Preparation and Performance Study of Thermoplastic Polyurethane/Graphene Oxide Modified Asphalt
Abstract
1. Introduction
2. Materials and Test Methods
2.1. Raw Materials
2.1.1. Base Asphalt
2.1.2. Thermoplastic Polyurethane (TPU)
2.1.3. Thermoplastic Polyurethane/Graphene Oxide (TPU/GO)
2.2. Preparation of Modified Asphalt
2.3. Test Methods
2.3.1. Fourier Transform Infrared (FTIR) Test
2.3.2. Compatibility Test
2.3.3. Basic Performance Test
2.3.4. Rotational Viscosity Test
2.3.5. Bending Beam Rheometer (BBR) Test
2.3.6. Dynamic Shear Rheometer (DSR) Test
2.3.7. Aging Test
2.4. Research Process
3. Results and Discussion
3.1. FTIR Test
3.2. Compatibility
3.2.1. Storage Stability
3.2.2. Fluorescence Microscopy (FM)
3.2.3. Emission Scanning Electron Microscope (SEM)
3.3. Basic Performance of Modified Asphalt
3.4. Rotation Viscosity
3.5. Low Temperature BBR Test Results
3.6. Dynamic Rheological Shear Test Results
3.6.1. MSCR Test Results
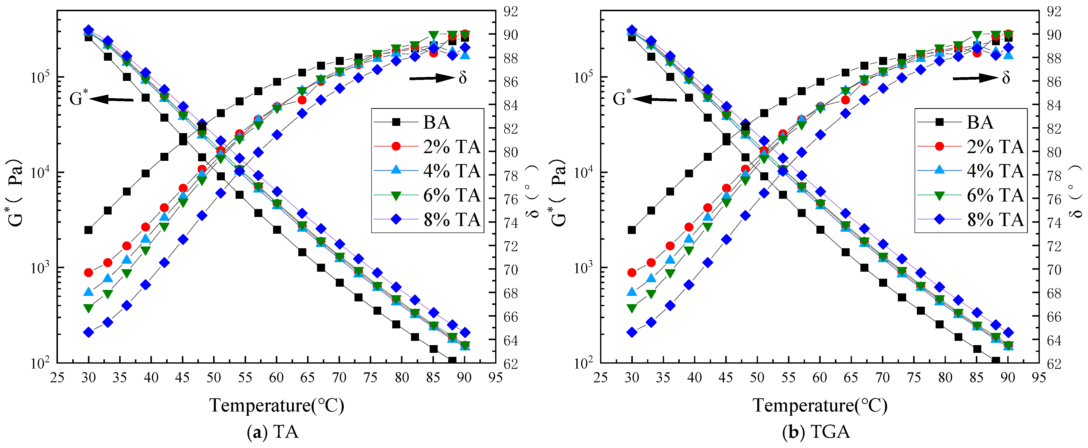
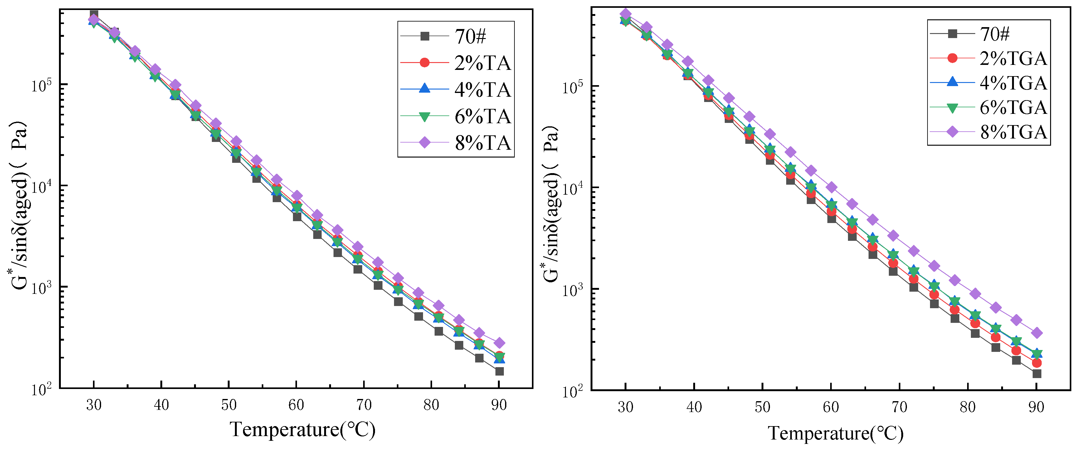
3.6.2. Temperature Scanning Test Results
3.7. Aging Test Results
3.8. Limitations and Future Research Directions
- Modified mechanism: Although the synergistic enhancement effect of TPU and GO on asphalt performance was confirmed through macro-performance tests and micro-characterizations (FTIR, FM, SEM), the intrinsic interaction mechanism at the molecular level (e.g., the binding energy between TPU/GO and asphalt components, molecular dynamics simulation of interface behavior) was not explored.
