Effects of Interfaces on the Structure and Novel Physical Properties in Epitaxial Multiferroic BiFeO3 Ultrathin Films
Abstract
:1. Introduction
2. Effect of Misfit Strain on BFO Ultrathin Films
2.1. Misfit Strain in Epitaxial Ferroic Ultrathin Films
| Polarization components | Notation | Symmetry | Space group | Basis vectors | |
|---|---|---|---|---|---|
![]() | P1 = P2 = P3 = 0 | paraelectric | Tetragonal | P4/mm | [100], [010], [001] |
![]() | P1 = P2 = 0, P3 ≠ 0 | c phase | Tetragonal | P4mm | [100], [010], [001] |
![]() | P1 ≠ 0, P2 = P3 = 0 | a phase | Orthorhombic | P2mm | [100], [010], [001] |
![]() | P1 = P2 ≠ 0, P3 = 0 | aa phase | Orthorhombic | C2mm | [110], [110], [001] |
![]() | P1 = P2 ≠ 0 < P3 ≠ 0 | r phase ( MA) | Monoclinic | Cm | [110], [110], [001] |
![]() | P1 = P2 ≠ 0 > P3 ≠ 0 | r phase ( MB) | Monoclinic | Cm | [110], [110], [001] |
![]() | P1 ≠ 0, P2 = 0, P3 ≠ 0 | ac phase ( MC) | Monoclinic | Pm | [100], [010], [001] |
![]() | P1 = P2 = P3 ≠ 0 | Fo | Monoclinic | Cm | [110], [110], [001] |
2.2. Normal Strain and Structural Phase Transition of BFO Ultrathin Films


near the mixed phases. The value of
is much larger than that of the compressive strain-induced one (60 pm/V for rhombohedral phase and 120 pm/V for mixed phase) [22,52]. Thus, it implies that there is another tensile strain induced MPB-like behavior near the M and O phase boundaries. One example of the unconventional MPB occurring near the O phase has been reported in the (1 − x)NaNbO3-xCaTiO3 system [56], which lies between an O structure with the Pbma space group and the other O structure with the Pbnm space group. Experimentally, it has been demonstrated that BFO films deposited on small tensile strain substrates (such as GdScO3 and SmScO3) possess a MB-type monoclinic structure [29,35,57]. For larger tensile strain (NdScO3 with misfit strain ~1.5%), Yang et al. [34] claimed that an orthorhombic BFO could be achieved through a combination of controlling electrical boundary conditions of the films surface. However, recent experimental results from Chen et al. [35] reveal that, even deposited on the commercially available largest tensile PrScO3 (PSO) substrate, only a monoclinic MB phase is exhibited, which indicates that a larger tensile strain is required to realize the predicted strain-induced orthorhombic phase (aa phase) for BFO films. More recently, a mixed rhombohedral and orthorhombic phase has been demonstrated experimentally, by means of a phase separation for epitaxial BFO films grown on PSO substrate [58]. Thus, there are still certain discrepancies between theoretical and experimental achievements regarding the critical tensile misfit strain on the occurrence of the orthorhombic phase of BFO films.

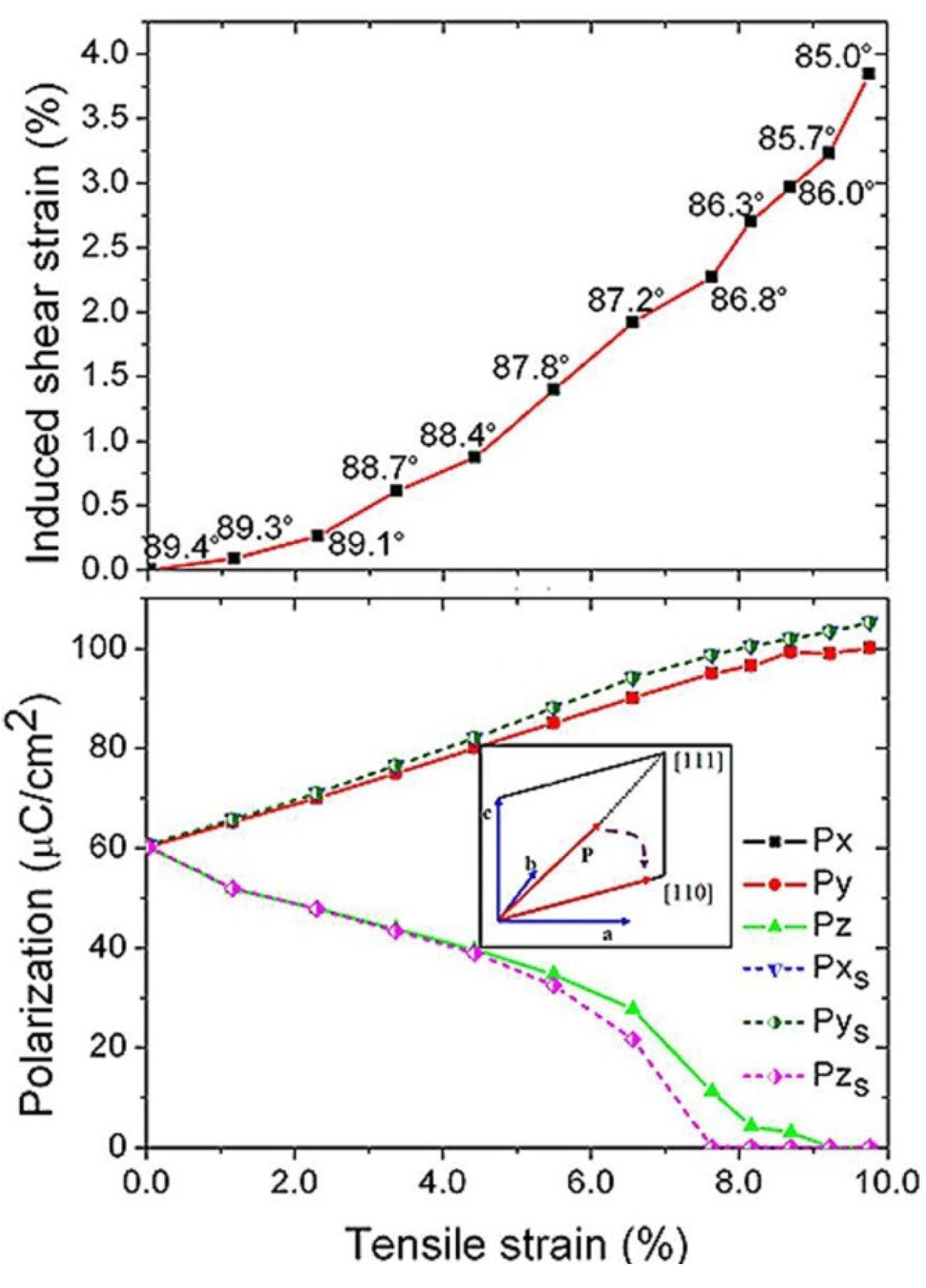
2.3. Shear Strain and Occurrence of MC Phase of BFO Ultrathin Films


2.4. Misfit Strain Induced Enhancements of Polarization, Magnetic and Piezoelectric Responses of BFO Thin Films


2.5. Abnormal Poisson’s Ratio in BFO
3. Temperature-Dependent Phase Transitions of Epitaxial BFO Thin Films


4. Dependence of Depolarization Field and Stability of Domains in BFO Thin Films
4.1. Stability and Crossover of Domain Patterns of BFO Thin Films


4.2. Domain Size Scaling Behavior for BFO Thin Films

4.3. Domain Wall Properties of BFO Thin Films
5. Conclusions and Outlook
Acknowledgments
Conflicts of Interest
