Magneto-Optical Thin Films for On-Chip Monolithic Integration of Non-Reciprocal Photonic Devices
Abstract
:1. Introduction

2. Progress on Monolithic Integration of Magneto-Optical Oxides on Semiconductors
| Magnetic Oxides | Θ (°/cm) at 1550 nm | α (dB/cm) at 1550 nm | FoM(°/dB) at 1550 nm | Challenges |
|---|---|---|---|---|
| Garnets (Y3Fe5O12, (Bi,Y)3Fe5O12, (Ce,Y)3Fe5O12) | −3300 (CeYIG) [73] | 5.8 [73] | 570 | Lattice and thermal mismatch; Impurity phases; Thermal budget |
| Spinel/Hexaferrites (Fe3O4, γ-Fe2O3, CoFe2O4, MgFe2O4, BaFe12O19) | 2.5 × 104 (γ-Fe2O3) [58] | 3.5 × 105 [60] | 0.07 | Absorption due to Fe2+, Co2+, IVCT, ISCT etc. |
| Manganites ((La,Sr)MnO3, (La,Ca)MnO3) | ~2000 (LSMO at 2.6eV) [69] | ~8 × 104 [69] | – | Metallic and optically absorbent due to Mn3+–Mn4+ double exchange |
| Orthoferrites (YFeO3, LaFeO3, BiFeO3) | ~500 [74] | <2 [75] | 250 | Low magnetization in thin films; Birefringence; Thermal budget |
| Nanocrystals (γ-Fe2O3, CoFe2O4 nanocrystals) | 310 [67] | 130 [67] | 2.4 | Relatively low Faraday rotation, superparamagnetism, relatively low FoM |
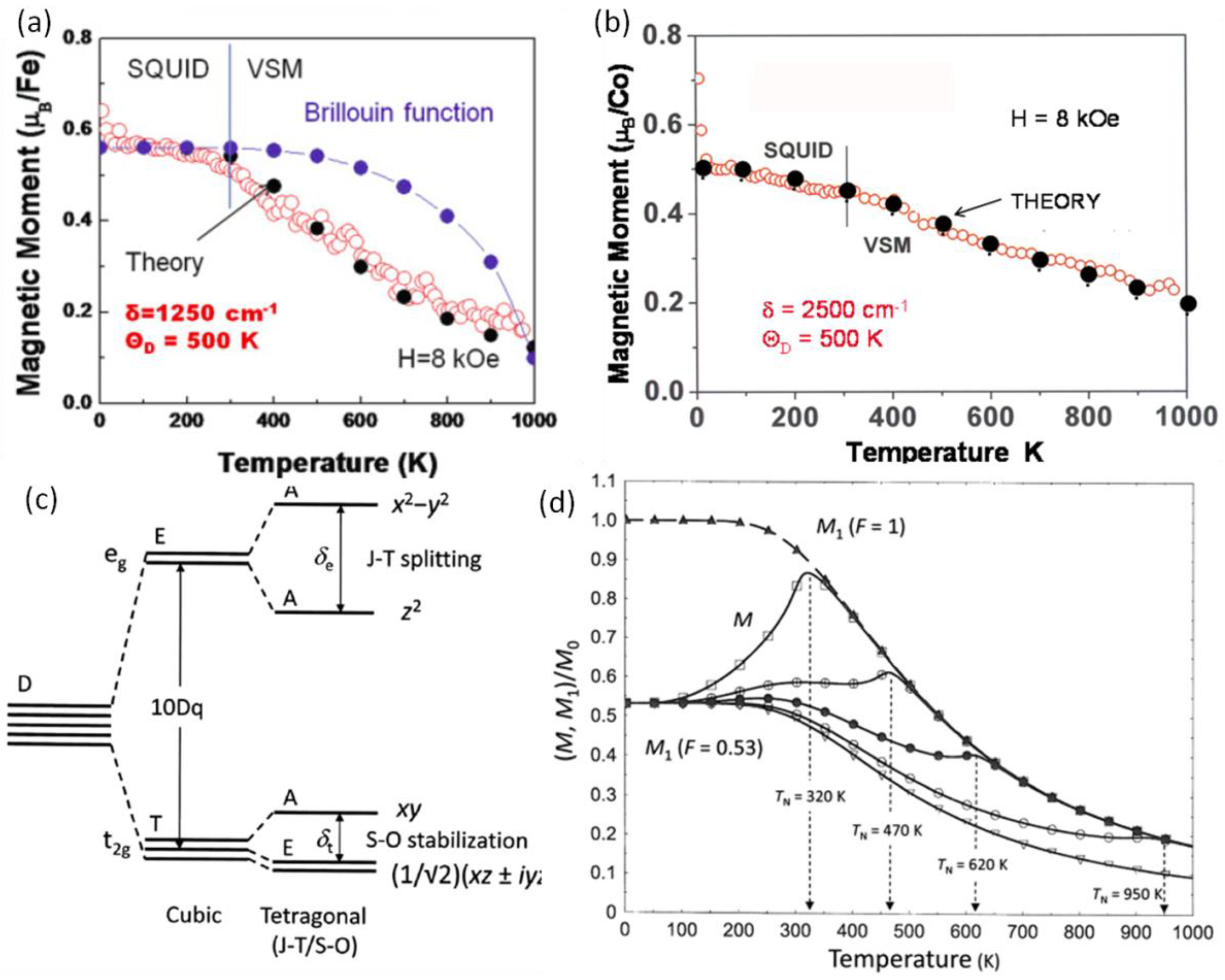
3. Co Substituted CeO2−δ Films

4. Fe or Co Substituted SrTiO3−δ Films




5. Polycrystalline BiYIG and CeYIG Films


6. A Nonreciprocal Ring Resonator Based Optical Isolator on SOI


7. Summary
| Materials | FR (deg/cm) | Loss (dB/cm) | FoM (deg/dB) |
|---|---|---|---|
| Ce0.94Co0.06O3−δ [80] | −200 | ~3000 | 0.06 |
| Sr(Ti0.77Co0.23)O3−δ [96] | −200~−500 | 300~400 | 0.57 |
| Sr(Ti0.6Fe0.4)O3−δ [95] | −780 | 700 | 1.1 |
| Sr(Ti0.2Ga0.4Fe0.4)O3−δ [99] | −400 | 100~120 | 3~4 |
| Y3Fe5O12 (polycrystal) [102] | +100 | ~50 | ~2 |
| Ce1Y2Fe5O12 (polycrystal) [102] | −830 | ~40 | ~21 |
| Devices | Isolation Ratio (dB) | Insertion Loss (dB) | Device Length (μ) |
|---|---|---|---|
| NRMC (Nonreciprocal Mode Conversion) [107] | 27 | 8~11 | 4100 |
| NRMC [108] | 24 | 4.6 | 3150 |
| NRMC [109] | 13.3 | 6.3~8.1 | 4500 |
| MZ NRPS [110] | 19 | 13 | 8000 |
| MZ NRPS [111] | 21 | 8 | 4000 |
| MZ NRPS [112,113] | 28 | 11(2.2 dB exess loss compared to waveguide with CeYIG) | 1500 |
| MZ NRPS (BCB bonding) [6] | 25 | 14 | 960 |
| Resonator NRPS [105] | 19.5 | 18.2 | 290 |
Acknowledgments
Conflicts of Interest
References
- Prince, K.; Gibbon, T.B.; Rodes, R.; Hviid, E.; Mikkelsen, C.I.; Neumeyr, C.; Ortsiefer, M.; Rönneberg, E.; Rosskopf, J.; Öhlén, P.; et al. GigaWaM—Next-Generation WDM-PON enabling gigabit per-user data bandwidth. J. Lightwave Technol. 2012, 30, 1444–1454. [Google Scholar] [CrossRef]
- Le, T.M.; Huang, F.; Stancil, D.D.; Lambeth, D.N. Bismuth substituted iron garnet thin films deposited on silicon by laser ablation. J. Appl. Phys. 1995, 77, 2128–2132. [Google Scholar] [CrossRef]
- Mizumoto, T.; Shoji, Y.; Takei, R. Direct wafer bonding and its application to waveguide optical isolators. Materials 2012, 5, 985–1004. [Google Scholar] [CrossRef]
