Molding of Plasmonic Resonances in Metallic Nanostructures: Dependence of the Non-Linear Electric Permittivity on System Size and Temperature
Abstract
:1. Introduction
2. Modeling the Optical Response of Metals: From Drude Model to Drude-Lorentz Model at Room Temperature
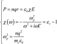
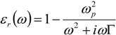
2.1. The Drude Model
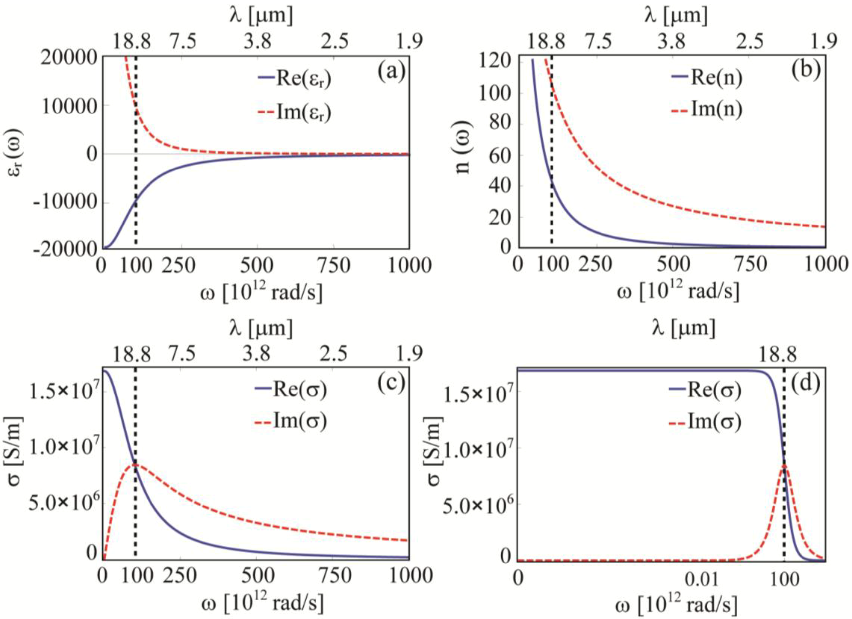
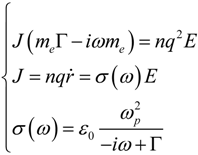
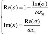
Relations between Refractive Index, Permittivity and Conductivity




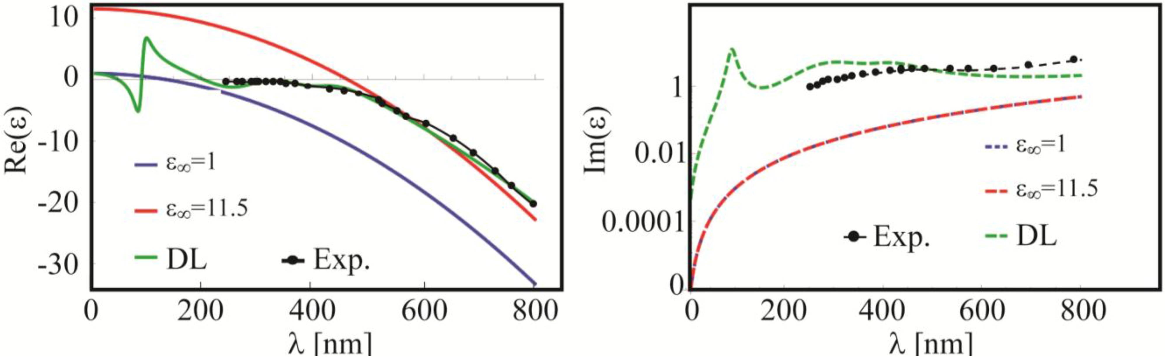
2.2. Interband Transitions: The Lorentz Model



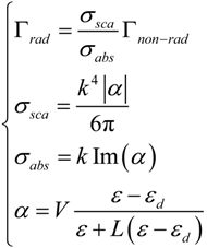
3. Heating Processes in Plasmonic Nanostructures
4. Influence of Temperature on Media Permittivity: The Damping Factor
4.1. Electron-Electron Scattering: Γe-e

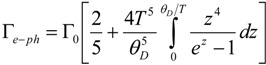
4.2. Electron-Phonon Scattering: Γe-ph

4.3. Electron-Surface Scattering: Γsurf

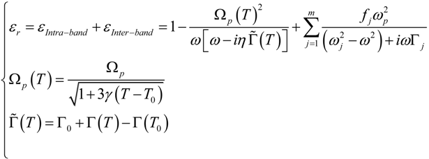
5. A Temperature Dependent Permittivity Model with Interband Transitions
5.1. Tuning the Overall Temperature

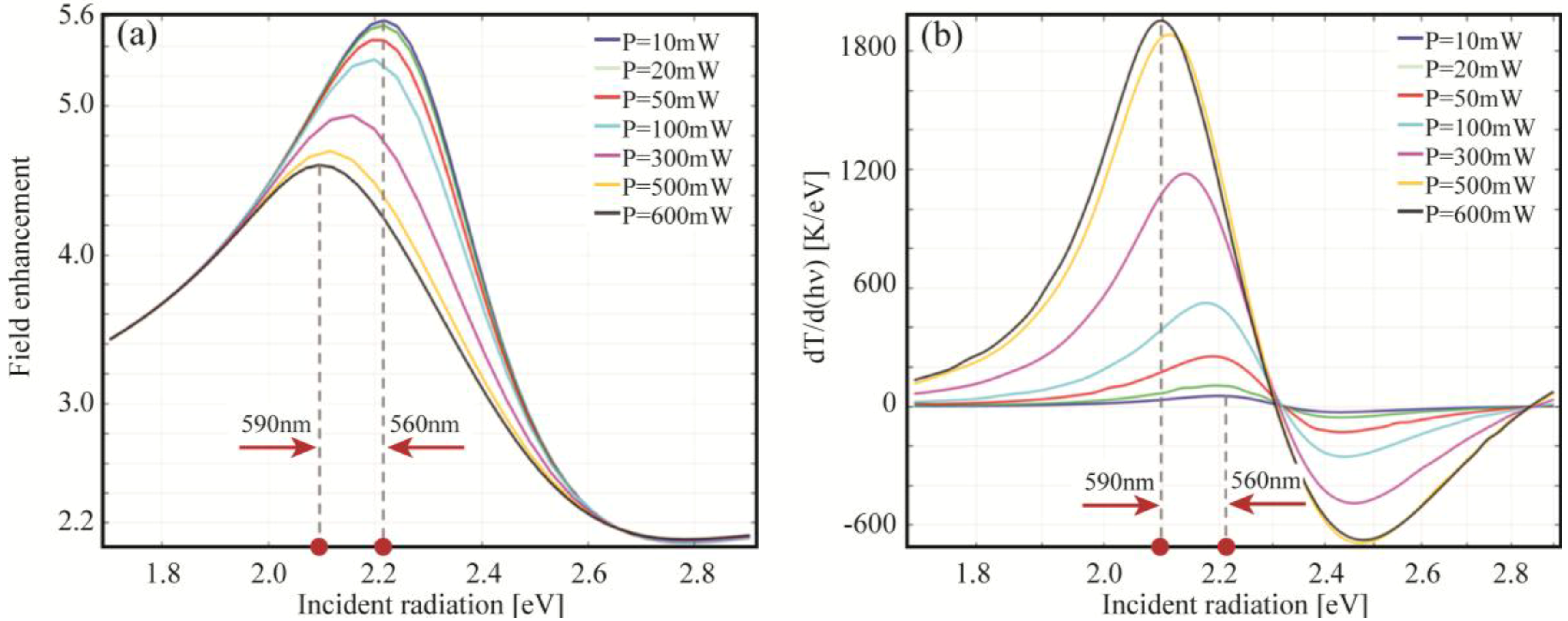
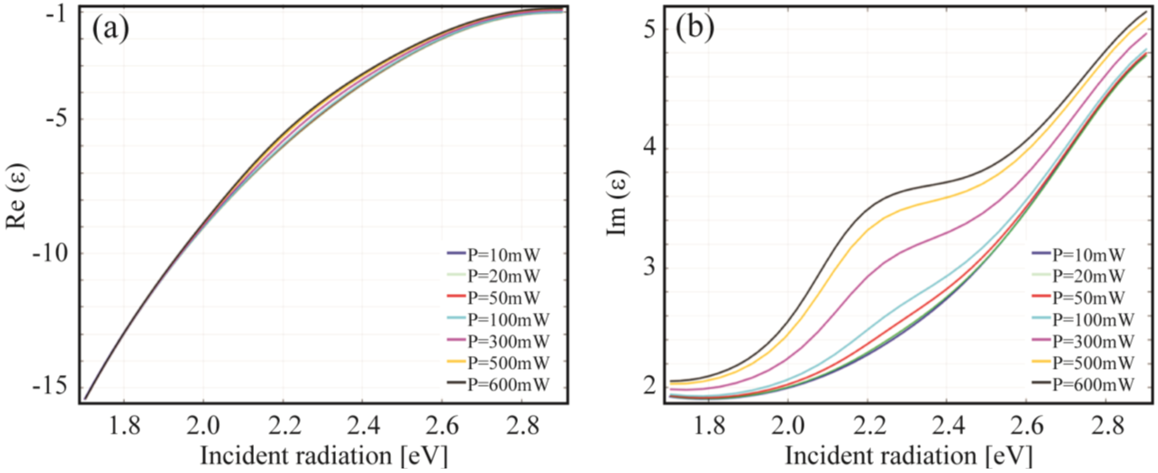
5.2. Tuning the Incident Power





6. Final Considerations
7. Conclusions
Acknowledgments
Conflicts of Interest
References
- Sotiriou, G.A. Biomedical applications of multifunctional plasmonic nanoparticles. Wiley Interdiscipl. Rev. Nanomed. Nanobiotechnol. 2013, 5, 19–30. [Google Scholar] [CrossRef]
- Brullot, W.; Valev, V.K.; Verbiest, T. Magnetic-plasmonic nanoparticles for the life sciences: Calculated optical properties of hybrid structures. Nanomed. Nanotechnol. Biol. Med. 2012, 8, 559–568. [Google Scholar] [CrossRef]
- Maestro, L.M.; Haro-González, P.; Iglesias-de la Cruz, M.C.; SanzRodríguez, F.; Juarranz, Á.; Solé, J.G.; Jaque, D. Fluorescent nanothermometers provide controlled plasmonic-mediated intracellular hyperthermia. Nanomedicine 2012, 8, 379–388. [Google Scholar] [CrossRef] [PubMed]
- Cebrian, V.; Martin-Saavedra, F.; Gomez, L.; Arruebo, M.; Santamaria, J.; Vilaboa, N. Enhancing of plasmonic photothermal therapy through heat-inducible transgene activity. Nanomedicine 2013, 9, 646–656. [Google Scholar] [CrossRef]
- Zheng, Y.B.; Kiraly, B.; Weiss, P.S.; Huang, T.J. Molecular plasmonics for biology and nanomedicine. Nanomedicine 2012, 7, 751–770. [Google Scholar] [CrossRef]
- De Angelis, F.; Gentile, F.; Mecarini, F.; Das, G.; Moretti, M.; Candeloro, P.; Coluccio, M.L.; Cojoc, G.; Accardo, A.; Liberale, C.; et al. Breaking the diffusion limit with super-hydrophobic delivery of molecules to plasmonic nanofocusing sers structures. Nat. Photonics 2011, 5, 683–688. [Google Scholar] [CrossRef]
- Razzari, L.; Toma, A.; Shalaby, M.; Clerici, M.; Zaccaria, R.P.; Liberale, C.; Marras, S.; Al-Naib, I.A.I.; Das, G.; De Angelis, F.; et al. Extremely large extinction efficiency and field enhancement in terahertz resonant dipole nanoantennas. Opt. Express 2011, 19, 26088–26094. [Google Scholar] [CrossRef] [PubMed]