References
- Lines, M.E.; Glass, A.M. Principles and Applications of Ferroelectrics and Related Materials; Oxford University Press: Oxford, UK, 1977. [Google Scholar]
- Newnham, R.E. Properties of Materials: Anisotropy, Symmetry, Structure; Oxford University Press: Oxford, UK, 2004. [Google Scholar]
- Spaldin, N.A.; Fiebig, M. The renaissance of magnetoelectric multiferroics. Science 2005, 309, 391–392. [Google Scholar] [CrossRef]
- Ramesh, R.; Ramesh, R.; Zavaliche, F.; Chu, Y.H.; Martin, L.W.; Yang, S.Y.; Cruz, M.P.; Barry, M.; Lee, K.; Yang, P.; et al. Magnetoelectric complex-oxide heterostructures. Philos. Mag. Lett. 2007, 87, 155–164. [Google Scholar] [CrossRef]
- Wang, K.F.; Liu, J.-M.; Ren, Z.F. Multiferroicity: The coupling between magnetic and polarization orders. Adv. Phys. 2009, 58, 321–448. [Google Scholar] [CrossRef]
- Ma, J.; Hu, J.; Li, Z.; Nan, C.-W. Recent Progress in Multiferroic Magnetoelectric Composites: from Bulk to Thin Films. Adv. Mater. 2011, 23, 1062–1087. [Google Scholar]
- Catalan, G.; Scott, J.F. Physics and applications of bismuth ferrite. Adv. Mater. 2009, 21, 2463–2485. [Google Scholar] [CrossRef]
- Lebeugle, D.; Colson, D.; Forget, A.; Viret, M. Very large spontaneous electric polarization in BiFeO3 single crystals at room temperature and its evolution under cycling fields. Appl. Phys. Lett. 2007, 91, 022907:1–022907:3. [Google Scholar]
- Lebeugle, D.; Colson, D.; Forget, A.; Viret, M.; Bonville, P.; Marucco, J.F.; Fusil, S. Room-temperature coexistence of large electric polarization and magnetic order in single crystals. Phys. Rev. B 2007, 76. [Google Scholar] [CrossRef]
- Kubel, F.; Schmid, H. Structure of a ferroelectric and ferroelastic monodomain crystal of the perovskite BiFeO3. Acta Crystallogr. Sect. B 1990, 46, 698–702. [Google Scholar] [CrossRef]
- Hwang, H.Y.; Iwasa, Y.; Kawasaki, M.; Keimer, B.; Nagaosa, N. Tokura, Emergent phenomena at oxide interfaces. Nat. Mater. 2012, 11, 103–113. [Google Scholar] [CrossRef]
- Zavaliche, F.; Yang, S.Y.; Zhao, T.; Chu, Y.H.; Cruz, M.P.; Eom, C.B.; Ramesh, R. Multiferroic BiFeO3 films: Domain structure and polarization dynamics. Phase Transit. 2006, 79, 991–1017. [Google Scholar] [CrossRef]
- Chu, Y.H.; Martin, L.W.; Zhan, Q.; Yang, P.L.; Cruz, M.P.; Lee, K.; Barry, M.; Yang, S.Y.; Ramesh, R. Epitaxial multiferroic BiFeO3 thin films: Progress and future directions. Ferroelectrics 2007, 354, 167–177. [Google Scholar] [CrossRef]
- Zhang, J.X.; Zeches, R.J.; He, Q.; Chu, Y.H.; Ramesh, R. Nanoscale phase boundaries: A new twist to novel functionalities. Nanoscale 2012, 4, 6196–6204. [Google Scholar]
- He, Q.; Arenholz, E.; Scholl, A.; Chu, Y.H.; Ramesh, R. Nanoscale characterization of emergent phenomena in multiferroics. Curr. Opin. Solid State Mater. Sci. 2012, 16, 216–226. [Google Scholar] [CrossRef]
- Martin, L.W.; Crane, S.P.; Chu, Y.H.; Holcomb, M.B.; Gajek, M.; Huijben, M.; Yang, C.H.; Balke, N.; Ramesh, R. Multiferroics and magnetoelectrics: Thin films and nanostructures. J. Phys. Condens. Matter 2008, 20. [Google Scholar] [CrossRef]
- Schlom, D.G.; Chen, L.-Q.; Eom, C.-B.; Rabe, K.M.; Streiffer, S.K.; Triscone, J.-M. Strain tuning of ferroelectric thin films. Annu. Rev. Mater. Res. 2007, 37, 589–626. [Google Scholar] [CrossRef]
- Schlom, D.G.; Chen, L.-Q.; Pan, X.; Schmehl, A.; Zurbuchen, M.A. A Thin film approach to engineering functionality into oxides. J. Am. Ceram. Soc. 2008, 91, 2429–2454. [Google Scholar] [CrossRef]
