Photo-Responsive Shape-Memory and Shape-Changing Liquid-Crystal Polymer Networks
Abstract
:1. Smart Polymer Materials
1.1. Shape-Memory Polymers (SMPs)

1.2. Shape Changing Polymers (SCPs)

2. Liquid Crystalline Materials

3. Liquid-Crystalline Elastomers (LCEs)




4. Azobenzene Chromophore

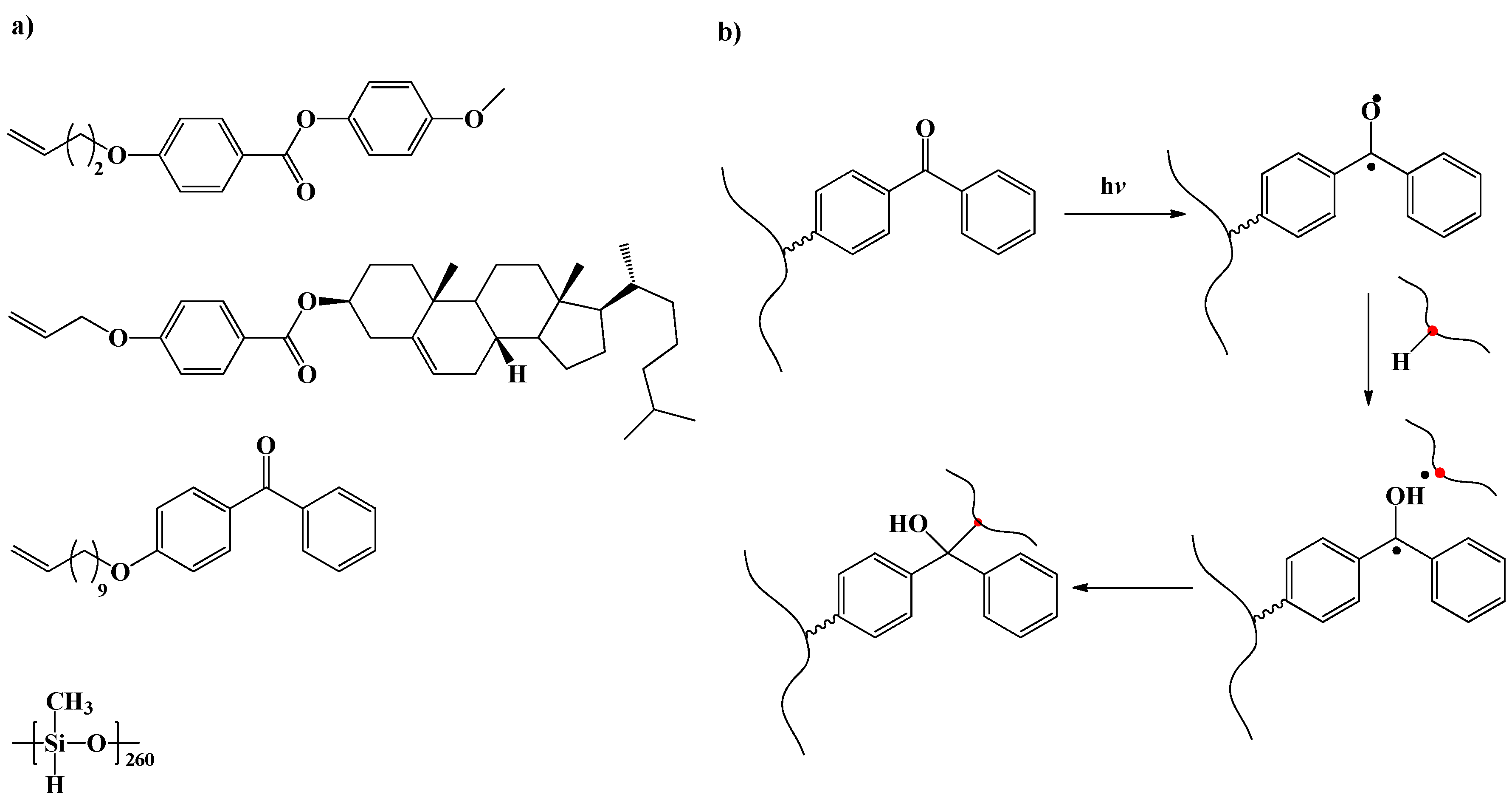
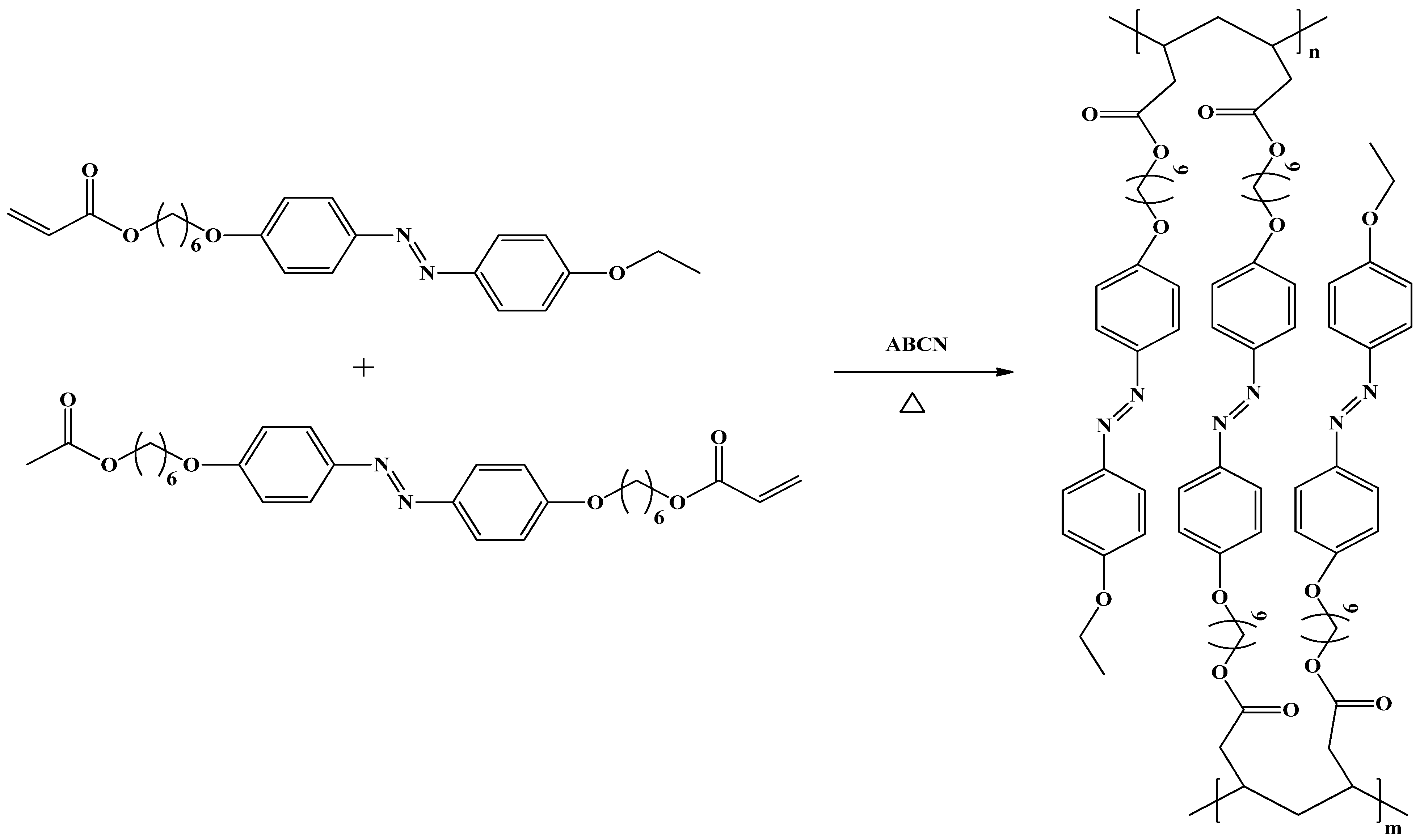
5. Preparation of Oriented Liquid-Crystalline Network (LCN) Films

6. Light Responsive LCNs
6.1. Photosensitive Shape-Changing LCEs & LCNs

6.2. Photoinduced 3-D Movements of LCNs






7. Light Activated Shape-Memory LCNs


8. Some Applications of Photo-Responsive LCNs


9. Conclusions
References
- Buckley, P.R.; McKinley, G.H.; WIlson, T.S.; Small, W.; Benett, W.J.; Bearinger, J.P.; McElfresh, M.W.; Maitland, D.J. Inductively heated shape memory polymer for the magnetic actuation of medical devices. IEEE Trans. Biomed. Eng. 2006, 53, 2075–2083. [Google Scholar] [CrossRef] [PubMed]
- Gunes, I.S.; Jana, S.C. Shape memory polymers and their nanocomposites: A review of science and technology of new multifunctional materials. J. Nanosci. Nanotechnol. 2008, 8, 1616–1637. [Google Scholar] [CrossRef] [PubMed]
- Ratna, D.; Karger-Kocsis, J. Recent advances in shape memory polymers and composites: a review. J. Mater. Sci. 2008, 43, 254–269. [Google Scholar] [CrossRef]
- Zhao, Y.; Ikeda, T. Smart Light Responsive-Materials, Azobenzene Containing Polymers and Liquid Crystals; Wiley: Hoboken, NJ, USA, 2009. [Google Scholar]
- Behl, M.; Lendlein, A. Shape-memory polymers. Mater. Today 2007, 10, 20–28. [Google Scholar] [CrossRef]
- Behl, M.; Lendlein, A. Actively moving polymers. Soft Matter 2007, 3, 58–67. [Google Scholar] [CrossRef]
- Behl, M.; Razzaq, M.Y.; Lendlein, A. Multifunctional Shape-Memory Polymers. Adv. Mater. 2010, 22, 3388–3410. [Google Scholar] [CrossRef] [PubMed]
- Liu, C.; Qin, H.; Mather, P.T. Review of progress in shape-memory polymers. J. Mater. Chem. 2007, 17, 1543–1558. [Google Scholar] [CrossRef]
- Ohm, C.; Brehmer, M.; Zentel, R. Liquid Crystalline Elastomers as Actuators and Sensors. Adv. Mater. 2010, 22, 3366–3387. [Google Scholar] [CrossRef] [PubMed]
- Suna, L.; Huangb, W.M.; Dingb, Z.; Zhaob, Y.; Wangb, C.C.; Purnawalib, H.; Tangb, C. Stimulus-responsive shape memory materials: A review. Mater. Des. 2012, 33, 577–640. [Google Scholar] [CrossRef]
- Lendlein, A.; Kelch, S. Shape-memory polymers. Angew. Chem.Int. Ed. 2002, 41, 2034–2057. [Google Scholar] [CrossRef]
