Physical and Mechanical Properties of Cement Mortars with Recycled Polyethylene Terephthalate: Influence of Grain Size and Composition
Abstract
1. Introduction
2. Materials and Methods
Preparation of the Mortars and Methods of Characterization
3. Results
3.1. Cement Mortar Composition
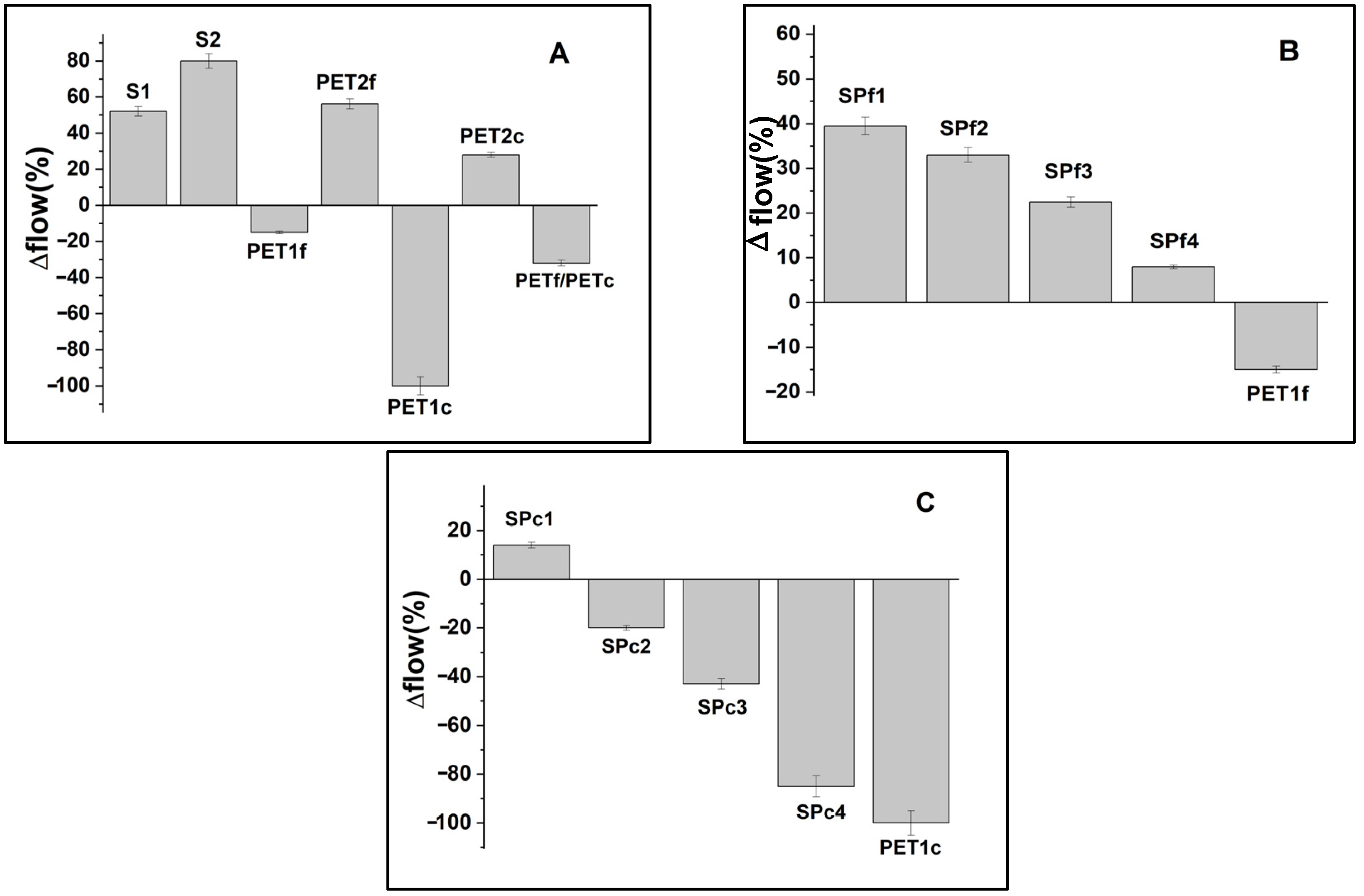
3.2. Consistency of the Mortars in the Fresh State
3.3. Thermal Measurements
3.4. Mechanical Tests
3.5. SEM Characterization of the Samples
3.6. Wettability Tests
3.7. Economic and Ecological Issues of Using PET in Cement Mortars
4. Conclusions
Author Contributions
Funding
Institutional Review Board Statement
Informed Consent Statement
Data Availability Statement
Conflicts of Interest
References
- Bachmann, M.; Zibunas, C.; Hartmann, J.; Tulus, V.; Suh, S.; Guillén-Gosálbez, G.; Bardow, A. Towards circular plastics within planetary boundaries. Nat. Sustain. 2023, 6, 599–610. [Google Scholar] [CrossRef]
- Chen, Y.; Awasthi, A.K.; Wei, F.; Tan, Q.; Li, J. Single-use plastics: Production, usage, disposal, and adverse impacts. Sci. Total Environ. 2021, 752, 141772. [Google Scholar] [CrossRef]
- Raheem, A.B.; Noor, Z.Z.; Hassan, A.; Hamid, M.K.A.; Samsudin, S.A.; Sabeen, A.H. Current developments in chemical recycling of post-consumer polyethylene terephthalate wastes for new materials production: A review. J. Clean. Prod. 2019, 225, 1052–1064. [Google Scholar] [CrossRef]
- Law, K.L.; Narayan, R. Reducing environmental plastic pollution by designing polymer materials for managed end-of-life. Nat. Rev. Mater. 2022, 7, 104–116. [Google Scholar] [CrossRef]
- Andrady, A.L. Microplastics in the marine environment. Sci. Mar. Pollut. Bull. 2011, 62, 1596–1605. [Google Scholar] [CrossRef] [PubMed]
- MacLeod, M.; Arp, H.P.H.; Tekman, M.B.; Jahnke, A. The global threat from plastic pollution. Science 2021, 373, 61–65. [Google Scholar] [CrossRef]
- Thushari, G.; Senevirathna, J. Plastic pollution in the marine environment. Heliyon 2020, 6, e04709. [Google Scholar] [CrossRef] [PubMed]
- Napper, I.E.; Thompson, R.C. Plastic debris in the marine environment: History and future challenges. Glob. Chall. 2020, 4, 1900081. [Google Scholar] [CrossRef]
- Harris, P.T.; Maes, T.; Raubenheimer, K.; Walsh, J. A marine plastic cloud—Global mass balance assessment of oceanic plastic pollution. Cont. Shelf Res. 2023, 255, 104947. [Google Scholar] [CrossRef]
- Sulyman, M.; Haponiuk, J.; Formela, K. Utilization of recycled polyethylene terephthalate (PET) in engineering materials: A re-view. Int. J. Environ. Sci. Dev. 2016, 7, 100–108. [Google Scholar] [CrossRef]
