Evaluation of Antioxidant Performance in Chromium Oxidation Prevention
Abstract
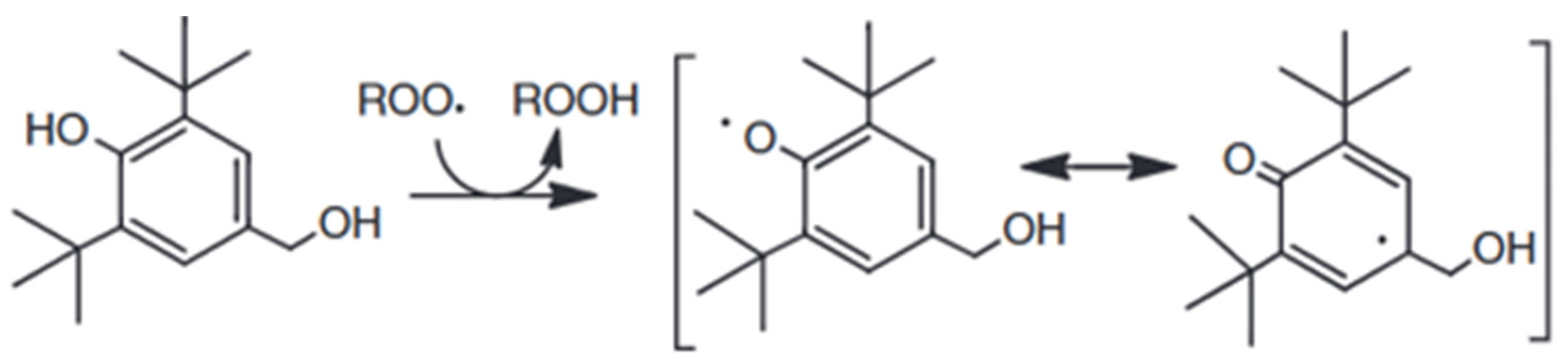
1. Introduction
2. Materials and Methods
2.1. Materials
2.2. Methods
2.2.1. Antioxidant Efficacy in Tannery Wastewater
2.2.2. Antioxidant Efficacy with Hide Powder
2.3. Instruments
3. Results and Discussion
3.1. Experimental Set-Up
3.2. UV Analysis
3.3. UV Analysis on Hide Powder
4. Conclusions
Author Contributions
Funding
Institutional Review Board Statement
Informed Consent Statement
Data Availability Statement
Acknowledgments
Conflicts of Interest
Abbreviations
| TEMPO | Tetramethylpiperidinoxy free radical |
| EtOAc | Ethyl acetate |
| DPC | 1,5-Diphenylcarbazide |
| DPCA | Diphenylcarbazone |
References
- Razzaque, M.A.; Eusuf, A.; Uddin, M.; Rahman, J. Exports of Leather and Leather Goods: Performance, Prospects, and Policy Priorities. In Navigating New Waters: Unleashing Bangladesh’s Export Potential for Smooth LDC Graduation, Manchester Reasearch Explorer; Bangladesh Enterprise Institute: Dhaka, Bangladesh, 2020; pp. 229–266. [Google Scholar]
- Hailemichael, M.; Satya Raju, R. The Determinants of Growth of Leather and Leather Products Manufacturing Micro and Small Scale Enterprises. Eur. J. Bus. Manag. 2015, 7, 191–204. [Google Scholar]
- Limeneh, D.Y.; Tesfaye, T.; Ayele, M.; Husien, N.M.; Ferede, E.; Haile, A.; Mengie, W.; Abuhay, A.; Gelebo, G.G.; Gibril, M.; et al. A Comprehensive Review on Utilization of Slaughterhouse By-Product: Current Status and Prospect. Sustainability 2022, 14, 6469. [Google Scholar] [CrossRef]
- Fathima, N.N.; Baias, M.; Blumich, B.; Ramasami, T. Structure and dynamics of water in native and tanned collagen fibers: Effect of crosslinking. Int. J. Biol. Macromol. 2010, 47, 590–596. [Google Scholar] [CrossRef]
- Falcão, L.; Araújo, M. Vegetable Tannins Used in the Manufacture of Historic Leathers. Molecules 2018, 23, 1081. [Google Scholar] [CrossRef]
- Sreeram, K.J.; Ramasami, T. Sustaining tanning process through conservation, recovery and better utilization of chromium. Resour. Conserv. Recycl. 2003, 38, 185–212. [Google Scholar] [CrossRef]
- Imai, A.; Gloyna, E.F. Effects of pH and oxidation state of chromium on the behavior of chromium in the activated sludge process. Water Res. 1990, 24, 1143–1150. [Google Scholar] [CrossRef]
- Wu, L.-C.; Thomsen, M.K.; Madsen, S.R.; Schmoekel, M.; Jørgensen, M.R.V.; Cheng, M.-C.; Peng, S.-M.; Chen, Y.-S.; Overgaard, J.; Iversen, B.B. Chemical Bonding in a Linear Chromium Metal String Complex. Inorg. Chem. 2014, 53, 12489–12498. [Google Scholar] [CrossRef] [PubMed]
- Costa, M. Toxicity and Carcinogenicity of Cr(VI) in Animal Models and Humans. Crit. Rev. Toxicol. 1997, 27, 431–442. [Google Scholar] [CrossRef]
- McCarroll, N.; Keshava, N.; Chen, J.; Akerman, G.; Kligerman, A.; Rinde, E. An evaluation of the mode of action framework for mutagenic carcinogens case study II: Chromium (VI). Environ. Mol. Mutagen. 2010, 51, 89–111. [Google Scholar] [CrossRef]
- Zhao, N.; Wei, N.; Li, J.; Qiao, Z.; Cui, J.; He, F. Surface properties of chemically modified activated carbons for adsorption rate of Cr (VI). Chem. Eng. J. 2005, 115, 133–138. [Google Scholar] [CrossRef]