- Lendlein, A.; Langer, R. Biodegradable, elastic shape-memory polymers for potential biomedical applications. Science 2002, 296, 1673–1676. [Google Scholar] [CrossRef] [PubMed]
- Lendlein, A.; Jiang, H.Y.; Jünger, O.; Langer, R. Light-induced shape-memory polymers. Nature 2005, 434, 879–882. [Google Scholar] [CrossRef] [PubMed]
- Sahoo, N.G.; Jung, Y.C.; Cho, J.W. Electroactive shape memory effect of polyurethane composites filled with carbon nanotubes and conducting polymer. Mater. Manuf. Process. 2007, 22, 419–423. [Google Scholar] [CrossRef]
- Vaia, R. Nanocomposites—Remote-controlled actuators. Nat. Mater. 2005, 4, 429–430. [Google Scholar] [CrossRef] [PubMed]
- Razzaq, M.Y.; Anhaltb, M.; Frormanna, L.; Weidenfellerb, B. Mechanical spectroscopy of magnetite filled polyurethane shape memory polymers. Mater. Sci. Eng. A 2007, 471, 57–62. [Google Scholar] [CrossRef]
- Behl, M.; Zotzmann, J.; Lendlein, A. Shape-Memory Polymers and Shape-Changing Polymers. Adv. Polym. Sci. 2010, 226, 1–40. [Google Scholar]
- Barrett, C.J.; Mamiya, J.-i.; Yager, K.G.; Ikeda, T. Photo-mechanical effects in azobenzene-containing soft materials. Soft Matter 2007, 3, 1249–1261. [Google Scholar] [CrossRef]
- Blinov, L.M.; Chigrinov, V.G. Electrooptic Effects in Liquid Crystal Materials; Springer-Verlag: New York, NY, USA, 1996. [Google Scholar]
- Baumgärtel, H.; Franck, E.U.; Grünbein, W.; Stegemeyer, H. Liquid Crystals; Springer: New York, NY, USA, 1994; Volume 3. [Google Scholar]
- Demus, D.; Richter, L. Textures of Liquid Crystals; Deutscher Verlag für Grundstoffindustrie: Leipzig, Germany, 1980. [Google Scholar]
- Shibaev, V.P.; Plate, N.A.; Freidzon, Y.S. Thermotropic Liquid-Crystalline Polymers .1. Cholesterol-Containing Polymers and Copolymers. J. Polym. Sci. A Polym. Chem. 1979, 17, 1655–1670. [Google Scholar] [CrossRef]
- Shibaev, V.P.; Talroze, R.V.; Karakhanova, F.I.; Plate, N.A. Thermotropic Liquid-Crystalline Polymers .2. Polymers with Amino-Acid Fragments in the Side-Chains. J. Polym. Sci. A Polym. Chem. 1979, 17, 1671–1684. [Google Scholar] [CrossRef]
- Wang, X.J. Theoretical descriptions of nematic polymers, networks and gels. Prog. Polym. Sci. 1997, 22, 735–764. [Google Scholar] [CrossRef]
- Terentjev, E.M. Liquid-crystalline elastomers. J. Phys. Condens. Matter 1999, 11, R239–R257. [Google Scholar] [CrossRef]
