Investigation of Pore Size Effect on the Infiltration Process of Ti6Al4V/xAg Metal Matrix Composites
Abstract
1. Introduction
2. Materials and Methods
2.1. Raw Materials and Porous Compacts Fabrication
2.2. Characterization of Porous Compacts
2.3. Infiltration Process and Composite Characterization
3. Results and Discussion
3.1. Sintering
3.2. Permeability Analysis
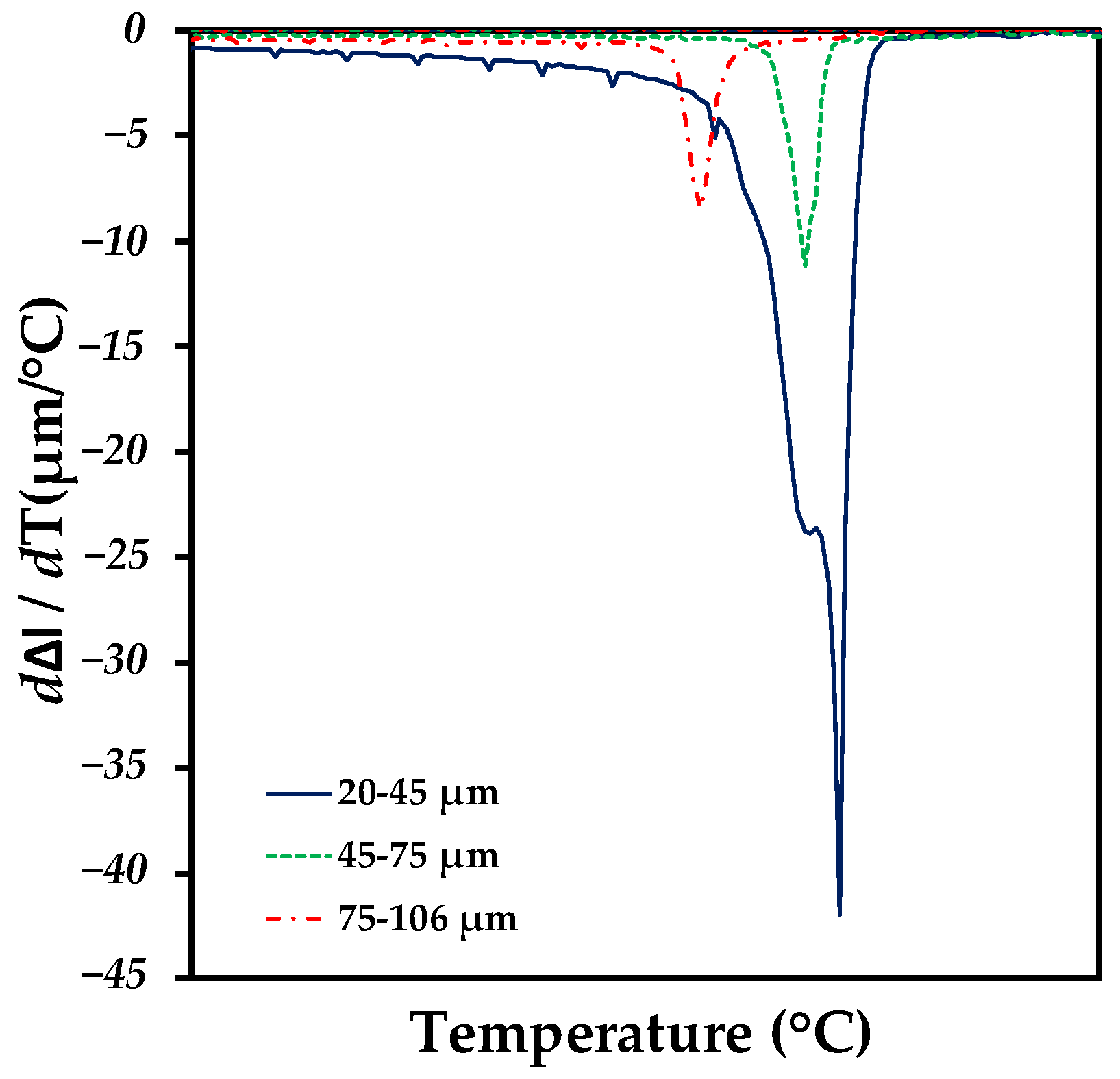
3.3. Dilatometry Analysis
3.4. Ag Infiltration
3.5. Compression Tests
4. Conclusions
Author Contributions
Funding
Institutional Review Board Statement
Informed Consent Statement
Data Availability Statement
Acknowledgments
Conflicts of Interest
References
- Attar, H.; Ehtemam-Haghighi, S.; Soro, N.; Kent, D.; Dargusch, M.S. Additive manufacturing of low-cost porous titanium-based composites for biomedical applications: Advantages, challenges and opinion for future development. J. Alloys Compd. 2020, 827, 154263. [Google Scholar] [CrossRef]
- Geetha, M.; Singh, A.K.; Asokamani, R.; Gogia, A.K. Ti based biomaterials, the ultimate choice for orthopaedic implants–a review. Prog. Mater. Sci. 2009, 54, 397–425. [Google Scholar] [CrossRef]
- Abd-Elaziem, W.; Darwish, M.A.; Hamada, A.; Daoush, W.M. Titanium-Based alloys and composites for orthopedic implants Applications: A comprehensive review. Mater. Des. 2024, 241, 112850. [Google Scholar] [CrossRef]
- Jiao, J.; Zhang, S.; Qu, X.; Yue, B. Recent advances in research on antibacterial metals and alloys as implant materials. Front. Cell. Infect. Microbiol. 2021, 11, 693939. [Google Scholar] [CrossRef]
- Kreve, S.; Ferreira, I.; da Costa Valente, M.L.; Dos Reis, A.C. Relationship between dental implant macro-design and osseointegration: A systematic review. Oral Maxillofac. Surg. 2024, 28, 1–14. [Google Scholar] [CrossRef]
- Rack, H.; Qazi, J. Titanium alloys for biomedical applications. Mater. Sci. Eng. C 2006, 26, 1269–1277. [Google Scholar] [CrossRef]
- Gil, F.J.; Planell, J.A. Aplicaciones biomédicas del titanio y sus aleaciones. Soc. Ibérica Biomecánica Biomater. 1993, 1, 34–42. [Google Scholar] [CrossRef]
- Li, M.; Zheng, M.; Zhu, Y.; Xia, H.; Yao, M.; Chu, X.; Wang, X.; Yang, K. Toward a Molecular Understanding of the Antibacterial Mechanism of Copper-Bearing Titanium Alloys against Staphylococcus aureus. Adv. Health Mater. 2016, 5, 557–566. [Google Scholar] [CrossRef]
- Yan, Y.; Nash, G.L.; Nash, P. Effect of density and pore morphology on fatigue properties of sintered Ti-6Al-4V. Int. J. Fatigue 2013, 55, 81–91. [Google Scholar] [CrossRef]