- Matthews, J.W.; Blakeslee, A.E. Defects in epitaxial multilayers: I. Misfit dislocations. J. Cryst. Growth 1974, 27, 118–125. [Google Scholar]
- Chu, Y.H.; Zhao, T.; Cruz, M.P.; Zhan, Q.; Yang, P.L.; Martin, L.W.; Huijben, M.; Yang, C.H.; Zavaliche, F.; Zheng, H.; et al. Ferroelectric size effects in multiferroic BiFeO3 thin films. Appl. Phys. Lett. 2007, 90. [Google Scholar] [CrossRef]
- Ma, H.; Chen, L.; Wang, J.; Ma, J.; Boey, F. Strain effects and thickness dependence of ferroelectric properties in epitaxial BiFeO3 thin films. Appl. Phys. Lett. 2008, 92. [Google Scholar] [CrossRef]
- Zeches, R.J.; Rossell, M.D.; Zhang, J.X.; Hatt, A.J.; He, Q.; Yang, C.-H.; Kumar, A.; Wang, C.H.; Melville, A.; Adamo, C.; et al. A strain-driven morphotropic phase boundary in BiFeO3. Science 2009, 326, 977–980. [Google Scholar] [CrossRef]
- Pertsev, N.A.; Zembilgotov, A.G.; Tagantsev, A.K. Effect of mechanical boundary conditions on phase diagrams of epitaxial ferroelectric thin films. Phys. Rev. Lett. 1998, 80, 1988–1991. [Google Scholar] [CrossRef]
- Janolin, P.-E. Strain on ferroelectric thin films. J. Mater. Sci. 2009, 44, 5025–5048. [Google Scholar] [CrossRef]
- Wang, J.; Neaton, J.B.; Zheng, H.; Nagarajan, V.; Ogale, S.B.; Liu, B.; Viehland, D.; Vaithyanathan, V.; Schlom, D.G.; Waghmare, U.V.; et al. Epitaxial BiFeO3 multiferroic thin film heterostructures. Science 2003, 299, 1719–1722. [Google Scholar] [CrossRef]
- Bea, H.; Dupe, B.; Fusil, S.; Mattana, R.; Jacquet, E.; Warot-Fonrose, B.; Wilhelm, F.; Rogalev, A.; Petit, S.; Cros, V.; et al. Evidence for room-temperature multiferroicity in a compound with a giant axial ratio. Phys. Rev. Lett. 2009, 102. [Google Scholar] [CrossRef]
- Chen, Z.; Luo, Z.; Qi, Y.; Yang, P.; Wu, S.; Huang, C.; Wu, T.; Wang, J.; Gao, C.; Sritharan, T.; et al. Low symmetry monoclinic Mc phase in epitaxial BiFeO3 thin films on LaSrAlO4 substrates. Appl. Phys. Lett. 2010, 97, 242903:1–242903:3. [Google Scholar]
- Huang, C.W.; Chu, Y.H.; Chen, Z.H.; Wang, J.; Sritharan, T.; He, Q.; Ramesh, R.; Chen, L. Strain-driven phase transitions and associated dielectric/piezoelectric anomalies in BiFeO3 thin films. Appl. Phys. Lett. 2010, 97, 152901:1–152901:3. [Google Scholar]
- Infante, I.C.; Lisenkov, S.; Dupé, B.; Bibes, M.; Fusil, S.; Jacquet, E.; Geneste, G.; Petit, S.; et al. Bridging Multiferroic Phase Transitions by Epitaxial Strain in BiFeO3. Phys. Rev. Lett. 2010, 105. [Google Scholar] [CrossRef]
- Chen, Z.; Luo, Z.; Huang, C.; Qi, Y.; Yang, P.; You, L.; Hu, C.; Wu, T.; Wang, J.; Gao, C.; et al. Low-Symmetry monoclinic phases and polarization rotation path mediated by epitaxial strain in multiferroic BiFeO3 thin films. Adv. Funct. Mater. 2011, 21, 133–138. [Google Scholar] [CrossRef]
- Christen, H.M.; Nam, J.H.; Kim, H.S.; Hatt, A.J.; Spaldin, N.A. Stress-induced R-MA-MC-T symmetry changes in BiFeO3 films. Phys. Rev. B 2011, 83. [Google Scholar] [CrossRef]
- Chen, Z.; Prosandeev, S.; Luo, Z.L.; Ren, W.; Qi, Y.; Huang, C.W.; You, L.; Gao, C.; Kornev, I.A.; Wu, T.; et al. Coexistence of ferroelectric triclinic phases in highly strained BiFeO3 films. Phys. Rev. B 2011, 84. [Google Scholar] [CrossRef]
- Dupé, B.; Prosandeev, S.; Geneste, G.; Dkhil, B.; Bellaiche, L. BiFeO3 films under tensile epitaxial strain from first principles. Phys. Rev. Lett. 2011, 106. [Google Scholar] [CrossRef]
