Preparation and Characterization of New Inclusion Compounds Using Stable Nitroxide Radicals and an Organic 1-D Nanochannel as a Template
Abstract
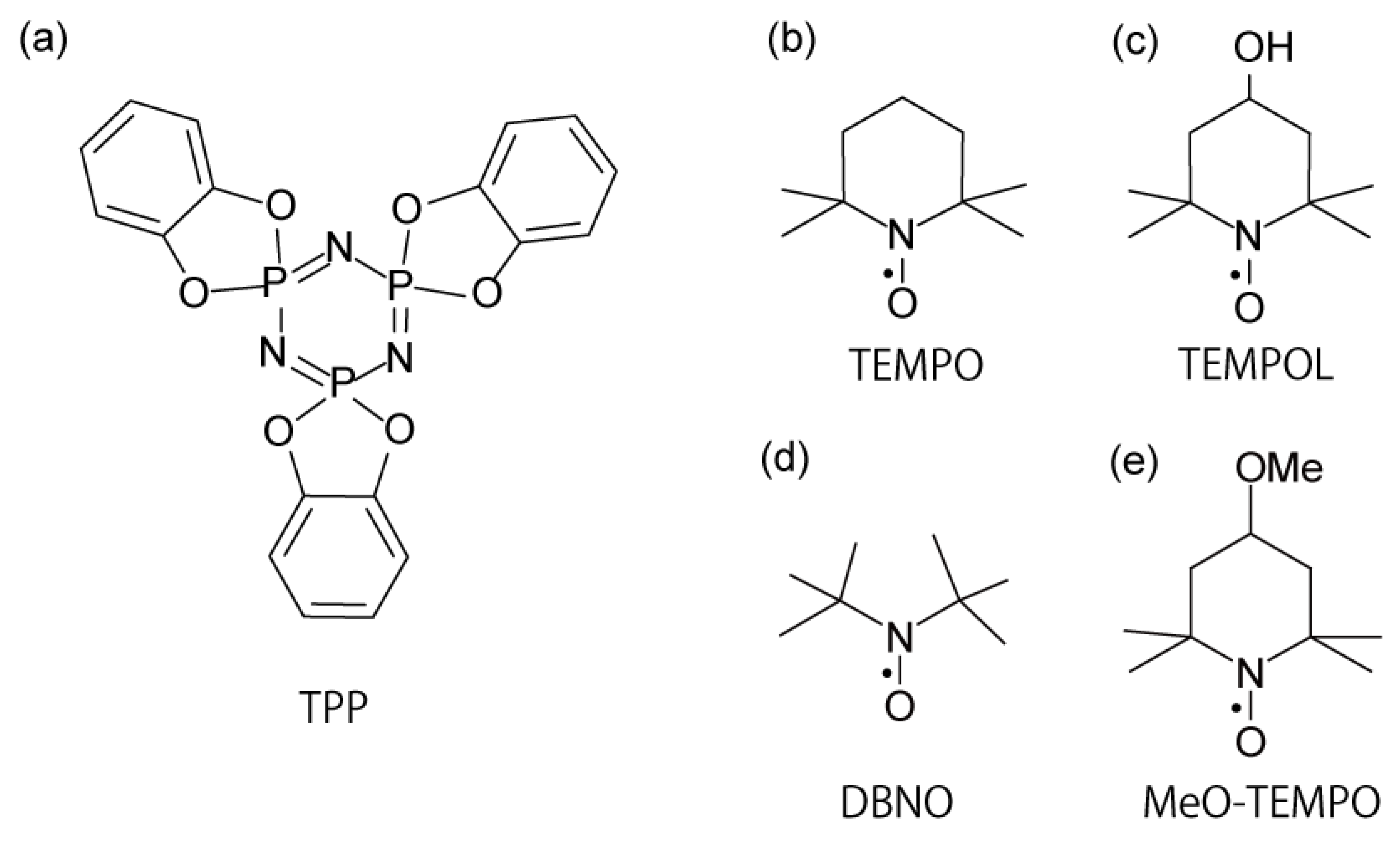
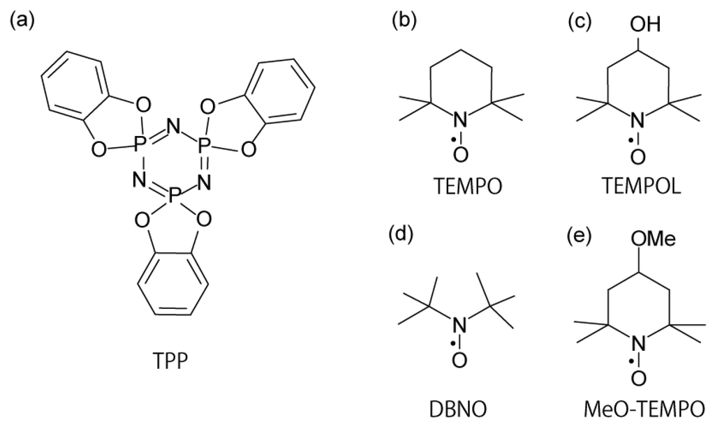
:1. Introduction

2. Results and Discussion
2.1. Sample characterization of compound 1


2.2. ESR measurements of compound 1 (TPP/(DBNO)0.62 IC)


2.3. Sample characterization and evaluation of compound 2


3. Experimental Section
3.1. Chemicals
3.2. Sample preparation
3.3. Instruments
4. Conclusions
Acknowledgements
References and Notes
- Allcock, H.R. Phosphonitrilic Compounds. II. Reactions of Phosphonitrilic Chlorides with Catechol and Triethylamine. J. Am. Chem. Soc. 1964, 86, 2591–2595. [Google Scholar]
- Allcock, H.R.; Siegel, L.A. Phosphonitrilic Compounds. III. Molecular Inclusion Compounds of Tris(o-phenylenedioxy)phosphonitrile Trimer. J. Am. Chem. Soc. 1964, 86, 5140–5144. [Google Scholar]
- Allcock, H.R.; Allen, R.W.; Bissell, E.C.; Smeltz, L.A.; Teeter, M. Molecular Motion and Molecular Separations in Cyclophosphazene Clathrates. J. Am. Chem. Soc. 1976, 98, 5120–5125. [Google Scholar]
- Allcock, H.R.; Levin, M.L.; Whittle, R.R. Tris(o-phenylenedioxy)cyclotriphosphazene: The Clathration-Induced Monoclinic to Hexagonal Solod-State Transition. Inorg. Chem. 1986, 25, 41–47. [Google Scholar]
- Meersmann, T.; Logan, J.W.; Simonutti, R.; Caldarelli, S.; Comotti, A.; Sozzani, P.; Kaiser, L.G.; Pines, A. Exploring Single-File Diffusion in One-Dimensional Nanochannels by Laser-Polarized 129Xe NMR Spectroscopy. J. Phys. Chem. A 2000, 104, 11665–11670. [Google Scholar]
- Sozzani, P.; Comotti, A.; Simonutti, R.; Meersmann, T.; Logan, J.W.; Pines, A.A. Porous Crystalline Molecular Solid Explored by Hyperpolarized Xenon. Angew. Chem. Int. Ed. 2000, 39, 2695–2698. [Google Scholar]
- Kobayashi, H.; Ueda, T.; Miyakubo, K.; Eguchi, T. Intermolecular Interactions of Xe Atoms Confined in One-dimensional Nanochannels of Tris(o-phenylenedioxy)cyclotriphosphazene as Studied by High-pressure 129Xe NMR. Z. Naturforsch. A 2003, 58, 727–734. [Google Scholar]
- Hertzsch, T.; Budde, F.; Weber, E.; Hulliger, J. Supramolecular-Wire Confinement of I2 Molecules in Channels of the Organic Zeolite Tris(o-phenylenedioxy)cyclotriphosphazene. Angew. Chem. Int. Ed. 2002, 41, 2281–2284. [Google Scholar]
- Gervais, C.; Hertzsch, T.; Hulliger, J. Insertion of Dipolar Molecules in Channels of a Centrosymmetric Organic Zeolite: Molecular Modeling and Experimental Investigations on Diffusion and Polarity Formation. J. Phys. Chem. B 2005, 109, 7961–7968. [Google Scholar]