- Influence of other factors: The present study used only one type of base asphalt (70# pen asphalt) and fixed GO content (1.2%) in TPU/GO composites. The adaptability of TPU/GO modifiers to different types of base asphalt (e.g., 90# pen asphalt, hard asphalt) and different GO contents in TPU/GO composites for different asphalt types were not investigated.
- Performance evaluation of mixture: This study focused on the properties of TPU/GO-modified asphalt binders, while the performance of TPU/GO-modified asphalt mixtures (e.g., Marshall stability, dynamic stability, low-temperature bending strength, and water stability) was not investigated. The binder performance does not fully represent the mixture’s actual road performance, as the interaction between TPU/GO-modified asphalt and aggregates may affect the final pavement performance.
4. Conclusions
- TPU/GO exhibits excellent compatibility with base asphalt, with its softening point difference far below the 2.5 °C specification limit after 48 h storage at 163 °C; FM and SEM results also confirm uniform dispersion of GO in the TPU matrix and asphalt.
- TPU/GO significantly enhances asphalt’s low-temperature performance; the 5 °C ductility of 8% TGA is 440% higher than that of base asphalt, and BBR tests show decreased S and increased m value with rising content of GO, indicating excellent low-temperature stress relaxation capacity at −12 °C and −18 °C.
- The high-temperature rutting resistance of asphalt is notably enhanced by TPU/GO; the failure temperature of 8% TPU/GO-modified asphalt is 78.57 °C, and its is greatly increased while is significantly reduced in the MSCR test.
- TPU/GO endows asphalt with superior anti-aging performance, with the aging index (AI) of 8% TGA as low as 1.13–1.18 (much lower than 1.90–2.04 of base asphalt); TPU supplements light components and GO binds tightly with asphalt resin components, realizing a synergistic anti-aging effect.
- Based on the comprehensive balance of road performance and engineering applicability, 8% is recommended as the optimal dosage of TPU/GO for asphalt modification.
Author Contributions
Funding
Institutional Review Board Statement
Informed Consent Statement
Data Availability Statement
Conflicts of Interest
Abbreviations
| TPU | Thermoplastic Polyurethane |
| GO | Graphene Oxide |
| FM | Fluorescence microscopy |
| SEM | Emission scanning electron microscope |
| TA | Thermoplastic Polyurethane modified asphalt |
| TGA | Thermoplastic Polyurethane/Graphene Oxide modified asphalt |
| FTIR | Fourier transform infrared |
| BBR | Bending beam rheometer |
| DSR | Dynamic shear rheometer |
| MSCR | Multiple stress creep recovery |
References
- Wu, H.; Yang, M.; Song, W.; Wu, Z.; Chen, D.; Chen, X. Mechanical and rheological properties of polyurethane-polyurea (PU-PUa) modified asphalt binder. Constr. Build. Mater. 2024, 411, 134798. [Google Scholar] [CrossRef]
- Li, G.; Wang, M.; Yan, K.; Song, X. Study on the Self-Healing Performance of Polyurethane/Graphene Oxide-Modified Asphalt Based on Dynamic Disulfide Bonds. Materials 2025, 18, 2549. [Google Scholar] [CrossRef] [PubMed]
