Multi-Objective Optimization of Mechanical and Geometric Properties of 3D-Printed PLA Porous Scaffolds for Biomedical Applications
Abstract
1. Introduction
2. Materials and Methods
2.1. Scaffold Design and Fabrication
2.2. Design of Experiments
2.2.1. Factors for Experimental Design
2.2.2. Response Variables
2.2.3. Experimental Design
2.2.4. Experimental Validation
2.3. Experimental Work
2.4. Multi-Objective Optimization
3. Results and Discussion
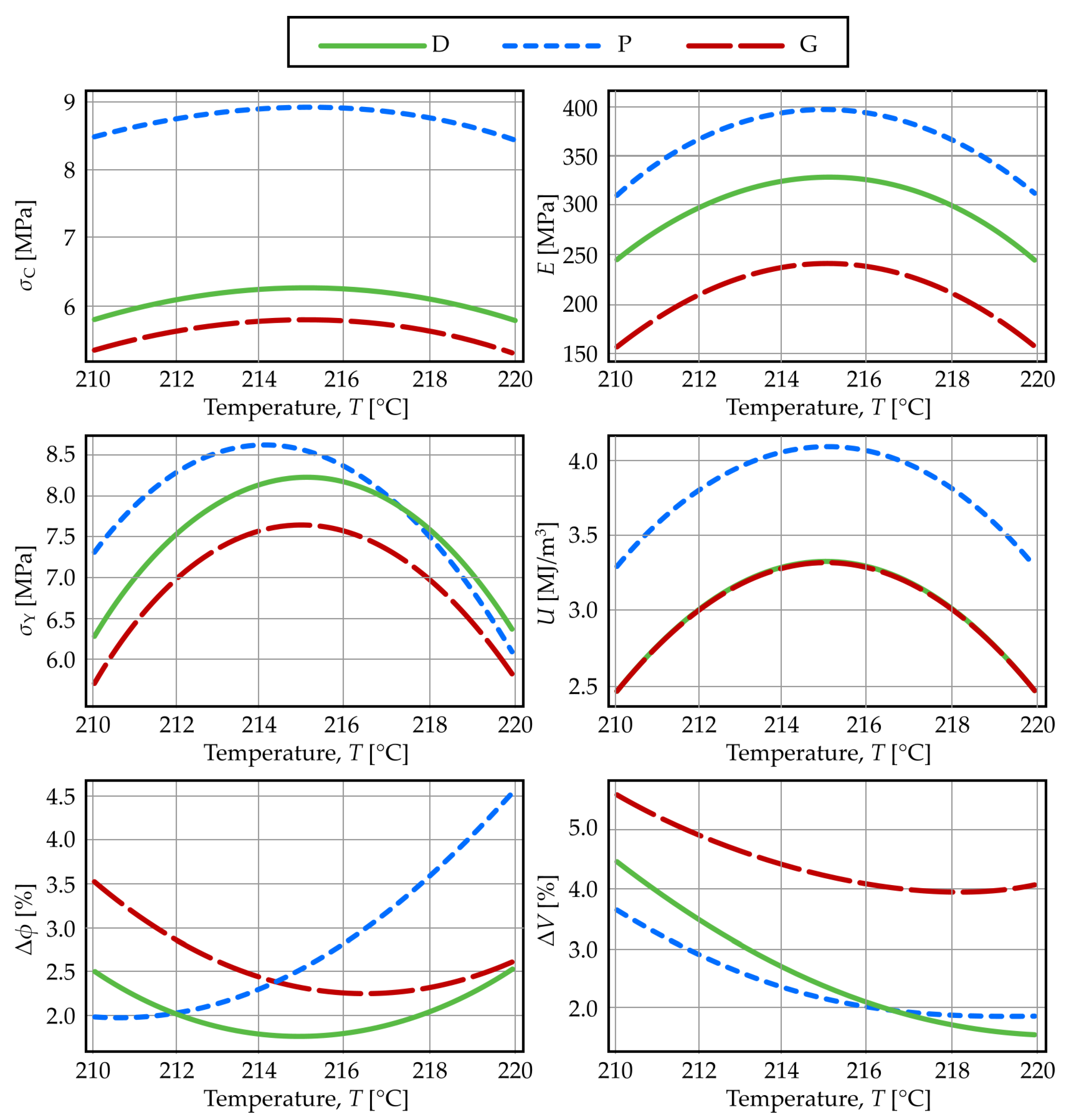
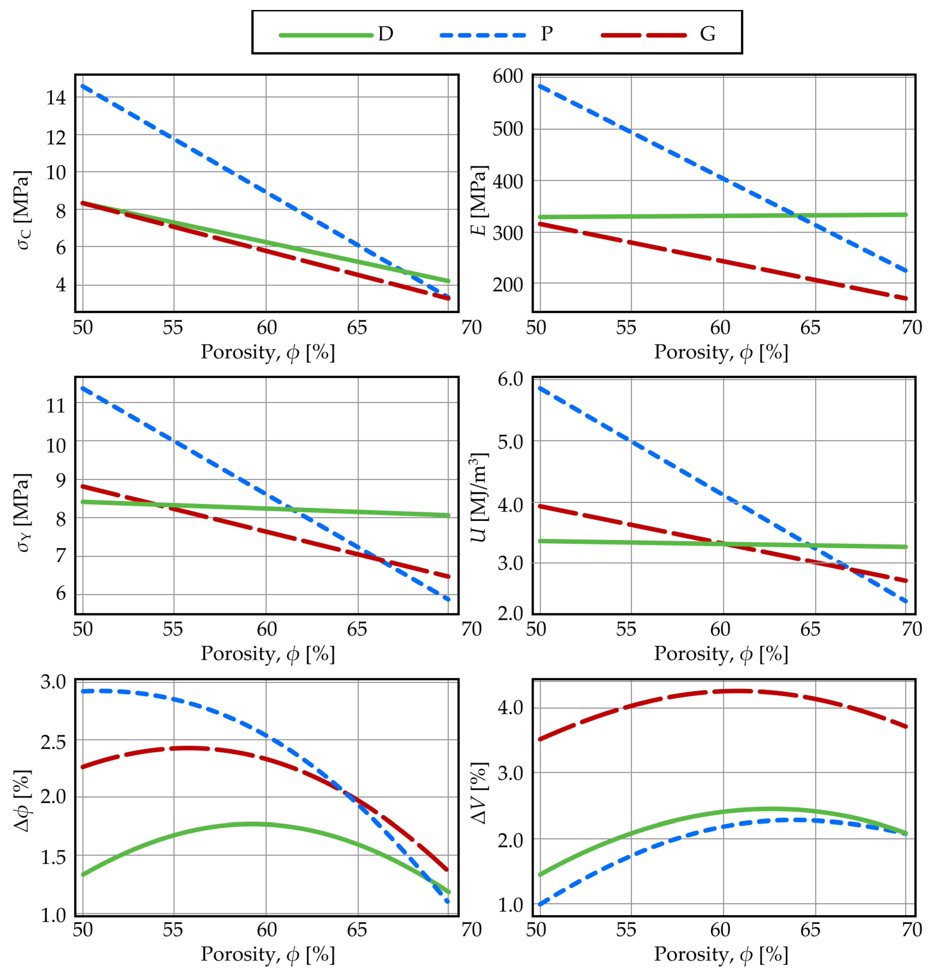
3.1. Regression Models
3.1.1. Statistical Validation of Regression Models