- Hassanien, A.S.; Khatoon, U.T. Synthesis and characterization of stable silver nanoparticles, Ag-NPs: Discussion on the applications of Ag-NPs as antimicrobial agents. Phys. B Condens. Matter 2019, 554, 21–30. [Google Scholar] [CrossRef]
- Liao, K.H.; Ou, K.L.; Cheng, H.C.; Lin, C.T.; Peng, P.W. Effect of silver on antibacterial properties of stainless steel. Appl. Surf. Sci. 2010, 256, 3642–3646. [Google Scholar] [CrossRef]
- Melaiye, A.; Youngs, W.J. Silver and its application as an antimicrobial agent. Expert Opin. Ther. Pat. 2005, 15, 125–130. [Google Scholar] [CrossRef]
- Chernousova, S.; Epple, M. Silver as antibacterial agent: Ion, nanoparticle, and metal. Angew. Chem.-Int. Ed. 2013, 52, 1636–1653. [Google Scholar] [CrossRef] [PubMed]
- Chen, M.; Zhang, E.; Zhang, L. Microstructure, mechanical properties, bio-corrosion properties and antibacterial properties of Ti-Ag sintered alloys. Mater. Sci. Eng. 2016, 62, 350–360. [Google Scholar] [CrossRef]
- Cho, K.H.; Park, J.E.; Osaka, T.; Park, S.G. The study of antimicrobial activity and preservative effects of nanosilver ingredient. Electrochim. Acta 2005, 51, 956–960. [Google Scholar] [CrossRef]
- Cantero, S.M.; Oldani, C.R.; Lucci, R.O. Desarrollo de Estructuras Porosas de Titanio para Implantes Biomédicos Obtenidas por Gel-casting y Sinterización. AJEA 2019, 04, 25–31. [Google Scholar] [CrossRef]
- Holmes, J.; Queeney, R.A. Fatigue crack initiation in a porous steel. Powder Metall. 1985, 28, 231–235. [Google Scholar] [CrossRef]
- Sha, J.; Lu, Z.; Sha, R.; Zu, Y.; Dai, J.; Xian, Y.; Zhang, W.; Cui, D.; Ya, C. Improved wettability and mechanical properties of metal coated carbon fiber-reinforced aluminum matrix composites by squeeze melt infiltration technique. Trans. Nonferrous Met. Soc. China 2021, 31, 317–330. [Google Scholar] [CrossRef]
- Lee, K.B.; Kim, Y.S.; Kwon, H. Fabrication of Al-3 Wt pct Mg matrix composites reinforced with Al2O3 and SiC particulates by the pressureless infiltration technique. Met. Mater. Trans. A 1998, 29, 3087–3095. [Google Scholar] [CrossRef]
- Hwang, W.; Redner, S. Infiltration through porous media. Phys. Rev. E 2001, 63, 021508. [Google Scholar] [CrossRef]
- Sobczak, N.; Singh, M.; Asthana, R. High-temperature wettability measurements in metal/ceramic systems—Some methodological issues. Curr. Opin. Solid State Mater. Sci. 2005, 9, 241–253. [Google Scholar] [CrossRef]