- Cai, L.; Shi, X.; Xue, J. Laboratory evaluation of composed modified asphalt binder and mixture containing nano-silica/rock asphalt/SBS. Constr. Build. Mater. 2018, 172, 204–211. [Google Scholar] [CrossRef]
- Zhang, M.; Xiong, K.; Zhang, J.; Li, Y.; He, Y.; Pei, J. Evaluation of the rheological properties and aging resistance of asphalt modified by MDI/TDI polyurethane. Constr. Build. Mater. 2024, 411, 134350. [Google Scholar] [CrossRef]
- Liu, Q.; Yu, B.; Falchetto, A.C.; Wang, D.; Liu, J.; Bo, W. Characterization and molecular mechanism of the thermal-oxidative gradient aging behavior in asphalt films. Measurement 2022, 199, 111567. [Google Scholar] [CrossRef]
- Yang, Q.; Lin, J.; Wang, X.; Wang, D.; Xie, N.; Shi, X. A review of polymer-modified asphalt binder: Modification mechanisms and mechanical properties. Clean. Mater. 2024, 12, 100255. [Google Scholar] [CrossRef]
- Albayati, A.H.; Mohammed, A.M.; Al-Ani, A.F.; Al-Kheetan, M.J.; Moudhafar, M.M. Performance evaluation of highly modified asphalt binders using elastomeric and plastomeric polymers. Mech. Time-Depend. Mater. 2025, 29, 73. [Google Scholar] [CrossRef]
- Song, Y.; Li, J.; Song, G.; Li, Z.; Yang, X.; Ma, F.; Li, X. Superior strength, highly stretchable, bionic self-healing polyurethane and its composites for flexible conductivity and self-cleaning applications. Compos. Part B Eng. 2024, 280, 111457. [Google Scholar] [CrossRef]
- Wei, K.; Cao, X.; Tang, B.; Wu, Y.; Jiang, T. Castor oil-based polyurethane Vitrimer modified asphalts regulated by dual dynamic reversible reactions and crosslinking density: Preparation, basic assessment and self-healing behavior. Constr. Build. Mater. 2024, 429, 136430. [Google Scholar] [CrossRef]
- Chen, S.-Y.; Kokalari, I.; Parnell, S.R.; Smith, G.N.; Zeng, B.-H.; Way, T.-F.; Chuang, F.-S.; Rwei, A.Y. Structure Property Relationship of Micellar Waterborne Poly(Urethane-Urea): Tunable Mechanical Properties and Controlled Release Profiles with Amphiphilic Triblock Copolymers. Langmuir 2023, 39, 10033–10046. [Google Scholar] [CrossRef]
- Bi, Y.; Sun, M.; Jing, S.; Hou, D.; Zhuang, W.; Chen, S.; Jiao, X.; Zhao, Q. Interlaminar Shear Characteristics, Energy Consumption, and Carbon Emissions of Polyurethane Mixtures. Coatings 2022, 12, 400. [Google Scholar] [CrossRef]
- Jiang, W.; Zhang, M.; Ren, P.; Xing, C.; Yuan, D.; Wu, W. Development of porous asphalt mixture based on the synthesis of PTEMG and MDI polyurethane asphalt. Constr. Build. Mater. 2024, 411, 134537. [Google Scholar] [CrossRef]
- Li, Z.; Yang, F.; Yuan, J.; Cong, L.; Yu, M. Study on preparation and pavement performance of polyurethane modified asphalt based on in-situ synthesis method. Constr. Build. Mater. 2021, 309, 125196. [Google Scholar] [CrossRef]
- Khedaywi, T.; Haddad, M.; Bataineh, H. Effect of waste plastic polyethylene terephthalate on properties of asphalt cement. Innov. Infrastruct. Solut. 2023, 8, 232. [Google Scholar] [CrossRef]
- Khedaywi, T.; Baker, M.B.; Haddad, M.; Bataineh, H. Effect of Waste Plastic Polyethylene Terephthalate on Properties of Asphalt Concrete Mixtures. Int. J. Pavement Res. Technol. 2024, 17, 280–290. [Google Scholar] [CrossRef]
