Organic Field-Effect Transistors Based on a Liquid-Crystalline Polymeric Semiconductor using SU-8 Gate Dielectrics onFlexible Substrates
Abstract
:1. Introduction
2. Experimental Section
2.1. Preparation of Substrates
2.2. Fabrication of Organic Transistors
2.3. Automated µ-Dispensing of the Semiconductor
2.4. Characterization
3. Results and Discussion
3.1. Surface Properties of SU-8 Planarization Films

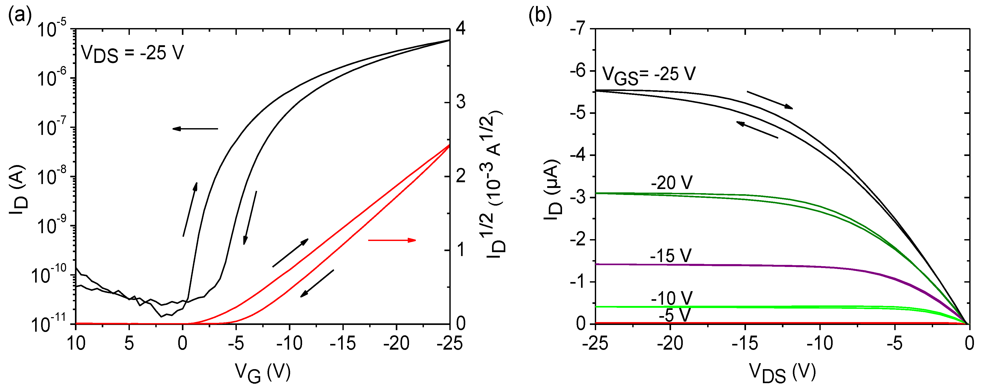
3.2. Electrical Characterization of Organic Transistors Based on SU-8 and PVP Dielectrics



| Characteristic | FS111 on SU-8/FOC | FS111 on PVP/glass |
|---|---|---|
| Field-effect mobility µsat | 0.1 cm2/Vs ± 0.04 cm2/Vs | 0.2 cm2/Vs ± 0.03 cm2/Vs |
| Threshold voltage VT | −4 V ± 0.8 V | −5 V ± 1 V |
| On/off-current ratio | 2 × 104 | 3 × 104 |
| Subthreshold swing | 1.6 V/dec | 1.7 V/dec |