- Takei, R.; Yoshida, K.; Mizumoto, T. Effect of wafer precleaning and Plasma irradiation to wafer surfaces for Plasma-assisted surface activated bonding. Jpn. J. Appl. Phys. 2010, 49, 086204:1–086204:3. [Google Scholar]
- Mizumoto, T.; Saito, H. Semi-Leaky Waveguide Optical Isolator. In Proceedings of Optical Fiber Communication Conference, Anaheim, CA, USA, 25 March 2007.
- Ghosh, S.; Keyvavinia, S.; Roy, W.V.; Roelkens, G.; Baets, R. Ce:YIG/Silicon-on-Insulator waveguide optical isolator realized by adhesive bonding. Opt. Express 2012, 20, 1839–1848. [Google Scholar] [CrossRef] [PubMed]
- Ghosh, S.; Keyvavinia, S.; Roy, W.V.; Roelkens, G.; Baets, R. Adhesively bonded Ce:YIG/SOI integrated optical circulator. Opt. Lett. 2013, 38, 965–967. [Google Scholar] [CrossRef] [PubMed]
- Tateda, M.; Kimura, T. Design feasibility of a single-mode optical isolator. IEEE J. Quantum Electron. 1982, 18, 1975–1981. [Google Scholar] [CrossRef]
- Dammann, H.; Pross, E.; Rabe, G.; Tolksdorf, W.; Zinke, M. Phase matching in symmetrical single-mode magneto-optic waveguides by application of stress. Appl. Phys. Lett. 1986, 49, 1755–1757. [Google Scholar] [CrossRef]
- Ando, K.; Koshizuka, N.; Okuda, T.; Yokoyama, Y. Growth-induced optical birefringence in LPE-grown Bi-based iron garnet films. Jpn. J. Appl. Phys. 1983, 22, L618–L620. [Google Scholar] [CrossRef]
- Fan, L.; Wang, J.; Varghese, L.T.; Shen, H.; Niu, B.; Xuan, Y.; Weiner, A.M.; Qi, M. An all-silicon passive optical diode. Science 2012, 335, 447–450. [Google Scholar] [CrossRef] [PubMed]
- Fan, L.; Varghese, L.T.; Wang, J.; Xuan, Y.; Weiner, A.M.; Qi, M. Silicon optical diode with 40 dB nonreciprocal transmission. Opt. Lett. 2013, 38, 1259–1261. [Google Scholar] [CrossRef] [PubMed]
- Soljaic, M.; Luo, C.; Joannopoulos, J.D.; Fan, S. Nonlinear photonic microdevices for optical integration. Opt. Lett. 2003, 28, 637–639. [Google Scholar] [CrossRef] [PubMed]
- Gallo, K.; Assanto, G.; Parameswaran, K.R.; Fejer, M.M. All-optical diode in a periodically poled lithium niobate waveguide. Appl. Phys. Lett. 2001, 79, 314–316. [Google Scholar] [CrossRef]
- Ibrahim, S.K.; Bhandare, S.; Sandel, D.; Zhang, H.; Noé, R. Non-magnetic 30 dB integrated optical isolator in III/V material. Electron. Lett. 2004, 40, 1293–1294. [Google Scholar] [CrossRef]
- Yu, Z.; Fan, S. Complete optical isolation created by indirect interband photonic transitions. Nat. Photonics 2008, 3, 91–94. [Google Scholar] [CrossRef]
- Lira, H.; Yu, Z.; Fan, S.; Lipson, M. Electrically driven nonreciprocity induced by interband photonic transition on a silicon chip. Phys. Rev. Lett. 2012, 109, 033901:1–033901:5. [Google Scholar] [CrossRef]
- Zaman, T.R.; Guo, X.; Ram, R.J. Semiconductor waveguide isolators. J. Lightwave Technol. 2008, 26, 291–301. [Google Scholar] [CrossRef]
- Körner, T.; Heinrich, A.; Weckerle, M.; Roocks, P.; Stritzker, B. Integration of magneto-optical active bismuth iron garnet on nongarnet substrates. J. Appl. Phys. 2008, 103, 07B337:1–07B337:3. [Google Scholar] [CrossRef]