- Nisticò, R. Polyethylene terephthalate (PET) in the packaging industry. Polym. Test. 2020, 90, 106707. [Google Scholar] [CrossRef]
- Jabarin, S.A.; Lofgren, E.A. Thermal stability of polyethylene terephthalate. Polym. Eng. Sci. 1984, 24, 1056–1063. [Google Scholar] [CrossRef]
- Sadeghi, B.; Marfavi, Y.; AliAkbari, R.; Kowsari, E.; Ajdari, F.B.; Ramakrishna, S. Recent studies on recycled PET fibers: Production and applications: A review. Mater. Circ. Econ. 2021, 3, 4. [Google Scholar] [CrossRef]
- Jang, J.Y.; Sadeghi, K.; Seo, J. Chain-extending modification for value-added recycled PET: A review. Polym. Rev. 2022, 62, 860–889. [Google Scholar] [CrossRef]
- Benyathiar, P.; Kumar, P.; Carpenter, G.; Brace, J.; Mishra, D.K. Polyethylene terephthalate (PET) bottle-to-bottle recycling for the beverage industry: A review. Polymers 2022, 14, 2366. [Google Scholar] [CrossRef]
- Chinchillas-Chinchillas, M.J.; Gaxiola, A.; Alvarado-Beltrán, C.G.; Orozco-Carmona, V.M.; Pellegrini-Cervantes, M.J.; Rodríguez-Rodríguez, M.; Castro-Beltrán, A. A new application of recycled-PET/PAN composite nanofibers to cement–based materials. J. Clean. Prod. 2020, 252, 119827. [Google Scholar] [CrossRef]
- Gallardo-Sánchez, M.A.; Chinchillas-Chinchillas, M.J.; Gaxiola, A.; Alvarado-Beltrán, C.G.; Hurtado-Macías, A.; Orozco-Carmona, V.M.; Almaral-Sánchez, J.L.; Sepúlveda-Guzmán, S.; Castro-Beltrán, A. The use of recycled PET for the synthesis of new mechanically improved PVP composite nanofibers. Polymers 2022, 14, 2882. [Google Scholar] [CrossRef]
- Shamsuyeva, M.; Endres, H.J. Plastics in the context of the circular economy and sustainable plastics recycling: Comprehensive review on research development, standardization and market. Compos. Part C Open Access 2021, 6, 100168. [Google Scholar] [CrossRef]
- Oberoi, I.S.; Rajkumar, P.; Das, S. Disposal and recycling of plastics. Mater. Today Proc. 2021, 46, 7875–7880. [Google Scholar] [CrossRef]
- Mohan, H.T.; Jayanarayanan, K.; Mini, K. Recent trends in utilization of plastics waste composites as construction materials. Constr. Build. Mater. 2021, 271, 121520. [Google Scholar] [CrossRef]
- Ojeda, J.P. A meta-analysis on the use of plastic waste as fibers and aggregates in concrete composites. Constr. Build. Mater. 2021, 295, 123420. [Google Scholar] [CrossRef]
- Pacheco-Torgal, F.; Khatib, J.; Colangelo, F.; Tuladhar, R. (Eds.) Use of Recycled Plastics in Eco-Efficient Concrete; Wood-Head Publishing: Sawston, UK, 2018. [Google Scholar]