- Yang, J.C.; He, Q.; Suresha, S.J.; Kuo, C.Y.; Peng, C.Y.; Haislmaier, R.C.; Motyka, M.A.; Sheng, G.; Adamo, C.; Lin, H.J.; et al. Orthorhombic BiFeO3. Phys. Rev. Lett. 2012, 109. [Google Scholar] [CrossRef]
- Chen, Z.; Qi, Y.; You, L.; Yang, P.; Huang, C.W.; Wang, J.; Sritharan, T.; Chen, L. Large tensile-strain-induced monoclinic MB phase in BiFeO3 epitaxial thin films on a PrScO3 substrate. Phys. Rev. B 2013, 88. [Google Scholar] [CrossRef]
- Luo, Z.; Chen, Z.; Yang, Y.; Liu, H.-J.; Huang, C.; Huang, H.; Wang, H.; Yang, M.-M.; Hu, C.; Pan, G.; et al. Periodic elastic nanodomains in ultrathin tetragonal-like BiFeO3 films. Phys. Rev. B 2013, 88. [Google Scholar] [CrossRef]
- Dupé, B.; Infante, I.C.; Geneste, G.; Janolin, P.E.; Bibes, M.; Barthélémy, A.; Lisenkov, S.; Bellaiche, L.; Ravy, S.; Dkhil, B. Competing phases in BiFeO3 thin films under compressive epitaxial strain. Phys. Rev. B 2010, 81. [Google Scholar] [CrossRef]
- Ren, W.; Yang, Y.; Diéguez, O.; Íñiguez, J.; Choudhury, N.; Bellaiche, L. Ferroelectric domains in multiferroic BiFeO3 films under epitaxial strains. Phys. Rev. Lett. 2013, 110. [Google Scholar] [CrossRef]
- Jang, H.W.; Baek, S.H.; Ortiz, D.; Folkman, C.M.; Das, R.R.; Chu, Y.H.; Shafer, P.; Zhang, J.X.; Choudhury, S.; Vaithyanathan, V.; et al. Strain-induced polarization rotation in epitaxial (001) BiFeO3 thin films. Phys. Rev. Lett. 2008, 101. [Google Scholar] [CrossRef]
- Iliev, M.N.; Abrashev, M.V.; Mazumdar, D.; Shelke, V.; Gupta, A. Polarized Raman spectroscopy of nearly tetragonal BiFeO3 thin films. Phys. Rev. B 2010, 82. [Google Scholar] [CrossRef]
- Hatt, A.J.; Spaldin, N.A.; Ederer, C. Strain-induced isosymmetric phase transition in BiFeO3. Phys. Rev. B 2010, 81. [Google Scholar] [CrossRef]
- Zhang, J.X.; Li, Y.L.; Wang, Y.; Liu, Z.K.; Chen, L.Q.; Chu, Y.H.; Zavaliche, F.; Ramesh, R. Effect of substrate-induced strains on the spontaneous polarization of epitaxial BiFeO3 thin films. J. Appl. Phys. 2007, 101, 114105–114110. [Google Scholar] [CrossRef]
- Ederer, C.; Spaldin, N.A. Effect of epitaxial strain on the spontaneous polarization of thin film ferroelectrics. Phys. Rev. Lett. 2005, 95. [Google Scholar] [CrossRef]
- Diéguez, O.; González-Vázquez, O.E.; Wojdeł, J.C.; Íñiguez, J. First-principles predictions of low-energy phases of multiferroic BiFeO3. Phys. Rev. B 2011, 83. [Google Scholar] [CrossRef]
- Roytburd, A.L. Stability of heterophase nanostructure and field induced response of epitaxial ferroelectric films. Appl. Phys. Lett. 2011, 99, 172902:1–179202:3. [Google Scholar] [CrossRef]
- Qi, Y.; Huang, C.; Chen, Z.; Luo, Z.; Wang, Y.; Guo, J.; White, T.; Wang, J.; Gao, C.; Sritharan, T.; Chen, L. Nanoscale phase separation in quasi-uniaxial and biaxial strained multiferroic thin films. Appl. Phys. Lett. 2011, 99, 132905:1–132905:3. [Google Scholar]
- Ouyang, J.; Zhang, W.; Huang, X.; Roytburd, A.L. Thermodynamics of formation of tetragonal and rhombohedral heterophase polydomains in epitaxial ferroelectric thin films. Acta Mater. 2011, 59, 3779–3791. [Google Scholar] [CrossRef]
- Qi, Y.; Chen, L.; Wang, Z.; Han, X.; Wang, J.; Sritharan, T.; Chen, L. Temperature-driven evolution of hierarchical nanodomain structure in tetragonal-like BiFeO3 films. Appl. Phys. Lett. 2012, 100. [Google Scholar] [CrossRef]
