Time-Dependent Behavior of Reinforced Polymer Concrete Columns under Eccentric Axial Loading
Abstract
:1. Introduction
2. Mechanical Model
- -
- the generic plane cross-sections still lie within the plane after bending;
- -
- perfect adhesion exists between the polymer concrete and rods;
- -
- the external axial force, Next, and the bending moment, Mext, are constant over time;
- -
- there is no difference between the tensile and compressive stiffness/strength of a given material;
- -
- the behavior of the polymer concrete is linear-viscoelastic;
- -
- no cracks are present;
- -
- the behavior of the reinforcement bars is linear-elastic;
- -
- the internal reinforcing bars make no contribution to creep.
- -
- G* indicates the centroid of the transformed cross-section, assumed as the origin of the x and y axes (Figure 1);
- -
- and denote the instantaneous values of the axial strain in the polymer concrete and the reinforcing bars, respectively, according to the following relationships (Figure 1):
- -
- λ(t) and µ(t) are the axial strain at G* and the cross-sectional curvature, respectively;
- -
- is the ordinate of the centroid of the generic bars;
- -
- and are the elastic polymer concrete and bar strains, respectively; and
- -
- is the viscous contribution to the polymer concrete strain.

- -
- A* = Ac + nbAbc + nbAbt is the area of the transformed section;
- -
- I* = Ic + nbIbc + nbIbt is the moment of inertia about the x axis of the transformed section;
- -
- nb = Eb/Ec;
- -
- Ic, Ibc and Ibt are the moments of inertia about the x axis of the polymer concrete, the top reinforcement bars and the bottom reinforcement bars, respectively.
3. Numerical Analysis
| Bar ID | Material | Φb (mm) | Eb (GPa) | fb (MPa) |
|---|---|---|---|---|
| SI | Steel | 8 | 210.00 | 450.00 |
| SII | Steel | 10 | 210.00 | 450.00 |
| SIII | Steel | 12 | 210.00 | 450.00 |
| SIV | Steel | 16 | 210.00 | 450.00 |
| CI | CFRP | 8 | 115.00 | 2000.00 |
| CII | CFRP | 10 | 115.00 | 2000.00 |
| CIII | CFRP | 12 | 115.00 | 2000.00 |
| CIV | CFRP | 16 | 115.00 | 2000.00 |
| GI | GFRP | 8 | 40.00 | 1000.00 |
| GII | GFRP | 10 | 40.00 | 1000.00 |
| GIII | GFRP | 12 | 40.00 | 1000.00 |
| GIV | GFRP | 16 | 40.00 | 1000.00 |
| Binder Type | Mix Fraction (% of aggregate to polymer binder) | Ec (GPa) | fc (MPa) |
|---|---|---|---|
| Alkali sodium silicate-activated coal, combustion fly ash and slag | 23% Fine natural dune sand 29% 9 mm greywacke 18% 14 mm greywacke | 10.00 | 41.50 |


| E1 (GPa) | E2 (GPa) | E3 (GPa) | η1 (GPa d) | η2 (GPa d) | η3 (GPa d) |