- Hertzsch, T.; Kluge, S.; Weber, E.; Budde, F.; Hulliger, J. Surface Recognition of Dipolar Molecules Entering Channels of the Organic Zeolite Tris(o-phenylenedioxy)cyclotriphosphazene. Adv. Mater. 2001, 13, 1864–1867. [Google Scholar]
- Süss, H.I.; Wuest, T.; Sieber, A.; Althaus, R.; Budde, F.; Lüthi, H.P.; McManus, G.D.; Rawson, J.; Hulliger, J. Alignment of Radicals into Chains by a MARKOV Mechanism for Polarity Formation. CrystEngComm 2002, 4, 432–439. [Google Scholar]
- Barbon, A.; Zoleo, A.; Brustolon, M.; Comotti, A.; Sozzani, P. One-dimensional Cluster of 16-doxyl-stearate Radicals in Organic Nanochannels as Studied by Electron Paramagnetic Resonance (EPR). Inorg. Chim. Acta 2008, 361, 4122–4128. [Google Scholar]
- Sozzani, P.; Bracco, S.; Comotti, A.; Ferretti, L.; Simonutti, R. Methane and Carbon Dioxide Storage in a Porous van der Waals Crystal. Angew. Chem. Int. Ed. 2005, 44, 1816–1820. [Google Scholar]
- Sozzani, P.; Comotti, A.; Bracco, S.; Simonutti, R. Cooperation of Multiple CH·π Interactions to Stabilize Polymers in Aromatic Nanochannels as Indicated by 2D solid State NMR. Chem. Commun. 2004, 768, 768–769. [Google Scholar]
- Sozzani, P.; Comotti, A.; Bracco, S.; Simonutti, R.A. Family of Supramolecular Frameworks of Polyconjugated Molecules Hosted in Aromatic Nanochannels. Angew. Chem. Int. Ed. 2004, 43, 2792–2797. [Google Scholar]
- Becker, J.; Comotti, A.; Simonutti, R.; Sozzani, P.; Saalwächter, K. Molecular Motion of Isolated Linear Alkanes in Nanochannels. J. Phys. Chem. B 2005, 109, 23285–23294. [Google Scholar]
- Brustolon, M.; Barbon, A.; Bortolus, M.; Maniero, A.L.; Sozzani, P.; Comotti, A.; Simonutti, R. Dynamics of Alkoky-Oligothiophene Ground and Excited States in Nanochannels. J. Am. Chem. Soc. 2004, 126, 15512–15519. [Google Scholar]
- Comotti, A.; Simonutti, R.; Catel, G.; Sozzani, P. Isolated Linear Alkanes in Aromatic Nanochannels. Chem. Mater. 1999, 11, 1476–1483. [Google Scholar]
- Meirovitch, E. Hydrogen-2 Nuclear Magnetic Resonance Spectra of Cyclopentane and Mesitylene Trapped within Channel-Type Inclusion Compounds. J. Phys. Chem. 1984, 88, 6411–6414. [Google Scholar]
- Lievelt, A.; Müller, K. Structure and Dynamics of Guest Molecules in Cyclophosphazene Inclusion Compound. Mol. Cryst. Liq. Cryst. 1998, 313, 145–153. [Google Scholar]
