. Phys. Rev. B 2001, 65. [Google Scholar] [CrossRef]
- Butenko, Y.V.; Krishnamurthy, S.; Chakraborty, A.K.; Kuznetsov, V.L.; Dhanak, V.R.; Hunt, M.R.C.; Siller, L. Photoemission study of onion like carbons produced by annealing nanodiamonds. Phys. Rev. B 2005, 71. [Google Scholar] [CrossRef]
- Yang, M.; Marino, M.J.; Bojan, V.J.; Aryilmaz, O.L.; Erdemir, A.; Kim, S.H. Quantification of oxygenated species on a diamond-like carbon (DLC) surface. Appl. Surf. Sci. 2011, 257, 7633–7638. [Google Scholar] [CrossRef]
- Mangolini, F.; Rose, F.; Hilbert, J.; Carpick, R.W. Thermally induced evolution of hydrogenated amorphous carbon. Appl. Phys. Lett. 2013, 103. [Google Scholar] [CrossRef]
- Salvi, A.M.; Guascito, M.R.; De Bonis, A.; Simone, F.; Pennisi, A.; Decker, F. Lithium intercalation on amorphous V2O5 thin film, obtained by r.f. deposition, using in-situ samples transfer for XPS analysis. Surf. Interface Anal. 2003, 35, 897–905. [Google Scholar] [CrossRef]
- De Bonis, A.; Rau, J.V.; Santagata, A.; Teghil, R. Diamond-like carbon thin films produced by femtosecond pulsed laser deposition of fullerite. Surf. Coat. Technol. 2011, 205, 3747–3753. [Google Scholar] [CrossRef]
- Weich, G.; Auer, N.; Šimůnek, A.; Vackář, J.; Hammerschmidt, A.; Rittmayer, G. Diamond-like hydrogenated amorphous carbon films studied by X-ray emission spectroscopy. Diamond Relat. Mater. 1997, 6, 944–951. [Google Scholar] [CrossRef]
- Matolin, V.; Matolinova, I.; Veltruska, K.; Masek, K. Photoelectron spectroscopy and secondary ion mass spectrometry characterization of diamond-like carbon films. Thin Solid Films 2007, 515, 5386–5390. [Google Scholar] [CrossRef]
- Haruyama, Y.; Tagawa, M.; Yokota, K.; Matsui, S. Photoemission study of hydrogenated amorphous carbon thin films as a function of annealing temperature. Jpn. J. Appl. Phys. 2009, 48. [Google Scholar] [CrossRef]
- Reinke, P.; Oelhafsen, P. Thermally induced structural changes in amorphous carbon films observed with ultraviolet photoelectron spectroscopy. J. Appl. Phys. 1997, 81, 2396–2399. [Google Scholar] [CrossRef]
- Bhattacharyya, S.; Spaeth, C.; Richter, F. Valence band spectra of nitrogen incorporated amorphous carbon films. J. Appl. Phys. 2001, 89, 2414–2421. [Google Scholar] [CrossRef]
- Paul, R.; Das, S.N.; Dalui, S.; Gayen, R.N.; Roy, R.K.; Bahr, R.; Pal, A.K. Synthesis of DLC films with different sp2/sp3 ratios and their hydrophobic behavior. J. Phys. D 2008, 41. [Google Scholar] [CrossRef]
- Rafiee, J.; Rafiee, M.A.; Yu, Z.Z.; Korathar, N. Superhydrophobic to superhydrophilic wetting control in graphene films. Adv. Mater. 2010, 22, 2151–2154. [Google Scholar] [CrossRef] [PubMed]
- Hu, A.; Rybachuk, M.; Lu, Q.B.; Duley, W.W. Femtosecond pulsed laser deposition and optical properties of diamond-like amorphous carbon films embedded with sp-bonded carbon chains. Diamond Relat. Mater. 2008, 17, 1643–1646. [Google Scholar] [CrossRef]
- Knigth, D.S.; White, W.B. Characterization of diamond films by Raman spectroscopy. J. Mater. Res. 1989, 4, 385–393. [Google Scholar]
- Shi, J.R. Study on nitrogenated amorphous carbon films prepared by unbalanced magnetron sputtering. J. Appl. Phys. 2006, 99. [Google Scholar] [CrossRef]
- Ferrari, A.C.; Robertson, J. Interpretation of Raman spectra of disordered and amorphous carbon. Phys. Rev. B. 2000, 61. [Google Scholar] [CrossRef]