- Kumar, N.D.; Rajasekharan, T.; Seshubai, V. YBCO/Ag composites through a preform optimized infiltration and growth process yield high current densities. Supercond. Sci. Technol. 2011, 24, 085005. [Google Scholar] [CrossRef]
- Arivazhagan, A.; Venugopal, P.R.; Mohammad, A.; Ravi, K.R. Influence of magnesium infiltration on compressive behavior of additively manufactured porous Ti6Al4V structure. J. Test. Eval. 2022, 49, 4326–4343. [Google Scholar] [CrossRef]
- Olmos, L.; Bouvard, D.; Cabezas-Villa, J.L.; Lemus-Ruiz, J.; Jiménez, O.; Arteaga, D. Analysis of Compression and Permeability Behavior of Porous Ti6Al4V by Computed Microtomography. Met. Mater. Int. 2019, 25, 669–682. [Google Scholar] [CrossRef]
- Solorio, V.M.; Vergara-Hernández, H.J.; Olmos, L.; Bouvard, D.; Chávez, J.; Jimenez, O.; Camacho, N. Effect of the Ag addition on the compressibility, sintering and properties of Ti6Al4V/xAg composites processed by powder metallurgy. J. Alloys Compd. 2022, 890, 161813. [Google Scholar] [CrossRef]
- Nagase, T.; Matsumoto, M.; Fujii, Y. Microstructure of Ti-Ag immiscible alloys with liquid phase separation. J. Alloys Compd. 2018, 738, 440–447. [Google Scholar] [CrossRef]
- Nagase, T. Alloy Design, Thermodynamics, and Electron Microscopy of Ternary Ti-Ag-Nb Alloy with Liquid Phase Separation. Materials 2020, 13, 5268. [Google Scholar] [CrossRef] [PubMed]
- Brodersen, C.R.; Lee, E.F.; Choat, B.; Jansen, S.; Phillips, R.J.; Shackel, K.A.; Mcelrone, A.J.; Matthews, M.A. Automated analysis of three-dimensional xylem networks using high-resolution computed tomography. New Phytol. 2011, 191, 1168–1179. [Google Scholar] [CrossRef] [PubMed]
- Assael, M.J.; Kalyva, A.E.; Antoniadis, K.D.; Banish, R.M.; Egry, I.; Wu, J.; Kaschnitz, E.; Wakeham, W.A. Reference data for the density and viscosity of liquid antimony, bismuth, lead, nickel and silver. High Temp.-High Press. 2012, 41, 161–184. [Google Scholar]
- Cabezas-Villa, J.L.; Lemus-Ruiz, J.; Bouvard, D.; Jiménez, O.; Vergara-Hernández, H.J.; Olmos, L. Sintering study of Ti6Al4V powders with different particle sizes and their mechanical properties. Int. J. Miner. Metall. Mater. 2018, 25, 1389–1401. [Google Scholar] [CrossRef]
- Esen, Z.; Tarhan-Bor, E.; Bor, Ş. Characterization of loose powder sintered porous titanium and TI6Al4V alloy. Turk. J. Eng. Environ. Sci. 2009, 33, 207–219. [Google Scholar] [CrossRef]
- Li, Q.; Liu, D.; Cai, Y.; Zhao, B.; Qiu, Y.; Zhou, Y. Scale-span pore structure heterogeneity of high volatile bituminous coal and anthracite by FIB-SEM and X-ray μ-CT. J. Nat. Gas Sci. Eng. 2020, 81, 103443. [Google Scholar] [CrossRef]