- De Angelis, F.; Das, G.; Candeloro, P.; Patrini, M.; Galli, M.; Bek, A.; Lazzarino, M.; Maksymov, I.; Liberale, C.; Andreani, L.C.; Di Fabrizo, E. Nanoscale chemical mapping using three-dimensional adiabatic compression of surface plasmon polaritons. Nat. Nanotechnol. 2010, 5, 67–72. [Google Scholar] [CrossRef] [PubMed]
- Jakšić, Z.; Vuković, S.; Matovic, J.; Tanasković, D. Negative refractive index metasurfaces for enhanced biosensing. Materials 2010, 4, 1–36. [Google Scholar] [CrossRef]
- De Angelis, F.; Zaccaria, R.P.; Francardi, M.; Liberale, C.; Di Fabrizio, E. Multi-scheme approach for efficient surface plasmon polariton generation in metallic conical tips on afm-based cantilevers. Opt. Express 2011, 19, 22268–22279. [Google Scholar]
- Das, G.; Chirumamilla, M.; Toma, A.; Gopalakrishnan, A.; Zaccaria, R.P.; Alabastri, A.; Leoncini, M.; Di Fabrizio, E. Plasmon based biosensor for distinguishing different peptides mutation states. Sci. Rep. 2013, 3. [Google Scholar] [CrossRef] [PubMed]
- Moretti, M.; Proietti Zaccaria, R.; Descrovi, E.; Das, G.; Leoncini, M.; Liberale, C.; De Angelis, F.; Di Fabrizio, E. Reflection-mode ters on insulin amyloid fibrils with top-visual afm probes. Plasmonics 2013, 8, 25–33. [Google Scholar] [CrossRef] [PubMed]
- Lindquist, N.C.; Nagpal, P.; McPeak, K.M.; Norris, D.J.; Oh, S.-H. Engineering metallic nanostructures for plasmonics and nanophotonics. Rep. Prog. Phys. 2012, 75. [Google Scholar] [CrossRef]
- Cabrini, S.; Barsotti, R.J.; Carpentiero, A.; Businaro, L.; Proietti Zaccaria, R.; Stellacci, F.; Di Fabrizio, E. Cross beam lithography (FIB + EBL) and dip pen nanolithography for nanoparticle conductivity measurements. J. Vac. Sci. Technol. B 2005, 23, 2806–2810. [Google Scholar] [CrossRef]
- Zhang, J.; Zhang, L.; Xu, W. Surface plasmon polaritons: Physics and applications. J. Phys. D Appl. Phys. 2012, 45. [Google Scholar] [CrossRef]
- Blanchard, R.; Boriskina, S.V.; Genevet, P.; Kats, M.A.; Tetienne, J.P.; Yu, N.F.; Scully, M.O.; Dal Negro, L.; Capasso, F. Multi-wavelength mid-infrared plasmonic antennas with single nanoscale focal point. Opt. Express 2011, 19, 22113–22124. [Google Scholar] [CrossRef] [PubMed]
- Zayets, V.; Saito, H.; Ando, K.; Yuasa, S. Optical isolator utilizing surface plasmons. Materials 2012, 5, 857–871. [Google Scholar] [CrossRef]
- Kozina, O.; Nefedov, I.; Melnikov, L.; Karilainen, A. Plasmonic coaxial waveguides with complex shapes of cross-sections. Materials 2010, 4, 104–116. [Google Scholar] [CrossRef]
- Alù, A.; Engheta, N. Emission enhancement in a plasmonic waveguide at cut-off. Materials 2011, 4, 141–152. [Google Scholar] [CrossRef]
- Garbin, V.; Cojoc, D.; Ferrari, E.; Zaccaria Proietti, R.; Cabrini, S.; Di Fabrizio, E. Optical micro-manipulation using Laguerre-Gaussian beams. Jpn. J. Appl. Phys. 2005, 44, 5773–5776. [Google Scholar] [CrossRef]
- Zhao, H.; Proietti Zaccaria, R.; Verma, P.; Song, J.F.; Sun, H.B. Validity of the V parameter for photonic quasi-crystal fibers. Opt. Lett. 2010, 35, 1064–1066. [Google Scholar] [CrossRef] [PubMed]
- Zhao, H.; Proietti Zaccaria, R.; Verma, O.; Song, J.F.; Sun, H.B. Single-mode operation regime for 12-fold index-guiding quasicrystal optical fibers. Appl. Phys. B 2010, 100, 499–503. [Google Scholar] [CrossRef]