- Yilmaz, A. Mechanical and durability properties of cement mortar containing waste pet aggregate and natural zeolite. Ceram. Silik. 2021, 65, 48–57. [Google Scholar] [CrossRef]
- Campanhão, A.F.; Marvila, M.T.; de Azevedo, A.R.G.; da Silva, T.R.; Fediuk, R.; Vatin, N. Recycled PET sand for cementitious mortar. Materials 2021, 15, 273. [Google Scholar] [CrossRef] [PubMed]
- Ahmad, F.; Jamal, A.; Mazher, K.M.; Umer, W.; Iqbal, M. Performance evaluation of plastic concrete modified with e-waste plastic as a partial replacement of coarse aggregate. Materials 2021, 15, 175. [Google Scholar] [CrossRef] [PubMed]
- Almeshal, I.; Tayeh, B.A.; Alyousef, R.; Alabduljabbar, H.; Mohamed, A.M. Eco-friendly concrete containing recycled plastic as partial replacement for sand. J. Mater. Res. Technol. 2020, 9, 4631–4643. [Google Scholar] [CrossRef]
- Ghaly, A.; Gill, M. Compression and Deformation Performance of Concrete Containing Postconsumer Plastics. ASCE J. Mater. Civ. Eng. 2004, 16, 289–296. [Google Scholar] [CrossRef]
- Almeshal, I.; Tayeh, B.A.; Alyousef, R.; Alabduljabbar, H.; Mohamed, A.M.; Alaskar, A. Use of recycled plastic as fine aggregate in cementitious composites: A review. Constr. Build. Mater. 2020, 253, 119–146. [Google Scholar] [CrossRef]
- Akçaözoğlu, S.; Akçaözoğlu, K.; Atiş, C.D. Thermal conductivity, compressive strength and ultrasonic wave velocity of cementitious composite containing waste PET lightweight aggregate (WPLA). Compos. Part B Eng. 2013, 45, 721–726. [Google Scholar] [CrossRef]
- Da Luz Garcia, M.; Oliveira, M.R.; Neto-Silva, T.; Meira-Castro, A.C. Performance of mortars with PET. J. Mater. Cycles Waste Manag. 2021, 23, 699–706. [Google Scholar] [CrossRef]
- Foti, D.; Lerna, M. New mortar mixes with chemically depolymerized waste PET aggregates. Adv. Mater. Sci. Eng. 2020, 2020, 8424936. [Google Scholar] [CrossRef]
- Geyer, B.; Lorenz, G.; Kandelbauer, A. Recycling of poly(ethylene terephthalate)—A review focusing on chemical methods. Express Polym. Lett. 2016, 10, 559–586. [Google Scholar] [CrossRef]
- Mahdi, F.; Abbas, H.; Khan, A.A. Flexural, shear and bond strength of polymer concrete utilizing recycled resin obtained from post consumer PET bottles. Constr. Build. Mater. 2013, 44, 798–811. [Google Scholar] [CrossRef]
- Italian Organization for Standardization (UNI). Cement Composition, Specifications and Conformity Criteria for Common Cements. EN 197-1. Available online: https://store.uni.com/uni-en-197-1-2011 (accessed on 14 September 2011).