|---|---|---|---|---|---|
| 7.38 | 0 | 0 | 5.47 × 102 | 0 | 0 |



| Bar ID | σcs(0) (MPa) | σcs(10000 d) (MPa) | ∆σcs/σcs(0) (%) | σcs(0) (MPa) | σcs(10000 d) (MPa) | ∆σcs/⎕σcs(0) (%) |
|---|---|---|---|---|---|---|
| SI | −0.93 | 0.38 | −140.57 | −0.14 | 0.77 | −643.20 |
| SII | −0.90 | 0.38 | −141.90 | −0.16 | 0.75 | −579.62 |
| SIII | −0.87 | 0.38 | −143.39 | −0.17 | 0.72 | −524.66 |
| SIV | −0.79 | 0.38 | −146.65 | −0.19 | 0.66 | −441.15 |
| CI | −0.96 | 0.38 | −139.43 | −0.13 | 0.80 | −714.37 |
| CII | −0.94 | 0.38 | −140.21 | −0.14 | 0.78 | −663.48 |
| CIII | −0.92 | 0.38 | −141.13 | −0.15 | 0.76 | −614.35 |
| CIV | −0.87 | 0.38 | −143.27 | −0.17 | 0.72 | −528.72 |
| GI | −0.99 | 0.37 | −137.13 | −0.12 | 0.80 | −779.79 |
| GII | −0.98 | 0.38 | −138.64 | −0.12 | 0.1 | −764.35 |
| GIII | −0.97 | 0.38 | −139.10 | −0.13 | 0.80 | −737.21 |
| GIV | −0.95 | 0.38 | −139.98 | −0.14 | 0.78 | −677.76 |
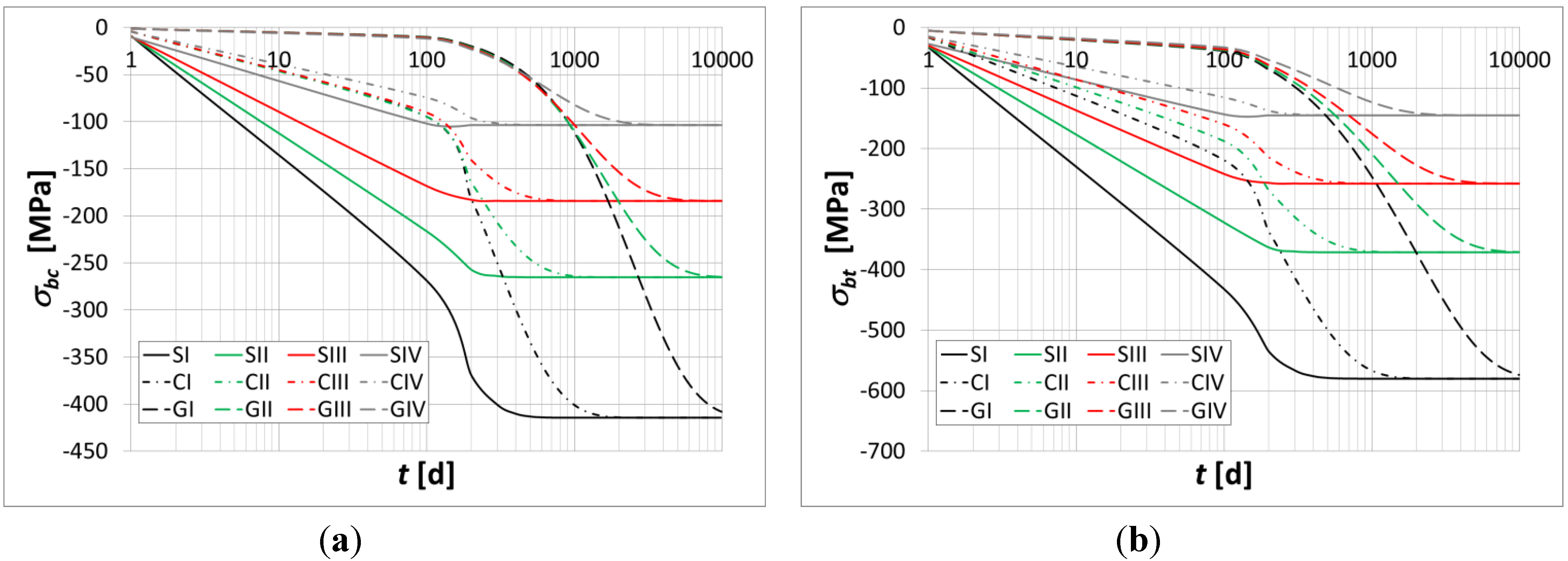
| Bar ID | σcs(0) (MPa) | σcs(10000 d) (MPa) | ∆σcs/σcs(0) (%) | σcs(0) (MPa) | σcs(10000 d) (MPa) | ∆σcs/σcs(0) (%) |
|---|---|---|---|---|---|---|
| SI | −6.30 | −414.47 | 6473.95 | −24.34 | −580.25 | 2284.10 |
| SII | −6.54 | −265.26 | 3941.06 | −23.56 | −371.36 | 1476.37 |
| SIII | −6.82 | −184.21 | 2602.65 | −22.69 | −257.89 | 1036.53 |
| SIV | −7.23 | −103.62 | 1333.60 | −20.82 | −145.06 | 596.60 |
| CI | −3.21 | −414.47 | 12401.80 | −13.70 | −580.25 | 4134.80 |
| CII | −3.41 | −265.26 | 7676.02 | −13.44 | −371.36 | 2662.20 |
| CIII | −3.51 | −184.21 | 5141.24 | −13.15 | −257.89 | 1861.59 |
| CIV | −3.72 | −103.62 | 2684.02 | −12.47 | −145.06 | 1063.74 |
| GI | −1.11 | −408.40 | 36703.60 | −4.88 | −574.19 | 11674.90 |
| GII | −1.12 | −264.93 | 23483.60 | −4.84 | −371.03 | 7561.91 |
| GIII | −1.14 | −184.20 | 16066.90 | −4.80 | −257.88 | 5270.21 |
| GIV | −1.18 | −103.62 | 8705.11 | −4.70 | −145.06 | 2298.44 |
4. Conclusions
- -
- the stress variations over time within the reinforcement bars may lead to the failure of a structural member because the stresses in the rods approach the available strength (see the analysis concerning a beam reinforced with 8-mm steel bars), thus compromising the safety of the entire structure;
- -
- the long-term displacements of a structural member may produce, in hyperstatic frames, noticeable stress redistributions due to the continuity conditions, thus affecting the stress state in the entire structure;
- -
- better deferred behavior of a reinforced polymer concrete column can be expected as the Young’s modulus and overall area of the internal rebars increase.