- Morshed, M.M.; Cameron, D.C.; McNamara, B.P.; Hashmi, M.S.J. Pre-treatment of substrates for improved adhesion of diamond-like carbon films on surgically implantable metals deposited by saddle field neutral beam source. Surf. Coat. Technol. 2003, 174–175, 579–583. [Google Scholar] [CrossRef]
- De Barros, M.I.; Vandenbulcke, L. Plasma-assisted chemical vapor deposition process for depositing smooth diamond coatings on titanium alloys at moderate temperature. Diamond Relat. Mater. 2000, 9, 1862–1866. [Google Scholar] [CrossRef]
- Morshed, M.M.; McNamara, B.P.; Cameron, D.C.; Hashmi, M.S.J. Stress and adhesion in DLC coatings on 316L stainless steel deposited by a neutral beam source. J. Mater. Process. Technol. 2003, 143, 922–926. [Google Scholar] [CrossRef]
- Schwan, J.; Ulrich, S.; Batori, V.; Ehrhardt, H.; Silva, S.R.P. Raman spectroscopy on amorphous carbon films. J. Appl. Phys. 1996, 80, 440–447. [Google Scholar] [CrossRef]
- Irmer, G.; Dorner-Reisel, A. Micro-Raman studies on DLC coatings. Adv. Eng. Mat. 2005, 7, 694–705. [Google Scholar] [CrossRef]
- Pandey, B.; Pal, P.P.; Bera, S.; Ray, S.K.; Kar, A.K. Effect of nickel incorporation on microstructural and optical properties of electrodeposited diamond like carbon (DLC) thin films. Appl. Surf. Sci. 2012, 261, 789–799. [Google Scholar] [CrossRef]
- Hu, A.; Alkhesho, I.; Zhou, H.; Duley, W.W. Optical and microstructural properties of diamond-like carbon films grown by pulsed laser deposition. Diamond Relat. Mater. 2007, 16, 149–154. [Google Scholar] [CrossRef]
- Ahmed, Sk.F.; Banerjee, D.; Chattopadhyay, K.K. The influence of fluorine doping on the optical properties of diamond-like carbon thin films. Vacuum 2010, 84, 837–842. [Google Scholar] [CrossRef]
- Larson, D.M.; Downing, K.H.; Glaeser, R.M. The surface of evaporated carbon films is an insulating, high-bandgap material. J. Struct. Biol. 2011, 174, 420–442. [Google Scholar] [CrossRef] [PubMed]
- Glaeser, R.M.; Downing, K.H. Specimen charging on thin films with one conducting layer: Discussion of physical principles. Microsc. Microanal. 2004, 10, 790–796. [Google Scholar] [CrossRef] [PubMed]
- Tanaka, Y.S. Diamond-like carbon films. In Materials Science and Technologies Series; Nova Science Publishers: New York, NY, USA, 2011. [Google Scholar]
- Leyland, A.; Matthews, A. On the significance of the H/E ratio in wear control: A nanocomposite coating approach to optimised tribological behavior. Wear 2000, 246, 1–11. [Google Scholar] [CrossRef]
- Charitidis, C.A. Nanomechanical and nanotribological properties of carbon-based thin films: A review. Int. J. Refract. Met. Hard Mater. 2010, 28, 51–70. [Google Scholar] [CrossRef]
- Charitidis, C.; Logothetidis, S.; Douka, P. Nanoindentation and nanoscratching studies of amorphous carbon films. Diamond Relat. Mater. 1999, 8, 558–562. [Google Scholar] [CrossRef]
- Blech, I.A.; Wood, P. Linear thermal-expansion coefficient and biaxial elastic-modulus of diamond-like carbon-films. J. Vac. Sci. Technol. A 1993, 11, 728–729. [Google Scholar] [CrossRef]
- Watanabe, H.; Yamada, N.; Okaji, M. Linear thermal expansion coefficient of silicon from 293 to 1000 K. Int. J. Thermophys. 2004, 25, 221–236. [Google Scholar] [CrossRef]
- Quartz thermal properties. Available online: http://heraeus-quarzglas.com/en/quarzglas/thermalproperties/Thermal_properties.aspx (accessed on 28 April 2015).
