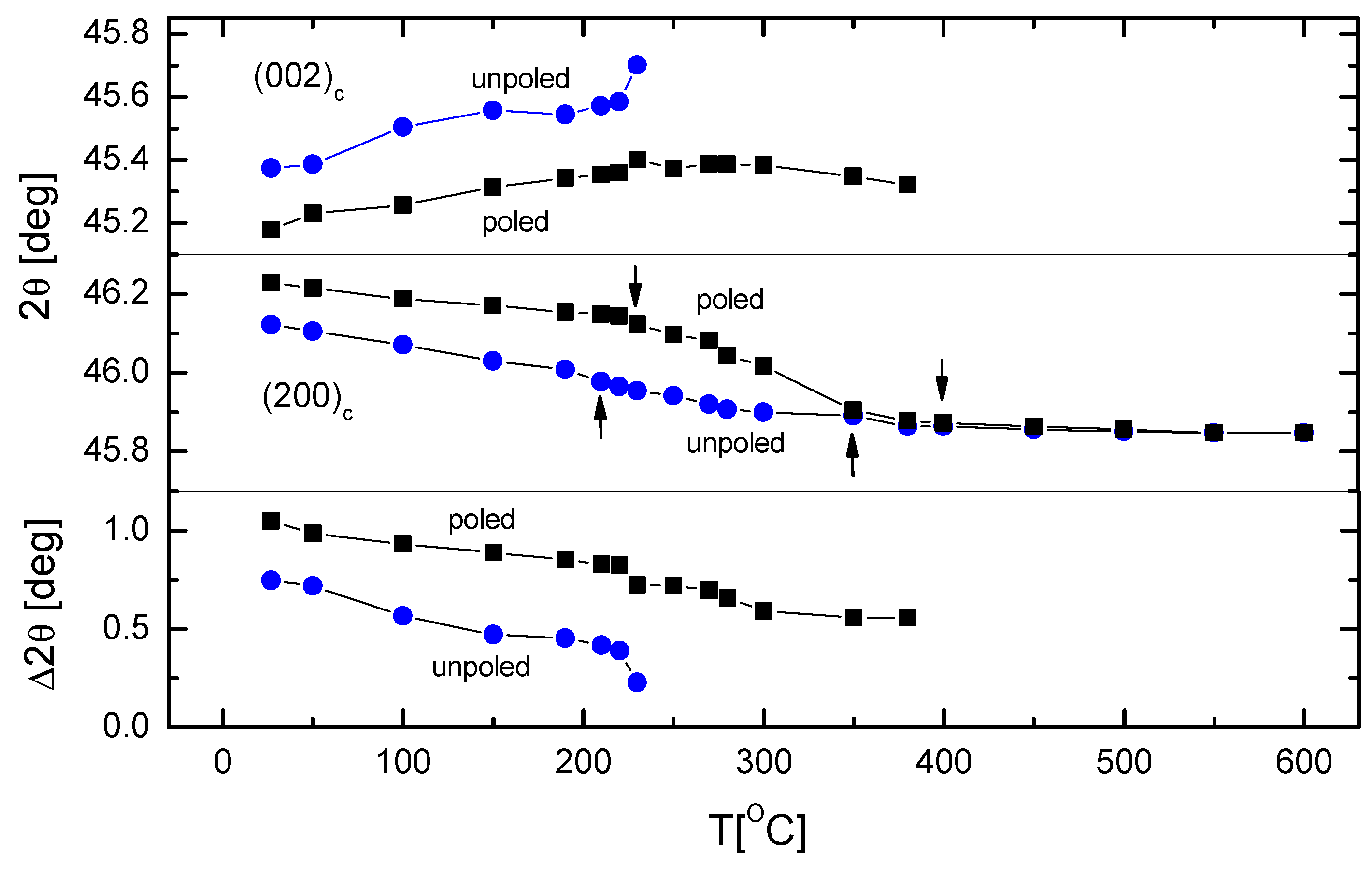
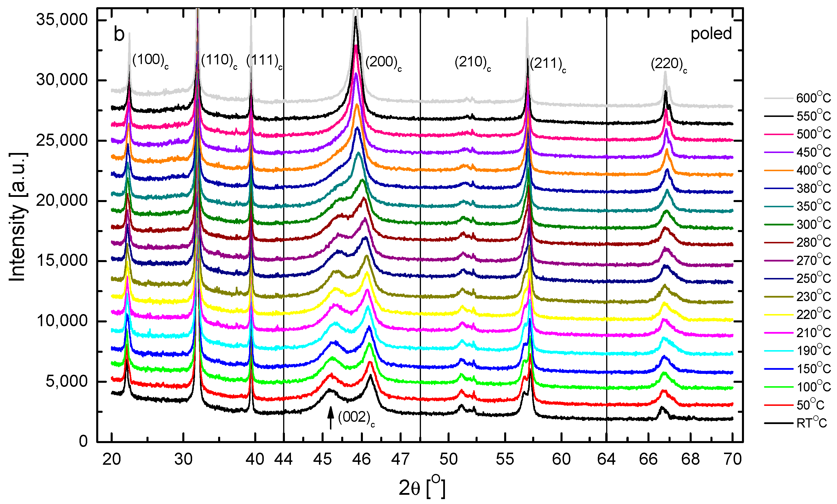
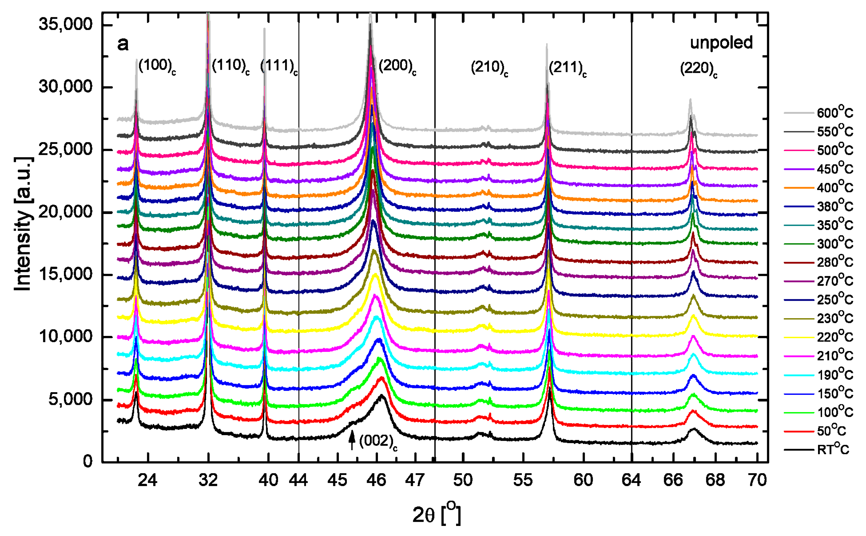
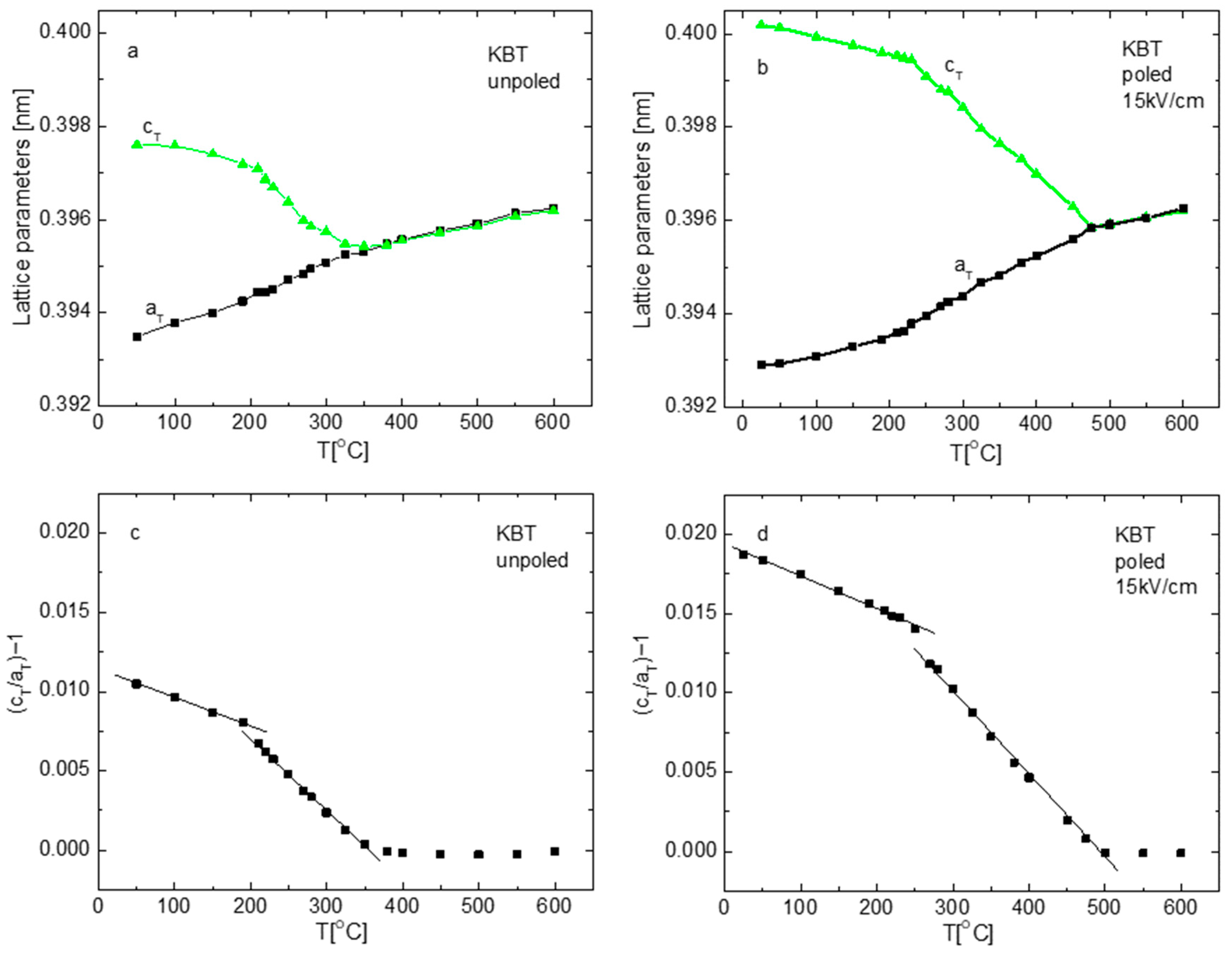
Controlling the Functional Properties of K0.5Bi0.5TiO3 Ceramics Using E-Poling
Abstract
Share and Cite
Suchanicz, J.; Wąs, M.; Handke, B.; Jeleń, P.; Kucia, Z.; Kania, A.; Sitko, D.; Kluczewska-Chmielarz, K.; Konieczny, K.; Gajda, J.; et al. Controlling the Functional Properties of K0.5Bi0.5TiO3 Ceramics Using E-Poling. Materials 2026, 19, 34. https://doi.org/10.3390/ma19010034