3.1.2. Physical Validation of Regression Models
3.1.3. Experimental Validation of Regression Models
3.2. Multi-Objective Optimization Results
3.2.1. Analysis of Correlation Matrices
3.2.2. Objective Reduction Results and Interpretation
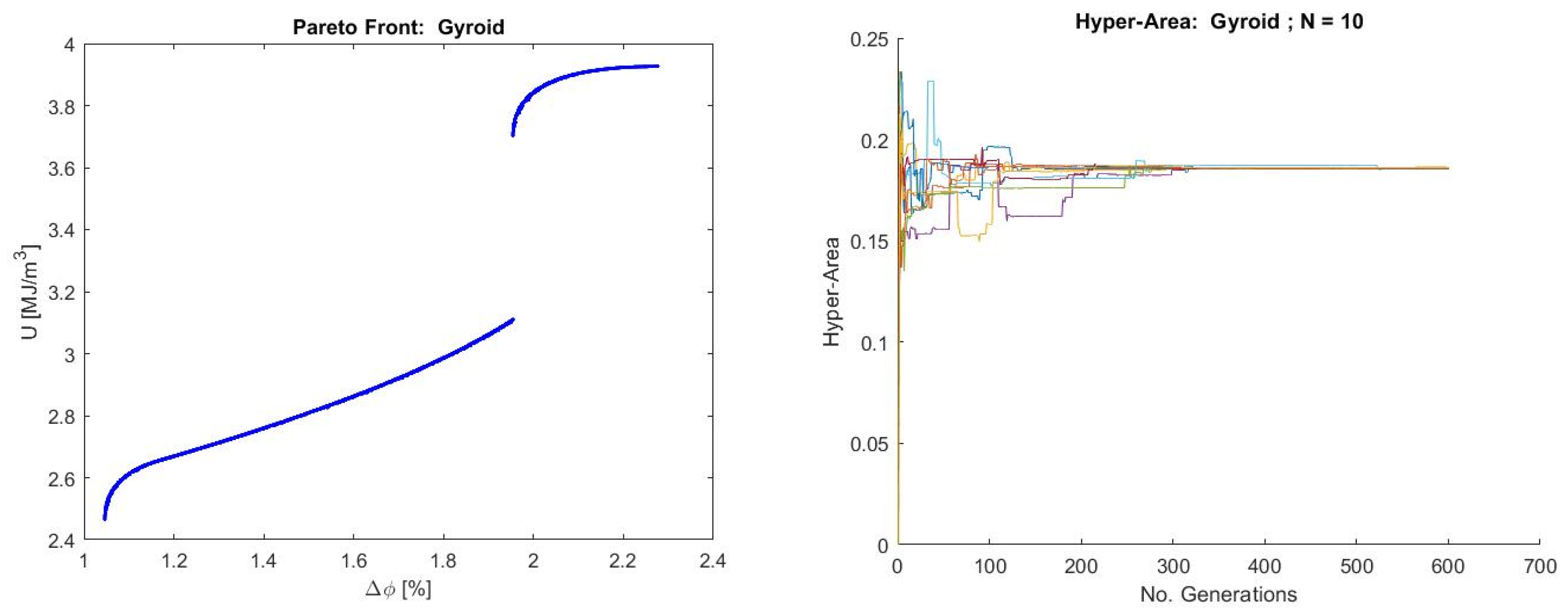
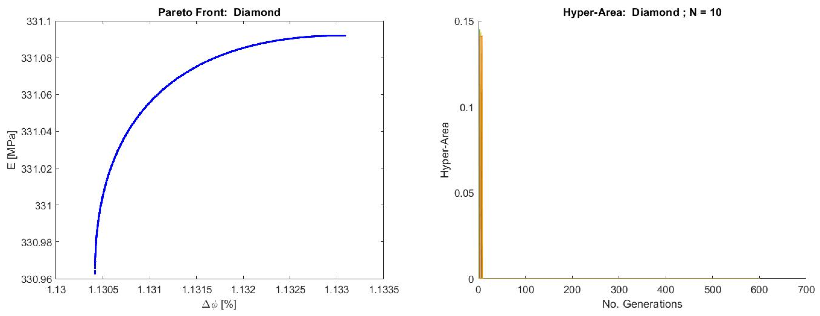
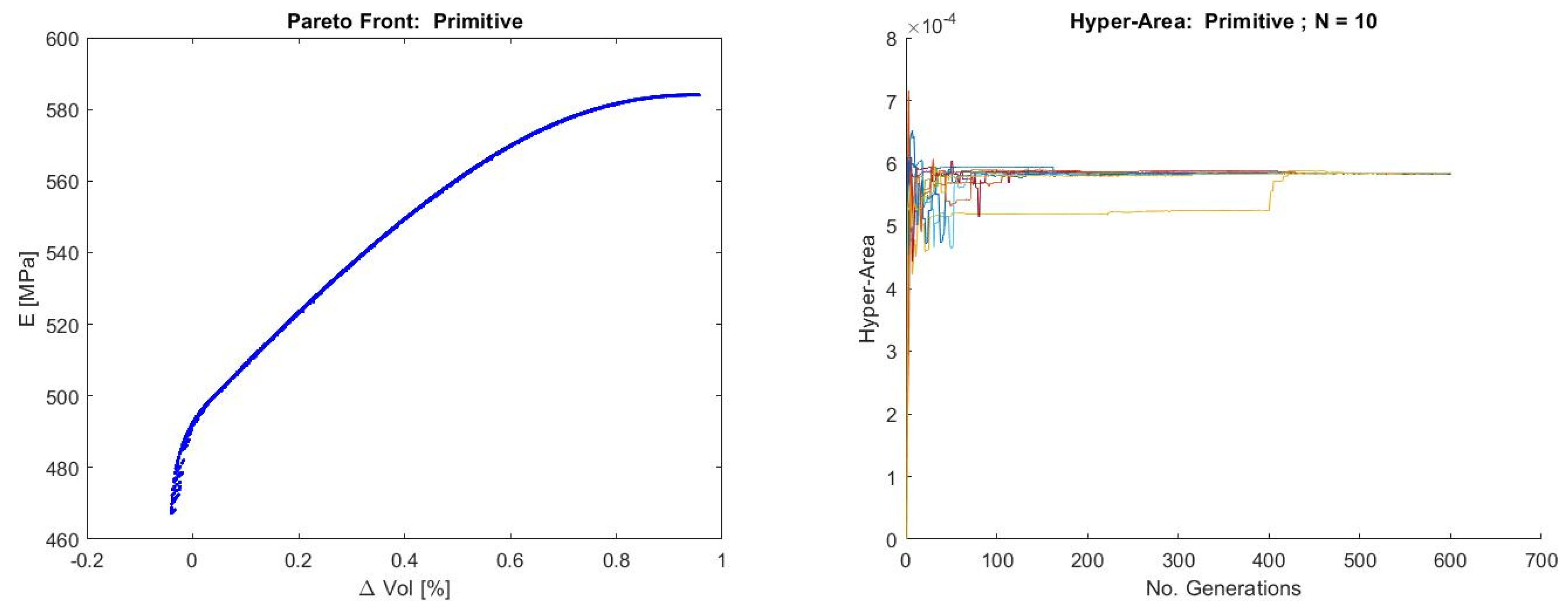
3.2.3. Analysis of Pareto Fronts
4. Conclusions
4.1. General Conclusions
- For the Gyroid (G) structure, the trade-off is captured between Absorbed Energy Density (F4) and Porosity Discrepancy (F5).