- De Flora, S. Threshold mechanisms and site specificity in chromium(VI) carcinogenesis. Carcinogenesis 2000, 21, 533–541. [Google Scholar] [CrossRef] [PubMed]
- Xia, S.; Song, Z.; Jeyakumar, P.; Shaheen, S.M.; Rinklebe, J.; Ok, Y.S.; Bolan, N.; Wang, H. A critical review on bioremediation technologies for Cr(VI)-contaminated soils and wastewater. Crit. Rev. Environ. Sci. Technol. 2019, 49, 1027–1078. [Google Scholar] [CrossRef]
- Bartlett, R.J. Chromium cycling in soils and water: Links, gaps, and methods. Environ. Health Perspect. 1991, 92, 17–24. [Google Scholar] [CrossRef] [PubMed]
- Hansen, M.B.; Johansen, J.D.; Menné, T. Chromium allergy: Significance of both Cr(III) and Cr(VI). Contact Dermat. 2003, 49, 206–212. [Google Scholar] [CrossRef]
- Newbury, E.W. Oils, fats and waxes in the leather industry. Oil Soap 1940, 17, 43–45. [Google Scholar] [CrossRef]
- Sizeland, K.H.; Wells, H.C.; Norris, G.E.; Edmonds, R.L.; Kirby, N.; Hawley, A. Collagen D-Spacing and the effect of fat liquor addition. J. Am. Leather Chem. Assoc. 2015, 110, 66–71. [Google Scholar]
- Saranya, R.; Tamil Selvi, A.; Jayapriya, J.; Aravindhan, R. Synthesis of Fat Liquor Through Fish Waste Valorization, Characterization and Applications in Tannery Industry. Waste Biomass Valorization 2020, 11, 6637–6647. [Google Scholar] [CrossRef]
- Fuck, W.F.; Gutterres, M.; Marcílio, N.R.; Bordingnon, S. The influence of Chromium supplied by tanning and wet finishing processes on the formation of cr(vi) in leather. Braz. J. Chem. Eng. 2011, 28, 221–228. [Google Scholar] [CrossRef]
- Kolomaznik, K.; Adamek, M.; Andel, I.; Uhlirova, M. Leather waste—Potential threat to human health, and a new technology of its treatment. J. Hazard. Mater. 2008, 160, 514–520. [Google Scholar] [CrossRef]
- Hedberg, Y.S. Chromium and leather: A review on the ch, emistry of relevance for allergic contact dermatitis to chromium. J. Leather Sci. Eng. 2020, 2, 20. [Google Scholar] [CrossRef]
- Salmi, O.; Molinelli, A.; Gelosa, S.; Sacchetti, A.; Rossi, F.; Masi, M. Use of Antioxidants to Reduce Chromium (VI) Formation during the Leather Tanning Process. Sustain. Chem. 2024, 5, 244–257. [Google Scholar] [CrossRef]
- Bajza, Z.; Vinkovic Vrcek, I. Fatliquoring agent and drying temperature effects on leather properties. J. Mater. Sci. 2001, 36, 5265–5270. [Google Scholar] [CrossRef]
- Hedberg, Y.S.; Lidén, C. Chromium (III) and chromium (VI) release from leather during 8 months of simulated use. Contact Dermat. 2016, 75, 82–88. [Google Scholar] [CrossRef] [PubMed]
- Tiwari, A.K.; De Maio, M. Assessment of risk to human health due to intake of chromium in the groundwater of the Aosta Valley region, Italy. Hum. Ecol. Risk Assess. Int. J. 2017, 23, 1153–1163. [Google Scholar] [CrossRef]
- ISO 17075-1:2017 IULTCS/IUC 18-1; Leather—Chemical Determination of Chromium (VI) Content in Leather Part 1: Colorimetric Method (n.d.). ISO: Geneva, Switzerland, 2017. Available online: https://www.iso.org/standard/67096.html (accessed on 17 November 2024).