Suchanicz J, Wąs M, Handke B, Jeleń P, Kucia Z, Kania A, Sitko D, Kluczewska-Chmielarz K, Konieczny K, Gajda J, et al. Controlling the Functional Properties of K0.5Bi0.5TiO3 Ceramics Using E-Poling. Materials. 2026; 19(1):34. https://doi.org/10.3390/ma19010034
Chicago/Turabian StyleSuchanicz, Jan, Marcin Wąs, Bartosz Handke, Piotr Jeleń, Zofia Kucia, Antoni Kania, Dorota Sitko, Kamila Kluczewska-Chmielarz, Krzysztof Konieczny, Jakub Gajda, and et al. 2026. "Controlling the Functional Properties of K0.5Bi0.5TiO3 Ceramics Using E-Poling" Materials 19, no. 1: 34. https://doi.org/10.3390/ma19010034
APA StyleSuchanicz, J., Wąs, M., Handke, B., Jeleń, P., Kucia, Z., Kania, A., Sitko, D., Kluczewska-Chmielarz, K., Konieczny, K., Gajda, J., Zawada, A., Lapinski, M., Swatowska, B., Brzezińska, D., Fitas, J., Hebda, T., & Stachowski, G. (2026). Controlling the Functional Properties of K0.5Bi0.5TiO3 Ceramics Using E-Poling. Materials, 19(1), 34. https://doi.org/10.3390/ma19010034