- Italian Organization for Standardization (UNI). Methods of Testing Cement-Part 1: Determination of Strength. EN 196-1. Available online: https://store.uni.com/uni-en-196-1-2016 (accessed on 27 April 2016).
- Italian Organization for Standardization (UNI). Determination of Consistency of Cement Mortars Using a Flow Table. UNI 7044:1972. Available online: https://store.uni.com/uni-7044-1972 (accessed on 20 April 1972).
- Petrella, A.; Di Mundo, R.; Notarnicola, M. Recycled expanded polystyrene as lightweight aggregate for environmentally sus-tainable cement conglomerates. Materials 2020, 13, 988. [Google Scholar] [CrossRef]
- Petrella, A.; Petrella, M.; Boghetich, G.; Petruzzelli, D.; Calabrese, D.; Stefanizzi, P.; De Napoli, D.; Guastamacchia, M. Recycled waste glass as aggregate for lightweight concrete. Proc. Inst. Civ. Eng. Constr. Mater. 2007, 160, 165–170. [Google Scholar] [CrossRef]
- Gustafsson, S.E. Transient plane source techniques for thermal conductivity and thermal diffusivity measurements of solid materials. Rev. Sci. Instrum. 1991, 62, 797–804. [Google Scholar] [CrossRef]
- Petrella, A.; Petruzzelli, V.; Basile, T.; Petrella, M.; Boghetich, G.; Petruzzelli, D. Recycled porous glass from municipal/industrial solid wastes sorting operations as a lead ion sorbent from wastewaters. React. Funct. Polym. 2010, 70, 203–209. [Google Scholar] [CrossRef]
- Pásztory, Z.; Anh Le, D.H. An overview of factors influencing thermal conductivity of building insulation materials. J. Build. Eng. 2021, 44, 102604. [Google Scholar] [CrossRef]
- Petrella, A.; Petrella, M.; Boghetich, G.; Basile, T.; Petruzzelli, V.; Petruzzelli, D. Heavy metals retention on recycled waste glass from solid wastes sorting operations: A comparative study among different metal species. Ind. Eng. Chem. Res. 2011, 51, 119–125. [Google Scholar] [CrossRef]
- Ahmed, S.N.; Sor, N.H.; Ahmed, M.A.; Qaidi, S.M. Thermal conductivity and hardened behavior of eco-friendly concrete incorporating waste polypropylene as fine aggregate. Mater. Today Proc. 2022, 57, 818–823. [Google Scholar] [CrossRef]
- Roy, T.; Sabharwal, T.; Kumar, M.; Ranjan, P.; Balasubramaniam, R. Mathematical modelling of superhydrophobic surfaces for determining the correlation between water contact angle and geometrical parameters. Precis. Eng. 2020, 61, 55–64. [Google Scholar] [CrossRef]
- Santomasi, G.; Todaro, F.; Petrella, A.; Notarnicola, M.; van Velzen, E.U.T. Mechanical Recycling of PET Multi-Layer Post-Consumer Packaging: Effects of Impurity Content. Recycling 2024, 9, 93. [Google Scholar] [CrossRef]
- Joseph, T.M.; Azat, S.; Ahmadi, Z.; Jazani, O.M.; Esmaeili, A.; Kianfar, E.; Haponiuk, J.; Thomas, S. Polyethylene terephthalate (PET) recycling: A review. Case Stud. Chem. Environ. Eng. 2024, 9, 100673. [Google Scholar] [CrossRef]
- Askar, M.K.; Al-Kamaki, Y.S.S.; Hassan, A. Utilizing Polyethylene Terephthalate PET in Concrete: A Review. Polymers 2023, 15, 3320. [Google Scholar] [CrossRef] [PubMed]