- Brand, H.R.; Pleiner, H.; Martinoty, P. Selected macroscopic properties of liquid crystalline elastomers. Soft Matter 2006, 2, 182–189. [Google Scholar] [CrossRef]
- Wei, J.; Yu, Y.L. Photodeformable polymer gels and crosslinked liquid-crystalline polymers. Soft Matter 2012, 8, 8050–8059. [Google Scholar] [CrossRef]
- De Gennes, P.G. Réflexions sur un type de polymères nématiques. C. R. Acad. Sci. B 1975, 281, 101–103. [Google Scholar]
- Kupfer, J.; Finkelmann, H. Nematic Liquid Single-Crystal Elastomers. Makromol. Chem. Rapid Commun. 1991, 12, 717–726. [Google Scholar] [CrossRef]
- Finkelmann, H.; Rehage, G. Investigations on Liquid-Crystalline Polysiloxanes, 1. Synthesis and Characterization of Linear-Polymers. Makromol. Chem. Rapid Commun. 1980, 1, 31–34. [Google Scholar] [CrossRef]
- Komp, A.; Finkelmann, H. A new type of macroscopically oriented smectic-A liquid crystal elastomer. Macromol. Rapid Commun. 2007, 28, 55–62. [Google Scholar] [CrossRef]
- Petr, M.; Hammond, P.T. Room Temperature Rapid Photoresponsive Azobenzene Side Chain Liquid Crystal Polymer. Macromolecules 2011, 44, 8880–8885. [Google Scholar] [CrossRef]
- Finkelmann, H.; Nishikawa, E.; Pereira, G.G.; Warner, M. A New Opto-Mechanical Effect in Solids. Phys. Rev. Lett. 2001, 87, 015501. [Google Scholar] [CrossRef] [PubMed]
- Donnio, B.; Wermter, H.; Finkelmann, H. Simple and versatile synthetic route for the preparation of main-chain, liquid-crystalline elastomers. Macromolecules 2000, 33, 7724–7729. [Google Scholar] [CrossRef]
- Naciri, J.; Srinivasan, A.; Jeon, H.; Nikolov, N.; Keller, P.; Ratna, B.R. Nematic elastomer fiber actuator. Macromolecules 2003, 36, 8499–8505. [Google Scholar] [CrossRef]
- Xia, Y.; Verduzco, R.; Grubbs, R.H.; Kornfield, J.A. Well-defined liquid crystal gels from telechelic polymers. J. Am. Chem. Soc. 2008, 130, 1735–1740. [Google Scholar] [CrossRef] [PubMed]
- Li, X.J.; Wen, R.B.; Zhang, Y.; Zhu, L.R.; Zhang, B.L.; Zhang, H.Q. Photoresponsive side-chain liquid crystalline polymers with an easily cross-linkable azobenzene mesogen. J. Mater. Chem. 2009, 19, 236–245. [Google Scholar] [CrossRef]
- Zentel, R.; Schmidt, G.F.; Meyer, J.; Benalia, M. X-Ray-Investigations of Linear and Cross-Linked Liquid-Crystalline Main Chain and Combined Polymers. Liq. Cryst. 1987, 2, 651–664. [Google Scholar] [CrossRef]
- Prucker, O.; Naumann, C.A.; Rühe, J.; Knoll, W.; Frank, C.W. Photochemical attachment of polymer films to solid surfaces via monolayers of benzophenone derivatives. J. Am. Chem. Soc. 1999, 121, 8766–8770. [Google Scholar] [CrossRef]