- Giugni, A.; Torre, B.; Toma, A.; Francardi, M.; Malerba, M.; Alabastri, A.; Proietti Zaccaria, R.; Stockman, M.I.; Di Fabrizio, E. Hot-electron nanoscopy using adiabatic compression of surface plasmons. Nat. Nanotechnol. 2013. [Google Scholar] [CrossRef]
- Chiappe, D.; Toma, A.; de Mongeot, F.B. Transparent plasmonic nanowire electrodes via self-organised ion beam nanopatterning. Small 2013, 9, 913–919. [Google Scholar] [CrossRef] [PubMed]
- Neubrech, F.; Weber, D.; Katzmann, J.; Huck, C.; Toma, A.; Di Fabrizio, E.; Pucci, A.; Härtling, T. Infrared optical properties of nanoantenna dimers with photochemically narrowed gaps in the 5 nm regime. ACS Nano 2012, 6, 7326–7332. [Google Scholar] [CrossRef] [PubMed]
- Zaccaria, R.P.; De Angelis, F.; Toma, A.; Razzari, L.; Alabastri, A.; Das, G.; Liberale, C.; Di Fabrizio, E. Surface plasmon polariton compression through radially and linearly polarized source. Opt. Lett. 2012, 37, 545–547. [Google Scholar] [CrossRef] [PubMed]
- Song, J.F.; Zaccaria, R.P. Manipulation of light transmission through sub-wavelength hole array. J. Opt. A Pure Appl. Opt. 2007, 9. [Google Scholar] [CrossRef]
- Zaccaria, R.P.; Alabastri, A.; De Angelis, F.; Das, G.; Liberale, C.; Toma, A.; Giugni, A.; Razzari, L.; Malerba, M.; Sun, H.B.; et al. Fully analytical description of adiabatic compression in dissipative polaritonic structures. Phys. Rev. B 2012, 86. [Google Scholar] [CrossRef]
- Ilic, O.; Jablan, M.; Joannopoulos, J.D.; Celanovic, I.; Soljacic, M. Overcoming the black body limit in plasmonic and graphene near-field thermophotovoltaic systems. Opt. Express 2012, 20, A366–A384. [Google Scholar] [CrossRef] [PubMed]
- Atwater, H.A.; Polman, A. Plasmonics for improved photovoltaic devices. Nat. Mater. 2010, 9, 205–213. [Google Scholar] [CrossRef] [PubMed]
- Polman, A.; Atwater, H.A. Photonic design principles for ultrahigh-efficiency photovoltaics. Nat. Mater. 2012, 11, 174–177. [Google Scholar] [CrossRef] [PubMed]
- Kostecki, R.; Mao, S.S. Surface plasmon-enhanced photovoltaic device. WO/2009/012397, 22 January 2009. [Google Scholar]
- Hung, W.H.; Aykol, M.; Valley, D.; Hou, W.; Cronin, S.B. Plasmon resonant enhancement of carbon monoxide catalysis. Nano Lett. 2010, 10, 1314–1318. [Google Scholar] [CrossRef] [PubMed]
- Adleman, J.R.; Boyd, D.A.; Goodwin, D.G.; Psaltis, D. Heterogenous catalysis mediated by plasmon heating. Nano Lett. 2009, 9, 4417–4423. [Google Scholar] [CrossRef] [PubMed]
- Gonzalez-Bejar, M.; Peters, K.; Hallett-Tapley, G.L.; Grenier, M.; Scaiano, J.C. Rapid one-pot propargylamine synthesis by plasmon mediated catalysis with gold nanoparticles on zno under ambient conditions. Chem. Commun. 2013, 49, 1732–1734. [Google Scholar] [CrossRef]
- Kubus, L.; Erdogan, H.; Cetin, S.S.; Biskin, E.; Demirel, G. Plasmon-enhanced photocatalysis on anisotropic gold nanorod arrays. ChemCatChem 2013, 5, 2973–2977. [Google Scholar] [CrossRef]
- Hirsch, L.R.; Stafford, R.J.; Bankson, J.A.; Sershen, S.R.; Rivera, B.; Price, R.E.; Hazle, J.D.; Halas, N.J.; West, J.L. Nanoshell-mediated near-infrared thermal therapy of tumors under magnetic resonance guidance. Proc. Natl. Acad. Sci. USA 2003, 100, 13549–13554. [Google Scholar] [CrossRef] [PubMed]