- Lawrence, M.; Jiang, Y. Porosity, pore size distribution, micro-structure. In Bio-Aggregates Based Building Materials; RILEM State-of-the-Art Reports; Springer: Dordrecht, The Netherlands, 2017; Volume 23, pp. 39–71. [Google Scholar] [CrossRef]
- Lame, O.; Bellet, D.; Di, M.; Bouvard, D.M. In situ microtomography investigation of metal powder compacts during sintering. Nucl. Instrum. Methods Phys. Res. 2003, 200, 287–294. [Google Scholar] [CrossRef]
- Razavi-Tousi, S.S.; Yazdani-Rad, R.; Manafi, S.A. Effect of volume fraction and particle size of alumina reinforcement on compaction and densification behavior of Al-Al2O3 nanocomposites. Mater. Sci. Eng. A 2011, 528, 1105–1110. [Google Scholar] [CrossRef]
- Zhang, L.; Wenlong, J.; Yongfei, Y.; Hainan, Y.; Yaohao, G.; Hai, S.; Jianlin, Z.; Jun, Y. The investigation of permeability calculation using digital core simulation technology. Energies 2019, 12, 3273. [Google Scholar] [CrossRef]
- Watanabe, N.; Hirano, N.; Tsuchiya, N. Determination of aperture structure and fluid flow in a rock fracture by high-resolution numerical modeling on the basis of a flow-through experiment under confining pressure. Water Resour Res. 2008, 44, W06412. [Google Scholar] [CrossRef]
- Li, H.; Liu, Y.; Colombo, P.; Li, W.; Liu, Y.; Hu, K.; Lu, Z. The influence of sintering procedure and porosity on the properties of 3D printed alumina ceramic cores. Ceram Int. 2021, 47, 27668–27676. [Google Scholar] [CrossRef]
- Kuentzer, N.; Simacek, P.; Advani, S.G.; Walsh, S. Permeability characterization of dual scale fibrous porous media. Compos. Part A Appl. Sci. Manuf. 2006, 37, 2057–2068. [Google Scholar] [CrossRef]
- Li, Y.; Chi, Y.; Han, S.; Zhao, C.; Miao, Y. Pore-throat structure characterization of carbon fiber reinforced resin matrix composites: Employing Micro-CT and Avizo technique. PLoS ONE 2021, 16, e0257640. [Google Scholar] [CrossRef]
- De-Oro-Calderon, R.; Gierl-Mayer, C.; Danninger, H. Fundamentals of Sintering: Liquid Phase Sintering. In Encyclopedia of Materials: Metals and Alloys; Elsevier: Amsterdam, The Netherlands, 2022; Volume 3, pp. 481–492. [Google Scholar] [CrossRef]
- Ghanbarian, B.; Hunt, A.G.; Ewing, R.P.; Sahimi, M. Tortuosity in Porous Media: A Critical Review. Soil Sci. Soc. Am. J. 2013, 77, 1461–1477. [Google Scholar] [CrossRef]
- Fu, S.; Zhang, Y.; Qin, G.; Zhang, E. Antibacterial effect of Ti-Ag alloy motivated by Ag-containing phases. Mater. Sci. Eng. C 2021, 128, 112266. [Google Scholar] [CrossRef]