- Komp, A.; Ruhe, J.; Finkelmann, H. A versatile preparation route for thin free-standing liquid single crystal elastomers. Macromol. Rapid Commun. 2005, 26, 813–818. [Google Scholar] [CrossRef]
- Beyer, P.; Braun, L.; Zentel, R. (Photo)crosslinkable smectic LC main-chain polymers. Macromol. Chem. Phys. 2007, 208, 2439–2448. [Google Scholar] [CrossRef]
- Krause, S.; Dersch, R.; Wendorff, J.H.; Finkelmann, H. Photocrosslinkable liquid crystal main-chain polymers: Thin films and electrospinning. Macromol. Rapid Commun. 2007, 28, 2062–2068. [Google Scholar] [CrossRef]
- Li, M.H.; Keller, P.; Yang, J.Y.; Albouy, P.A. An artificial muscle with lamellar structure based on a nematic triblock copolymer. Adv. Mater. 2004, 16, 1922. [Google Scholar] [CrossRef]
- Brehmer, M.; Zentel, R.; Wagenblast, G.; Siemensmeyer, K. Ferroelectric Liquid-Crystalline Elastomers. Macromol. Chem. Phys. 1994, 195, 1891–1904. [Google Scholar] [CrossRef]
- Gebhard, E.; Zentel, R. Freestanding ferroelectric elastomer films. Macromol. Rapid Commun. 1998, 19, 341–344. [Google Scholar] [CrossRef]
- Thomsen, D.L.; Keller, P.; Naciri, J.; Pink, R.; Jeon, H.; Shenoy, D.; Ratna, B.R. Liquid crystal elastomers with mechanical properties of a muscle. Macromolecules 2001, 34, 5868–5875. [Google Scholar] [CrossRef]
- Ikeda, T.; Nakano, M.; Yu, Y.; Tsutsumi, O.; Kanazawa, A. Anisotropic bending and unbending behavior of azobenzene liquid-crystalline gels by light exposure. Adv. Mater. 2003, 15, 201–205. [Google Scholar] [CrossRef]
- vanOosten, C.L.; Bastiaansen, C.W.M.; Broer, D.J. Printed artificial cilia from liquid-crystal network actuators modularly driven by light. Nat. Mater. 2009, 8, 677–682. [Google Scholar] [CrossRef] [PubMed]
- Li, C.S.; Lo, C.W.; Zhu, D.F.; Li, C.H.; Liu, Y.; Jiang, H.R. Synthesis of a Photoresponsive Liquid-Crystalline Polymer Containing Azobenzene. Macromol. Rapid Commun. 2009, 30, 1928–1935. [Google Scholar] [CrossRef] [PubMed]
- Yang, H.; Buguin, A.; Taulemesse, J.M.; Kaneko, K.; Méry, S.; Bergeret, A.; Keller, P. Micron-Sized Main-Chain Liquid Crystalline Elastomer Actuators with Ultralarge Amplitude Contractions. J. Am. Chem. Soc. 2009, 131, 15000–15004. [Google Scholar] [CrossRef] [PubMed]