References
- Ghobarah, A.; El-Amoury, T. Seismic rehabilitation of deficient exterior concrete frame joints. J. Compos. Constr. 2005, 9, 408–416. [Google Scholar] [CrossRef]
- Ascione, L.; Berardi, V.P. Anchorage device for FRP laminates in the strengthening of concrete structures close to beam-column joints. Compos. B Eng. 2011, 42, 1840–1850. [Google Scholar] [CrossRef]
- Aniskevich, K.; Khristova, Y. Effect of aging of the binder on the creep of polymer concrete. Mech. Compos. Mater. 1996, 32, 544–549. [Google Scholar] [CrossRef]
- Maksimov, R.; Jirgens, L.; Jansons, J.; Plume, E. Mechanical properties of polyester polymer-concrete. Mech. Compos. Mater. 1999, 35, 99–110. [Google Scholar] [CrossRef]
- Griffiths, R.; Ball, A. An assessment of the properties and degradation behaviour of glass-fibre-reinforced polyester polymer concrete. Compos. Sci. Technol. 2000, 60, 2747–2753. [Google Scholar] [CrossRef]
- Tavares, C.M.L.; Ribeiro, M.C.S.; Ferreira, A.J.M.; Guedes, R.M. Creep behaviour of FRP-reinforced polymer concrete. Compos. Struct. 2002, 57, 47–51. [Google Scholar] [CrossRef]
- Aniskevich, K.; Hristova, J.; Jansons, J. Physical aging of polymer concrete during creep. J. Appl. Polym. Sci. 2003, 89, 3427–3431. [Google Scholar] [CrossRef]
- Guedes, R.M.; Tavares, C.M.L.; Ferreira, A.J.M. Experimental and theoretical study of the creep behavior of GFRP-reinforced polymer concrete. Compos. Sci. Technol. 2004, 64, 1251–1259. [Google Scholar] [CrossRef]
- Alsayed, S.H.; Al-Salloum, Y.A.; Almusallam, T.H. Performance of glass fiber reinforced plastic bars as a reinforcing material for concrete structures. Compos. B Eng. 2000, 31, 555–567. [Google Scholar] [CrossRef]
- Ascione, L.; Mancusi, G.; Spadea, S. Flexural behaviour of concrete beams reinforced with GFRP Bars. Strain 2010, 46, 460–469. [Google Scholar] [CrossRef]
- Pacheco-Torgal, F.; Jalali, S. Toxicity of building materials: A key issue in sustainable construction. Int. J. Sustain. Eng. 2011, 4, 281–287. [Google Scholar] [CrossRef]
- Lee, N.P. Creep and Shrinkage of Inorganic Polymer Concrete; Branz Study Report SR175; Branz Ltd.: Judgeford, New Zeland, 2007. [Google Scholar]
- Rebeiz, K.; Fowler, D.; Paul, D. Mechanical properties of polymer concrete systems made with recycled plastic. ACI Mater. J. 1994, 91, 40–45. [Google Scholar]
- Rebeiz, K.; Serhal, S.; Fowler, D. Structural behaviour of polymer concrete beams using recycled plastics. J. Mater. Civil Eng. 1994, 6, 150–165. [Google Scholar] [CrossRef]
- Rebeiz, K. Precast use of polymer concrete using unsaturated polyester resin based on recycled PET waste. Constr. Build. Mater. 1994, 10, 215–220. [Google Scholar] [CrossRef]
- Rebeiz, K.; Yang, S.; David, W. Polymer mortar composites made with recycled plastics. ACI Mater. J. 1994, 91, 313–319. [Google Scholar]
- Rebeiz, K. Time temperature properties of polymer concrete using recycled PET. Cem. Concr. Compos. 1995, 17, 119–124. [Google Scholar] [CrossRef]
- Rebeiz, K.; Fowler, D. Flexural strength of reinforced polymer concrete made with recycled plastic waste. ACI Struct. J. 1996, 93, 524–530. [Google Scholar]
- Jo, B.; Seung-Kook, P.; Cheol-Hwan, K. Mechanical properties of polyester polymer concrete using recycled polyethylene terephthalate. ACI Struct. J. 2006, 103, 219–225. [Google Scholar]
- Jo, B.; Park, S.; Park, J. Mechanical properties of polymer concrete made with recycled PET and recycled concrete aggregates. Constr. Build. Mater. 2008, 22, 2281–2291. [Google Scholar] [CrossRef]