- Biškauskaitė, R.; Valeikienė, V.; Valeika, V. Enzymes for leather processing: Effect on pickling and chroming. Materials 2021, 14, 1480. [Google Scholar] [CrossRef]
- Madhan, B.; Fathima, N.N.; Rao, J.R.; Nair, B.U. A new chromium-zinc tanning agent: A viable option for less chrome technology. J. Am. Leather Chem. Assoc. 2002, 97, 189–196. [Google Scholar]
- Yang, T.; Zeng, Y.; Sun, Q.; Lei, C.; Shi, B. Effect of pickling materials on leather quality from a hide surface charge perspective. J. Am. Leather Chem. Assoc. 2022, 117, 7. [Google Scholar] [CrossRef]
- Bregnbak, D.; Johansen, J.D.; Jellesen, M.S.; Zachariae, C.; Thyssen, J.P. Chromium (VI) release from leather and metals can be detected with a diphenylcarbazide spot test. Contact Dermat. 2015, 73, 281–288. [Google Scholar] [CrossRef]
- Dou, X.; Wang, Q.; Zhu, T.; Ding, Z.; Xie, J. Construction of effective nanosensor by combining semiconducting polymer dots with diphenylcarbazide for specific recognition of trace Cr (VI) ion in water and vitro. Nanomaterials 2022, 12, 2663. [Google Scholar] [CrossRef]
- Prokein, M.; Renner, M.; Weidner, E. Fast high-pressure tanning of animal skins by accelerated chromium sulphate complexation. Clean Technol. Environ. Policy 2020, 22, 1133–1143. [Google Scholar] [CrossRef]
- Xu, T.; Jiang, X.; Tang, Y.; Zeng, Y.; Zhang, W.; Shi, B. Oxidation of trivalent chromium induced by unsaturated oils: A pathway for hexavalent chromium formation in soil. J. Hazard. Mater. 2021, 405, 124699. [Google Scholar] [CrossRef]
- Scancar, J.; Osterman, T.; Bukovec, N.; Milacic, R. Critical Appraisal of Analytical Procedures for the Determination of CR (VI) in Dyed Leathrs by 1, 5 Diphenylcarbazide Spectrophotometry after Sample Dilutin or Color Removal. J. Am. Leather Chem. Assoc. 2007, 102, 85–92. [Google Scholar]
- Tiwari, A.K.; Orioli, S.; De Maio, M. Assessment of groundwater geochemistry and diffusion of hexavalent chromium contamination in an industrial town of Italy. J. Contam. Hydrol. 2019, 225, 103503. [Google Scholar] [CrossRef] [PubMed]
- Weng, X.C.; Huang, Y. Relationship structure-antioxidant activity of hindered phenolic compounds. Grasas Aceites 2014, 65, e051. [Google Scholar] [CrossRef]
- Kolyada, M.N.; Osipova, V.P.; Berberova, N.T.; Shpakovsky, D.B.; Milaeva, E.R. Antioxidant activity of 2, 6-Di-tert-butylphenol derivatives in lipid peroxidation and hydrogen peroxide decomposition by human erythrocytes in vitro. Russ. J. Gen. Chem. 2018, 88, 2513–2517. [Google Scholar] [CrossRef]
- Beya, M.; Netzel, M.; Sultanbawa, Y.; Smyth, H.; Hoffman, L. Plant-Based Phenolic Molecules as Natural Preservatives in Comminuted Meats: A Review. Antioxidants 2021, 10, 263. [Google Scholar] [CrossRef] [PubMed]
- Kmiecik, D.; Fedko, M.; Siger, A.; Kulczyński, B. Degradation of tocopherol molecules and its impact on the polymerization of triacylglycerols during heat treatment of oil. Molecules 2019, 24, 4555. [Google Scholar] [CrossRef]
- Fuchs, J.; Groth, N.; Herrling, T.; Zimmer, G. Electron paramagnetic resonance studies on nitroxide radical 2, 2, 5, 5-tetramethyl-4-piperidin-1-oxyl (TEMPO) redox reactions in human skin. Free Radic. Biol. Med. 1997, 22, 967–976. [Google Scholar] [CrossRef]
- Mayerhöfer, T.G.; Mutschke, H.; Popp, J. Employing Theories Far beyond Their Limits—The Case of the (Boguer-) Beer–Lambert Law. ChemPhysChem 2016, 17, 1948–1955. [Google Scholar] [CrossRef]