- Gahungu, G.; Zhang, B.; Zhang, J. Influence of the Substituted Side Group on the Molecular Structure and Electronic Properties of TPP and Related Implications on Organic Zeolites Use. J. Phys. Chem. B 2007, 111, 5031–5033. [Google Scholar]
- Couderc, G.; Hertzsch, T.; Behrnd, N.-R.; Krämer, K.; Hulliger, J. Reversible Sorption of Nitrogen and Xenon Gas by the Guest-free Zeolite Tris(o-phenylenedioxy)cyclotriphosphazene (TPP). Micropor. Mesopor. Mater. 2006, 88, 170–175. [Google Scholar]
- Hertzsch, T.; Gervais, C.; Hulliger, J.; Jaeckel, B.; Guentay, S.; Bruchertseifer, H.; Neels, A. Open-pore Organic Material for Retaining Radioactive I2 and CH3I. Adv. Funct. Mater. 2006, 16, 268–272. [Google Scholar]
- Kobayashi, H.; Ueda, T.; Miyakubo, K.; Toyoda, J.; Eguchi, T.; Tani, A. Preparation and Characterization of New Inclusion Compound with 1D Molecular Arrangement of Organic Radicals Using a one-Dimensional Organic Homogeneous Nanochannel Template. J. Mater. Chem. 2005, 15, 872–879. [Google Scholar]
- Kobayashi, H.; Ueda, T.; Miyakubo, K.; Eguchi, T.; Tani, A. Spin-Spin Interaction of TEMPO Molecular Chains Formed in an Organic One-Dimensional Nanochannel as Studied by Electron Spin Resonance (ESR). Bull. Chem. Soc. Jpn. 2007, 80, 711–720. [Google Scholar]
- Kobayashi, H.; Ueda, T.; Miyakubo, K.; Eguchi, T.; Tani, A. ESR Study of Molecular Dynamics and Orientation of TEMPO Included in Organic One-Dimensional Nanochannel. Phys. Chem. Chem. Phys. 2008, 9, 1263–1269. [Google Scholar]
- Freed, J.H. Theory of Slow Tumbling ESR Spectra for Nitroxides. In Spin Labeling, Theory and Applications; Berliner, L.J., Ed.; Academic Press Inc.: New York, NY, USA, 1976; Chapter 3; pp. 55–132. [Google Scholar] [Green Version]
- Lajzérowicz-Bonneteau, J. Structure du Radical Nitroxyde Tetraméthyl-2,2,6,6-piperidinol-4-oxyle-1. Acta. Cryst. B 1968, 24, 196–199. [Google Scholar]
- Berliner, L.J. Refinement and Location of the Hydrogen Atoms in the Nitroxide 2,2,6,6-Tetramethyl-4-Piperidinol-1-Oxyl. Acta. Cryst. B 1970, 26, 1198–1202. [Google Scholar]
- Tabak, M.; Alonso, A.; Nascimento, O.R. Single Crystal ESR Studies of a Nitroxide Spin Label. I. Determination of the G and A tensors. J. Chem. Phys. 1983, 79, 1176–1184. [Google Scholar]
- Yamauchi, J. Linear. Antiferromagnetic Interaction in Organic Free Radicals. Bull. Chem. Soc. Jpn. 1971, 44, 2301–2308. [Google Scholar]
- Kobayashi, H.; Ueda, T.; Miyakubo, K.; Eguchi, T.; Tani, A. Preparation and Characterization of Inclusion Compounds Using TEMPOL and an Organic 1-D Nanochannel as a Template. Mol. Cryst. Liq. Cryst. 2009, 506, 150–167. [Google Scholar]