- Nakata, Y.; Uetsuhara, H.; Yahiro, F.; Okada, T.; Maeda, M.; Ueda, K.; Higuchi, S. Fabrications of optically functional thin films for electric and magnetic fields sensors by pulsed-laser deposition. Proc. SPIE 2000, 3885, 304–308. [Google Scholar]
- Kumar, N.; Misra, D.S.; Venkataramani, N.; Prasad, S.; Krishnan, S. Magnetic properties of pulsed laser ablated YIG thin films on different substrates. J. Magn. Magn. Mater. 2004, 272, E899–E900. [Google Scholar] [CrossRef]
- Dumont, Y.; Keller, N.; Popova, O.; Schmool, D.S.; Gendron, F.; Tessier, M.; Guyot, M. Modified magnetic properties of oxygen off-stoichiometric yttrium iron garnet thin films. J. Magn. Magn. Mater. 2004, 272–276, E869–E871. [Google Scholar] [CrossRef]
- Kumar, N.; Prasad, S.; Misra, D.S.; Venkataramani, N.; Bohra, M.; Krishnan, R. The influence of substrate temperature and annealing on the properties of pulsed laser-deposited YIG films on fused quartz substrate. J. Magn. Magn. Mater. 2008, 320, 2233–2236. [Google Scholar] [CrossRef]
- Uno, T.; Noge, S. Growth of magneto-optic Ce: YIG thin films on amorphous silica substrates. J. Eur. Ceram. Soc. 2001, 21, 1957–1960. [Google Scholar] [CrossRef]
- Yang, Q.H.; Zhang, H.W.; Wen, Q.Y.; Liu, Y.L.; Xiao, J.Q. Effect of CeO2 buffer layer on the microstructure and magnetic properties of yttrium iron garnet film on Si substrate. J. Appl. Phys. 2009, 105, 07A507:1–07A507:3. [Google Scholar]
- Sung, S.Y.; Qi, X.; Reinke, J.; Mondal, S.K.; Lee, S.S.; Stadler, B.J.H. Fabrication of integrated magneto-optic isolator. Mater. Res. Soc. Symp. Proc. 2005, 834. [Google Scholar] [CrossRef]
- Sung, S.Y.; Qi, X.; Stadler, B.J.H. Integrating yttrium iron garnet onto nongarnet substrates with faster deposition rates and high reliability. Appl. Phys. Lett. 2005, 87, 12111:1–12111:3. [Google Scholar] [CrossRef]
- Cruz-Rivera, L.J.; Sung, S.Y.; Cassada, J.; Marrero-Cruz, M.R.; Stadler, B.J.H. Materials issues in the layers required for integrated magneto-optical isolators. Mater. Res. Soc. Symp. Proc. 2002, 722. [Google Scholar] [CrossRef]
- Stadler, B.J.H.; Gopinath, A. Magneto-Optical garnet films made by reactive sputtering. IEEE Trans. Magn. 2000, 36, 3957–3961. [Google Scholar] [CrossRef]
- Sung, S.Y.; Qi, X.; Mondal, K.; Stadler, B.J.H. Partial pressure differential and rapid thermal annealing for integrated yttrium iron garnet (YIG). Mater. Res. Soc. Symp. Proc. 2004, 817. [Google Scholar] [CrossRef]
- Sung, S.Y.; Qi, X.; Stadler, B.J.H. Fabrication of Garnet Waveguides and Polarizers for Integrated Optical Isolators. In Proceedings of Lasers and Electro-Optics (CLEO), Baltimore, MD, USA, 6 May 2007.
- Sung, S.Y.; Qi, X.; Stadler, B.J.H. Integration of Magneto-Optic Garnet Waveguides and Polarizers for Optical Isolators. In Proceedings of Lasers and Electro-Optics (CLEO), San Jose, CA, USA, 4 May 2008.