- For the Primitive (P) structure, the essential conflict lies between Young’s Modulus (F2) and Volume Discrepancy (F6).
- For the Diamond (D) structure, the reduced set converges to Young’s Modulus (F2) and Porosity Discrepancy (F5).
4.2. Directions for Future Work
Author Contributions
Funding
Data Availability Statement
Acknowledgments
Conflicts of Interest
Abbreviations
| PLA | Poly (lactic acid) |
| FDM | Fused Deposition Modeling |
| RSM | Response Surface Methodology |
| ANOVA | Analysis of Variance |
| BBD | Box–Behnken Design |
| CCD | Central Composite Design |
| FDA | Food & Drug Administration |
| AM | Additive Manufacturing |
| GRA | Gray Relational Analysis |
| ANN | Artificial Neural Network |
| ANFIS | Adaptive Neuro-Fuzzy Inference System |
| NSGA | Non-dominated Sorting Genetic Algorithm |
| TPMS | Triply Periodic Minimal Surface |
| VIF | Variance Inflation Factor |
| MOO | Multi-Objective Optimization |
| PSO | Particle Swarm Optimization |
| DOE | Design of Experiments |
| CAD | Computed Aided Design |
References
- Mabrouk, M.; Beherei, H.H.; Das, D.B. Recent progress in the fabrication techniques of 3D scaffolds for tissue engineering. Mater. Sci. Eng. C 2020, 110, 110716. [Google Scholar] [CrossRef] [PubMed]
- Saltzman, W.M.; Kyriakides, T.R. Cell interactions with polymers. In Principles of Tissue Engineering, 5th ed.; Lanza, R., Langer, R., Vacanti, J.P., Atala, A., Eds.; Academic Press: Cambridge, MA, USA, 2020. [Google Scholar]
- Nikolova, M.P.; Chavali, M.S. Recent advances in biomaterials for 3D scaffolds: A review. Bioact. Mater. 2019, 4, 271–292. [Google Scholar] [CrossRef]
- Timercan, A.; Sheremetyev, V.; Brailovski, V. Mechanical properties and fluid permeability of gyroid and diamond lattice structures for intervertebral devices: Functional requirements and comparative analysis. Sci. Technol. Adv. Mater. 2021, 22, 285–300. [Google Scholar] [CrossRef] [PubMed]
- Song, K.; Wang, Z.; Lan, J.; Ma, S. Porous structure design and mechanical behavior analysis based on TPMS for customized root analogue implant. J. Mech. Behav. Biomed. Mater. 2021, 115, 104222. [Google Scholar] [CrossRef]
- Turnbull, G.; Clarke, J.; Picard, F.; Riches, P.; Jia, L.; Han, F.; Li, B.; Shu, W. 3D bioactive composite scaffolds for bone tissue engineering. Bioact. Mater. 2017, 3, 278–314. [Google Scholar] [CrossRef]
- Babaie, E.; Bhaduri, S.B. Fabrication Aspects of Porous Biomaterials in Orthopedic Applications: A Review. ACS Biomater. Sci. Eng. 2018, 4, 1–39. [Google Scholar] [CrossRef] [PubMed]
- Gregor, A.; Filová, E.; Novák, M.; Kronek, J.; Chlup, H.; Buzgo, M.; Blahnová, V.; Lukášová, V.; Bartoš, M.; Nečas, A.; et al. Designing of PLA scaffolds for bone tissue replacement fabricated by ordinary commercial 3D printer. J. Biol. Eng. 2017, 11, 31. [Google Scholar] [CrossRef]
- Murphy, C.M.; Haugh, M.G.; O’brien, F.J. The effect of mean pore size on cell attachment, proliferation and migration in collagen–glycosaminoglycan scaffolds for bone tissue engineering. Biomaterials 2010, 31, 461–466. [Google Scholar] [CrossRef]
- Meesane, J. Mimicked Tissue Engineering Scaffolds for Maxillofacial and Articular Cartilage Surgery; Springer: Singapore, 2022. [Google Scholar]
- Suamte, L.; Tirkey, A.; Babu, P.J. Design of 3D smart scaffolds using natural, synthetic and hybrid derived polymers for skin regenerative applications. Smart Mater. Med. 2023, 4, 243–256. [Google Scholar] [CrossRef]
- González, S.G.; Vlad, M.D.; López, J.L.; Aguado, E.F. Novel bio-inspired 3D porous scaffold intended for bone-tissue engineering: Design and in silico characterisation of histomorphometric, mechanical and mass-transport properties. Mater. Des. 2023, 225, 111467. [Google Scholar] [CrossRef]
- Laubach, M.; Suresh, S.; Herath, B.; Wille, M.-L.; Delbrück, H.; Alabdulrahman, H.; Hutmacher, D.W.; Hildebrand, F. Clinical translation of a patient-specific scaffold-guided bone regeneration concept in four cases with large long bone defects. J. Orthop. Transl. 2022, 34, 73–84. [Google Scholar] [CrossRef]
- Kanwar, S.; Al-Ketan, O.; Vijayavenkataraman, S. A novel method to design biomimetic, 3D printable stochastic scaffolds with controlled porosity for bone tissue engineering. Mater. Des. 2022, 220, 110857. [Google Scholar] [CrossRef]
- Vacanti, C.A. The history of tissue engineering. J. Cell. Mol. Med. 2006, 10, 569–576. [Google Scholar] [CrossRef] [PubMed]
- Zhu, X.; Chen, F.; He, N.; Han, X. The design and fabrication of gyroid scaffolds for breast reconstruction by fused deposition modelling. Mater. Today Proc. 2022, 70, 119–123. [Google Scholar] [CrossRef]
- Xu, W.; Yu, A.; Jiang, Y.; Li, Y.; Zhang, C.; Singh, H.-p.; Liu, B.; Hou, C.; Zhang, Y.; Tian, S.; et al. Gyroid-based functionally graded porous titanium scaffolds for dental application: Design, simulation and characterizations. Mater. Des. 2022, 224, 111300. [Google Scholar] [CrossRef]
- Foroughi, F.; Bigham, A.; Ghomi, E.R.; Rafienia, M.; Luo, H.; Khosravi, F.; Ramakrishna, S. Multifunctional Bone Scaffolds: From Regeneration to Bone Cancer Therapy. Biomed. J. Sci. Tech. Res. 2020, 27, 21124–21128. [Google Scholar] [CrossRef]
- Lv, Y.; Wang, B.; Liu, G.; Tang, Y.; Liu, J.; Wei, G.; Wang, L. Design of bone-like continuous gradient porous scaffold based on triply periodic minimal surfaces. J. Mater. Res. Technol. 2022, 21, 3650–3665. [Google Scholar] [CrossRef]
- Cámara-Torres, M.; Duarte, S.; Sinha, R.; Egizabal, A.; Álvarez, N.; Bastianini, M.; Sisani, M.; Scopece, P.; Scatto, M.; Bonetto, A.; et al. 3D additive manufactured composite scaffolds with antibiotic-loaded lamellar fillers for bone infection prevention and tissue regeneration. Bioact. Mater. 2021, 6, 1073–1082. [Google Scholar] [CrossRef]
