Hoffmeister Series Ions Protect Diphtheria Toxoid from Structural Damages at Solvent/Water Interface
Abstract
:1. Introduction
2. Materials and Methods
2.1. Materials
2.2. Effects of Hoffmeister series ions on the Dtxd solubility during emulsification with CH2Cl2
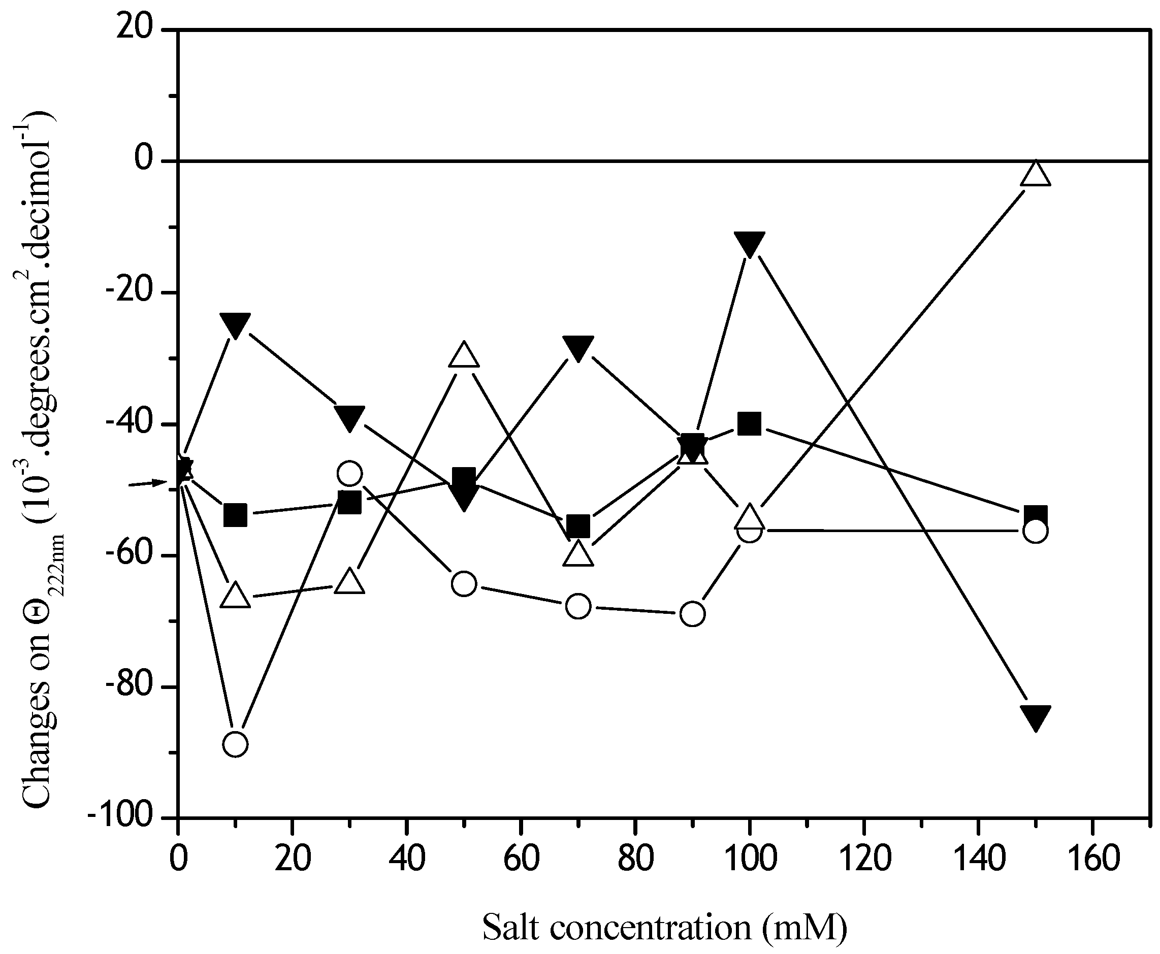
2.3. Circular dichroism
2.4. Fluorescence
2.5. ELISA
2.6. Dtxd encapsulation within PLGA in the presence of KSCN
3. Results






4. Discussion

5. Conclusions
Aknowledgements
References
- Wei, G.; Lu, L.F.; Lu, W.Y. Stabilization of recombinant human grow hormone against emulsification-induced aggregation by Pluronic surfactants during microencapsulation. Int. J. Pharm. 2007, 338, 125–132. [Google Scholar] [CrossRef] [PubMed]
- Pérez-Rodriguez, C.; Montano, N.; Gonzalez, K. Griebenow, Stabilization of chymotrypsin at the CH2Cl2/water interface and upon water-oil-in-water encapsulation in PLGA microspheres. J. Control. Rel. 2003, 89, 71–85. [Google Scholar] [CrossRef]
- Castellanos, I.J.; Cruz, G.; Crespo, R.C.; Griebenow, K. Encapsulation-induced aggregation and loss in activity of γ-chymotryppsin and their prevention. J. Control. Release 2002, 81, 307–319. [Google Scholar] [CrossRef] [PubMed]
- Pérez, C.; Castellanos, I.; Costantino, H.; Al-Azzam, W.; Griebenow, K. Recent trends in stabilizing protein structure upon encapsulation and release from bioerodible polymers. J. Phar. Pharmacol. 2002, 54, 301–313. [Google Scholar] [CrossRef]
- Diwan, M.; Park, T.G. Pegylation enhances protein stability during encapsulation in PLGA microspheres. J. Control. Release 2001, 73, 233–244. [Google Scholar] [CrossRef] [PubMed]
- Weert, M.; Hoechstetter, J.; Hennink, W.E.; Crommelin, D.J.A. The effect of water/organic solvent interface on the structural stability of lysozyme. J. Control. Release 2000, 68, 351–359. [Google Scholar] [CrossRef] [PubMed]
- Sah, H. Protein behavior at the water/methylene chloride interface. J. Pharm. Sci. 1999, 88, 1320–1325. [Google Scholar] [CrossRef] [PubMed]
- Xing, D.K.L.; Cranet, D.T.; Bolgiano, B.; Corbel, M.J.; Jones, C.; Sesardic, D. Physico-chemical and immunological studies on the stability of free and microsphere-encapsulated tetanus toxoid in vitro. Vaccine 1996, 14, 1205–1213. [Google Scholar] [CrossRef] [PubMed]
- Johansen, P.; Men, Y.; Audran, R.; Corradin, G.; Merkle, H.P.; Gander, B. Improving stability and release kinetics of microencapsulated tetanus toxoid by co-encapsulation of additives. Pharm. Res. 1998, 15, 1103–1110. [Google Scholar] [CrossRef] [PubMed]
- Audran, R.; Men, Y.; Johansen, P.; Gander, B.; Corradin, G. Enhanced immunogenicity of microencapsulated tetanus toxoid with stabilizing agents. Pharm. Res. 1998, 15, 1111–1116. [Google Scholar] [CrossRef] [PubMed]
- Lu, W.; Park, T.G. Protein release from poly(lactic-co-glycolic acid) microspheres: Protein stability problems, PDA. J. Pharm. Sci. Technol. 1995, 49, 13–19. [Google Scholar]
- Pérez, C.; Griebenow, K. Improoved activity and stability of lysozyme at the water/CH2Cl2 interface: enzyme unfolding and aggregation and its prevention by polyols. J. Pharm. Pharmacol. 2001, 53, 1217–1226. [Google Scholar] [CrossRef] [PubMed]