- Yang, H.; Wang, L.X.; Shao, R.F.; Clark, N.A.; Ortega, J.; Etxebarria, J.; Albouy, P.A.; Walba, D.M.; Keller, P. Novel liquid-crystalline mesogens and main-chain chiral smectic thiol-ene polymers based on trifluoromethylphenyl moieties. J. Mater. Chem. 2009, 19, 7208–7215. [Google Scholar] [CrossRef]
- Lub, J.; Broer, D.J.; vandenBroek, N. Synthesis and polymerization of liquid crystals containing vinyl and mercapto groups. Liebigs Ann. Recl. 1997, 11, 2281–2288. [Google Scholar] [CrossRef]
- Yu, Y.L.; Nakano, M.; Ikeda, T. Directed bending of a polymer film by light - Miniaturizing a simple photomechanical system could expand its range of applications. Nature 2003, 425, 145. [Google Scholar] [CrossRef] [PubMed]
- Angeloni, A.S.; Caretti, D.; Carlini, C.; Chiellini, E.; Galli, G.; Altomare, A.; Solaro, R.; Laus, M. Photochromic Liquid-Crystalline Polymers Main Chain and Side-Chain Polymers Containing Azobenzene Mesogens. Liq. Cryst. 1989, 4, 513–527. [Google Scholar] [CrossRef]
- Ikeda, T.; Mamiya, J.; Yu, Y.L. Photomechanics of liquid-crystalline elastomers and other polymers. Angew. Chem. Int. Ed. 2007, 46, 506–528. [Google Scholar] [CrossRef]
- Mamiya, J.I.; Yamada, M.; Naka, Y.; Kondo, M.; Ikeda, T. Photomobile Polymer Materials. Kobunshi Ronbunshu 2009, 66, 79–87. [Google Scholar] [CrossRef]
- Yu, Y.; Yin, R.; Xu, J.; Cheng, F.; Kondo, M.; Ikeda, T. Light-Driven Soft Actuator Materials Based on Liquid-Crystalline Polymers. Proc. SPIE 2008, 7050. [Google Scholar] [CrossRef]
- Kim, S.I.; Ree, M.; Shin, T.J.; Jung, J.C. Synthesis of new aromatic polyimides with various side chains containing a biphenyl mesogen unit and their abilities to control liquid-crystal alignments on the rubbed surface. J. Polym. Sci. A Polym. Chem. 1999, 37, 2909–2921. [Google Scholar] [CrossRef]
- Ree, M.; Kim, S.I.; Pyo, S.M.; Shin, T.J.; Park, H.K.; Jung, J.C. Synthesis and properties of nem aromatic polyimides—Polymeric materials for light-emitting and liquid-crystal displays. Macromol. Symp. 1999, 142, 73–84. [Google Scholar] [CrossRef]
- Iqbal, D. Photo-responsive azobenzene based liquid-crystalline elastomers. In Chemistry2011; University of Potsdam: Potsdam, Germany, 2011. [Google Scholar]
- Wang, W.; Sun, X.M.; Wu, W.; Peng, H.S.; Yu, Y.L. Photoinduced Deformation of Crosslinked Liquid-Crystalline Polymer Film Oriented by a Highly Aligned Carbon Nanotube Sheet. Angew. Chem. Int. Ed. 2012, 51, 4644–4647. [Google Scholar] [CrossRef]
- Eisenbach, C.D. Isomerization of Aromatic Azo Chromophores in Poly(Ethyl Acrylate) Networks and Photomechanical Effect. Polymer 1980, 21, 1175–1179. [Google Scholar] [CrossRef]