- Fernández, C.; Bermúdez, M.; Versteegen, R.; Meijer, E.; Vancso, G.; Muñoz-Guerra, S. An overview on 12-polyurethane: Synthesis, structure and crystallization. Eur. Polym. J. 2010, 46, 2089–2098. [Google Scholar] [CrossRef]
- Izquierdo, M.; Navarro, F.; Martínez-Boza, F.; Gallegos, C. Bituminous polyurethane foams for building applications: Influence of bitumen hardness. Constr. Build. Mater. 2012, 30, 706–713. [Google Scholar] [CrossRef]
- Wang, M.; Liu, J.; Yan, K. Research on the performance and mechanism of asphalt modified by thermoplastic polyurethane with different chemical structures. Constr. Build. Mater. 2023, 409, 133814. [Google Scholar] [CrossRef]
- Zhang, L.; Li, P.; Hu, G.; Zhang, S.; Hong, B.; Wang, H.; Wang, D.; Oeser, M. Study on the aging resistance of polyurethane precursor modified bitumen and its mechanism. Sustainability 2021, 13, 9520. [Google Scholar] [CrossRef]
- Li, X.; Li, J.; Wang, J.; Yuan, J.; Jiang, F.; Yu, X.; Xiao, F. Recent applications and developments of Polyurethane materials in pavement engineering. Constr. Build. Mater. 2021, 304, 124639. [Google Scholar] [CrossRef]
- Lu, J.; Xu, S.; Li, C.; Fu, C.; Gao, M.; Wang, Z.; Yang, F.; Zhou, G.; Li, R.; Ling, T. The latest research progress of polyurethane modified asphalt binder: Synthesis, characterization, and applications. Int. J. Adhes. Adhes. 2025, 140, 104035. [Google Scholar] [CrossRef]
- Yang, X.; Hong, J.; Xiong, Z.; Liu, W.; Gong, M.; Cheng, J.; Xu, Z.; Fu, C. Performance of PTMEG/CO composite polyurethane and modification mechanism of polyurethane-modified asphalt. Constr. Build. Mater. 2025, 475, 141117. [Google Scholar] [CrossRef]
- Kim, H.H.; Mazumder, M.; Lee, S.-J.; Lee, M.-S. Laboratory Evaluation of Sustainable PMA Binder Containing Styrene-Isoprene-Styrene (SIS) and Thermoplastic Polyurethane. Sustainability 2020, 12, 10057. [Google Scholar] [CrossRef]
- Jin, X.; Guo, N.; You, Z.; Wang, L.; Wen, Y.; Tan, Y. Rheological properties and micro-characteristics of polyurethane composite modified asphalt. Constr. Build. Mater. 2020, 234, 117395. [Google Scholar] [CrossRef]
- Shen, X.; Chen, L.; Ma, Y.; Li, Z.; Liang, B.; Zhang, Y.-F. Preparation and performance study of commercial polyurethane-modified asphalt. Polym. Bull. 2025, 83, 179. [Google Scholar] [CrossRef]
- Yan, K.; Yuan, J.; Wang, M.; Ge, D.; Hong, Z. Preparation process and performance of thermoplastic polyurethane/amorphous poly alpha olefin compound modified bitumen. J. Clean. Prod. 2022, 352, 131562. [Google Scholar] [CrossRef]
- Zhang, Z.; Sun, J.; Jia, M.; Ban, X.; Wang, L.; Chen, L.; Huang, T.; Liu, H. Effects of Polyurethane Thermoplastic Elastomer on Properties of Asphalt Binder and Asphalt Mixture. J. Mater. Civ. Eng. 2021, 33, 04020477. [Google Scholar] [CrossRef]
- Han, M.; Muhammad, Y.; Wei, Y.; Zhu, Z.; Huang, J.; Li, J. A review on the development and application of graphene based materials for the fabrication of modified asphalt and cement. Constr. Build. Mater. 2021, 285, 122885. [Google Scholar] [CrossRef]