- Boudiar, T.; Payet-Gervy, B.; Blanc-Mignon, M.F.; Rousseau, J.J.; Berre, M.L.; Joisten, H. Magneto-optical properties of yttrium iron garnet (YIG) thin films elaborated by radio frequency sputtering. J. Magn. Magn. Mater. 2004, 284, 77–85. [Google Scholar] [CrossRef]
- Bandyopadhyay, A.K.; Rios, S.E.; Fritz, S.; Garcia, J.; Contreras, J.; Gutierrez, C.J. Ion beam sputter-fabrication of Bi-YIG films for magnetic photonic applications. IEEE Trans. Magn. 2004, 40, 2805–2807. [Google Scholar] [CrossRef]
- Stadler, B.J.H.; Li, Y.; Cherif, M.; Vaccaro, K.; Lorenzo, J.P. Doped yttrium iron garnet (YIG) thin films for integrated magneto-optical applications. Mater. Res. Soc. Symp. Proc. 1997, 446, 389–394. [Google Scholar] [CrossRef]
- Holmes, B.M.; Hutchings, D.C. Demonstration of quasi-phase-matched nonreciprocal polarization rotation in III-V semiconductor waveguides incorporating magneto-optic upper claddings. Appl. Phys. Lett. 2006, 88, 061116:1–061116:3. [Google Scholar] [CrossRef]
- Hutchings, D.C.; Arnold, J.M. Modification of the linear and nonlinear polarization dynamics in semiconductors owing to the Kerr magneto-optic effect. J. Opt. Soc. Am. 2000, 17, 1774–1780. [Google Scholar] [CrossRef]
- Hutchings, D.C. Prospects for the implementation of magneto-optic elements in optoelectronic integrated circuits: A personal perspective. J. Phys. Appl. Phys. 2003, 36, 2222–2229. [Google Scholar] [CrossRef]
- Holmes, B.M.; Hutchings, D.C.; Bregenzer, J.J. Experiments towards the realisation of a monolithically-integrated optical isolator incorporating quasi-phase matched magneto-optical effects. Mater. Res. Soc. Symp. Proc. 2005, 834. [Google Scholar] [CrossRef]
- Inoue, M.; Arai, K.; Fujii, T.; Abe, M. Magneto-optical properties of one-dimensional photonic crystals composed of magnetic and dielectric layers. J. Appl. Phys. 1998, 83, 6768–6770. [Google Scholar] [CrossRef]
- Inoue, M.; Fujii, T. A theoretical analysis of magneto-optical Faraday effect of YIG films with random multilayer structures. J. Appl. Phys. 1997, 81, 5659–5661. [Google Scholar] [CrossRef]
- Goto, T.; Dorofeenko, A.V.; Merzlikin, A.M.; Baryshev, A.V.; Vinogradov, A.P.; Inoue, M. Optical tamm states in one-dimensional magnetophotonic structures. Phys. Rev. Lett. 2008, 101, 113902:1–113902:3. [Google Scholar] [CrossRef]
- Goto, T.; Baryshev, A.V.; Inoue, M.; Dorofeenko, A.V.; Merzlikin, A.M.; Vinogradov, A.P. Tailoring surfaces of one-dimensional magnetophotonic crystals: Optical Tamm state and Faraday rotation. Phys. Rev. 2009, 79, 125103:1–125103:5. [Google Scholar] [CrossRef]
- Fujikawa1, R.; Baryshev, A.V.; Khanikaev, A.B.; Uchida, H.; Lim, P.B.; Inoue, M. Fabrication and optical properties of three-dimensional magnetophotonic heterostructures. IEEE Trans. Magn. 2006, 42, 3075–3077. [Google Scholar] [CrossRef]
- Takahashi, K.; Kawanishi, F.; Mito, S.; Takagi, H.; Shin, K.H.; Kim, J.; Lim, P.B.; Uchida, H.; Inoue, M. Study on magnetophotonic crystals for use in reflection-type magneto-optical spatial light modulators. J. Appl. Phys. 2008, 103, 07B331:1–07B331:13. [Google Scholar]
- Goto, T.; Sato, H.; Takagi, H.; Baryshev, A.V.; Inoue, M. Novel magnetophotonic crystals controlled by the electro-optic effect for non-reciprocal high-speed modulators. J. Appl. Phys. 2011, 109, 07B756:1–07B756:3. [Google Scholar]
- Goto, T.; Baryshev, A.V.; Tobinaga, K.; Inoue, M. Faraday rotation of a magnetophotonic crystal with the dual-cavity structure. J. Appl. Phys. 2010, 107, 09A946:1–09A946:3. [Google Scholar] [CrossRef]
- Kumar, P.; Levy, M. On-chip optical isolation via unidirectional Bloch oscillations in a waveguide array. Opt. Lett. 2012, 37, 3762–3764. [Google Scholar] [CrossRef] [PubMed]
- Śmigaj, W.; Romero-Vivas, J.; Gralak, B.; Magdenko, L.; Dagens, B.; Vanwolleghem, M. Magneto-optical circulator designed for operation in a uniform external magnetic field. Opt. Lett. 2010, 35, 568–570. [Google Scholar] [CrossRef] [PubMed]