- Li, M.H.; Keller, P.; Li, B.; Wang, X.G.; Brunet, M. Light-driven side-on nematic elastomer actuators. Advan. Mater. 2003, 15, 569–572. [Google Scholar] [CrossRef]
- Hogan, P.M.; Tajbakhsh, A.R.; Terentjev, E.M. UV manipulation of order and macroscopic shape in nematic elastomers. Phys. Rev. E 2002, 65, 041720. [Google Scholar] [CrossRef]
- Cviklinski, J.; Tajbakhsh, A.R.; Terentjev, E.M. UV isomerisation in nematic elastomers as a route to photo-mechanical transducer. Eur. Phys. J. E 2002, 9, 427–434. [Google Scholar] [CrossRef] [PubMed]
- Yu, Y.L.; Nakano, M.; Ikeda, T. Photoinduced bending and unbending behavior of liquid-crystalline gels and elastomers. Pure Appl. Chem. 2004, 76, 1467–1477. [Google Scholar] [CrossRef]
- Camacho-Lopez, M.; Finkelmann, H.; Palffy-Muhoray, P.; Shelley, M. Fast liquid-crystal elastomer swims into the dark. Nat. Mater. 2004, 3, 307–310. [Google Scholar] [CrossRef] [PubMed]
- Tabiryan, N.; Serak, S.; Dai, X.M.; Bunning, T. Polymer film with optically controlled form and actuation. Opt. Express 2005, 13, 7442–7448. [Google Scholar] [CrossRef] [PubMed]
- Harris, K.D.; Cuypers, R.; Scheibe, P.; van Oosten, C.L.; Bastiaansen, C.W.M.; Lub, J.; Broer, D.J. Large amplitude light-induced motion in high elastic modulus polymer actuators. J. Mater. Chem. 2005, 15, 5043–5048. [Google Scholar] [CrossRef]
- Kondo, M.; Yu, Y.L.; Ikeda, T. How does the initial alignment of mesogens affect the photoinduced bending behavior of liquid-crystalline elastomers? Angew. Chem. Int. Ed. 2006, 45, 1378–1382. [Google Scholar] [CrossRef]
- Yu, Y.L.; Maeda, T.; Mamiya, J.; Ikeda, T. Photomechanical effects of ferroelectric liquid-crystalline elastomers containing azobenzene chromophores. Angew. Chem. Int. Ed. 2007, 46, 881–883. [Google Scholar] [CrossRef]
- Hrozhyk, U.; Serak, S.; Tabiryan, N.; White, T.J.; Bunning, T.J. Bidirectional Photoresponse of Surface Pretreated Azobenzene Liquid Crystal Polymer Networks. Opt. Express 2009, 17, 716–722. [Google Scholar] [CrossRef] [PubMed]
- White, T.J.; Bricker, R.L.; Natarajan, L.V.; Serak, S.V.; Tabiryan, N.V.; Bunning, T.J. Polymer stabilization of phototunable cholesteric liquid crystals. Soft Matter 2009, 5, 3623–3628. [Google Scholar] [CrossRef]
- White, T.J.; Serak, S.V.; Tabiryan, N.V.; Vaia, R.A.; Bunning, T.J. Polarization-controlled, photodriven bending in monodomain liquid crystal elastomer cantilevers. J. Mater. Chem. 2009, 19, 1080–1085. [Google Scholar] [CrossRef]
