Structure and Magnetic Properties of Iron Thin Films Prepared at Different Deposition Times
Abstract
1. Introduction
2. Materials and Methods
3. Results and Discussion
3.1. Crystal Structure
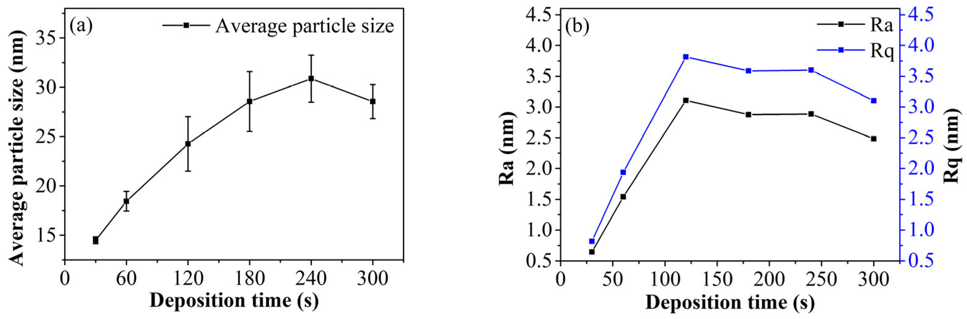
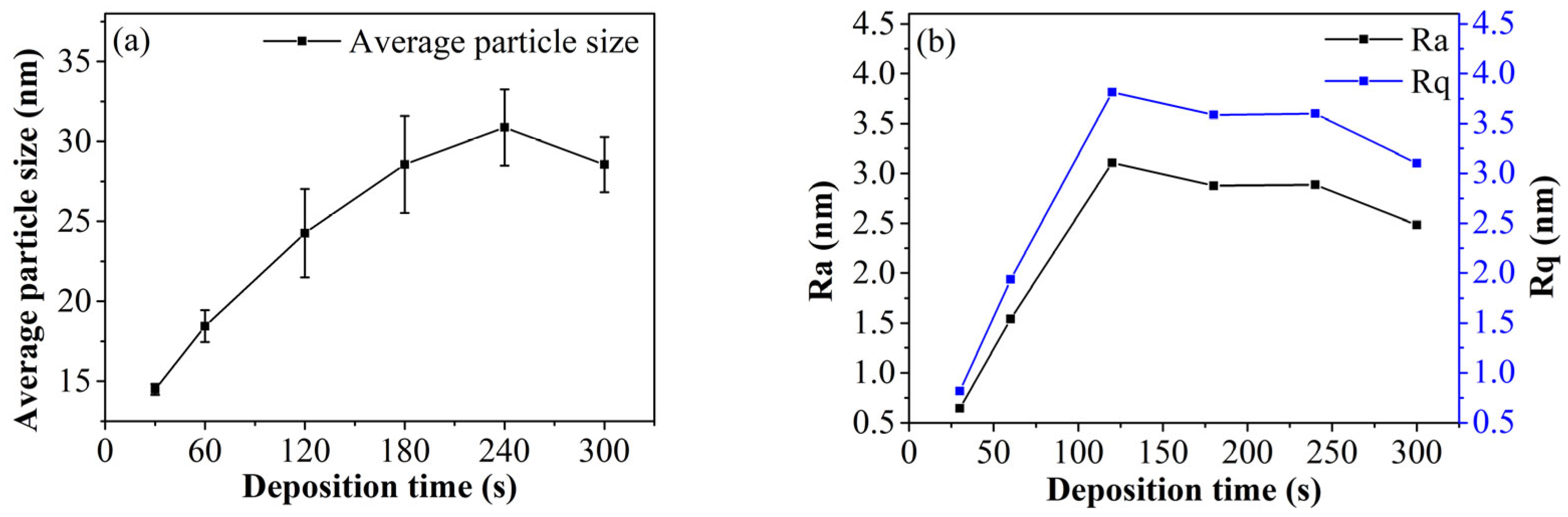
3.2. Surface Morphology
3.3. Magnetic Properties
4. Conclusions
Author Contributions
Funding
Data Availability Statement
Conflicts of Interest
References
- Du, J.; Li, G.; Liu, S.; Liu, T.; Wu, C.; Wang, Q. Enhancement of Magnetic Properties by Adjusted Structure in Fe Nanocrystalline Films via Annealing and Applying High Magnetic Field at Different Film-Formation Stages. J. Magn. Magn. Mater. 2020, 495, 165857. [Google Scholar] [CrossRef]
- Liu, S.; Ma, Y.; Chang, L.; Li, G.; Wang, J.; Wang, Q. Effect of Doping SiO2 and Applying High Magnetic Field during the Film Growth on Structure and Magnetic Properties of Evaporated Fe Films. Thin Solid Film. 2018, 651, 1–6. [Google Scholar] [CrossRef]
- Zhou, C.; Li, T.; Wei, X.; Yan, B. Effect of the Sputtering Power on the Structure, Morphology and Magnetic Properties of Fe Films. Metals 2020, 10, 896. [Google Scholar] [CrossRef]
- Watanabe, E.; Kura, H.; Ogawa, T.; Ichikawa, Y.; Ogawa, K. Fabrication of Soft Magnetic Fe-Ni Films by Direct Deposition of Nanoparticle Agglomerates Using Cold-Spray Technique. J. Therm. Spray Technol. 2023, 32, 226–233. [Google Scholar] [CrossRef]
- Yu, Y.; Li, Y.; Zhong, Y.; Wang, M.; Guo, Z. Ultrasound-Assisted Electrodeposition of Fe-Ni-Co Ternary Alloy Film: Microstructure, Corrosion Resistance, and Soft Magnetic Property. JOM 2024, 76, 4987–4997. [Google Scholar] [CrossRef]
- Fan, J.; Sun, J.; Yang, Y.; Liang, R.; Jiang, Y.; Zhang, J.; Xu, X. Effect of Nitrogen and Cobalt Additions on Surface Morphology and Magnetic Properties of Fe Thin Films. J. Alloys Compd. 2016, 662, 541–545. [Google Scholar] [CrossRef]
- Papamihail, K.; Mergia, K.; Ott, F.; Serruys, Y.; Speliotis, T.; Apostolopoulos, G.; Messoloras, S. Fe+ Ion Irradiation Induced Changes in Structural and Magnetic Properties of Iron Films. Nucl. Mater. Energy 2016, 9, 459–464. [Google Scholar] [CrossRef]
- He, S.H.; Zha, C.L.; Ma, B.; Zhang, Z.Z.; Jin, Q.Y. Formation of (002) Texture in Fe Films Prepared by Thermal Treatment. J. Magn. Magn. Mater. 2007, 310, 2656–2658. [Google Scholar] [CrossRef]
- Sandu, S.G.; Palade, P.; Schinteie, G.; Birsan, A.; Trupina, L.; Kuncser, V. Tuning Structural and Magnetic Properties of Fe Films on Si Substrates by Hydrogenation Processing. Mater. Sci. Eng. B 2014, 181, 24–32. [Google Scholar] [CrossRef]