- Li, T.; Jiang, K.; Liu, K.; Li, Q. Fourier transform infrared spectroscopy characterization of aging properties of graphene oxide modified asphalt binder. Int. J. Adhes. Adhes. 2025, 139, 103974. [Google Scholar] [CrossRef]
- Zhao, Y.; Guo, R.; Li, J.; Wen, L. Research on preparation and road performance of graphene oxide framework modified asphalt and asphalt mixture based on micro-mechanism and grey correlation analysis. Constr. Build. Mater. 2025, 462, 139980. [Google Scholar] [CrossRef]
- Almashaqbeh, H.K.; Majdoub, M.; Sengottuvelu, D.; Nouranian, S.; Doyle, J.D.; Algharibeh, O.; Alkhateb, H.; Rushing, G.; Al-Shraideh, N.; Ucak-Astarlioglu, M.G.; et al. Efficacy of octadecylamine-functionalized graphene versus graphene nanoplatelets and graphene oxide as asphalt binder modifiers for high-temperature performance. Mater. Struct. 2025, 58, 44. [Google Scholar] [CrossRef]
- Singh, D.; Kuity, A.; Girimath, S.; Suchismita, A.; Showkat, B. Investigation of Chemical, Microstructural, and Rheological Perspective of Asphalt Binder Modified with Graphene Oxide. J. Mater. Civ. Eng. 2020, 32, 04020323. [Google Scholar] [CrossRef]
- Duan, S.; Li, J.; Muhammad, Y.; Su, Z.; Meng, F.; Yang, H.; Yao, X. Synthesis and evaluation of high-temperature properties of butylated graphene oxide composite incorporated SBS (C4H9-GO/SBS)-modified asphalt. J. Appl. Polym. Sci. 2019, 136, 48231. [Google Scholar] [CrossRef]
- Han, M.; Zeng, X.; Muhammad, Y.; Li, J.; Yang, J.; Yang, S.; Wei, Y.; Meng, F. Preparation of Octadecyl Amine Grafted over Waste Rubber Powder (ODA-WRP) and Properties of Its Incorporation in SBS-Modified Asphalt. Polymers 2019, 11, 665. [Google Scholar] [CrossRef]
- Yuliani, S.; Hidayat, T.; Wahyuningsih, K.; Hoerudin. Surface Modification of Nano-Biosilica Extracted from Rice Husk using A Silane Coupling Agent. In IOP Conference Series: Earth and Environmental Science; IOP Publishing: Bristol, UK, 2021; Volume 752, p. 012053. [Google Scholar]
- Golestani, B.; Nam, B.H.; Nejad, F.M.; Fallah, S. Nanoclay application to asphalt concrete: Characterization of polymer and linear nanocomposite-modified asphalt binder and mixture. Constr. Build. Mater. 2015, 91, 32–38. [Google Scholar] [CrossRef]
- Tang, X.-Z.; Mu, C.; Zhu, W.; Yan, X.; Hu, X.; Yang, J. Flexible polyurethane composites prepared by incorporation of polyethylenimine-modified slightly reduced graphene oxide. Carbon 2016, 98, 432–440. [Google Scholar] [CrossRef]
- JTG E20-2011; Standard Test Methods of Bitumen and Bituminous Mixtures for Highway Engineering. China Communication Press: Beijing, China, 2011.
- Yan, K.; Chen, J.; You, L.; Tian, S. Characteristics of Compound Asphalt Modified by Waste Tire Rubber (WTR) and Ethylene Vinyl Acetate (EVA): Conventional, Rheological, and Microstructural Properties. J. Clean. Prod. 2020, 258, 120732. [Google Scholar] [CrossRef]
- ASTM D2493/D2493M-24; Standard Practice for Viscosity-Temperature Chart for Asphalt Binders. ASTM International: West Conshohocken, PA, USA, 2024.
- JTG F40-2004; Technical Specification for Construction of Highway Asphalt Pavements. China Communication Press: Beijing, China, 2004.