- Alfahdawi, I.H.; Osman, S.A.; Hamid, R.; Al-Hadithi, A.I. Utilizing waste plastic polypropylene and polyethylene tereph-thalate as alternative aggregates to produce lightweight concrete: A review. J. Eng. Sci. Technol. 2016, 11, 1165–1173. [Google Scholar]
- Uche, C.K.A.; Abubakar, S.A.; Nnamchi, S.N.; Ukagwu, K.J. Polyethylene terephthalate aggregates in structural lightweight concrete: A meta-analysis and review. Discov. Mater. 2023, 3, 24. [Google Scholar] [CrossRef]












| Type | Cement (g) | Water (cm3) | PETf Weight (g) | PETc Weight (g) | Sand Weight (g) | ρ (Kg/m3) | Porosity % |
|---|---|---|---|---|---|---|---|
| Ref | 450 | 225 | 0 | 0 | 1350 | 2060 | 22 |
| S1 | 450 | 225 | 0 | 0 | 500 | 1860 | 23 |
| S2 | 450 | 225 | 0 | 0 | 250 | 1680 | 24 |
| SPf1 | 450 | 225 | 100 | 0 | 400 | 1757 | 28 |
| SPf2 | 450 | 225 | 200 | 0 | 300 | 1611 | 30 |
| SPf3 | 450 | 225 | 300 | 0 | 200 | 1508 | 31 |
| SPf4 | 450 | 225 | 400 | 0 | 100 | 1443 | 35 |
| SPc1 | 450 | 225 | 0 | 100 | 400 | 1705 | 30 |
| SPc2 | 450 | 225 | 0 | 200 | 300 | 1530 | 33 |
| SPc3 | 450 | 225 | 0 | 300 | 200 | 1349 | 35 |
| SPc4 | 450 | 225 | 0 | 400 | 100 | 1245 | 38 |
| PET1f | 450 | 225 | 500 | 0 | 0 | 1405 | 35 |
| PET2f | 450 | 225 | 250 | 0 | 0 | 1478 | 31 |
| PET1c | 450 | 225 | 0 | 500 | 0 | 1012 | 41 |
| PET2c | 450 | 225 | 0 | 250 | 0 | 1340 | 37 |
| PETf/PETc | 450 | 225 | 250 | 250 | 0 | 1273 | 36 |
Disclaimer/Publisher’s Note: The statements, opinions and data contained in all publications are solely those of the individual author(s) and contributor(s) and not of MDPI and/or the editor(s). MDPI and/or the editor(s) disclaim responsibility for any injury to people or property resulting from any ideas, methods, instructions or products referred to in the content. |
© 2025 by the authors. Licensee MDPI, Basel, Switzerland. This article is an open access article distributed under the terms and conditions of the Creative Commons Attribution (CC BY) license (https://creativecommons.org/licenses/by/4.0/).
Share and Cite
Petrella, A.; Todaro, F.; Yadav, P.; Gubitosa, J.; Notarnicola, M. Physical and Mechanical Properties of Cement Mortars with Recycled Polyethylene Terephthalate: Influence of Grain Size and Composition. Materials 2025, 18, 1378. https://doi.org/10.3390/ma18061378
Petrella A, Todaro F, Yadav P, Gubitosa J, Notarnicola M. Physical and Mechanical Properties of Cement Mortars with Recycled Polyethylene Terephthalate: Influence of Grain Size and Composition. Materials. 2025; 18(6):1378. https://doi.org/10.3390/ma18061378
Chicago/Turabian StylePetrella, Andrea, Francesco Todaro, Pravendra Yadav, Jennifer Gubitosa, and Michele Notarnicola. 2025. "Physical and Mechanical Properties of Cement Mortars with Recycled Polyethylene Terephthalate: Influence of Grain Size and Composition" Materials 18, no. 6: 1378. https://doi.org/10.3390/ma18061378
APA StylePetrella, A., Todaro, F., Yadav, P., Gubitosa, J., & Notarnicola, M. (2025). Physical and Mechanical Properties of Cement Mortars with Recycled Polyethylene Terephthalate: Influence of Grain Size and Composition. Materials, 18(6), 1378. https://doi.org/10.3390/ma18061378