- Wang, Z.; Fan, S. Optical circulators in two-dimensional magneto-optical photonic crystals. Opt. Lett. 2005, 30, 1989–1991. [Google Scholar] [CrossRef] [PubMed]
- Wang, Z.; Fan, S. Magneto-optical defects in two-dimensional photonic crystals. Appl. Phys. 2005, 81, 369–375. [Google Scholar] [CrossRef]
- Yu, Z.; Wang, Z.; Fan, S. One-way total reflection with one-dimensional magneto-optical photonic crystals. Appl. Phys. Lett. 2007, 90, 121133:1–121133:3. [Google Scholar]
- Kono, N.; Kakihara, K.; Saitoh, K.; Koshiba, M. Nonreciprocal microresonators for the miniaturization of optical waveguide isolators. Opt. Express 2007, 15, 7737–7751. [Google Scholar] [CrossRef] [PubMed]
- Tien, M.; Mizumoto, T.; Pintus, P.; Kromer, H.; Bowers, J.E. Silicon ring isolators with bonded nonreciprocal magneto-optic garnets. Opt. Express 2011, 19, 11740–11745. [Google Scholar] [CrossRef] [PubMed]
- Jalas, D.; Petrov, A.; Krause, M.; Hampe, J.; Eich, M. Resonance splitting in gyrotropic ring resonators. Opt. Lett. 2010, 35, 3438–3440. [Google Scholar] [CrossRef] [PubMed]
- Ihara, M.; Arimoto, Y.; Jifuku, M.; Kimura, T.; Kodama, S.; Yamawaki, H.; Yamaoka, T. Vapor phase epitaxial growth of MgO·Al2O3. J. Electrochem. Soc. 1982, 129, 2569–2573. [Google Scholar] [CrossRef]
- Zaag, P.J.; Fontijn, W.F.J.; Gaspard, P.; Wolf, R.M.; Brabers, V.A.M.; Veerdonk, R.J.M.; Heijden, P.A.A. A study of the magneto-optical Kerr spectra of bulk and ultrathin Fe3O4. J. Appl. Phys. 1996, 79, 5936–5938. [Google Scholar] [CrossRef]
- Tepper, T.; Ilievski, F.; Ross, C.A.; Zaman, T.R.; Ram, R.J.; Sung, S.Y.; Stadler, B.J.H. Magneto-optical properties of iron oxide films. J. Appl. Phys. 2003, 93, 6948–6950. [Google Scholar] [CrossRef]
- Shima, M.; Tepper, T.; Ross, C.A. Magnetic properties of chromium oxide and iron oxide films produced by pulsed laser deposition. J. Appl. Phys. 2002, 91, 7920–7922. [Google Scholar] [CrossRef]
- Tepper, T.; Ross, C.A.; Dionne, G.F. Microstructure and optical properties of pulsed-laser-deposited iron oxide films. IEEE Trans. Magn. 2004, 40, 1685–1690. [Google Scholar] [CrossRef]
- Tepper, T.; Ross, C.A. Pulsed laser deposition of iron oxide films. J. Appl. Phys. 2002, 91, 4453–4456. [Google Scholar] [CrossRef]
- Suzuki, K.; Namikawa, T.; Yamazaki, Y. Preparation of zinc- and aluminum-substituted cobalt-ferrite thin films and their Faraday rotation. Jpn. J. Appl. Phys. 1988, 27, 361–365. [Google Scholar] [CrossRef]
- Andreozzi, G.B.; Hålenius, U.; Skogby, H. Spectroscopic active IVFe3+–VIFe3+ clusters in spinel-magnesioferrite solid solution crystals: A potential monitor for ordering in oxide spinels. Phys. Chem. Miner. 2001, 28, 435–444. [Google Scholar] [CrossRef]
- Ziolo, R.F.; Giannelis, E.P.; Weinstein, B.A.; O’Horo, M.P.; Ganguly, B.N.; Mehrotra, V.; Russell, M.W.; Huffman, D.R. Matrix-mediated synthesis of nanocrystalline γ-Fe2O3: A new optically transparent magnetic material. Science 1992, 257, 219–223. [Google Scholar] [CrossRef] [PubMed]
- Zayat, M.; Monte, F.; Morales, M.P.; Rosa, G.; Guerrero, H.; Serna, C.J.; Levy, D. Highly transparent γ-Fe2O3/Vycor-glass magnetic nanocomposites exhibiting Faraday rotation. Adv. Mater. 2003, 15, 1809–1812. [Google Scholar] [CrossRef]
- Guerrero, H.; Rosa, G.; Morales, M.P.; Levy, D.; Real, R.P.; Belenguer, T.; Serna, C.J. Faraday rotation in magnetic γ-Fe2O3/SiO2 nanocomposites. Appl. Phys. Lett. 1997, 71, 2698–2700. [Google Scholar] [CrossRef]
- Choueikani, F.; Royer, F.; Jamon, D.; Siblini, A.; Rousseau, J.J.; Neveu, S.; Charara, J. Magneto-optical waveguides made of cobalt ferrite nanoparticles embedded in silica/zirconia organic-inorganic matrix. Appl. Phys. Lett. 2009, 94, 051113:1–051113:3. [Google Scholar] [CrossRef]