- Serizawa, K.; Ohtake, M.; Kawai, T.; Futamoto, M.; Kirino, F.; Inaba, N. Influence of Crystal Orientation on the Magnetostriction Behavior of Fe Films Formed on MgO Single-Crystal Substrates. J. Magn. Magn. Mater. 2019, 477, 420–426. [Google Scholar] [CrossRef]
- Kim, T.C.; Lee, S.H.; Jung, H.K.; Kim, Y.E.; Choi, J.W.; Yang, D.; Kim, D.H. Effect of Sputtering Conditions on the Structure and Magnetic Properties of Self-Assembled BiFeO3-CoFe2O4 Nanocomposite Thin Films. J. Magn. Magn. Mater. 2019, 471, 116–123. [Google Scholar] [CrossRef]
- Saravanan, L.; Raja, M.M.; Prabhu, D.; Therese, H.A. Influence of Sputtering Power on Structural and Magnetic Properties of As-Deposited, Annealed and ERTA Co2FeSi Films: A Comparative Study. Phys. B Condens. Matter 2018, 531, 180–184. [Google Scholar] [CrossRef]
- Wang, Z.; Wu, Q.; Yang, Y.; Zhang, P.; Ge, H. Enhanced Coercivity in C/Fe/Pt Thick-Film Magnets. J. Magn. Magn. Mater. 2017, 441, 562–565. [Google Scholar] [CrossRef]
- Basumatary, H.; Arout Chelvane, J.; Sridhara Rao, D.V.; Kamat, S.V.; Ranjan, R. Effect of Sputtering Parameters on the Structure, Microstructure and Magnetic Properties of Tb-Fe Films. Thin Solid Film. 2015, 583, 1–6. [Google Scholar] [CrossRef]
- Srinivas, K.; Manivel Raja, M.; Sridhara Rao, D.V.; Kamat, S.V. Effect of Sputtering Pressure and Power on Composition, Surface Roughness, Microstructure and Magnetic Properties of as-Deposited Co2FeSi Thin Films. Thin Solid Film. 2014, 558, 349–355. [Google Scholar] [CrossRef]
- Ramírez, G.A.; Moya-Riffo, A.; Gómez, J.E.; Malamud, F.; Rodríguez, L.M.; Fregenal, D.; Bernardi, G.; Butera, A.; Milano, J. Influence of Argon Pressure on the Structural Properties of Polycrystalline Sputtered Fe0.89Ga0.11 Thin Films. Mater. Charact. 2021, 171, 110790. [Google Scholar] [CrossRef]
- Liu, X.; Du, H.; Wu, D.; Yue, M.; Chu, X.-M.; Zhao, G.; Li, S. Controllable Rotation of Magnetic Anisotropy in FeCoB Films by Sputtering Pressure. J. Magn. Magn. Mater. 2017, 443, 211–215. [Google Scholar] [CrossRef]
- Tiwari, A.; Senthil Kumar, M. Influence of Sputtering Pressure on the Giant Magnetoresistance and Structure in Fe–Cu–Ni Granular Thin Films. J. Magn. Magn. Mater. 2006, 303, e165–e168. [Google Scholar] [CrossRef]
- Mishra, S.K.; Sahoo, A.K.; Poddar, N.P.; Chelvane, J.A.; Mohanty, J. Investigation of Magnetic Domain Interactions and Switching Mechanism in Sputter Deposited Fe–Co–Al Thin Film. J. Magn. Magn. Mater. 2024, 610, 172535. [Google Scholar] [CrossRef]
- Yang, W.; Liu, J.; Yu, X.; Wang, G.; Zheng, Z.; Guo, J.; Chen, D.; Qiu, Z.; Zeng, D. The Preparation of High Saturation Magnetization and Low Coercivity FeCo Soft Magnetic Thin Films via Controlling the Thickness and Deposition Temperature. Materials 2022, 15, 7191. [Google Scholar] [CrossRef] [PubMed]