- Richardson, H.H.; Carlson, M.T.; Tandler, P.J.; Hernandez, P.; Govorov, A.O. Experimental and theoretical studies of light-to-heat conversion and collective heating effects in metal nanoparticle solutions. Nano Lett. 2009, 9, 1139–1146. [Google Scholar] [CrossRef] [PubMed]
- Lukianova-Hleb, E.Y.; Volkov, A.N.; Wu, X.; Lapotko, D.O. Transient enhancement and spectral narrowing of the photothermal effect of plasmonic nanoparticles under pulsed excitation. Adv. Mater. 2013, 25, 772–776. [Google Scholar] [CrossRef] [PubMed]
- Van de Broek, B.; Grandjean, D.; Trekker, J.; Ye, J.; Verstreken, K.; Maes, G.; Borghs, G.; Nikitenko, S.; Lagae, L.; Bartic, C.; et al. Temperature determination of resonantly excited plasmonic branched gold nanoparticles by X-ray absorption spectroscopy. Small 2011, 7, 2498–2506. [Google Scholar]
- Zharov, V.P.; Galitovsky, V.; Viegas, M. Photothermal detection of local thermal effects during selective nanophotothermolysis. Appl. Phys. Lett. 2003, 83, 4897–4899. [Google Scholar] [CrossRef]
- Drude, P. Zur elektronentheorie der metalle (in German). Ann. Phys. 1900, 306, 566–613. [Google Scholar] [CrossRef]
- Ashcroft, N.W.; Mermin, N.D. Solid State Physics; Brooks/Cole Cengage Learning: Belmont, CA, USA, 1976. [Google Scholar]
- Maier, S.A. Plasmonics: Fundamentals and Applications; Springer: New York, NY, USA, 2007. [Google Scholar]
- Jackson, J.D. Classical Electrodynamics, 3rd ed.; John Wiley &Sons: Hoboken, NJ, USA, 1999. [Google Scholar]
- Boris, S.L.Y.; Andrey, E.M.; Michael, I.T.; Yuri, S.K.; Alexei, R.K. Paradoxes in laser heating of plasmonic nanoparticles. New J. Phys. 2012, 14. [Google Scholar] [CrossRef]
- Alabastri, A.; Toma, A.; Liberale, C.; Chirumamilla, M.; Giugni, A.; De Angelis, F.; Das, G.; Di Fabrizio, E.; Zaccaria, R.P. Interplay between electric and magnetic effect in adiabatic polaritonic systems. Opt. Express 2013, 21, 7538–7548. [Google Scholar] [CrossRef] [PubMed]
- Craig, F.; Bohren, D.R.H. Absorption and Scattering of Light by Small Particles; Wiley-VCH: Weinheim, Germany, 2004. [Google Scholar]
- Beach, R.T.; Christy, R.W. Electron-electron scattering in the intraband optical conductivity of cu, Ag, and Au. Phys. Rev. B 1977, 16, 5277–5284. [Google Scholar] [CrossRef]
- Rakic, A.D.; Djurisic, A.B.; Elazar, J.M.; Majewski, M.L. Optical properties of metallic films for vertical-cavity optoelectronic devices. Appl. Opt. 1998, 37, 5271–5283. [Google Scholar] [CrossRef] [PubMed]
- Berciaud, S.; Cognet, L.; Tamarat, P.; Lounis, B. Observation of intrinsic size effects in the optical response of individual gold nanoparticles. Nano Lett. 2005, 5, 515–518. [Google Scholar] [CrossRef] [PubMed]
- Challener, D.S.A.W. Modern Introduction to Surface Plasmons: Theory, Mathematica Modeling and Applications; Cambridge University Press: New York, NY, USA, 2010. [Google Scholar]
- Parkins, G.R.; Lawrence, W.E.; Christy, R.W. Intraband optical conductivity σ(ω,t) of Cu, Ag, and Au: Contribution from electron-electron scattering. Phys. Rev. B 1981, 23, 6408–6416. [Google Scholar] [CrossRef]