- Royer, F.; Jamon, D.; Rousseau, J.J.; Roux, H.; Zins, D.; Cabuil, V. Magneto-optical nanoparticle-doped silica-titania planar waveguides. Appl. Phys. Lett. 2005, 86, 011107:1–011107:3. [Google Scholar] [CrossRef]
- Sukhorukov, Y.P.; Moskvin, A.M.; Loshkareva, N.N.; Smolyak, I.B.; Arkhipov, V.E.; Mukovski, Y.M.; Shmatok, A.V. Magnetooptical Faraday effect in La0.7Sr0.3MnO3−δ films. Technol. Phys. 2001, 46, 778–781. [Google Scholar] [CrossRef]
- Bi, L.; Taussig, A.R.; Kim, H.S.; Wang, L.; Dionne, G.F.; Bono, D.; Persson, K.; Ceder, G.; Ross, C.A. Structural, magnetic, and optical properties of BiFeO3 and Bi2FeMnO6 epitaxial thin films: An experimental and first-principles study. Phys. Rev. 2008, 78, 104106:1–104106:10. [Google Scholar] [CrossRef]
- Bi, L.; Kim, H.S.; Dionne, G.F.; Ross, C.A.; Paik, H.; Park, Y.C. Orientation control and self-assembled nanopyramid structure of LaFeO3 films epitaxially grown on SrTiO3(001) substrates. Appl. Phys. Lett. 2009, 95, 121908:1–121908:3. [Google Scholar] [CrossRef]
- Kahn, F.J.; Pershan, P.S. Ultraviolet magneto-optical properties of single crystal orthoferrites, garnets, and other ferric oxide compounds. Phys. Rev. 1969, 186, 891–918. [Google Scholar] [CrossRef]
- Shintaku, T.; Tate, A.; Mino, S. Ce-substituted yttrium iron garnet films prepared on Gd3Sc2Ga3O12 garnet substrates by sputter epitaxy. Appl. Phys. Lett. 1997, 71, 1640–1642. [Google Scholar] [CrossRef]
- Wood, D.L.; Remeika, P.; Kolb, E.D. Optical spectra of rare-earth orthoferrites. J. Appl. Phys. 1970, 41, 5315–5322. [Google Scholar] [CrossRef]
- Tabor, W.J.; Anderson, A.W.; Uitert, L.G. Visible and infrared Faraday rotation and birefringence of single-crystal rare-earth orthoferrites. J. Appl. Phys. 1970, 41, 3108–3021. [Google Scholar] [CrossRef]
- Rey-García, F.; Flores-Arias, M.T.; Gómez-Reino, C.; Fuente, G.F.; Assenmacher, W.; Mader, W.; Berneschi, S.; Pelli, S.; Nunzi-Conti, G.; Righini, G.C. Structural and optical characterization of ZrO2:CeO2 slab waveguides obtained via sol-gel. Opt. Mater. 2012, 35, 97–101. [Google Scholar] [CrossRef]
- Phokha, S.; Pinitsoontorn, S.; Maensiri, S. Room-temperature ferromagnetism in Co-doped CeO2 nanospheres prepared by the polyvinylpyrrolidone-assisted hydrothermal method. J. Appl. Phys. 2012, 112, 113904:1–113904:8. [Google Scholar] [CrossRef]
- Tiwari, A.; Bhosle, V.M.; Ramachandran, S.; Sudhakar, N.; Narayan, J.; Budak, S.; Gupta, A. Ferromagnetism in Co doped CeO2: Observation of a giant magnetic moment with a high Curie temperature. Appl. Phys. Lett. 2006, 88, 142511:1–142511:3. [Google Scholar] [CrossRef]
- Vodungbo, B.; Zheng, Y.; Vidal, F.; Demaille, D.; Etgens, V.H. Room temperature ferromagnetism of Co doped CeO2−δ diluted magnetic oxide: Effect of oxygen and anisotropy. Appl. Phys. Lett. 2007, 90, 062510:1–062510:3. [Google Scholar] [CrossRef]
- Bi, L.; Kim, H.S.; Dionne, G.F.; Speakman, S.A.; Bono, D.; Ross, C.A. Structural, magnetic, and magneto-optical properties of Co-doped CeO2−δ films. J. Appl. Phys. 2008, 103, 07D138:1–07D138:3. [Google Scholar] [CrossRef]
- Vertruyen, B.; Cloots, R.; Abell, J.S.; Jackson, T.J.; Silva, R.C.; Popova, E.; Keller, N. Curie temperature, exchange integrals, and magneto-optical properties in off-stoichiometric bismuth iron garnet epitaxial films. Phys. Rev. 2008, 78, 094429:1–094429:9. [Google Scholar] [CrossRef]
- Popova, E.; Magdenko, L.; Niedoba, H.; Deb, M.; Dagens, B. Magnetic properties of the magnetophotonic crystal based on bismuth iron garnet. J. Appl. Phys. 2012, 112, 093910:1–093910:11. [Google Scholar] [CrossRef]
- Magdenko, L.; Popova, E.; Vanwolleghem, M.; Pang, C.; Fortuna, F.; Maroutian, T.; Beauvillain, P.; Keller, N.; Dagens, B. Wafer-scale fabrication of magneto-photonic structures in Bismuth Iron Garnet thin film. Microelectron. Eng. 2010, 87, 2437–2442. [Google Scholar] [CrossRef]
- Sekhar, M.; Singh, M.R.; Basu, S.; Pinnepalli, S. Giant Faraday rotation in BixCe3−xFe5O12 epitaxial garnet films. Opt. Express 2012, 20, 9624–9639. [Google Scholar] [CrossRef]