- Verma, R.; Singh, N.K.; Rai, S.K.; Kumta, S. Chapter 4—Triply periodic minimal surface porous implants to reconstruct bone defects. In Smart Healthcare for Disease Diagnosis and Prevention; Paul, S., Bhatia, D., Eds.; Academic Press: Cambridge, MA, USA, 2020; pp. 21–28. [Google Scholar]
- Charbonnier, B.; Manassero, M.; Bourguignon, M.; Decambron, A.; El-Hafci, H.; Morin, C.; Leon, D.; Bensidoum, M.; Corsia, S.; Petite, H.; et al. Custom-made macroporous bioceramic implants based on triply-periodic minimal surfaces for bone defects in load-bearing sites. Acta Biomater. 2020, 109, 254–266. [Google Scholar] [CrossRef]
- Zhao, L.; Pei, X.; Jiang, L.; Hu, C.; Sun, J.; Xing, F.; Zhou, C.; Fan, Y.; Zhang, X. Bionic design and 3D printing of porous titanium alloy scaffolds for bone tissue repair. Compos. Part B Eng. 2019, 162, 154–161. [Google Scholar] [CrossRef]
- Chandra, P.K.; Soker, S.; Atala, A. Tissue engineering: Current status and future perspectives. In Principles of Tissue Engineering, 5th ed.; Lanza, R., Langer, R., Vacanti, J.P., Atala, A., Eds.; Elsevier Inc.: New York, NY, USA, 2020. [Google Scholar]
- Alaribe, F.N.; Manoto, S.L.; Motaung, S.C.K.M. Scaffolds from biomaterials: Advantages and limitations in bone and tissue engineering. Biologia 2016, 71, 353–366. [Google Scholar] [CrossRef]
- Zhang, B.; Wang, L.; Song, P.; Pei, X.; Sun, H.; Wu, L.; Zhou, C.; Wang, K.; Fan, Y.; Zhang, X. 3D printed bone tissue regenerative PLA/HA scaffolds with comprehensive performance optimizations. Mater. Des. 2021, 201, 109490. [Google Scholar] [CrossRef]
- Ricardo Donate, M.M.; Alemán-Domínguez, M.E. Additive manufacturing of PLA-based scaffolds intended for bone regeneration and strategies to improve their biological properties. e-Polymers 2020, 20, 571–599. [Google Scholar] [CrossRef]
- Sahmani, S.; Khandan, A.; Esmaeili, S.; Saber-Samandari, S.; Ghadiri Nejad, M.; Aghdam, M.M. Calcium phosphate-PLA scaffolds fabricated by fused deposition modeling technique for bone tissue applications: Fabrication, characterization and simulation. Ceram. Int. 2019, 46, 2447–2456. [Google Scholar] [CrossRef]
- Ramírez, J.A.; Ospina, V.; Rozo, A.A.; Viana, M.I.; Ocampo, S.; Restrepo, S.; Vásquez, N.A.; Paucar, C.; García, C. Influence of geometry on cell proliferation of PLA and alumina scaffolds constructed by additive manufacturing. J. Mater. Res. 2019, 34, 3757–3765. [Google Scholar] [CrossRef]
- Oladapo, B.I.; Zahedi, S.A.; Adeoye, A.O.M. 3D printing of bone scaffolds with hybrid biomaterials. Compos. Part B 2019, 158, 428–436. [Google Scholar] [CrossRef]
- Joukainen, A.; Pihlajamäki, H.; Mäkelä, E.A.; Ashammakhi, N.; Viljanen, J.; Pätiälä, H.; Kellomäki, M.; Törmälä, P.; Rokkanen, P. Strength retention of self-reinforced drawn poly-L/DL-lactide 70/30 (SR-PLA70) rods and fixation properties of distal femoral osteotomies with these rods. An experimental study on rats. J. Biomater. Sci. Polym. Ed. 2000, 11, 1411–1428. [Google Scholar] [CrossRef] [PubMed]
- Farah, S.; Anderson, D.G.; Langer, R. Physical and mechanical properties of PLA, and their functions in widespread applications—A comprehensive review. Adv. Drug Deliv. Rev. 2016, 107, 367–392. [Google Scholar] [CrossRef] [PubMed]
- Castañeda-Rodríguez, S.; González-Torres, M.; Ribas-Aparicio, R.M.; Del Prado-Audelo, M.L.; Leyva-Gómez, G.; Gürer, E.S.; Sharifi-Rad, J. Recent advances in modified poly (lactic acid) as tissue engineering materials. J. Biol. Eng. 2023, 17, 21. [Google Scholar] [CrossRef]
- Yan, D.; Zeng, B.; Han, Y.; Dai, H.; Liu, J.; Sun, Y.; Li, F. Preparation and laser powder bed fusion of composite microspheres consisting of poly(lactic acid) and nano-hydroxyapatite. Addit. Manuf. 2020, 34, 101305. [Google Scholar] [CrossRef]
- Top, N.; Şahin, İ.; Gökçe, H.; Gökçe, H. Computer-aided design and additive manufacturing of bone scaffolds for tissue engineering: State of the art. J. Mater. Res. 2021, 36, 3725–3745. [Google Scholar] [CrossRef]
- Winarso, R.; Anggoro, P.W.; Ismail, R.; Jamari, J.; Bayuseno, A.P. Application of fused deposition modeling (FDM) on bone scaffold manufacturing process: A review. Heliyon 2022, 8, e11701. [Google Scholar] [CrossRef]
- Alagoz, A.S.; Hasirci, V. 3D printing of polymeric tissue engineering scaffolds using open-source fused deposition modeling. Emergent Mater. 2019, 3, 429–439. [Google Scholar] [CrossRef]
- Nasiri, S.; Khosravani, M.R. Machine learning in predicting mechanical behavior of additively manufactured parts. J. Mater. Res. Technol. 2021, 14, 1137–1153. [Google Scholar] [CrossRef]
- Ma, S.; Tang, Q.; Liu, Y.; Feng, Q. Predicting Mechanical Properties of 3D Printed Lattice Structures. In ASME 2021 International Design Engineering Technical Conferences and Computers and Information in Engineering Conference; ASME: New York, NY, USA, 2021. [Google Scholar]
- Zhou, Y.; Lu, H.; Wang, G.; Wang, J.; Li, W. Voxelization modelling based finite element simulation and process parameter optimization for Fused Filament Fabrication. Mater. Des. 2020, 187, 108409. [Google Scholar] [CrossRef]
- Zhang, B.; Goel, A.; Ghalsasi, O.; Anand, S. CAD-based design and pre-processing tools for additive manufacturing. J. Manuf. Syst. 2019, 52, 227–241. [Google Scholar] [CrossRef]
- Wu, D.; Spanou, A.; Diez-Escudero, A.; Persson, C. 3D-printed PLA/HA composite structures as synthetic trabecular bone: A feasibility study using Fused Deposition Modelling. J. Mech. Behav. Biomed. Mater. 2019, 103, 103608. [Google Scholar] [CrossRef] [PubMed]