- Bouillard, J.-S.G.; Dickson, W.; O’Connor, D.P.; Wurtz, G.A.; Zayats, A.V. Low-temperature plasmonics of metallic nanostructures. Nano Lett. 2012, 12, 1561–1565. [Google Scholar] [CrossRef] [PubMed]
- Thèye, M.-L. Investigation of the optical properties of au by means of thin semitransparent films. Phys. Rev. B 1970, 2, 3060–3078. [Google Scholar] [CrossRef]
- Brendel, R.; Bormann, D. An infrared dielectric function model for amorphous solids. J. Appl. Phys. 1992, 71, 1–6. [Google Scholar] [CrossRef]
- Etchegoin, P.G.; Le Ru, E.C.; Meyer, M. An analytic model for the optical properties of gold. J. Chem. Phys. 2006, 125, 164705. [Google Scholar] [CrossRef] [PubMed]
- Etchegoin, P.G.; Le Ru, E.C.; Meyer, M. Erratum: “An analytic model for the optical properties of gold” [J. Chem. Phys.125, 164705 (2006)]. J. Chem. Phys. 2007, 127, 189901. [Google Scholar] [CrossRef]
- Johnson, P.B.; Christy, R.W. Optical constants of the noble metals. Phys. Rev. B 1972, 6, 4370–4379. [Google Scholar] [CrossRef]
- Cardona, M. Solid State Physics: Modulation Spectroscopy; Academic Press: San Diego, CA, USA, 1969. [Google Scholar]
- Moss, T.S.; Balkanski, M. Handbook on Semiconductors: Optical Properties of Solids; North-Holland: Haarlem, the Netherlands, 1982. [Google Scholar]
- Palik, E.D. Handbook of Optical Constants of Solids; Academic Press: San Diego, CA, USA, 1998. [Google Scholar]
- Loughin, S.; French, R.H.; Noyer, L.K.D.; Ching, W.Y.; Xu, Y.N. Critical point analysis of the interband transition strength of electrons. J. Phys. D Appl. Phys. 1996, 29. [Google Scholar] [CrossRef]
- Zorić, I.; Zäch, M.; Kasemo, B.; Langhammer, C. Gold, Platinum, and Aluminum nanodisk plasmons: Material independence, subradiance, and damping mechanisms. ACS Nano 2011, 5, 2535–2546. [Google Scholar] [CrossRef] [PubMed]
- Govorov, A.; Zhang, W.; Skeini, T.; Richardson, H.; Lee, J.; Kotov, N. Gold nanoparticle ensembles as heaters and actuators: Melting and collective plasmon resonances. Nanoscale Res. Lett. 2006, 1, 84–90. [Google Scholar] [CrossRef]
- Govorov, A.O.; Richardson, H.H. Generating heat with metal nanoparticles. Nano Today 2007, 2, 30–38. [Google Scholar] [CrossRef]
- Baffou, G.; Girard, C.; Quidant, R. Mapping heat origin in plasmonic structures. Phys. Rev. Lett. 2010, 104, 136805:1–136805:4. [Google Scholar] [CrossRef]
- Rodríguez-Oliveros, R.; Sánchez-Gil, J.A. Gold nanostars as thermoplasmonic nanoparticles for optical heating. Opt. Express 2012, 20, 621–626. [Google Scholar] [CrossRef] [PubMed]
- Tan, S.J.; Gramotnev, D.K. Heating effects in nanofocusing metal wedges. J. Appl. Phys. 2011, 110, 034310. [Google Scholar] [CrossRef]
- Downes, A.; Salter, D.; Elfick, A. Heating effects in tip-enhanced optical microscopy. Opt. Express 2006, 14, 5216–5222. [Google Scholar] [CrossRef] [PubMed]
- Zhang, W.; Schmid, T.; Yeo, B.-S.; Zenobi, R. Near-field heating, annealing, and signal loss in tip-enhanced raman spectroscopy. J. Phys. Chem. C 2008, 112, 2104–2108. [Google Scholar] [CrossRef]
- Berweger, S.; Atkin, J.M.; Olmon, R.L.; Raschke, M.B. Light on the tip of a needle: Plasmonic nanofocusing for spectroscopy on the nanoscale. J. Phys. Chem. Lett. 2012, 3, 945–952. [Google Scholar] [CrossRef]