3.3. Automated µ-Dispensed Organic Transistors on Flexible Substrates




3.4. Long-Term Stability of µ-Dispensed Organic Transistors on Flexible Substrates

| Characteristic | As fabricated | After 60 days | After 60 days and curing at 100 °C in a vacuum | After 60 days and curing at 150 °C in a vacuum |
|---|---|---|---|---|
| Field-effect mobility µsat | 0.09 cm2/Vs | 0.07 cm2/Vs | 0.05 cm2/Vs | 0.05 cm2/Vs |
| Threshold voltage VT | −3.5 V | 3 V | 0 V | −4 V |
| On/off-current ratio | 8 × 105 | 50 | 3 × 103 | 4 × 105 |
| Subthreshold swing | 0.75 V/dec | 80 V/dec | 5 V/dec | 0.8 V/dec |
4. Conclusions
Supplementary Materials
Acknowledgments
Conflicts of Interest
References
- Shao, M.; Das, S.; Xiao, K.; Chen, J.; Keum, J.K.; Ivanov, I.N.; Gu, G.; Durant, W.; Li, D.; Geohegan, D.B. High-performance organic field-effect transistors with dielectric and active layers printed sequentially by ultrasonic spraying. J. Mater. Chem. C 2013, 1, 4384–4390. [Google Scholar]
- Eum, K.; Kim, K.; Han, J.; Chung, I. Fabrication and characterization of ink jet processed organic thin film transistors with poly-4-vinylphenol gate dielectric. J. Vac. Sci. Technol. A 2010, 28, 873–878. [Google Scholar]
- Bose, I.; Ohlander, A.; Stich, M.I.J.; Kiesl, C.; Hemmetzberger, D.; Klink, G.; Trupp, S.; Bock, K. Polymer opto-chemical-electronic based module as a detection system for volatile analytes on a foil substrate. Proc. SPIE 2012, 8479, 84790C:1–84790C:13. [Google Scholar]
- Ortiz, R.P.; Facchetti, A.; Marks, T.J. High-k organic, inorganic, and hybrid dielectrics for low-voltage organic field-effect transistors. Chem. Rev. 2010, 110, 205–239. [Google Scholar] [CrossRef] [PubMed]
- Veres, J.; Ogier, S.; Lloyd, G.; de Leeuw, D. Gate insulators in organic field-effect transistors. Chem. Mater. 2004, 16, 4543–4555. [Google Scholar]
- Sun, X.; Di, C.A.; Liu, Y. Engineering of the dielectric-semiconductor interface in organic field-effect transistors. J. Mater. Chem. 2010, 20, 2599–2611. [Google Scholar] [CrossRef]
- Horowitz, G. Interfaces in organic field-effect transistors. In Organic Electronics; Grasser, T., Meller, G., Li, L., Eds.; Springer: Berlin/Heidelberg, Germany, 2009; Volume 223, pp. 113–153. [Google Scholar]
- Klauk, H.; Halik, M.; Zschieschang, U.; Schmid, G.; Radlik, W.; Weber, W. High-mobility polymer gate dielectric pentacene thin film transistors. J. Appl. Phys. 2002, 92, 5259–5263. [Google Scholar] [CrossRef]
- Lee, S.H.; Choo, D.J.; Han, S.H.; Kim, J.H.; Son, Y.R.; Jang, J. High performance organic thin-film transistors with photopatterned gate dielectric. Appl. Phys. Lett. 2007, 90, 033502:1–033502:3. [Google Scholar]
- Vicca, P.; Steudel, S.; Smout, S.; Raats, A.; Genoe, J.; Heremans, P. A low-temperature-cross-linked poly(4-vinylphenol) gate-dielectric for organic thin film transistors. Thin Solid Films 2010, 519, 391–393. [Google Scholar] [CrossRef]
- Roberts, M.E.; Queraltó, N.; Mannsfeld, S.C.B.; Reinecke, B.N.; Knoll, W.; Bao, Z. Cross-linked polymer gate dielectric films for low-voltage organic transistors. Chem. Mater. 2009, 21, 2292–2299. [Google Scholar] [CrossRef]
- Yang, F.Y.; Chang, K.J.; Hsu, M.Y.; Liu, C.C. High-performance poly(3-hexylthiophene) transistors with thermally cured and photo-cured PVP gate dielectrics. J. Mater. Chem. 2008, 18, 5927–5932. [Google Scholar] [CrossRef]
- Lee, S.; Koo, B.; Shin, J.; Lee, E.; Park, H.; Kim, H. Effects of hydroxyl groups in polymeric dielectrics on organic transistor performance. Appl. Phys. Lett. 2006, 88, 162109. [Google Scholar] [CrossRef]
- Kim, S.H.; Yang, H.; Yang, S.Y.; Hong, K.; Choi, D.; Yang, C.; Chung, D.S.; Park, C.E. Effect of water in ambient air on hysteresis in pentacene field-effect transistors containing gate dielectrics coated with polymers with different functional groups. Org. Electron. 2008, 9, 673–677. [Google Scholar] [CrossRef]
- Riedel, B.; Kaiser, I.; Hauss, J.; Lemmer, U.; Gerken, M. Improving the outcoupling efficiency of indium-tin-oxide-free organic light-emitting diodes via rough internal interfaces. Opt. Express 2010, 18, A631–A639. [Google Scholar] [CrossRef] [PubMed]
- Nemani, K.V.; Moodie, K.L.; Brennick, J.B.; Su, A.; Gimi, B. In vitro and in vivo evaluation of SU-8 biocompatibility. Mater. Sci. Eng. C 2013, 33, 4453–4459. [Google Scholar] [CrossRef]
- Chang, Y.J.; Mohseni, K.; Bright, V.M. Fabrication of tapered SU-8 structure and effect of sidewall angle for a variable focus microlens using EWOD. Sens. Actuators A 2007, 136, 546–553. [Google Scholar] [CrossRef]
- Melai, J.; Salm, C.; Smits, S.; Visschers, J.; Schmitz, J. The electrical conduction and dielectric strength of SU-8. J. Micromech. Microeng. 2009, 19, 065012. [Google Scholar] [CrossRef]