- Beekman, C.; Siemons, W.; Ward, T.Z.; Chi, M.; Howe, J.; Biegalski, M.D.; Balke, N.; Maksymovych, P.; Farrar, A.K.; Romero, J.B.; et al. Phase transitions, phase coexistence, and piezoelectric switching behavior in highly strained BiFeO3 films. Adv. Mater. 2013, 25, 5561–5567. [Google Scholar] [CrossRef]
- You, L.; Yasui, S.; Ehara, Y.; Zou, X.; Ding, H.; Chen, Z.; Chen, W.; Chen, L.; Funakubo, H.; Wang, J. Domain tuning in mixed-phase BiFeO3 thin films using vicinal substrates. Appl. Phys. Lett. 2012, 100. [Google Scholar] [CrossRef]
- Chen, Z.; You, L.; Huang, C.; Qi, Y.; Wang, J.; Sritharan, T.; Chen, L. Nanoscale domains in strained epitaxial BiFeO3 thin Films on LaSrAlO4 substrate. Appl. Phys. Lett. 2010, 96. [Google Scholar] [CrossRef]
- Zhang, J.X.; Xiang, B.; He, Q.; Seidel, J.; Zeches, R.J.; Yu, P.; Yang, S.Y.; Wang, C.H.; Chu, Y.H.; Martin, L.W.; et al. Large field-induced strains in a lead-free piezoelectric material. Nat. Nano 2011, 6, 98–102. [Google Scholar] [CrossRef]
- Nelson, C.T.; Winchester, B.; Zhang, Y.; Kim, S.-J.; Melville, A.; Adamo, C.; Folkman, C.M.; Baek, S.-H.; Eom, C.-B.; Schlom, D.G.; et al. Spontaneous vortex nanodomain arrays at ferroelectric heterointerfaces. Nano Lett. 2011, 11, 828–834. [Google Scholar] [CrossRef]
- Chen, W.; Ren, W; You, L.; Yang, Y.; Chen, Z.; Qi, Y.; Zou, X.; Wang, J.; Sritharan, T.; Yang, P.; et al. Domain structure and in-plane switching in a highly strained Bi0.9Sm0.1FeO3 film. Appl. Phys. Lett. 2011, 99. [Google Scholar] [CrossRef]
- You, L.; Chen, Z.; Zou, X.; Ding, H.; Chen, W.; Chen, L.; Yuan, G.; Wang, J. Characterization and manipulation of mixed phase nanodomains in highly strained BiFeO3 thin films. ACS Nano 2012, 6, 5388–5394. [Google Scholar] [CrossRef]
- Tripathi, S.; Pandey, D.; Mishra, S.K.; Krishna, P.S.R. Morphotropic phase-boundary-like characteristic in a lead-free and non-ferroelectric (1−x) NaNbO3–xCaTiO3 system. Phys. Rev. B 2008, 77. [Google Scholar] [CrossRef]
- Qi, Y.; Chen, Z.; Huang, C.; Wang, L.; Han, X.; Wang, J.; Yang, P.; Sritharan, T.; Chen, L. Coexistence of ferroelectric vortex domains and charged domain walls in epitaxial BiFeO3 film on (110) GdScO3 substrate. J. Appl. Phys. 2012, 111. [Google Scholar] [CrossRef]
- Lee, J.H.; Chu, K.; Ünal, A.A.; Valencia, S.; Kronast, F.; Kowarik, S.; Seidel, J.; Yang, C.-H. Phase separation and electrical switching between two isosymmetric multiferroic phases in tensile strained BFO thin films. Phys. Rev. B 2014, 89. [Google Scholar] [CrossRef]
- Zembilgotov, A.G.; Bottger, U.; Waser, R. Effect of in-plane shear strain on phase states and dielectric properties of epitaxial ferroelectric thin films. J. Appl. Phys. 2008, 104. [Google Scholar] [CrossRef]
- Zembilgotov, A.G.; Pertsev, N.A.; Bottger, U.; Waser, R. Effect of anisotropic in-plane strains on phase states and dielectric properties of epitaxial ferroelectric thin films. Appl. Phys. Lett. 2005, 86, 052903:1–052903:3. [Google Scholar]
- Farag, N.; Bobeth, M.; Pompe, W.; Romanov, A.E.; Speck, J.S. Modeling of twinning in epitaxial (001)-oriented La0.67Sr0.33MnO3 thin films. J. Appl. Phys. 2005, 97. [Google Scholar] [CrossRef]
- Arnold, D.C.; Knight, K.S.; Morrison, F.D.; Lightfoot, P. Ferroelectric-paraelectric transition in BiFeO3: Crystal structure of the orthorhombic beta phase. Phys. Rev. Lett. 2009, 102. [Google Scholar] [CrossRef]