- Cleland, J.L.; Jones, A.J.S. Stable formulations of recombinant human growth hormone and interferon-gamma for microencapsulation for encapsulation in bidegradable microspheres. Pharm. Res. 1996, 13, 1464–1474. [Google Scholar] [CrossRef] [PubMed]
- Singh, M.; Shirley, B.; Bajwa, K.; Samara, E.; Hora, M.; O´Hagan, D. Controlled release of recombinant insulin-like growth factor from a novel formulation of polylactide-co-glycolide microparticles. J. Control. Release 2001, 70, 21–28. [Google Scholar] [CrossRef] [PubMed]
- Carrasquillo, K.; Stanley, A.M.; Aponte-Carro, J.C.; Jésus, P.; Costantino, H.R.; Bosques, C.J.; Griebenow, K. Non-aqueous encapsulation of excipient-stabilized spray-freeze dried BSA into poly(lactide-co-glycolide) microspheres results in release of native protein. J. Control. Release 2001, 76, 199–208. [Google Scholar] [CrossRef] [PubMed]
- Tobío, M.; Schwendeman, S.P.; Guo, Y.; McIver, J.; Langer, R.; Alonso, M.J. Improved immunogenicity of a core-coated tetanus toxoid delivery system. Vaccine 2000, 18, 618–622. [Google Scholar] [CrossRef]
- Blanco, D.; Alonso, M.J. Protein encapsulation and release from poly(lactide-co-glycolide) microspheres: Effect of the protein and polymer properties and of the co-encapsulation of surfactants. Eur. J. Pharm. Biopharm. 1998, 45, 285–294. [Google Scholar] [CrossRef] [PubMed]
- Schwendeman, S.P.; Tobío, M.; Joworowicz, M.; Alonso, M.J.; Langer, R. New strategies for the microencapsulation of tetanus vaccine. J. Microencap. 1998, 15, 299–318. [Google Scholar] [CrossRef]
- Nihant, N.; Schugens, C.H.; Granfils, C.H.; Jerôme, R.; Teyssié, P.H. Polylactide microparticles prepared by double emulsion-evaporation. II. Effect of the poly(lactide-co-glycolide) composition on the stability of the primary and secondary emulsions. J. Colloid Interface Sci. 1995, 173, 55–65. [Google Scholar]
- Nihant, N.; Schugens, C.H.; Granfils, C.H.; Jerôme, R.; Teyssié, P.H. Polylactide microparticles prepared by double emulsion/evaporation technique. I. Effect of primary emulsion stability. Pharm. Res. 1994, 11, 1479–1484. [Google Scholar]
- Crotts, G.; Park, T.G. Stability and release of bovine serum albumin encapsulated within poly(D,L- lactide-co-glycolide) microparticles. J. Control. Release 1997, 44, 123–124. [Google Scholar] [CrossRef]
- Castellanos, I.J.; Al-Azzam, W.; Griebenow, K. Effect of the covalent modification with poly(ethylene glycol) on a- chymotrypsin stability upon encapsulation in poly(lactic-co-glycolic) microspheres. J. Pharm. Sci. 2005, 94, 327–340. [Google Scholar] [CrossRef] [PubMed]
- Campana, R.A.; Namur, J.A.M.; Takata, C.S.; Araujo, P.S.; Bueno da Costa, M.H. Ionic interfaces and diphteria toxoid interactions. Prot. Expres. Purif. 2004, 33, 161–165. [Google Scholar] [CrossRef]
- Woody, R.W.; Dunker, K. Aromatic and cystine sidechain circular dichroism in proteins. In Circular Dichroism and the Conformational Analysis of Biomolecules, 1st ed.; Fasman, RGerald D., Ed.; Plenum Press: New York, NY, USA, 1996; pp. 109–113. [Google Scholar]