- White, T.J.; Tabiryan, N.V.; Serak, S.V.; Hrozhyk, U.A.; Tondiglia, V.P.; Koerner, H.; Vaia, R.A.; Bunning, T.J. A high frequency photodriven polymer oscillator. Soft Matter 2008, 4, 1796–1798. [Google Scholar] [CrossRef]
- Serak, S.; Tabiryan, N.; Vergara, R.; White, T.J.; Vaia, R.A.; Bunning, T.J. Liquid crystalline polymer cantilever oscillators fueled by light. Soft Matter 2010, 6, 779–783. [Google Scholar] [CrossRef]
- Wang, D.H.; Lee, K.M.; Yu, Z.N.; Koerner, H.; Vaia, R.A.; White, T.J.; Tan, L.S. Photomechanical Response of Glassy Azobenzene Polyimide Networks. Macromolecules 2011, 44, 3840–3846. [Google Scholar] [CrossRef]
- Lee, K.M.; Smith, M.L.; Koerner, H.; Tabiryan, N.; Vaia, R.A.; Bunning, T.J.; White, T.J. Photodriven, Flexural-Torsional Oscillation of Glassy Azobenzene Liquid Crystal Polymer Networks. Adv. Funct. Mater. 2011, 21, 2913–2918. [Google Scholar] [CrossRef]
- Lee, K.M.; Wang, D.H.; Koerner, H.; Vaia, R.A.; Tan, L.S.; White, T.J. Enhancement of Photogenerated Mechanical Force in Azobenzene-Functionalized Polyimides. Angew. Chem. Int. Ed. 2012, 51, 4117–4121. [Google Scholar] [CrossRef]
- Yin, R.Y.; Xu, W.X.; Kondo, M.; Yen, C.C.; Mamiya, J.; Ikeda, T.; Yu, Y.L. Can sunlight drive the photoinduced bending of polymer films? J. Mater. Chem. 2009, 19, 3141–3143. [Google Scholar] [CrossRef]
- Kondo, M.; Sugimoto, M.; Yamada, M.; Naka, Y.; Mamiya, J.-i.; Kinoshita, M.; Shishido, A.; Yu, Y.; Ikeda, T. Effect of concentration of photoactive chromophores on photomechanical properties of crosslinked azobenzene liquid-crystalline polymers. J. Mater. Chem. 2010, 20, 117–122. [Google Scholar] [CrossRef]
- Yoshino, T.; Kondo, M.; Mamiya, J.-i.; Kinoshita, M.; Yu, Y.; Ikeda, T. Three-Dimensional Photomobility of Crosslinked Azobenzene Liquid-Crystalline Polymer Fibers. Adv. Mater. 2010, 22, 1361–1363. [Google Scholar] [CrossRef] [PubMed]
- Havens, E.; Snyder, E.A.; Tong, T.H. Light-activated shape memory polymers and associated applications. Proc. SPIE 2005, 5762, 48–55. [Google Scholar]
- Yu, Y.; Ikeda, T. Photodeformable polymers: A new kind of promising smart material for micro- and nano-applications. Macromol. Chem. Phys. 2005, 206, 1705–1708. [Google Scholar] [CrossRef]
- Lee, B.K.M.; Koerner, H.; Wang, D.H.; Tan, L.-S.; White, T.J.; Vaia, R.A. Tailoring the Photomechanical Response of Glassy, Azobenzene-Functionalized Polyimides by Physical Aging. Macromolecules 2012, 45, 7527–7534. [Google Scholar] [CrossRef]