- Cuan-Urquizo, E.; Barocio, E.; Tejada-Ortigoza, V.; Pipes, R.B.; Rodriguez, C.A.; Roman-Flores, A. Characterization of the mechanical properties of FFF structures and materials: A review on the experimental, computational and theoretical approaches. Materials 2019, 12, 895. [Google Scholar] [CrossRef]
- Almsherqi, Z.; Margadant, F.; Deng, Y. A look through ‘lens’ cubic mitochondria. Interface Focus 2012, 2, 539–545. [Google Scholar] [CrossRef]
- Deng, Y.; Mieczkowski, M. Three-dimensional periodic cubic membrane structure in the mitochondria of amoebae Chaos carolinensis. Protoplasma 1998, 203, 16–25. [Google Scholar] [CrossRef]
- Bobbert, F.; Lietaert, K.; Eftekhari, A.A.; Pouran, B.; Ahmadi, S.; Weinans, H.; Zadpoor, A. Additively manufactured metallic porous biomaterials based on minimal surfaces: A unique combination of topological, mechanical, and mass transport properties. Acta Biomater. 2017, 53, 572–584. [Google Scholar] [CrossRef]
- Bidan, C.M.; Wang, F.M.; Dunlop, J.W.C. A three-dimensional model for tissue deposition on complex surfaces. Comput. Methods Biomech. Biomed. Eng. 2013, 16, 1056–1070. [Google Scholar] [CrossRef]
- Gandy, P.J.F.; Bardhan, S.; Mackay, A.L.; Klinowski, J. Nodal surface approximations to the P,G,D and I-WP triply periodic minimal surfaces. Chem. Phys. Lett. 2001, 336, 187–195. [Google Scholar] [CrossRef]
- Zhang, J.; Chen, X.; Sun, Y.; Yang, J.; Chen, R.; Xiong, Y.; Hou, W.; Bai, L. Design of a biomimetic graded TPMS scaffold with quantitatively adjustable pore size. Mater. Des. 2022, 218, 110665. [Google Scholar] [CrossRef]
- Lee, J.-W.; Oh, S.-H.; Jeon, E.; Kim, J.; Park, K. Functional gradation of the morphological properties of TPMS channel for enhanced flow performance. Mater. Des. 2022, 224, 111413. [Google Scholar] [CrossRef]
- Feng, J.; Fu, J.; Yao, X.; He, Y. Triply periodic minimal surface (TPMS) porous structures: From multi-scale design, precise additive manufacturing to multidisciplinary applications. Int. J. Extrem. Manuf. 2022, 4, 022001. [Google Scholar] [CrossRef]
- Kladovasilakis, N.; Tsongas, K.; Tzetzis, D. Mechanical and FEA-Assisted Characterization of Fused Filament Fabricated Triply Periodic Minimal Surface Structures. J. Compos. Sci. 2021, 5, 58. [Google Scholar] [CrossRef]
- Miralbes, R.; Ranz, D.; Pascual, F.J.; Zouzias, D.; Maza, M. Characterization of additively manufactured triply periodic minimal surface structures under compressive loading. Mech. Adv. Mater. Struct. 2020, 29, 1841–1855. [Google Scholar] [CrossRef]
- Abueidda, D.W.; Elhebeary, M.; Shiang, C.-S.; Pang, S.; Abu Al-Rub, R.K.; Jasiuk, I.M. Mechanical properties of 3D printed polymeric Gyroid cellular structures: Experimental and finite element study. Mater. Des. 2019, 165, 107597. [Google Scholar] [CrossRef]
- Gao, G.; Xu, F.; Xu, J.; Tang, G.; Liu, Z. A Survey of the Influence of Process Parameters on Mechanical Properties of Fused Deposition Modeling Parts. Micromachines 2022, 13, 553. [Google Scholar] [CrossRef] [PubMed]
- Cojocaru, V.; Frunzaverde, D.; Miclosina, C.-O.; Marginean, G. The Influence of the Process Parameters on the Mechanical Properties of PLA Specimens Produced by Fused Filament Fabrication—A Review. Polymers 2022, 14, 886. [Google Scholar] [CrossRef]
- Nyiranzeyimana, G.; Mutua, J.M.; Mose, B.R.; Mbuya, T.O. Optimization of process parameters in fused deposition modelling of thermoplastics: A review. Mater. Sci. Eng. Technol. 2021, 52, 682–694. [Google Scholar] [CrossRef]
- Jaisingh Sheoran, A.; Kumar, H. Fused Deposition modeling process parameters optimization and effect on mechanical properties and part quality: Review and reflection on present research. Mater. Today Proc. 2019, 21, 1659–1672. [Google Scholar] [CrossRef]
- Dey, A.; Yodo, N. A Systematic Survey of FDM process parameter optimization and their influence on part characteristics. J. Manuf. Mater. Process 2019, 3, 64. [Google Scholar] [CrossRef]
- Popescu, D.; Zapciu, A.; Amza, C.; Baciu, F.; Marinescu, R. FDM process parameters influence over the mechanical properties of polymer specimens: A review. Polym. Test. 2018, 69, 157–166. [Google Scholar] [CrossRef]
- Mohamed, O.A.; Masood, S.H.; Bhowmik, J.L. Optimization of fused deposition modeling process parameters: A review of current research and future prospects. Adv. Manuf. 2015, 3, 42–53. [Google Scholar] [CrossRef]
- Liu, X.; Zhang, M.; Li, S.; Si, L.; Peng, J.; Hu, Y. Mechanical property parametric appraisal of fused deposition modeling parts based on the gray Taguchi method. Int. J. Adv. Manuf. Technol. 2016, 89, 2387–2397. [Google Scholar] [CrossRef]
- Sood, A.K.; Ohdar, R.K.; Mahapatra, S.S. Parametric appraisal of fused deposition modelling process using the grey Taguchi method. Proc. Inst. Mech. Eng. Part B J. Eng. Manuf. 2010, 224, 135–145. [Google Scholar] [CrossRef]
- Sood, A.K.; Ohdar, R.K.; Mahapatra, S.S. Improving dimensional accuracy of Fused Deposition Modelling processed part using grey Taguchi method. Mater. Des. 2009, 30, 4243–4252. [Google Scholar] [CrossRef]
- Sahoo, S.; Sutar, H.; Senapati, P.; Shankar Mohanto, B.; Ranjan Dhal, P.; Kumar Baral, S. Experimental investigation and optimization of the FDM process using PLA. Mater. Today Proc. 2022, 74, 843–847. [Google Scholar] [CrossRef]
- Heidari-Rarani, M.; Ezati, N.; Sadeghi, P.; Badrossamay, M.R. Optimization of FDM process parameters for tensile properties of polylactic acid specimens using Taguchi design of experiment method. J. Thermoplast. Compos. Mater. 2020, 35, 2435–2452. [Google Scholar] [CrossRef]