- Dionne, G.F. Evidence of magnetoelastic spin ordering in dilute magnetic oxides. J. Appl. Phys. 2007, 101, 09C509:1–09C509:3. [Google Scholar]
- Dionne, G.F.; Bi, L.; Kim, H.S.; Ross, C.A. Spectral origins of high Faraday rotation at 1.5 μm wavelength from Fe and Co in SrTiO3 films. J. Appl. Phys. 2011, 109, 07B761:1–07B761:3. [Google Scholar] [CrossRef]
- Paunovic, N.; Popovic, Z.V.; Dohcevic-Mitrovic, Z.D. Superparamagnetism in iron-doped CeO2−y nanocrystals. J. Phys. Condens. Matter 2012, 24, 456001:1–456001:6. [Google Scholar] [CrossRef]
- Colis, S.; Bouaine, A.; Moubah, R.; Schmerber, G.; Ulhaq-Bouillet, C.; Dinia, A.; Dahéron, L.; Petersen, J.; Becker, C. Extrinsic ferromagnetism in epitaxial Co-doped CeO2 pulsed laser deposited films. J. Appl. Phys. 2010, 108, 053910:1–053910:6. [Google Scholar]
- Gaidi, M.; Stafford, L.; Margot, J.; Chaker, M.; Morandotti, R.; Kulishov, M. Microfabricated SrTiO3 ridge waveguides. Appl. Phys. Lett. 2005, 86, 221106:1–221106:3. [Google Scholar] [CrossRef]
- Kim, H.S.; Bi, L.; Paik, H.; Yang, D.J.; Park, Y.C.; Dionne, G.F.; Ross, C.A. Self-assembled single-phase perovskite nanocomposite thin films. Nano Lett. 2010, 10, 597–602. [Google Scholar] [CrossRef] [PubMed]
- Herranz, G.; Ranchal, R.; Bibes, M.; Jaffrès, H.; Jacquet, E.; Maurice, J.L.; Bouzehouane, K.; Wyczisk, F.; Tafra, E.; Basletic, M.; et al. Co-doped (La,Sr)TiO3−δ: A high Curie temperature diluted magnetic system with large spin polarization. Phys. Rev. Lett. 2006, 96, 027207:1–027207:4. [Google Scholar] [CrossRef]
- Zhang, S.X.; Yu, W.; Ogale1, S.B.; Shinde1, S.R.; Kundaliya, D.C.; Tse, W.; Young, S.Y.; Higgins, J.S.; Salamanca-Riba, L.G.; Herrera, M.; et al. Magnetism and anomalous Hall effect in Co-(La,Sr)TiO3. Phys. Rev. 2007, 76, 085323:1–085323:6. [Google Scholar]
- Zhao, Y.G.; Shinde, S.R.; Ogale, S.B.; Higgins, J.; Choudhary, R.J.; Kulkarni, V.N.; Greene, R.L.; Venkatesan, T.; Lofland, S.E.; Lanci, C.; et al. Co-doped La0.5Sr0.5TiO3−δ: Diluted magnetic oxide system with high Curie temperature. Appl. Phys. Lett. 2003, 83, 2199–2202. [Google Scholar] [CrossRef]
- Rajamani, A.; Dionne, G.F.; Bono, D.; Ross, C.A. Faraday rotation, ferromagnetism, and optical properties in Fe-doped BaTiO3. J. Appl. Phys. 2005, 98, 063907:1–063907:4. [Google Scholar] [CrossRef]
- Kim, H.S.; Bi, L.; Dionne, G.F.; Ross, C.A. Magnetic and magneto-optical properties of Fe-doped SrTiO3 films. Appl. Phys. Lett. 2008, 93, 092506:1–092506:3. [Google Scholar]
- Bi, L.; Kim, H.S.; Dionne, G.F.; Ross, C.A. Structure, magnetic properties and magnetoelastic anisotropy in epitaxial Sr(Ti1−xCox)O3 films. New J. Phys. 2010, 12, 043044:1–043044:15. [Google Scholar]
- Kim, D.H.; Bi, L.; Jiang, P.; Dionne, G.F.; Ross, C.A. Magnetoelastic effects in SrTi1−xMxO3 (M = Fe, Co, or Cr) epitaxial thin films. Phys. Rev. 2011, 84, 014416:1–014416:9. [Google Scholar]
- Dötsch, H.; Bahlmann, N.; Zhuromskyy, O.; Hammer, M.; Wilkens, L.; Gerhardt, R.; Hertel, P. Applications of magneto-optical waveguides in integrated optics: Review. J. Opt. Soc. Am. 2005, 22, 240–253. [Google Scholar] [CrossRef]
- Jiang, P.; Bi, L.; Kim, D.H.; Dionne, G.F.; Ross, C.A. Enhancement of the magneto-optical performance of Sr(Ti0.6−xGaxFe0.4)O3 perovskite films by Ga substitution. Appl. Phys. Lett. 2011, 98, 231909:1–231909:4. [Google Scholar]
- Jiang, P.; Bi, L.; Sun, X.Y.; Kim, D.H.; Jiang, D.M.; Wu, G.H.; Dionne, G.F.; Ross, C.A. The Effect of A-Site substitution of Ce and La on the magnetic and electronic properties of Sr(Ti0.6Fe0.4)O3−δ films. Inorg. Chem. 2012, 51, 13245–13253. [Google Scholar] [CrossRef] [PubMed]
- Dionne, G.F.; Kim, D.H.; Bi, L.; Ross, C.A. Generic model of superexchange effects in magnetoelastic oxides. J. Appl. Phys. 2013, 113, 17A927:1–17A927:3. [Google Scholar] [CrossRef]