- Sönnichsen, C.; Franzl, T.; Wilk, T.; von Plessen, G.; Feldmann, J.; Wilson, O.; Mulvaney, P. Drastic reduction of plasmon damping in gold nanorods. Phys. Rev. Lett. 2002, 88, 077402:1–077402:7. [Google Scholar]
- Link, S.; El-Sayed, M.A. Shape and size dependence of radiative, non-radiative and photothermal properties of gold nanocrystals. Int. Rev. Phys. Chem. 2000, 19. [Google Scholar] [CrossRef]
- Pelton, M.; Aizpurua, J.; Bryant, G. Metal-nanoparticle plasmonics. Laser Photonics Rev. 2008, 2, 136–159. [Google Scholar] [CrossRef]
- Baffou, G.; Quidant, R.; Girard, C. Heat generation in plasmonic nanostructures: Influence of morphology. Appl. Phys. Lett. 2009, 94, 153109. [Google Scholar] [CrossRef]
- Baffou, G.; Quidant, R.; García de Abajo, F.J. Nanoscale control of optical heating in complex plasmonic systems. ACS Nano 2010, 4, 709–716. [Google Scholar] [CrossRef] [PubMed]
- Akamatsu, K.; Deki, S. Tem investigation and electron diffraction study on dispersion of gold nanoparticles into a nylon 11 thin film during heat treatment. J. Colloid Interface Sci. 1999, 214, 353–361. [Google Scholar] [CrossRef] [PubMed]
- Teranishi, T.; Hasegawa, S.; Shimizu, T.; Miyake, M. Heat-induced size evolution of gold nanoparticles in the solid state. Adv. Mater. 2001, 13, 1699–1701. [Google Scholar] [CrossRef]
- Qi, W.H.; Wang, M.P. Size and shape dependent melting temperature of metallic nanoparticles. Mater. Chem. Phys. 2004, 88, 280–284. [Google Scholar] [CrossRef]
- Zijlstra, P.; Chon, J.W.M.; Gu, M. White light scattering spectroscopy and electron microscopy of laser induced melting in single gold nanorods. Phys. Chem. Chem. Phys. 2009, 11, 5915–5921. [Google Scholar] [CrossRef] [PubMed]
- Chen, X.; Chen, Y.; Yan, M.; Qiu, M. Nanosecond photothermal effects in plasmonic nanostructures. ACS Nano 2012, 6, 2550–2557. [Google Scholar] [CrossRef] [PubMed]
- Zhang, W.; Li, Q.; Qiu, M. A plasmon ruler based on nanoscale photothermal effect. Opt. Express 2013, 21, 172–181. [Google Scholar] [CrossRef] [PubMed]
- Liu, L.; Peng, P.; Hu, A.; Zou, G.; Duley, W.W.; Zhou, Y.N. Highly localized heat generation by femtosecond laser induced plasmon excitation in ag nanowires. Appl. Phys. Lett. 2013, 102. http://dx.doi.org/10.1063/1.4790189. [Google Scholar]
- Garnett, E.C.; Cai, W.; Cha, J.J.; Mahmood, F.; Connor, S.T.; Greyson Christoforo, M.; Cui, Y.; McGehee, M.D.; Brongersma, M.L. Self-limited plasmonic welding of silver nanowire junctions. Nat. Mater. 2012, 11, 241–249. [Google Scholar] [CrossRef] [PubMed]
- Grigorchuk, N.I. Radiative damping of surface plasmon resonance in spheroidal metallic nanoparticle embedded in a dielectric medium. J. Opt. Soc. Am. B 2012, 29, 3404–3411. [Google Scholar] [CrossRef]
- Kats, M.A.; Yu, N.; Genevet, P.; Gaburro, Z.; Capasso, F. Effect of radiation damping on the spectral response of plasmonic components. Opt. Express 2011, 19, 21748–21753. [Google Scholar] [CrossRef] [PubMed]
- Gurzhi, R.N.; Ya. Azbel, M.; Lin, X.B. Surface effects in infrared optics. Solid State Phys. 1963, 5, 759–768. [Google Scholar]
- Gurzhi, R.N.; Kaganov, M.I. Effect of interelectron collisions on the optical properties of metals. J. Exp. Theor. Phys. 1966, 3, 654–656. [Google Scholar]