- Mahdi, F.; Abbas, H.; Khan, A. Strength characteristics of polymer mortar and concrete using different compositions of resins derived from post-consumer PET bottles. Constr. Build. Mater. 2010, 24, 25–36. [Google Scholar] [CrossRef]
- Maksimov, R.D.; Plume, E. Long-Term creep of hybrid aramid/glass fiber-reinforced plastics. Mech. Compos. Mater. 2001, 37, 271–280. [Google Scholar] [CrossRef]
- Petermann, J.; Schulte, K. The effects of creep and fatigue stress ratio on the long-term behavior of angle-ply CFRP. Compos. Struct. 2002, 57, 205–210. [Google Scholar] [CrossRef]
- Ascione, F.; Berardi, V.P.; Feo, L.; Giordano, A. An experimental study on the long-term behavior of CFRP pultruded laminates suitable to concrete structures rehabilitation. Compos. B Eng. 2008, 39, 1147–1150. [Google Scholar] [CrossRef]
- Ascione, L.; Berardi, V.P.; D’Aponte, A. A viscoelastic constitutive law for FRP materials. Int. J. Comput. Methods Eng. Sci. Mech. 2011, 12, 225–232. [Google Scholar] [CrossRef]
- Ascione, L.; Berardi, V.P.; D’Aponte, A. Creep phenomena in FRP materials. Mech. Res. Commun. 2012, 43, 15–21. [Google Scholar] [CrossRef]
- Arockiasamy, M.; Chidambaram, S.; Amer, A.; Shahawy, M. Time-dependent deformations of concrete beams reinforced with CFRP bars. Compos. B Eng. 2000, 31, 577–592. [Google Scholar] [CrossRef]
- Muller, M.; Toussaint, E.; Destrebecq, J.F.; Grédiac, M. Investigation into the time-dependent behaviour of reinforced concrete specimens strengthened with externally bonded CFRP-plates. Compos. B Eng. 2007, 38, 417–428. [Google Scholar] [CrossRef]
- Ascione, L.; Berardi, V.P.; D’Aponte, A. Long-term behavior of PC beams externally plated with prestressed FRP systems: A mechanical model. Compos. B Eng. 2011, 42, 1196–1201. [Google Scholar] [CrossRef]
- Mancusi, G.; Spadea, S.; Berardi, V.P. Experimental analysis on the time-dependent bonding of FRP laminates under sustained loads. Compos. B Eng. 2012. [Google Scholar] [CrossRef]
- Zhang, C.; Wang, J. Viscoelastic analysis of FRP strengthened reinforced concrete beams. Compos. Struct. 2011, 93, 3200–3208. [Google Scholar] [CrossRef]
- Berardi, V.P.; Mancusi, G. A mechanical model for predicting the long term behavior of reinforced polymer concretes. Mech. Res. Commun. 2012. submitted for publication. [Google Scholar]
© 2012 by the authors; licensee MDPI, Basel, Switzerland. This article is an open access article distributed under the terms and conditions of the Creative Commons Attribution license (http://creativecommons.org/licenses/by/3.0/).
Share and Cite
Berardi, V.P.; Mancusi, G. Time-Dependent Behavior of Reinforced Polymer Concrete Columns under Eccentric Axial Loading. Materials 2012, 5, 2342-2352. https://doi.org/10.3390/ma5112342
Berardi VP, Mancusi G. Time-Dependent Behavior of Reinforced Polymer Concrete Columns under Eccentric Axial Loading. Materials. 2012; 5(11):2342-2352. https://doi.org/10.3390/ma5112342
Chicago/Turabian StyleBerardi, Valentino Paolo, and Geminiano Mancusi. 2012. "Time-Dependent Behavior of Reinforced Polymer Concrete Columns under Eccentric Axial Loading" Materials 5, no. 11: 2342-2352. https://doi.org/10.3390/ma5112342
APA StyleBerardi, V. P., & Mancusi, G. (2012). Time-Dependent Behavior of Reinforced Polymer Concrete Columns under Eccentric Axial Loading. Materials, 5(11), 2342-2352. https://doi.org/10.3390/ma5112342