- Lee, K.M.; Koerner, H.; Vaia, R.A.; Bunning, T.J.; White, T.J. Light-activated shape memory of glassy, azobenzene liquid crystalline polymer networks. Soft Matter 2011, 7, 4318–4324. [Google Scholar] [CrossRef]
- Yamada, M.; Kondo, M.; Mamiya, J.; Yu, Y.; Kinoshita, M.; Barrett, C.J.; Ikeda, T. Photomobile polymer materials: Towards light-driven plastic motors. Angew. Chem. Int. Ed. 2008, 47, 4986–4988. [Google Scholar] [CrossRef]
- Yamada, M.; Kondo, M.; Miyasato, R.; Naka, Y.; Mamiya, J.-i.; Kinoshita, M.; Shishido, A.; Yu, Y.; Barrett, C.J.; Ikeda, T. Photomobile polymer materials-various three-dimensional movements. J. Mater. Chem. 2009, 19, 60–62. [Google Scholar] [CrossRef]
- Chen, M.; Xing, X.; Liu, Z.; Zhu, Y.; Liu, H.; Yu, Y.; Cheng, F. Photodeformable polymer material: towards light-driven micropump applications. Appl. Phys. A: Mater. Sci. Proc. 2010, 100, 39–43. [Google Scholar] [CrossRef]
- Chen, M.; Huang, H.; Zhu, Y.; Liu, Z.; Xing, X.; Cheng, F.; Yu, Y. Photodeformable CLCP material: study on photo-activated microvalve applications. Appl. Phys. A: Mater. Sci. Proc. 2011, 102, 667–672. [Google Scholar] [CrossRef]
- Cheng, F.; Yin, R.; Zhang, Y.; Yen, C.-C.; Yu, Y. Fully plastic microrobots which manipulate objects using only visible light. Soft Matter 2010, 6, 3447–3449. [Google Scholar] [CrossRef]
© 2013 by the authors; licensee MDPI, Basel, Switzerland. This article is an open access article distributed under the terms and conditions of the Creative Commons Attribution license (http://creativecommons.org/licenses/by/3.0/).
Share and Cite
Iqbal, D.; Samiullah, M.H. Photo-Responsive Shape-Memory and Shape-Changing Liquid-Crystal Polymer Networks. Materials 2013, 6, 116-142. https://doi.org/10.3390/ma6010116
Iqbal D, Samiullah MH. Photo-Responsive Shape-Memory and Shape-Changing Liquid-Crystal Polymer Networks. Materials. 2013; 6(1):116-142. https://doi.org/10.3390/ma6010116
Chicago/Turabian StyleIqbal, Danish, and Muhammad Haris Samiullah. 2013. "Photo-Responsive Shape-Memory and Shape-Changing Liquid-Crystal Polymer Networks" Materials 6, no. 1: 116-142. https://doi.org/10.3390/ma6010116
APA StyleIqbal, D., & Samiullah, M. H. (2013). Photo-Responsive Shape-Memory and Shape-Changing Liquid-Crystal Polymer Networks. Materials, 6(1), 116-142. https://doi.org/10.3390/ma6010116