- Kumar, P.; Sharma, V.; Khanna, M.K.; Kuanr, B.K. Effect of Ferromagnetic Layer Thickness on the Static and Dynamic Magnetic Properties of Sputter Grown Thin CoFeB Films. Phys. Lett. A 2025, 553, 130722. [Google Scholar] [CrossRef]
- Cao, H.M.; Brown, B.J.; Bheemarasetty, V.S.; Xiao, G. Annealing and Thickness Optimisation in CoZrNb and FeSiBNbCu Thin Films for Low-Frequency Magnetic Flux Concentrators. J. Magn. Magn. Mater. 2025, 635, 173621. [Google Scholar] [CrossRef]
- Du, J.; Li, G.; Wang, Q.; Ma, Y.; Cao, Y.; He, J. Microstructural Evolution and Magnetic Properties of Nanocrystalline Fe Films Prepared in a High Magnetic Field. Vacuum 2015, 121, 88–95. [Google Scholar] [CrossRef]






| Samples | Methods | Ms (emu/cm3) | Hc (Oe) | Mr/Ms | References |
|---|---|---|---|---|---|
| 30 s | DC magnetron sputtering | 1407 | 37 | 0.91 | This research |
| 60 s | 1470 | 65 | 0.94 | ||
| 120 s | 1567 | 92 | 0.86 | ||
| 180 s | 1541 | 96 | 0.81 | ||
| 240 s | 1460 | 127 | 0.66 | ||
| 300 s | 1408 | 144 | 0.54 | ||
| 230 W | RF magnetron sputtering | 1566 | 112 | 0.40 | [3] |
| Rt 0 T | Thermal evaporation | 1213 | 58 | - | [23] |
| 0 T | Molecular beam deposition | 1491 | - | 0.54 | [1] |
Disclaimer/Publisher’s Note: The statements, opinions and data contained in all publications are solely those of the individual author(s) and contributor(s) and not of MDPI and/or the editor(s). MDPI and/or the editor(s) disclaim responsibility for any injury to people or property resulting from any ideas, methods, instructions or products referred to in the content. |
© 2026 by the authors. Licensee MDPI, Basel, Switzerland. This article is an open access article distributed under the terms and conditions of the Creative Commons Attribution (CC BY) license.
Share and Cite
Zhou, C.; Yan, L.; Yan, B.; Han, Z. Structure and Magnetic Properties of Iron Thin Films Prepared at Different Deposition Times. Materials 2026, 19, 165. https://doi.org/10.3390/ma19010165
Zhou C, Yan L, Yan B, Han Z. Structure and Magnetic Properties of Iron Thin Films Prepared at Different Deposition Times. Materials. 2026; 19(1):165. https://doi.org/10.3390/ma19010165
Chicago/Turabian StyleZhou, Chunxia, Liang Yan, Biao Yan, and Zhiya Han. 2026. "Structure and Magnetic Properties of Iron Thin Films Prepared at Different Deposition Times" Materials 19, no. 1: 165. https://doi.org/10.3390/ma19010165
APA StyleZhou, C., Yan, L., Yan, B., & Han, Z. (2026). Structure and Magnetic Properties of Iron Thin Films Prepared at Different Deposition Times. Materials, 19(1), 165. https://doi.org/10.3390/ma19010165