- Li, G.; Xiao, P.; Hou, S.; Huang, Y. Rapid and efficient polymer/graphene based multichannel self-healing material via Diels-Alder reaction. Carbon 2019, 147, 398–407. [Google Scholar] [CrossRef]
- Liu, M.; Zhong, J.; Li, Z.; Rong, J.; Yang, K.; Zhou, J.; Shen, L.; Gao, F.; Huang, X.; He, H. A high stiffness and self-healable polyurethane based on disulfide bonds and hydrogen bonding. Eur. Polym. J. 2020, 124, 109475. [Google Scholar] [CrossRef]
- Guo, T.; Li, Z.; Chen, Y.; Xu, Q.; Wang, J.; Jin, L. Study on the performance and mechanism of graphene oxide/polyurethane composite modified asphalt. Sci. Rep. 2025, 15, 2482. [Google Scholar] [CrossRef]
- Lu, P.; He, C.; Wang, J.; Wu, Y.; Ding, J. Polyurethane-modified asphalt mechanism. Case Stud. Constr. Mater. 2025, 22, e04247. [Google Scholar] [CrossRef]
- AASHTO M 332; Standard Specification for Performance-Graded Asphalt Binder Using Multiple Stress Creep Recovery (MSCR) Test. American Association of State Highway and Transportation Officials: Washington, DC, USA, 2023.
- Li, Y.; Meng, Y.; Pei, J.; Lyu, L.; Hu, D. Self-healing performance and rheological properties of styrene-butadiene-styrene block copolymer modified asphalt promoted by polyurea elastomers containing disulfide bonds. Constr. Build. Mater. 2024, 421, 135747. [Google Scholar] [CrossRef]
- AASHTO M 320; Standard Specification for Performance-Graded Asphalt Binder. American Association of State Highway and Transportation Officials: Washington, DC, USA, 2023.
- Wang, Q.; Yu, R.; Cai, L.; Chen, X.; Zhu, X.; Xiao, Y.; Zhang, X.; Zhou, X.; Fang, C. Aging resistance of polyurethane/graphene oxide composite modified asphalt: Performance evaluation and molecular dynamics simulation. Mol. Simul. 2022, 49, 298–313. [Google Scholar] [CrossRef]














| Index | Unit | Test Results | Requirement | Test Method |
|---|---|---|---|---|
| ) | 0.1 mm | 66 | 60–80 | T 0.604-201.1 |
| °C | 46.5 | >46 | T 0.606-201.1 | |
| cm | 7.5 | — | T 0.605-201.1 | |
| cm | 44.2 | >25 | T 0.605-201.1 | |
| cm | >150 | >100 | T 0.605-201.1 | |
| cp | 490 | — | T 0.625-201.1 | |
| Density (25 °C) | 1.033 | — | — |
| Molecular Weight | Melting Point (°C) | CAS Number | Supplier | Purity | ||
|---|---|---|---|---|---|---|
| 2000 | 0.972 | 33 | 25190-06-1 | Macklin | — | |
| 222 | 1.062 | −60 | 4098-71-9 | Macklin | ≥99.9% | |
| 210 | 1.452 | 156 | 1119-62-6 | Macklin | ≥99% | |
| 631 | 1.066 | 16 | 77-58-7 | Macklin | ≥95% | |
| 73 | 0.948 | −61 | 68-12-2 | Macklin | ≥99.9% |
| Hard Segment Content (%) | Molecular Weight | Melting Point (°C) | ||
|---|---|---|---|---|
| TPU | 20 | 56,121 | 1.027 | 112 |
| TPU/GO | 20 | 36,285 | 1.029 | 128 |
| Abbreviation | Naming Explanation | TPU Content (%) | TPU/GO Content (%) | GO Content (%) |
|---|---|---|---|---|
| BA | Base asphalt | 0 | 0 | 0 |
| 2%TA | 2% TPU-modified asphalt | 2% | 0 | 0 |
| 4%TA | 4% TPU-modified asphalt | 4% | 0 | 0 |
| 6%TA | 6% TPU-modified asphalt | 6% | 0 | 0 |
| 8%TA | 8% TPU-modified asphalt | 8% | 0 | 0 |