- Lawrence, W.E. Electron-electron scattering in the low-temperature resistivity of the noble metals. Phys. Rev. B 1976, 13, 5316–5319. [Google Scholar] [CrossRef]
- Lawrence, W.E.; Wilkins, J.W. Electron-electron scattering in the transport coefficients of simple metals. Phys. Rev. B 1973, 7, 2317–2332. [Google Scholar] [CrossRef]
- Holstein, T. Optical and infrared volume absorptivity of metals. Phys. Rev. 1954, 96, 535–536. [Google Scholar] [CrossRef]
- Holstein, T. Theory of transport phenomena in an electron-phonon gas. Ann. Phys. 1964, 29, 410–535. [Google Scholar] [CrossRef]
- Biondi, M.A.; Rayne, J.A. Band structure of noble metal alloys: Optical absorption in α-brasses at 4.2 K. Phys. Rev. 1959, 115, 1522–1530. [Google Scholar] [CrossRef]
- McKay, J.A.; Rayne, J.A. Temperature dependence of the infrared absorptivity of the noble metals. Phys. Rev. B 1976, 13, 673–685. [Google Scholar] [CrossRef]
- Yeshchenko, O.A.; Bondarchuk, I.S.; Gurin, V.S.; Dmitruk, I.M.; Kotko, A.V. Temperature dependence of the surface plasmon resonance in gold nanoparticles. Surf. Sci. 2013, 608, 275–281. [Google Scholar] [CrossRef]
- Genzel, L.; Martin, T.P.; Kreibig, U. Dielectric function and plasma resonances of small metal particles. Z. Phys. B 1975, 21, 339–346. [Google Scholar] [CrossRef]
- Coronado, E.A.; Schatz, G.C. Surface plasmon broadening for arbitrary shape nanoparticles: A geometrical probability approach. J. Chem. Phys. 2003, 119, 3926–3934. [Google Scholar] [CrossRef]
- Liu, M.; Guyot-Sionnest, P. Synthesis and optical characterization of Au/Ag core/shell nanorods. J. Phys. Chem. B 2004, 108, 5882–5888. [Google Scholar] [CrossRef]
- Novo, C.; Gomez, D.; Perez-Juste, J.; Zhang, Z.; Petrova, H.; Reismann, M.; Mulvaney, P.; Hartland, G.V. Contributions from radiation damping and surface scattering to the linewidth of the longitudinal plasmon band of gold nanorods: A single particle study. Phys. Chem. Chem. Phys. 2006, 8, 3540–3546. [Google Scholar] [CrossRef] [PubMed]
- Cai, W.; Hofmeister, H.; Dubiel, M. Importance of lattice contraction in surface plasmon resonance shift for free and embedded silver particles. Eur. Phys. J. D 2001, 13, 245–253. [Google Scholar] [CrossRef]
- Mays, C.W.; Vermaak, J.S.; Kuhlmann-Wilsdorf, D. On surface stress and surface tension: II. Determination of the surface stress of gold. Surf. Sci. 1968, 12, 134–140. [Google Scholar] [CrossRef]
- Hofmeister, H.; Huisken, F.; Kohn, B. Lattice contraction in nanosized silicon particles produced by laser pyrolysis of silane. Eur. Phys. J. D 1999, 9, 137–140. [Google Scholar] [CrossRef]
- Temnov, V.V. Ultrafast acousto-magneto-plasmonics. Nat. Photonics 2012, 6, 728–736. [Google Scholar] [CrossRef]
- Chen, K.-P.; Drachev, V.P.; Borneman, J.D.; Kildishev, A.V.; Shalaev, V.M. Drude relaxation rate in grained gold nanoantennas. Nano Lett. 2010, 10, 916–922. [Google Scholar] [CrossRef] [PubMed]
- Liu, M.; Pelton, M.; Guyot-Sionnest, P. Reduced damping of surface plasmons at low temperatures. Phys. Rev. B 2009, 79, 035418:1–035418:5. [Google Scholar]
- Materials Library. COMSOL Multiphysics Homepage. Available online: http://www.comsol.com/ (accessed on 22 October 2003).