- Davis, S.J.; Wise, W.R.; Recchia, S.; Spinazzè, A.; Masi, M. The Evaluation of the Detection of Cr (VI) in Leather. Analytica 2021, 3, 1–13. [Google Scholar] [CrossRef]
- Polovinkina, M.A.; Osipova, V.P.; Kolyada, M.N.; Osipova, A.D.; Berberova, N.T.; Pimenov, Y.T.; Milaeva, E.R. In silico, in vitro, in vivo Evaluation of Antioxidant Activity and Toxic Effects of Phosphorus-Containing Derivatives of 2, 6-Di-tert-Butylphenol. Environ. Res. Eng. Manag. 2019, 75, 13–23. [Google Scholar] [CrossRef]
- Jing, C.; Nan, H.; Wuyong, C.; Shiyu, S. Controlling Cr (VI) in leather: A review from passive prevention to stabilization of chromium complexes. J. Am. Leather Chem. Assoc. 2017, 112, 250–257. [Google Scholar]
- Arellano-Sánchez, M.G.; Vievard, J.; Moufarrej, L.; Devouge-Boyer, C.; Hubert-Roux, M.; Afonso, C.; Mignot, M. Separation, speciation and quantification of both chromium (VI) and chromium (III) in tanned leather samples: A comparative study and validation of analytical methods. Collagen Leather 2023, 5, 18. [Google Scholar] [CrossRef]
- Tasan, M.; Demirci, M. Total and individual tocopherol contents of sunflower oil at different steps of refining. Eur. Food Res. Technol. 2005, 220, 251–254. [Google Scholar] [CrossRef]
- Barouh, N.; Bourlieu-Lacanal, C.; Figueroa-Espinoza, M.C.; Durand, E.; Villeneuve, P. Tocopherols as antioxidants in lipid-based systems: The combination of chemical and physicochemical interactions determines their efficiency. Compr. Rev. Food Sci. Food Saf. 2022, 21, 642–688. [Google Scholar] [CrossRef] [PubMed]
- Kamal-Eldin, A.; Appelqvist, L.-Å. The chemistry and antioxidant properties of tocopherols and tocotrienols. Lipids 1996, 31, 671–701. [Google Scholar] [CrossRef]
- Zhang, Y.; Liu, J.J.; Zhang, L.; Wang, X.Z. Solubility of 2,5-Di-tert-butylhydroquinone and Process Design for Its Purification Using Crystallization. J. Chem. Eng. Data 2015, 60, 1968–1974. [Google Scholar] [CrossRef]
- Çolak, S.M.; Dandar, U.; Kılıç, E. Antioxidant effect of tannic acid on formation of formaldehyde and hexavalent chromium compounds in leather. Text. Appar. 2014, 24, 105–110. [Google Scholar]






Disclaimer/Publisher’s Note: The statements, opinions and data contained in all publications are solely those of the individual author(s) and contributor(s) and not of MDPI and/or the editor(s). MDPI and/or the editor(s) disclaim responsibility for any injury to people or property resulting from any ideas, methods, instructions or products referred to in the content. |
© 2025 by the authors. Licensee MDPI, Basel, Switzerland. This article is an open access article distributed under the terms and conditions of the Creative Commons Attribution (CC BY) license (https://creativecommons.org/licenses/by/4.0/).
Share and Cite
Salmi, O.; Laudisa, G.; Rossi, F.; Masi, M. Evaluation of Antioxidant Performance in Chromium Oxidation Prevention. Materials 2025, 18, 1858. https://doi.org/10.3390/ma18081858
Salmi O, Laudisa G, Rossi F, Masi M. Evaluation of Antioxidant Performance in Chromium Oxidation Prevention. Materials. 2025; 18(8):1858. https://doi.org/10.3390/ma18081858
Chicago/Turabian StyleSalmi, Omar, Giulia Laudisa, Filippo Rossi, and Maurizio Masi. 2025. "Evaluation of Antioxidant Performance in Chromium Oxidation Prevention" Materials 18, no. 8: 1858. https://doi.org/10.3390/ma18081858
APA StyleSalmi, O., Laudisa, G., Rossi, F., & Masi, M. (2025). Evaluation of Antioxidant Performance in Chromium Oxidation Prevention. Materials, 18(8), 1858. https://doi.org/10.3390/ma18081858