- Kandananond, K. Surface roughness prediction of FFF-fabricated workpieces by artificial neural network and Box–Behnken method. Int. J. Metrol. Qual. Eng. 2021, 12, 17. [Google Scholar] [CrossRef]
- Raj Mohan, R.; Venkatraman, R.; Raghuraman, S. Experimental analysis on density, micro-hardness, surface roughness and processing time of Acrylonitrile Butadiene Styrene (ABS) through Fused Deposition Modeling (FDM) using Box Behnken Design (BBD). Mater. Today Commun. 2021, 27, 102353. [Google Scholar] [CrossRef]
- Tura, A.D.; Lemu, H.G.; Mamo, H.B. Experimental Investigation and Prediction of Mechanical Properties in a Fused Deposition Modeling Process. Crystals 2022, 12, 844. [Google Scholar] [CrossRef]
- Tura, A.D.; Lemu, H.G.; Mamo, H.B.; Santhosh, A.J. Prediction of tensile strength in fused deposition modeling process using artificial neural network and fuzzy logic. Prog. Addit. Manuf. 2023, 8, 529–539. [Google Scholar] [CrossRef]
- Kechagias, J.D.; Vidakis, N. Parametric optimization of material extrusion 3D printing process: An assessment of Box-Behnken vs. full-factorial experimental approach. Int. J. Adv. Manuf. Technol. 2022, 121, 3163–3172. [Google Scholar] [CrossRef]
- Liu, S.; Yang, Y.; Forrest, J.Y.-L. Grey Systems Analysis: Methods, Models and Applications; Springer Nature: Singapore, 2022. [Google Scholar]
- Al Rashid, A.; Koç, M. Experimental Validation of Numerical Model for Thermomechanical Performance of Material Extrusion Additive Manufacturing Process: Effect of Process Parameters. Polymers 2022, 14, 3482. [Google Scholar] [CrossRef]
- Zainal, A.; Yanis, M.; Kadir, M.Z.; Astuti; Akbar Teguh, P.; Edo, S.; Ardiyansyah, S.; Hasan, B. Optimization of FDM 3D Printing Process Parameter for Improving Porosity Accuracy of PLA Scaffold. In Proceedings of the 4th Forum in Research, Science, and Technology (FIRST-T1-T2-2020); Atlantis Press: Dordrecht, The Netherlands, 2021; pp. 155–161. [Google Scholar]
- Sumalatha, M.; Malleswara Rao, J.N.; Supraja Reddy, B. Optimization Of Process Parameters in 3d Printing-Fused Deposition Modeling Using Taguchi Method. IOP Conf. Ser. Mater. Sci. Eng. 2021, 1112, 012009. [Google Scholar] [CrossRef]
- Srivastava, M.; Rathee, S.; Maheshwari, S.; Kundra, T.K. Multi-objective optimisation of fused deposition modelling process parameters using RSM and fuzzy logic for build time and support material. Int. J. Rapid Manuf. 2018, 7, 25–42. [Google Scholar] [CrossRef]
- Kumar, R.; Chohan, J.S.; Singh, S.; Sharma, S.; Singh, Y.; Rajkumar, S. Implementation of Taguchi and Genetic Algorithm Techniques for Prediction of Optimal Part Dimensions for Polymeric Biocomposites in Fused Deposition Modeling. Int. J. Biomater. 2022, 2022, 4541450. [Google Scholar] [CrossRef]
- Chohan, J.S.; Kumar, R.; Yadav, A.; Chauhan, P.; Singh, S.; Sharma, S.; Li, C.; Dwivedi, S.P.; Rajkumar, S. Optimization of FDM Printing Process Parameters on Surface Finish, Thickness, and Outer Dimension with ABS Polymer Specimens Using Taguchi Orthogonal Array and Genetic Algorithms. Math. Probl. Eng. 2022, 2022, 2698845. [Google Scholar] [CrossRef]
- Kafshgar, A.R.; Rostami, S.; Aliha, M.R.M.; Berto, F. Optimization of Properties for 3D Printed PLA Material Using Taguchi, ANOVA and Multi-Objective Methodologies. Procedia Struct. Integr. 2021, 34, 71–77. [Google Scholar] [CrossRef]
- Dey, A.; Hoffman, D.; Yodo, N. Optimizing multiple process parameters in fused deposition modeling with particle swarm optimization. Int. J. Interact. Des. Manuf. 2020, 14, 393–405. [Google Scholar] [CrossRef]
- Chhabra, D.; Deswal, S. Optimization of significant factors for improving compressive strength of ABS in Fused Deposition Modeling by using GA & RSM. IOP Conf. Ser. Mater. Sci. Eng. 2020, 748, 012007. [Google Scholar] [CrossRef]
- Rayegani, F.; Onwubolu, G.C. Fused deposition modelling (FDM) process parameter prediction and optimization using group method for data handling (GMDH) and differential evolution (DE). Int. J. Adv. Manuf. Technol. 2014, 73, 509–519. [Google Scholar] [CrossRef]
- Gurrala, P.K.; Regalla, S.P. Multi-objective optimisation of strength and volumetric shrinkage of FDM parts. Virtual Phys. Prototyp. 2014, 9, 127–138. [Google Scholar] [CrossRef]
- Saxena, D.K.; Duro, J.A.; Tiwari, A.; Deb, K.; Zhang, Q. Objective Reduction in Many-Objective Optimization: Linear and Nonlinear Algorithms. IEEE Trans. Evol. Comput. 2013, 17, 77–99. [Google Scholar] [CrossRef]
- Deb, K.; Saxena, D. Searching for Pareto-optimal solutions through dimensionality reduction for certain large-dimensional multi-objective optimization problems. In Proceedings of the World Congress on Computational Intelligence (WCCI-2006), Vancouver, BC, Canada, 16–21 July 2006; pp. 3352–3360. [Google Scholar]
- Gal, T.; Leberling, H. Redundant objective functions in linear vector maximum problems and their determination. Eur. J. Oper. Res. 1977, 1, 176–184. [Google Scholar] [CrossRef]
- Shang, K.; Ishibuchi, H.; He, L.; Pang, L.M. A Survey on the Hypervolume Indicator in Evolutionary Multiobjective Optimization. IEEE Trans. Evol. Comput. 2020, 25, 1–20. [Google Scholar] [CrossRef]
- Riquelme, N.; Lücken, C.V.; Baran, B. Performance metrics in multi-objective optimization. In Proceedings of the 2015 Latin American Computing Conference (CLEI); IEEE: New York, NY, USA, 2015; pp. 1–11. [Google Scholar]
- ASTM-D695-15; Standard Test Method for Compressive Properties of Rigid Plastics. ASTM International: West Conshohocken, PA, USA, 2015.