- Tilstra, L.; Mattice, W.L. The beta sheet to coil transition of polypeptides, as determined by circular dichroism. In Circular Dichroism and the Conformational Analysis of Biomolecules, 1st ed.; Fasman, G.D., Ed.; Plenum Press: New York, NY, USA, 1996; pp. 261–269. [Google Scholar]
- Pérez, C.; Griebenow, K. Effects of salts on lysozyme stability at the water-oil interface and upon encapsulation in poly(lactic-co-glycolic) acid microspheres. Biotechnol. Bioeng. 2002, 82, 825–832. [Google Scholar] [CrossRef]
- Curtis, R.A.; Ulrich, J.; Montaser, A.; Prausnitz, J.M.; Blanch, H.W. Protein-protein interactions in concentrated electrolyte solutions. Biotechnol. Bioeng. 2002, 79, 367–380. [Google Scholar] [CrossRef] [PubMed]
- Dér, A.; Kelemen, L.; Fábián, L.; Taneva, S.G.; Fodor, E.; Pálli, T.; Cupane, A.; Cacace, M.G.; Ramsden, J.J. Interfacial water structure controls protein conformation, J. Phys. Chem. B. 2007, 111, 5344–5350. [Google Scholar] [CrossRef]
- Zhang, Y.; Cremer, P.S. Interactions between macromolecules and ions: The Hoffmeister series. Curr. Opin. Chem. Biol. 2006, 10, 658–663. [Google Scholar] [CrossRef] [PubMed]
- Zhou, H.X. Interactions of macromolecules with salt ions: an electrostatic theory for the Hoffmeister effect. Proteins 2005, 61, 69–78. [Google Scholar] [CrossRef] [PubMed]
- Boström, M.; Williams, D.R.M.; Niham, B.W. Specific ion effects: why the properties of lysozyme in salt solutions follow a Hoffmeister series. Biophysical J. 2003, 85, 686–694. [Google Scholar] [CrossRef]
- Leberman, R. The Hoffmeister series and ionic strength. FEBS 1991, 284, 193–294. [Google Scholar] [CrossRef]
- Biresaw, G.; McKenzie, D.C.; Bunton, C.A.; Nicoli, D.F. Dynamic light scattering study of a micellar system of low fractional ionization: (CTA)2SO4 + Na2SO4. J. Phys. Chem. 1985, 89, 5144–5146. [Google Scholar] [CrossRef]
© 2009 by the authors; licensee Molecular Diversity Preservation International, Basel, Switzerland. This article is an open-access article distributed under the terms and conditions of the Creative Commons Attribution license (http://creativecommons.org/licenses/by/3.0/).
Share and Cite
Namur, J.A.M.; Takata, C.S.; De Araujo, P.S.; Bueno-da-Costa, M.H. Hoffmeister Series Ions Protect Diphtheria Toxoid from Structural Damages at Solvent/Water Interface. Materials 2009, 2, 765-775. https://doi.org/10.3390/ma2030765
Namur JAM, Takata CS, De Araujo PS, Bueno-da-Costa MH. Hoffmeister Series Ions Protect Diphtheria Toxoid from Structural Damages at Solvent/Water Interface. Materials. 2009; 2(3):765-775. https://doi.org/10.3390/ma2030765
Chicago/Turabian StyleNamur, Jocimara A.M., Célia S Takata, Pedro S. De Araujo, and Maria H. Bueno-da-Costa. 2009. "Hoffmeister Series Ions Protect Diphtheria Toxoid from Structural Damages at Solvent/Water Interface" Materials 2, no. 3: 765-775. https://doi.org/10.3390/ma2030765
APA StyleNamur, J. A. M., Takata, C. S., De Araujo, P. S., & Bueno-da-Costa, M. H. (2009). Hoffmeister Series Ions Protect Diphtheria Toxoid from Structural Damages at Solvent/Water Interface. Materials, 2(3), 765-775. https://doi.org/10.3390/ma2030765