- Griffith, O.H.; Cornell, D.W.; McConnell, H.M. Nitrogen Hyperfine Tensor and g Tensor of Nitroxide Radicals. J. Chem. Phys. 1965, 43, 2909–2910. [Google Scholar]
- Libertini, L.J.; Griffith, O.H. Orientation Dependence of the Electron Spin Resonance Spectrum of Di-t-butyl Nitroxide. J. Chem. Phys. 1970, 53, 1359–1367. [Google Scholar]
- Birrell, G.B.; Van, S.P.; Griffith, O.H. Electron Spin Resonance of Spin Labels in Organic Inclusion Crystals. Models for Anisotropic Motion in Biological Membranes. J. Am. Chem. Soc. 1973, 95, 2451–2458. [Google Scholar]
- Dietz, R.E.; Merritt, F.R.; Dingle, R.; Hone, D.; Silbernagel, B.G.; Richards, P.M. Exchange Narrowing in One-Dimensional Systems. Phys. Rev. Lett. 1971, 26, 1186–1188. [Google Scholar]
- Stoll, S.; Schweiger, A. EasySpin, a Comprehensive Software Package for Spectral Simulation and Analysis in EPR. J. Magn. Reson. 2006, 178, 42–55. [Google Scholar]
- Albunia, A.R.; D’Aniello, C.; Guerra, G.; Gatteschi, D.; Mannini, M.; Sorace, L. Ordering Magnetic Molecules within Nanoporous Crystalline Polymers. Chem. Mater 2009, 21, 4750–4752. [Google Scholar]
© 2010 by the authors; licensee MDPI, Basel, Switzerland. This article is an open access article distributed under the terms and conditions of the Creative Commons Attribution license (http://creativecommons.org/licenses/by/4.0/).
Share and Cite
Kobayashi, H.; Asaji, T.; Tani, A. Preparation and Characterization of New Inclusion Compounds Using Stable Nitroxide Radicals and an Organic 1-D Nanochannel as a Template. Materials 2010, 3, 3625-3641. https://doi.org/10.3390/ma3063625
Kobayashi H, Asaji T, Tani A. Preparation and Characterization of New Inclusion Compounds Using Stable Nitroxide Radicals and an Organic 1-D Nanochannel as a Template. Materials. 2010; 3(6):3625-3641. https://doi.org/10.3390/ma3063625
Chicago/Turabian StyleKobayashi, Hirokazu, Tetsuo Asaji, and Atsushi Tani. 2010. "Preparation and Characterization of New Inclusion Compounds Using Stable Nitroxide Radicals and an Organic 1-D Nanochannel as a Template" Materials 3, no. 6: 3625-3641. https://doi.org/10.3390/ma3063625
APA StyleKobayashi, H., Asaji, T., & Tani, A. (2010). Preparation and Characterization of New Inclusion Compounds Using Stable Nitroxide Radicals and an Organic 1-D Nanochannel as a Template. Materials, 3(6), 3625-3641. https://doi.org/10.3390/ma3063625