- Higuera, S.; Miralbes, R.; Ranz, D. Mechanical properties and energy–absorption capabilities of thermoplastic sheet gyroid structures. Mech. Adv. Mater. Struct. 2021, 29, 4110–4124. [Google Scholar] [CrossRef]
- Wang, Z.; Wang, X.; Gao, T.; Shi, C. Mechanical behavior and deformation mechanism of triply periodic minimal surface sheet under compressive loading. Mech. Adv. Mater. Struct. 2020, 28, 2057–2069. [Google Scholar] [CrossRef]
- Montgomery, D.C. Design and Analysis of Experiments, 8th ed.; John Wiley & Sons, Inc.: Hoboken, NJ, USA, 2013. [Google Scholar]
- Cuong, N.Q.V.; Duy, N.V.A.; Nghi, H.H.; Tho, N.H. Application of Box-Behnken, ANN, and ANFIS Techniques for Identification of The Optimum Processing Parameters for FDM 3D Printing Parts. J. Ind. Eng. Halal Ind. 2022, 3, 64–86. [Google Scholar] [CrossRef]
- Myers, R.H.; Montgomery, D.C.; Anderson-Cook, C.M. Response Surface Methodology: Process and Product Optimization Using Designed Experiments, 3rd ed.; John Wiley & Sons, Inc.: Hoboken, NJ, USA, 2009. [Google Scholar]
- Zhang, L.; Feih, S.; Daynes, S.; Chang, S.; Wang, M.Y.; Wei, J.; Lu, W.F. Energy absorption characteristics of metallic triply periodic minimal surface sheet structures under compressive loading. Addit. Manuf. 2018, 23, 505–515. [Google Scholar] [CrossRef]
- Don, W.G.; Southard, M.Z. Perry’s Chemical Engineers’ Handbook, 9th ed.; McGraw-Hill Education: New York, NY, USA, 2019. [Google Scholar]
- Lu, Y.; Cui, Z.; Cheng, L.; Li, J.; Yang, Z.; Zhu, H.; Wu, C. Quantifying the discrepancies in the geometric and mechanical properties of the theoretically designed and additively manufactured scaffolds. J. Mech. Behav. Biomed. Mater. 2020, 112, 104080. [Google Scholar] [CrossRef] [PubMed]
- Pereira, J.L.J.; Oliver, G.A.; Francisco, M.B.; Cunha, S.S.; Gomes, G.F. A Review of Multi-objective Optimization: Methods and Algorithms in Mechanical Engineering Problems. Arch. Comput. Methods Eng. 2022, 29, 2285–2308. [Google Scholar] [CrossRef]
- Manson, J.A.; Chamberlain, T.W.; Bourne, R.A. MVMOO: Mixed variable multi-objective optimisation. J. Glob. Optim. 2021, 80, 865–886. [Google Scholar] [CrossRef]
- Falcón-Cardona, J.G.; Coello, C.A.C. Convergence and diversity analysis of indicator-based multi-objective evolutionary algorithms. In Proceedings of the Genetic and Evolutionary Computation Conference; Association for Computing Machinery: Prague, Czech Republic, 2019; pp. 524–531. [Google Scholar]
- Savin, N.E.; White, K.J. The Durbin-Watson Test for serial correlation with extreme sample sizes or many regressors. Econometrica 1977, 45, 1989–1996. [Google Scholar] [CrossRef]
- Misch, C.E.; Qu, Z.; Bidez, M.W. Mechanical properties of trabecular bone in the human mandible: Implications for dental implant treatment planning and surgical placement. J. Oral Maxillofac. Surg. 1999, 57, 700–706. [Google Scholar] [CrossRef]
- Öhman-Mägi, C.; Holub, O.; Wu, D.; Hall, R.M.; Persson, C. Density and mechanical properties of vertebral trabecular bone—A review. JOR SPINE 2021, 4, e1176. [Google Scholar] [CrossRef]
- Morgan, E.F.; Unnikrisnan, G.U.; Hussein, A.I. Bone Mechanical Properties in Healthy and Diseased States. Annu. Rev. Biomed. Eng. 2018, 20, 119–143. [Google Scholar] [CrossRef]
- Maskery, I.; Sturm, L.; Aremu, A.O.; Panesar, A.; Williams, C.B.; Tuck, C.J.; Wildman, R.D.; Ashcroft, I.A.; Hague, R.J.M. Insights into the mechanical properties of several triply periodic minimal surface lattice structures made by polymer additive manufacturing. Polymer 2018, 152, 67–71. [Google Scholar] [CrossRef]
- Afshar, M.; Anaraki, A.P.; Montazerian, H.; Kadkhodapour, J. Additive manufacturing and mechanical characterization of graded porosity scaffolds designed based on triply periodic minimal surface architectures. J. Mech. Behav. Biomed. Mater. 2016, 62, 481–494. [Google Scholar] [CrossRef]
- Khaderi, S.N.; Deshpande, V.S.; Fleck, N.A. The stiffness and strength of the gyroid lattice. Int. J. Solids Struct. 2014, 51, 3866–3877. [Google Scholar] [CrossRef]
- Gibson, L.J.; Ashby, M.F. Cellular Solids: Structure and Properties; Cambridge University Press: Cambridge, UK, 1999. [Google Scholar]
- Spear, D.G.; Palazotto, A.N. Investigation and Statistical Modeling of the Mechanical Properties of Additively Manufactured Lattices. Materials 2021, 14, 3962. [Google Scholar] [CrossRef]
- Karimipour-Fard, P.; Behravesh, A.H.; Jones-Taggart, H.; Pop-Iliev, R.; Rizvi, G. Effects of design, porosity and biodegradation on mechanical and morphological properties of additive-manufactured triply periodic minimal surface scaffolds. J. Mech. Behav. Biomed. Mater. 2020, 112, 104064. [Google Scholar] [CrossRef]
- Podroužek, J.; Marcon, M.; Ninčević, K.; Wan-Wendner, R. Bio-Inspired 3D Infill Patterns for Additive Manufacturing and Structural Applications. Materials 2019, 12, 499. [Google Scholar] [CrossRef]
- Sychov, M.M.; Lebedev, L.A.; Dyachenko, S.V.; Nefedova, L.A. Mechanical properties of energy-absorbing structures with triply periodic minimal surface topology. Acta Astronaut. 2018, 150, 81–84. [Google Scholar] [CrossRef]
- Alafaghani, A.a.; Qattawi, A. Investigating the effect of fused deposition modeling processing parameters using Taguchi design of experiment method. J. Manuf. Process. 2018, 36, 164–174. [Google Scholar] [CrossRef]
- Jia, S.; Yu, D.; Zhu, Y.; Wang, Z.; Chen, L.; Fu, L. Morphology, Crystallization and Thermal Behaviors of PLA-Based Composites: Wonderful Effects of Hybrid GO/PEG via Dynamic Impregnating. Polymers 2017, 9, 528. [Google Scholar] [CrossRef] [PubMed]
- Müller, A.J.; Avila, M.; Saenz, G.; Salazar, J. Crystallization of PLA-based materials. In Poly(lactic acid) Science and Technology: Processing, Properties, Additives and Applications; Jiménez, A., Peltzer, M., Ruseckaite, R., Eds.; Royal Society of Chemistry: London, UK, 2015; Volume 12. [Google Scholar]
- Khanna, P.; Sood, S.; Mishra, P.; Bharadwaj, V.; Aggarwal, A.; Singh, S.J. Analysis of compression and energy absorption behaviour of SLM printed AlSi10Mg triply periodic minimal surface lattice structures. Structures 2024, 64, 106580. [Google Scholar] [CrossRef]
- Maconachie, T.; Tino, R.; Lozanovski, B.; Watson, M.; Jones, A.; Pandelidi, C.; Alghamdi, A.; Almalki, A.; Downing, D.; Brandt, M.; et al. The compressive behaviour of ABS gyroid lattice structures manufactured by fused deposition modelling. Int. J. Adv. Manuf. Technol. 2020, 107, 4449–4467. [Google Scholar] [CrossRef]