| 2%TGA | 2% TPU/GO-modified asphalt | 0 | 2% | 0.024% |
| 4%TGA | 4% TPU/GO-modified asphalt | 0 | 4% | 0.048% |
| 6%TGA | 6% TPU/GO-modified asphalt | 0 | 6% | 0.072% |
| 8%TGA | 8% TPU/GO-modified asphalt | 0 | 8% | 0.096% |
| Functional Group | |
|---|---|
| 3440 | The vibration of –OH [42]. |
| 3328 | The vibration of –NH [43]. |
| 2942 and 2853 | Symmetric and antisymmetric stretching vibrations of [26,43,44]. |
| 1720 | The vibration of C=O [43,45]. |
| 1457 and 1376 | The plane stretching vibration of C–H in [26]. |
| 1101 | The vibration of C–O–C [45]. |
| Asphalt Type | 135 °C Rotational Viscosity (cp) | 155 °C Rotational Viscosity (cp) | 175 °C Rotational Viscosity (cp) | VTS |
|---|---|---|---|---|
| Base asphalt | 492 | 210 | 90.2 | −1.22849 |
| 2%TA | 502.3 | 220.5 | 92.2 | −1.22181 |
| 4%TA | 523.5 | 231.1 | 98.3 | −1.19347 |
| 6%TA | 539.4 | 240.5 | 103.5 | −1.16898 |
| 8%TA | 568.6 | 255 | 112.1 | −1.13575 |
| 2%TGA | 533.6 | 244.3 | 99.2 | −1.19629 |
| 4%TGA | 554.2 | 250.4 | 105.3 | −1.17063 |
| 6%TGA | 621.6 | 258.4 | 121.2 | −1.12845 |
| 8%TGA | 679.3 | 277.5 | 128.5 | −1.13458 |
| Asphalt Type | 48 °C | 54 °C | 60 °C | 66 °C | 72 °C |
|---|---|---|---|---|---|
| Base asphalt | 2.04 | 2.01 | 1.96 | 1.93 | 1.90 |
| 2%TA | 1.32 | 1.34 | 1.36 | 1.39 | 1.40 |
| 4%TA | 1.30 | 1.31 | 1.29 | 1.35 | 1.33 |
| 6%TA | 1.22 | 1.25 | 1.27 | 1.28 | 1.26 |
| 8%TA | 1.23 | 1.21 | 1.23 | 1.24 | 1.25 |
| 2%TGA | 1.32 | 1.30 | 1.30 | 1.29 | 1.30 |
| 4%TGA | 1.29 | 1.31 | 1.29 | 1.28 | 1.28 |
| 6%TGA | 1.21 | 1.22 | 1.19 | 1.18 | 1.19 |
| 8%TGA | 1.13 | 1.15 | 1.18 | 1.17 | 1.15 |
Disclaimer/Publisher’s Note: The statements, opinions and data contained in all publications are solely those of the individual author(s) and contributor(s) and not of MDPI and/or the editor(s). MDPI and/or the editor(s) disclaim responsibility for any injury to people or property resulting from any ideas, methods, instructions or products referred to in the content. |
© 2026 by the authors. Licensee MDPI, Basel, Switzerland. This article is an open access article distributed under the terms and conditions of the Creative Commons Attribution (CC BY) license.
Share and Cite
Du, J.; Li, G.; Yan, K.; Zhao, X. Preparation and Performance Study of Thermoplastic Polyurethane/Graphene Oxide Modified Asphalt. Materials 2026, 19, 857. https://doi.org/10.3390/ma19050857
Du J, Li G, Yan K, Zhao X. Preparation and Performance Study of Thermoplastic Polyurethane/Graphene Oxide Modified Asphalt. Materials. 2026; 19(5):857. https://doi.org/10.3390/ma19050857
Chicago/Turabian StyleDu, Jiang, Guokai Li, Kezhen Yan, and Xiaowen Zhao. 2026. "Preparation and Performance Study of Thermoplastic Polyurethane/Graphene Oxide Modified Asphalt" Materials 19, no. 5: 857. https://doi.org/10.3390/ma19050857
APA StyleDu, J., Li, G., Yan, K., & Zhao, X. (2026). Preparation and Performance Study of Thermoplastic Polyurethane/Graphene Oxide Modified Asphalt. Materials, 19(5), 857. https://doi.org/10.3390/ma19050857