- Bi, L.; Hu, J.; Dionne, G.F.; Kimerling, L.; Ross, C.A. Monolithic integration of chalcogenide glass/Iron garnet waveguides and resonators for on-chip nonreciprocal photonic devices. Proc. SPIE 2011, 7941, 794105:1–794105:10. [Google Scholar]
- Hu, J.; Tarasov, V.; Carlie, N.; Feng, N.N.; Petit, L.; Agarwal, A.; Richardson, K.; Kimerling, L. Si-CMOS-compatible lift-off fabrication of low-loss planar chalcogenide waveguides. Opt. Express 2007, 15, 11798–11807. [Google Scholar] [CrossRef] [PubMed]
- Zhao, H.; Zhou, J.; Li, B.; Gui, Z.; Li, L. Microstructure and densification mechanism of low temperature sintering Bi-substituted yttrium iron garnet. J. Electroceram. 2008, 21, 802–804. [Google Scholar] [CrossRef]
- Bi, L.; Hu, J.; Jiang, P.; Kim, D.H.; Dionne, G.F.; Kimerling, L.C.; Ross, C.A. On-chip optical isolation in monolithically integrated non-reciprocal optical resonators. Nat. Photonics 2011, 5, 758–762. [Google Scholar] [CrossRef]
- Goto, T.; Eto, Y.; Kobayashi, K.; Haga, Y.; Inoue, M.; Ross, C.A. Vacuum annealed cerium-substituted yttrium iron garnet films on non-garnet substrates for integrated optical circuits. J. Appl. Phys. 2013, 113, 17A939:1–17A939:3. [Google Scholar] [CrossRef]
- Shintaku, T. Integrated optical isolator based on efficient nonreciprocal radiation mode conversion. Appl. Phys. Lett. 1998, 73, 1946–1948. [Google Scholar] [CrossRef]
- Shintaku, T. Integrated optical isolator based on nonreciprocal higher-order mode conversion. Appl. Phys. Lett. 1995, 66, 2789–2792. [Google Scholar] [CrossRef]
- Shintaku, T.; Uno, T. Optical waveguide isolator based on nonreciprocal radiation. J. Appl. Phys. 1994, 76, 8155–8160. [Google Scholar] [CrossRef]
- Fujita, J.; Levy, M.; Osgood, R.M.; Wilkens, L.; Dotsch, H. Waveguide optical isolator based on Mach–Zehnder interferometer. Appl. Phys. Lett. 2000, 76, 2158–2161. [Google Scholar] [CrossRef]
- Shoji, Y.; Mizumoto, T.; Yokoi, H.; Hsieh, I.; Osgood, R.M. Magneto-optical isolator with silicon waveguides fabricated by direct bonding. Appl. Phys. Lett. 2008, 92, 071117:1–071117:3. [Google Scholar] [CrossRef]
- Shirato, Y.; Shoji, Y.; Mizumoto, T. High isolation in silicon waveguide optical isolator employing nonreciprocal phase shift. In Proceedings of the Optical Fiber Communication Conference and Exposition OFC/NFOEC, Anaheim, CA, USA, 17 March 2013.
- Shoji, Y.; Ito, M.; Shirato, Y.; Mizumoto, T. MZI optical isolator with Si-wire waveguides by surface-activated direct bonding. Opt. Express 2012, 20, 18440–18448. [Google Scholar] [CrossRef] [PubMed]
© 2013 by the authors; licensee MDPI, Basel, Switzerland. This article is an open access article distributed under the terms and conditions of the Creative Commons Attribution license (http://creativecommons.org/licenses/by/3.0/).
Share and Cite
Bi, L.; Hu, J.; Jiang, P.; Kim, H.S.; Kim, D.H.; Onbasli, M.C.; Dionne, G.F.; Ross, C.A. Magneto-Optical Thin Films for On-Chip Monolithic Integration of Non-Reciprocal Photonic Devices. Materials 2013, 6, 5094-5117. https://doi.org/10.3390/ma6115094
Bi L, Hu J, Jiang P, Kim HS, Kim DH, Onbasli MC, Dionne GF, Ross CA. Magneto-Optical Thin Films for On-Chip Monolithic Integration of Non-Reciprocal Photonic Devices. Materials. 2013; 6(11):5094-5117. https://doi.org/10.3390/ma6115094
Chicago/Turabian StyleBi, Lei, Juejun Hu, Peng Jiang, Hyun Suk Kim, Dong Hun Kim, Mehmet Cengiz Onbasli, Gerald F. Dionne, and Caroline A. Ross. 2013. "Magneto-Optical Thin Films for On-Chip Monolithic Integration of Non-Reciprocal Photonic Devices" Materials 6, no. 11: 5094-5117. https://doi.org/10.3390/ma6115094
APA StyleBi, L., Hu, J., Jiang, P., Kim, H. S., Kim, D. H., Onbasli, M. C., Dionne, G. F., & Ross, C. A. (2013). Magneto-Optical Thin Films for On-Chip Monolithic Integration of Non-Reciprocal Photonic Devices. Materials, 6(11), 5094-5117. https://doi.org/10.3390/ma6115094