- Shi, X.; Liao, W.; Li, P.; Zhang, C.; Liu, T.; Wang, C.; Wu, J. Comparison of Compression Performance and Energy Absorption of Lattice Structures Fabricated by Selective Laser Melting. Adv. Eng. Mater. 2020, 22, 2000453. [Google Scholar] [CrossRef]
- Dang, M.; Xiang, H.; Li, J.; Ye, C.; Cai, C.; Wei, Q. Mechanical Response and Superelastic Properties of Cu-11.85Al-3.2Mn-0.1Ti TPMS Structures Printed by Laser Powder Bed Fusion. Chin. J. Mech. Eng. 2025, 38, 27. [Google Scholar] [CrossRef]
- Ravichander, B.B.; Jagdale, S.H.; Kumar, G. Surface Morphology, Compressive Behavior, and Energy Absorption of Graded Triply Periodic Minimal Surface 316L Steel Cellular Structures Fabricated by Laser Powder Bed Fusion. Materials 2022, 15, 8294. [Google Scholar] [CrossRef] [PubMed]
- Naghavi, S.A.; Wang, H.; Varma, S.N.; Tamaddon, M.; Marghoub, A.; Galbraith, R.; Galbraith, J.; Moazen, M.; Hua, J.; Xu, W.; et al. On the Morphological Deviation in Additive Manufacturing of Porous Ti6Al4V Scaffold: A Design Consideration. Materials 2022, 15, 4729. [Google Scholar] [CrossRef]
- Şimşek, U.; Gülcan, O.; Günaydın, K.; Tamer, A. Prediction of Compressive Behavior of Laser-Powder-Bed Fusion-Processed TPMS Lattices by Regression Analysis. JMMP 2024, 8, 16. [Google Scholar] [CrossRef]
- Günther, F.; Pilz, S.; Hirsch, F.; Wagner, M.; Kästner, M.; Gebert, A.; Zimmermann, M. Experimental and numerical characterization of imperfect additively manufactured lattices based on triply periodic minimal surfaces. Mater. Des. 2023, 233, 112197. [Google Scholar] [CrossRef]
- Singh, H.K. Understanding Hypervolume Behavior Theoretically for Benchmarking in Evolutionary Multi/Many-Objective Optimization. IEEE Trans. Evol. Comput. 2020, 24, 603–610. [Google Scholar] [CrossRef]
- Zhang, B.; Shafi, K.; Abbass, H. On Benchmark Problems and Metrics for Decision Space Performance Analysis in Multi-Objective Optimization. Int. J. Comput. Intell. Appl. 2017, 16, 1750006. [Google Scholar] [CrossRef]














| TPMS | Porosity [%] | C-Level Set |
|---|---|---|
| P | 50 | 0 |
| P | 60 | −0.347 |
| P | 70 | −0.694 |
| G | 50 | 0 |
| G | 60 | −0.306 |
| G | 70 | −0.608 |
| D | 50 | 0 |
| D | 60 | −0.167 |
| D | 70 | −0.335 |
| Parameter | Default Value |
|---|---|
| Wall thickness [mm] | 0.8 |
| Print speed [mm/s] | 20 |
| Platform temperature [°C] | 60 |
| Adhesion platform | Raft |
| Nozzle diameter [mm] | 0.2 |
| Retraction speed [mm/s] | 40 |
| Retraction distance [mm] | 7 |
| Infill speed [mm/s] | 15 |
| Reference | Year | Total | Useful | Scope |
|---|---|---|---|---|
| [55] | 2022 | 80 | 80 | 2010–2022 |
| [57] | 2021 | 22 | 22 | 2006–2021 |
| [58] | 2019 | 23 | 23 | 2005–2019 |
| [43] | 2019 | 13 | 13 | 2001–2019 |
| [59] | 2019 | 250 | 100 | 2005–2019 |
| [60] | 2018 | 293 | 49 | 2008–2017 |
| [61] | 2015 | 22 | 22 | 2003–2015 |
| Factor | Type | Low | Medium | High |
|---|---|---|---|---|
| Extrusion temperature (T) [°C] | Continuous | 210 | 215 | 220 |
| Layer thickness (H) [mm] | Continuous | 0.05 | 0.10 | 0.15 |
| Porosity (ϕ) [%] | Continuous | 50 | 60 | 70 |
| Type of TPMS [S] | Nominal | P | G | |
| Structure P | 1 | 0 | ||
| Structure G | 0 | 1 | ||
| Structure D | 0 | 0 |
| Objective Functions | Objective | Limits (Restrictions) |
|---|---|---|
| Maximize | ||
| Maximize | ||
| Maximize | ||
| Maximize | ||
| Minimize | ||
| Minimize |
| Modified Parameters | Value |
| FunctionTolerance | 0 |
| ConstraintTolerance | 0 |
| PopulationSize | 1000 |
| MaxStallGenerations | 500 |
| Default Parameters | Value |
| FitnessScalingFcn | Rank |
| SelectionFcn | Tournament |
| EliteCount | ceil(0.05 × PopulationSize) |
| MutationFcn | Adaptive Feasible |
| CrossoverFcn | Intermediate |
| Model | Durbin–Watson | |||||
|---|---|---|---|---|---|---|
| Sig. | Sig. | NT | DL | DU | DW | |
| 98.00 | 97.82 | 12 | 1.54677 | 1.89739 | 2.14296 | |
| 79.64 | 78.52 | 11 | 1.56315 | 1.87994 | 1.96105 | |
| 78.93 | 77.24 | 9 | 1.59547 | 1.84573 | 1.91706 | |
| 91.37 | 90.82 | 9 | 1.59547 | 1.84573 | 1.97504 | |
| 91.12 | 90.00 | 16 | 1.48007 | 1.96947 | 2.16126 | |
| 81.59 | 79.44 | 15 | 1.49692 | 1.95112 | 1.76237 | |
| TPMS | Essential Obj. (1st Run) | Essential Obj. (2nd Run) | F1: Compressive strength F2: Young’s modulus F3: Yield strength F4: Absorbed energy density F5: Porosity discrepancy F6: Volume discrepancy |
| G | F4 and F5 | - | |
| P | F2 and F6 | - | |
| D | F1, F2, F4, and F5 | F2 and F5 |
Disclaimer/Publisher’s Note: The statements, opinions and data contained in all publications are solely those of the individual author(s) and contributor(s) and not of MDPI and/or the editor(s). MDPI and/or the editor(s) disclaim responsibility for any injury to people or property resulting from any ideas, methods, instructions or products referred to in the content. |
© 2026 by the authors. Licensee MDPI, Basel, Switzerland. This article is an open access article distributed under the terms and conditions of the Creative Commons Attribution (CC BY) license.
Share and Cite
González González, A.; Zambrano-Robledo, P.C.; Avila, D.; Rivas, M.; Quiza, R. Multi-Objective Optimization of Mechanical and Geometric Properties of 3D-Printed PLA Porous Scaffolds for Biomedical Applications. Materials 2026, 19, 1008. https://doi.org/10.3390/ma19051008
González González A, Zambrano-Robledo PC, Avila D, Rivas M, Quiza R. Multi-Objective Optimization of Mechanical and Geometric Properties of 3D-Printed PLA Porous Scaffolds for Biomedical Applications. Materials. 2026; 19(5):1008. https://doi.org/10.3390/ma19051008
Chicago/Turabian StyleGonzález González, Alejandro, Patricia C. Zambrano-Robledo, Deivis Avila, Marcelino Rivas, and Ramón Quiza. 2026. "Multi-Objective Optimization of Mechanical and Geometric Properties of 3D-Printed PLA Porous Scaffolds for Biomedical Applications" Materials 19, no. 5: 1008. https://doi.org/10.3390/ma19051008
APA StyleGonzález González, A., Zambrano-Robledo, P. C., Avila, D., Rivas, M., & Quiza, R. (2026). Multi-Objective Optimization of Mechanical and Geometric Properties of 3D-Printed PLA Porous Scaffolds for Biomedical Applications. Materials, 19(5), 1008. https://doi.org/10.3390/ma19051008