- Mert, O.; Mutlu, S. f-Aligned Polymer Thin Film Transistors Fabricated Using Backside Exposure. In. In Proceedings of the 5th International TFT Conference (ITC),, Palaiseau, France, 5–6 March 2009.
- Yildirim, F.; Schliewe, R.; Bauhofer, W.; Meixner, R.; Goebel, H.; Krautschneider, W. Gate insulators and interface effects in organic thin-film transistors. Org. Electron. 2008, 9, 70–76. [Google Scholar] [CrossRef]
- Kim, C.; Tondelier, D.; Geffroy, B.; Bonnassieux, Y.; Horowitz, G. Characterization of the pentacene thin-film transistors with an epoxy resin-based polymeric gate insulator. Eur. Phys. J. Appl. Phys. 2012, 57, 20201:1–20201:6. [Google Scholar] [CrossRef]
- Cooper, A.; Cernigliaro, G.; Adams, T.; Mcgloin, S.; Pease, T.; Chatterjee, S.K.; Barwick, D. nent Epoxy Used for Gate Dielectric & ILD Layers in Organic TFT Back-Planes. In. In Proceedings of the Plastic Electronics,, Dresden, Germany, 19–21 October 2010.
- Smaal, W.; Kjellander, C.; Jeong, Y.; Tripathi, A.; van der Putten, B.; Facchetti, A.; Yan, H.; Quinn, J.; Anthony, J.; Myny, K.; Dehaene, W.; Gelinck, G. Complementary integrated circuits on plastic foil using inkjet printed n- and p-type organic semiconductors: Fabrication, characterization, and circuit analysis. Org. Electron. 2012, 13, 1686–1692. [Google Scholar]
- Ng, T.N.; Daniel, J.H.; Sambandan, S.; Arias, A.C.; Chabinyc, M.L.; Street, R.A. Gate bias stress effects due to polymer gate dielectrics in organic thin-film transistors. J. Appl. Phys. 2008, 103, 044506. [Google Scholar] [CrossRef]
- Lin, Y.H.; Ezhumalai, Y.; Yang, Y.L.; Liao, C.T.; Hsu, H.F.; Wu, C. Influence of Mesogenic Properties of Cruciform-Shaped Liquid Crystals by Incorporating Side-Arms with a Laterally-Substituted-Fluorine. Crystals 2013, 3, 339–349. [Google Scholar]
- Tetzner, K.; Duffy, W.; Bock, K. Performance spread reduction in organic field-effect transistors using semiconducting liquid-crystal polymers. Appl. Phys. Lett. 2013, 103, 093304:1–093304:4. [Google Scholar] [CrossRef]
- Salleo, A.; Chabinyc, M.L.; Yang, M.S.; Street, R.A. Polymer thin-film transistors with chemically modified dielectric interfaces. Appl. Phys. Lett. 2002, 81, 4383–4385. [Google Scholar] [CrossRef]
- Park, D.; Heo, J.; Kwon, J.; Chung, I. Electrical characterization of pentacene-based organic thin-film Transistors. J. Korean Phys. Soc. 2009, 54, 687–691. [Google Scholar] [CrossRef]
- Madec, M.B.; Smith, P.J.; Malandraki, A.; Wang, N.; Korvink, J.G.; Yeates, S.G. Enhanced reproducibility of inkjet printed organic thin film transistors based on solution processable polymer-small molecule blends. J. Mater. Chem. 2010, 20, 9155–9160. [Google Scholar] [CrossRef]
- Egginger, M.; Bauer, S.; Schwödiauer, R.; Neugebauer, H.; Sariciftci, N.S. Current versus gate voltage hysteresis in organic field effect transistors. Monatsh. Chem. 2009, 140, 735–750. [Google Scholar] [CrossRef]
- Hwang, D.K.; Lee, K.; Kim, J.H.; Im, S.; Park, J.H.; Kim, E. Comparative studies on the stability of polymer versus SiO2 gate dielectrics for pentacene thin-film transistors. Appl. Phys. Lett. 2006, 89, 093507:1–093507:3. [Google Scholar]
- Kim, S.H.; Yun, W.M.; Kwon, O.K.; Hong, K.; Yang, C.; Choi, W.S.; Park, C.E. Hysteresis behaviour of low-voltage organic field-effect transistors employing high dielectric constant polymer gate dielectrics. J. Phys. D Appl. Phys. 2010, 43, 465102:1–465102:8. [Google Scholar]
© 2014 by the authors; licensee MDPI, Basel, Switzerland. This article is an open access article distributed under the terms and conditions of the Creative Commons Attribution license (http://creativecommons.org/licenses/by/3.0/).
Share and Cite
Tetzner, K.; Bose, I.R.; Bock, K. Organic Field-Effect Transistors Based on a Liquid-Crystalline Polymeric Semiconductor using SU-8 Gate Dielectrics onFlexible Substrates. Materials 2014, 7, 7226-7242. https://doi.org/10.3390/ma7117226
Tetzner K, Bose IR, Bock K. Organic Field-Effect Transistors Based on a Liquid-Crystalline Polymeric Semiconductor using SU-8 Gate Dielectrics onFlexible Substrates. Materials. 2014; 7(11):7226-7242. https://doi.org/10.3390/ma7117226
Chicago/Turabian StyleTetzner, Kornelius, Indranil R. Bose, and Karlheinz Bock. 2014. "Organic Field-Effect Transistors Based on a Liquid-Crystalline Polymeric Semiconductor using SU-8 Gate Dielectrics onFlexible Substrates" Materials 7, no. 11: 7226-7242. https://doi.org/10.3390/ma7117226
APA StyleTetzner, K., Bose, I. R., & Bock, K. (2014). Organic Field-Effect Transistors Based on a Liquid-Crystalline Polymeric Semiconductor using SU-8 Gate Dielectrics onFlexible Substrates. Materials, 7(11), 7226-7242. https://doi.org/10.3390/ma7117226