- Zhao, J.F.; Lemoine, P.; Liu, Z.H.; Quinn, J.P.; Maguire, P.; McLaughlin, J.A. A study of microstructure and nanomechanical properties of silicon incorporated DLC films deposited on silicon substrates. Diamond Relat. Mater. 2001, 10, 1070–1075. [Google Scholar] [CrossRef]
- Robertson, J. Diamond-like amorphous carbon. Mater. Sci. Eng. R 2002, 37, 129–281. [Google Scholar] [CrossRef]
- Budai, J.; Toth, S.; Toth, Z.; Koos, M. Diamond-like carbon films prepared by reactive pulsed laser deposition in hydrogen and methane ambient. Appl. Surf. Sci. 2007, 253, 8220–8225. [Google Scholar] [CrossRef]
- Robertson, J. Properties of diamond-like carbon. Surf. Coat. Technol. 1992, 50, 185–203. [Google Scholar] [CrossRef]
- Lifshitz, Y.; Kasi, S.R.; Rabalais, J.W. Subplantation model for film growth from hyperthermal species. Phys. Rev. B 1990, 41, 10468–10480. [Google Scholar] [CrossRef]
- Modabber Asl, A.; Kameli, P.; Ranjbar, M.; Salamati, H.; Jannesari, M. Correlations between microstructure and hydrophobicity properties of pulsed laser deposited diamond-like carbon films. Superlattices Microstruct. 2015, 81, 64–79. [Google Scholar] [CrossRef]
- Ossi, P.M.; Bottani, C.E.; Miotello, A. Pulsed laser deposition of nano-glassy carbon films. Appl. Surf. Sci. 2005, 248, 334–339. [Google Scholar] [CrossRef]
- Yamamoto, K.; Koga, Y.; Fujiwara, S.; Kokai, F.; Heimann, R.B. Dependence of the sp3 bond fraction on the laser wavelength in thin carbon films prepared by pulsed laser deposition. Appl. Phys. A 1998, 66, 115–117. [Google Scholar] [CrossRef]
© 2015 by the authors; licensee MDPI, Basel, Switzerland. This article is an open access article distributed under the terms and conditions of the Creative Commons Attribution license (http://creativecommons.org/licenses/by/4.0/).
Share and Cite
Popescu, A.C.; Stan, G.E.; Duta, L.; Nita, C.; Popescu, C.; Surdu, V.-A.; Husanu, M.-A.; Bita, B.; Ghisleni, R.; Himcinschi, C.; et al. The Role of Ambient Gas and Pressure on the Structuring of Hard Diamond-Like Carbon Films Synthesized by Pulsed Laser Deposition. Materials 2015, 8, 3284-3305. https://doi.org/10.3390/ma8063284
Popescu AC, Stan GE, Duta L, Nita C, Popescu C, Surdu V-A, Husanu M-A, Bita B, Ghisleni R, Himcinschi C, et al. The Role of Ambient Gas and Pressure on the Structuring of Hard Diamond-Like Carbon Films Synthesized by Pulsed Laser Deposition. Materials. 2015; 8(6):3284-3305. https://doi.org/10.3390/ma8063284
Chicago/Turabian StylePopescu, Andrei C., George E. Stan, Liviu Duta, Cristina Nita, Camelia Popescu, Vasile-Adrian Surdu, Marius-Adrian Husanu, Bogdan Bita, Rudy Ghisleni, Cameliu Himcinschi, and et al. 2015. "The Role of Ambient Gas and Pressure on the Structuring of Hard Diamond-Like Carbon Films Synthesized by Pulsed Laser Deposition" Materials 8, no. 6: 3284-3305. https://doi.org/10.3390/ma8063284
APA StylePopescu, A. C., Stan, G. E., Duta, L., Nita, C., Popescu, C., Surdu, V.-A., Husanu, M.-A., Bita, B., Ghisleni, R., Himcinschi, C., & Craciun, V. (2015). The Role of Ambient Gas and Pressure on the Structuring of Hard Diamond-Like Carbon Films Synthesized by Pulsed Laser Deposition. Materials, 8(6), 3284-3305. https://doi.org/10.3390/ma8063284