- Palai, R.; Katiyar, R.S.; Schmid, H.; Tissot, P.; Clark, S.J.; Robertson, J.; Redfern, S.A.T.; Catalan, G.; Scott, J.F. Beta phase and gamma-beta metal-insulator transition in multiferroic BiFeO3. Phys. Rev. B 2008. [Google Scholar] [CrossRef]
- Sandiumenge, F.; Santiso, J.; Balcells, L.; Konstantinovic, Z.; Roqueta, J.; Pomar, A.; Espinós, J.P.; Martínez, B. Competing misfit relaxation mechanisms in epitaxial correlated oxides. Phys. Rev. Lett. 2013, 110. [Google Scholar] [CrossRef]
- Fan, Z.; Wang, J.; Sullivan, M.B.; Huan, A.; Singh, D.J.; Ong, K.P. Structural instability of epitaxial (001) BiFeO3 thin films under tensile strain. Sci. Rep. 2014, 4, 4631–4636. [Google Scholar]
- Zhang, J.X.; He, Q.; Trassin, M.; Luo, W.; Yi, D.; Rossell, M.D.; Yu, P.; You, L.; Wang, C.H.; Kuo, C.Y.; et al. Microscopic origin of the giant ferroelectric polarization in tetragonal-like BiFeO3. Phys. Rev. Lett. 2011, 107. [Google Scholar] [CrossRef]
- Guo, R.; Cross, L.E.; Park, S.E.; Noheda, B.; Cox, D.E.; Shirane, G. Origin of the high piezoelectric response in PbZr1−xTixO3. Phys. Rev. Lett. 2000, 84, 5423–5426. [Google Scholar] [CrossRef]
- Jaffe, B.; Cook, W.R.; Jaffe, H. Piezoelectric Ceramics; Academic Press: London, UK, 1971. [Google Scholar]
- Bellaiche, L.; Vanderbilt, D. Intrinsic piezoelectric response in perovskite alloys: PMN-PT versus PZT. Phys. Rev. Lett. 1999, 83, 1347–1350. [Google Scholar] [CrossRef]
- He, Q.; Chu, Y.H.; Heron, J.T.; Yang, S.Y.; Liang, W.I.; Kuo, C.Y.; Lin, H.J.; Yu, P.; Liang, C.W.; Zeches, R.J.; et al. Electrically controllable spontaneous magnetism in nanoscale mixed phase multiferroics. Nat. Commun. 2011, 2, 225–229. [Google Scholar]
- Cheng, C.-J.; Lu, C.; Chen, Z.; You, L.; Chen, L.; Wang, J.; Wu, T. Thickness-dependent magnetism and spin-glass behaviors in compressively strained BiFeO3 thin films. Appl. Phys. Lett. 2011, 98. [Google Scholar] [CrossRef]
- Chen, Y.-C.; He, Q.; Chu, F.-N.; Huang, Y.-C.; Chen, J.-W.; Liang, W.-I.; Vasudevan, R.K.; Nagarajan, V.; Arenholz, E.; Kalinin, S.V.; et al. Electrical control of multiferroic orderings in mixed-phase BiFeO3 films. Adv. Mater. 2012, 24, 3070–3075. [Google Scholar] [CrossRef]
- Biegalski, M.D.; Dorr, K.; Kim, D.H.; Christen, H.M. Applying uniform reversible strain to epitaxial oxide films. Appl. Phys. Lett. 2010, 96, 151905:1–151905:3. [Google Scholar]
- Huang, C.W.; Ren, W.; Nguyen, V.C.; Chen, Z.; Wang, J.; Sritharan, T.; Chen, L. Abnormal poisson’s ratio and linear compressibility in perovskite materials. Adv. Mater. 2012, 24, 4170–4174. [Google Scholar] [CrossRef]
- Choi, K.J.; Biegalski, M.; Li, Y.L.; Sharan, A.; Schubert, J.; Uecker, R.; Reiche, P.; Chen, Y.B.; Pan, X.Q.; Gopalan, V.; et al. Enhancement of ferroelectricity in strained BaTiO3 thin films. Science 2004, 306, 1005–1009. [Google Scholar] [CrossRef]
- Taganstev, A.K.; cross, L.E.; Fousek, J. Domains in Ferroic Materials and Thin Films; Springer: New York, NY, USA, 2010. [Google Scholar]
- Junquera, J.; Ghosez, P. Critical thickness for ferroelectricity in perovskite ultrathin films. Nature 2003, 422, 506–509. [Google Scholar] [CrossRef]
- Batra, I.P.; Wurfel, P.; Silverman, B.D. Phase transition, stability, and depolarization field in ferroelectric thin films. Phys. Rev. B 1973, 8, 3257–3266. [Google Scholar]
- Kopal, A.; Bahnik, T.; Fousek, J. Domain formation in thin ferroelectric films: The role of depolarization energy. Ferroelectrics 1997, 202, 267–274. [Google Scholar] [CrossRef]