- Wray, J.H.; Neu, J.T. Refractive index of several glasses as a function of wavelength and temperature. J. Opt. Soc. Am. 1969, 59, 774–776. [Google Scholar] [CrossRef]
- Donner, J.S.; Baffou, G.; Mc Closkey, D.; Quidant, R. Plasmon-assisted optofluidics. ACS Nano 2011, 5, 5457–5462. [Google Scholar] [CrossRef] [PubMed]
- Anagnostis, T.; Vassili, A.F.; Abajo, F.J.G.D.; Nikolay, I.Z. Low-loss terahertz superconducting plasmonics. New J. Phys. 2012, 14. [Google Scholar] [CrossRef]
- Inouye, H.; Tanaka, K.; Tanahashi, I.; Hirao, K. Ultrafast dynamics of nonequilibrium electrons in a gold nanoparticle system. Phys. Rev. B 1998, 57, 11334–11340. [Google Scholar] [CrossRef]
- Caspers, J.N.; Rotenberg, N.; van Driel, H.M. Ultrafast silicon-based active plasmonics at telecom wavelengths. Opt. Express 2010, 18, 19761–19769. [Google Scholar] [CrossRef] [PubMed]
- Zhu, Y.; Hu, X.; Fu, Y.; Yang, H.; Gong, Q. Ultralow-power and ultrafast all-optical tunable plasmon-induced transparency in metamaterials at optical communication range. Sci. Rep. 2013, 3. [Google Scholar] [CrossRef] [PubMed]
- Wurtz, G.A.; Pollard, R.; Hendren, W.; Wiederrecht, G.P.; Gosztola, D.J.; Podolskiy, V.A.; Zayats, A.V. Designed ultrafast optical nonlinearity in a plasmonic nanorod metamaterial enhanced by nonlocality. Nat. Nano 2011, 6, 107–111. [Google Scholar] [CrossRef]
- Del Fatti, N.; Voisin, C.; Achermann, M.; Tzortzakis, S.; Christofilos, D.; Vallée, F. Nonequilibrium electron dynamics in noble metals. Phys. Rev. B 2000, 61, 16956–16966. [Google Scholar] [CrossRef]
© 2013 by the authors; licensee MDPI, Basel, Switzerland. This article is an open access article distributed under the terms and conditions of the Creative Commons Attribution license (http://creativecommons.org/licenses/by/3.0/).
Share and Cite
Alabastri, A.; Tuccio, S.; Giugni, A.; Toma, A.; Liberale, C.; Das, G.; Angelis, F.D.; Fabrizio, E.D.; Zaccaria, R.P. Molding of Plasmonic Resonances in Metallic Nanostructures: Dependence of the Non-Linear Electric Permittivity on System Size and Temperature. Materials 2013, 6, 4879-4910. https://doi.org/10.3390/ma6114879
Alabastri A, Tuccio S, Giugni A, Toma A, Liberale C, Das G, Angelis FD, Fabrizio ED, Zaccaria RP. Molding of Plasmonic Resonances in Metallic Nanostructures: Dependence of the Non-Linear Electric Permittivity on System Size and Temperature. Materials. 2013; 6(11):4879-4910. https://doi.org/10.3390/ma6114879
Chicago/Turabian StyleAlabastri, Alessandro, Salvatore Tuccio, Andrea Giugni, Andrea Toma, Carlo Liberale, Gobind Das, Francesco De Angelis, Enzo Di Fabrizio, and Remo Proietti Zaccaria. 2013. "Molding of Plasmonic Resonances in Metallic Nanostructures: Dependence of the Non-Linear Electric Permittivity on System Size and Temperature" Materials 6, no. 11: 4879-4910. https://doi.org/10.3390/ma6114879
APA StyleAlabastri, A., Tuccio, S., Giugni, A., Toma, A., Liberale, C., Das, G., Angelis, F. D., Fabrizio, E. D., & Zaccaria, R. P. (2013). Molding of Plasmonic Resonances in Metallic Nanostructures: Dependence of the Non-Linear Electric Permittivity on System Size and Temperature. Materials, 6(11), 4879-4910. https://doi.org/10.3390/ma6114879