- Fong, D.D.; Stephenson, G.B.; Streiffer, S.K.; Eastman, J.A.; Auciello, O.; Fuoss, P.H.; Thompson, C. Ferroelectricity in ultrathin perovskite films. Science 2004, 304, 1650–1653. [Google Scholar]
- Lichtensteiger, C.; Dawber, M.; Stucki, N.; Triscone, J.-M.; Hoffman, J.; Yau, J.-B.; Ahn, C.H.; Despont, L.; Aebi, P. Monodomain to polydomain transition in ferroelectric PbTiO3 thin films with La0.67Sr0.33MnO3 electrodes. Appl. Phys. Lett. 2007, 90. [Google Scholar] [CrossRef]
- Highland, M.J.; Fister, T.T.; Fong, D.D.; Fuoss, P.H.; Thompson, C.; Eastman, J.A.; Streiffer, S.K.; Stephenson, G.B. Equilibrium polarization of ultrathin PbTiO3 with surface compensation controlled by oxygen partial pressure. Phys. Rev. Lett. 2011, 107. [Google Scholar] [CrossRef]
- Yang, S.Y.; Seidel, J.; Byrnes, S.J.; Shafer, P.; Yang, C.H.; Rossell, M.D.; Yu, P.; Chu, Y.H.; Scott, J.F.; Ager, J.W.; et al. Above-bandgap voltages from ferroelectric photovoltaic devices. Nat. Nano 2010, 5, 143–147. [Google Scholar] [CrossRef]
- Seidel, J.; Martin, L.W.; He, Q.; Zhan, Q.; Chu, Y.H.; Rother, A.; Hawkridge, M.E.; Maksymovych, P.; Yu, P.; Gajek, M.; et al. Conduction at domain walls in oxide multiferroics. Nat. Mater. 2009, 8, 229–234. [Google Scholar] [CrossRef]
- Catalan, G.; Seidel, J.; Ramesh, R.; Scott, J.F. Domain wall nanoelectronics. Rev. Mod. Phys. 2012, 84, 119–156. [Google Scholar] [CrossRef]
- Farokhipoor, S.; Noheda, B. Conduction through 71° Domain Walls in BiFeO3 Thin Films. Phys. Rev. Lett. 2011, 107. [Google Scholar] [CrossRef]
- Guo, R. Photovoltaic property of BiFeO3 thin films with 109° domains. Appl. Phys. Lett. 2011, 99. [Google Scholar] [CrossRef]
- Guo, R.; You, L.; Zhou, Y.; Lim, Z.S.; Zou, X.; Chen, L.; Ramesh, R.; Wang, J. Non-volatile memory based on ferroelectric photovoltaic effect. Nat. Commun. 2013, 4, 1990–1994. [Google Scholar]
- Chu, Y.-H.; He, Q.; Yang, C.-H.; Yu, P.; Martin, L.W.; Shafer, P.; Ramesh, R. Nanoscale control of domain architectures in BiFeO3 thin films. Nano Lett. 2009, 9, 1726–1730. [Google Scholar] [CrossRef]
- Huang, C.W.; Chen, Z.H.; Wang, J.; Sritharan, T.; Chen, L. Stability and crossover of 71° and 109° domains influenced by the film thickness and depolarization field in rhombohedral ferroelectric thin films. J. Appl. Phys. 2011, 110. [Google Scholar] [CrossRef]
- Rault, J.E.; Ren, W.; Prosandeev, S.; Lisenkov, S.; Sando, D.; Fusil, S.; Bibes, M.; Barthélémy, A.; Bellaiche, L.; Barrett, N. Thickness-dependent polarization of strained BiFeO3 films with constant tetragonality. Phys. Rev. Lett. 2012, 109. [Google Scholar] [CrossRef]
- Catalan, G.; Bea, H.; Fusil, S.; Bibes, M.; Paruch, P.; Barthelemy, A.; Scott, J.F. Fractal dimension and size scaling of domains in thin films of multiferroic BiFeO3. Phys. Rev. Lett. 2008, 100. [Google Scholar] [CrossRef]
- Woo, C.-S.; Lee, J.H.; Chu, K.; Jang, B.-K.; Kim, Y.-B.; Koo, T.Y.; Yang, P.; Qi, Y.; Chen, Z.; Chen, L.; et al. Suppression of mixed-phase areas in highly elongated BiFeO3 thin films on NdAlO3 substrates. Phys. Rev. B 2012, 86. [Google Scholar] [CrossRef]
- Chu, Y.-H.; Zhan, Q.; Martin, L.W.; Cruz, M.P.; Yang, P.-L.; Pabst, G.W.; Zavaliche, F.; Yang, S.-Y.; Zhang, J.-X.; Chen, L.-Q.; et al. Nanoscale domain control in multiferroic BiFeO3 thin films. Adv. Mater. 2006, 18, 2307–2311. [Google Scholar]
- Jang, H.W.; Ortiz, D.; Baek, S.-H.; Folkman, C.M.; Das, R.R.; Shafer, P.; Chen, Y.; Nelson, C.T.; Pan, X.; Ramesh, R.; et al. Domain Engineering for enhanced ferroelectric properties of epitaxial (001) BiFeO3 thin films. Adv. Mater. 2009, 21, 817–823. [Google Scholar] [CrossRef]
- Huang, C.W.; Chen, L.; Wang, J.; He, Q.; Yang, S.Y.; Chu, Y.H.; Ramesh, R. Phenomenological analysis of domain width in rhombohedral BiFeO3 films. Phys. Rev. B 2009, 80. [Google Scholar] [CrossRef]
- Chen, Y.B.; Katz, M.B.; Pan, X.Q.; R. Das, R.; Kim, D.M.; Baek, S.H.; Eom, C.B. Ferroelectric domain structures of epitaxial (001) BiFeO3 thin films. Appl. Phys. Lett. 2007, 90. [Google Scholar] [CrossRef]
- Huang, C.W.; Chen, Z.H.; Chen, L. Thickness-dependent evolutions of domain configuration and size in ferroelectric and ferroelectric-ferroelastic films. J. Appl. Phys. 2013, 113. [Google Scholar] [CrossRef]
- Seidel, J.; Maksymovych, P.; Batra, Y.; Katan, A.; Yang, S.Y.; He, Q.; Baddorf, A.P.; Kalinin, S.V.; Yang, C.H.; Yang, J.C.; et al. Ramesh, domain wall conductivity in la-doped BiFeO3. Phys. Rev. Lett. 2010, 105. [Google Scholar] [CrossRef]
- Lee, D.; Behera, R.K.; Wu, P.; Xu, H.; Li, Y.L.; Sinnott, S.B.; Phillpot, S.R.; Chen, L.Q.; Gopalan, V. Mixed Bloch-Néel-Ising character of 180° ferroelectric domain walls. Phys. Rev. B 2009, 80. [Google Scholar] [CrossRef]
- Lubk, A.; Gemming, S.; Spaldin, N.A. First-principles study of ferroelectric domain walls in multiferroic bismuth ferrite. Phys. Rev. B 2009, 80. [Google Scholar] [CrossRef]
- Wang, Y.; Nelson, C.; Melville, A.; Winchester, B.; Shang, S.; Liu, Z.-K.; Schlom, D.G.; Pan, X.; Chen, L.-Q. BiFeO3 domain wall energies and structures: A combined experimental and density functional Theory+U Study. Phys. Rev. Lett. 2013, 110. [Google Scholar] [CrossRef]
- Cruz, M.P.; Chu, Y.H.; Zhang, J.X.; Yang, P.L.; Zavaliche, F.; He, Q.; Shafer, P.; Chen, L.Q.; Ramesh, R. Strain Control of Domain-Wall Stability in Epitaxial BiFeO3 (110) Films. Phys. Rev. Lett. 2007, 99. [Google Scholar] [CrossRef]
- Daraktchiev, M.; Catalan, G.; Scott, J.F. Landau theory of ferroelectric domain walls in magnetoelectrics. Ferroelectrics 2008, 375, 122–131. [Google Scholar] [CrossRef]
© 2014 by the authors; licensee MDPI, Basel, Switzerland. This article is an open access article distributed under the terms and conditions of the Creative Commons Attribution license (http://creativecommons.org/licenses/by/3.0/).
Share and Cite
Huang, C.; Chen, L. Effects of Interfaces on the Structure and Novel Physical Properties in Epitaxial Multiferroic BiFeO3 Ultrathin Films. Materials 2014, 7, 5403-5426. https://doi.org/10.3390/ma7075403
Huang C, Chen L. Effects of Interfaces on the Structure and Novel Physical Properties in Epitaxial Multiferroic BiFeO3 Ultrathin Films. Materials. 2014; 7(7):5403-5426. https://doi.org/10.3390/ma7075403
Chicago/Turabian StyleHuang, Chuanwei, and Lang Chen. 2014. "Effects of Interfaces on the Structure and Novel Physical Properties in Epitaxial Multiferroic BiFeO3 Ultrathin Films" Materials 7, no. 7: 5403-5426. https://doi.org/10.3390/ma7075403
APA StyleHuang, C., & Chen, L. (2014). Effects of Interfaces on the Structure and Novel Physical Properties in Epitaxial Multiferroic BiFeO3 Ultrathin Films. Materials, 7(7), 5403-5426. https://doi.org/10.3390/ma7075403