- Shi, A.; Zhu, C.; Fu, S.; Wang, R.; Qin, G.; Chen, D.; Zhang, E. What controls the antibacterial activity of Ti-Ag alloy, Ag ion or Ti2Ag particles? Mater. Sci. Eng. C 2020, 109, 110548. [Google Scholar] [CrossRef]
- Marambio-Jones, C.; Hoek, E.M. A review of the antibacterial effects of silver nanomaterials and potential implications for human health and the environment. J. Nanopart. Res. 2010, 12, 1531–1551. [Google Scholar] [CrossRef]
- Li, M.; Nan, L.; Xu, D.; Ren, G.; Yang, K. Antibacterial performance of a Cu-bearing stainless steel against microorganisms in tap water. J. Mater. Sci. Technol. 2015, 31, 243–251. [Google Scholar] [CrossRef]
- Chen, M.; Yang, L.; Zhang, L.; Han, Y.; Lu, Z.; Qin, G.; Zhang, E. Effect of nano/micro-Ag compound particles on the bio-corrosion, antibacterial properties and cell biocompatibility of Ti-Ag alloys. Mater. Sci. Eng. C 2017, 75, 906–917. [Google Scholar] [CrossRef]
- Cai, D.; Yu, Z.; Yang, L.; Nie, J.J.; Wang, R.; Chen, D.; Zhang, E. Effect of Ag content on the microstructure and antibacterial activity of biomedical titanium alloy Ti-13Nb-13Zr-xAg (x = 7,10 wt%). Mater. Lett. 2024, 354, 135389. [Google Scholar] [CrossRef]
- Svobodat, J.; Riedel, H. New solutions describing the formation of interparticle necks in solid-state sintering. Acta Met. Mater. 1995, 43, 1–10. [Google Scholar] [CrossRef]
- Reilly, D.T.; Burstein, A.H.; Frankel, V.H. The Elastic Modulus for Bone. J. Biomech. 1974, 7, 271–275. [Google Scholar] [CrossRef] [PubMed]
- Güden, M.; Çelik, E.; Hizal, A.; Altindiş, M.; Çetiner, S. Effects of compaction pressure and particle shape on the porosity and compression mechanical properties of sintered Ti6Al4V powder compacts for hard tissue implantation. J. Biomed. Mater. Res. B Appl. Biomater. 2008, 85, 547–555. [Google Scholar] [CrossRef] [PubMed]















| Sample | Vol. fraction of Ti6AlV (%) | Vol. Fraction of Pores (%) | Vol. Fraction of Ag (%) | Fraction of Pores Filled with Ag (%) |
|---|---|---|---|---|
| Before infiltration | ||||
| 20–45 μm | 82.59 | 17.41 | -- | -- |
| 45–75 μm | 78.71 | 21.29 | -- | -- |
| 75–106 μm | 70.38 | 29.62 | -- | -- |
| After infiltration | ||||
| 20–45 μm | 82.59 | 1.69 | 15.60 | 89.6 |
| 45–75 μm | 78.71 | 1.24 | 20.04 | 94.13 |
| 75–106 μm | 70.38 | 1.70 | 27.91 | 94.23 |
| Particle Size (μm) | d10 (μm) | d50 (μm) | d90 (μm) | Span |
|---|---|---|---|---|
| 20–45 | 9.4920 | 22.6984 | 44.5297 | 1.5436 |
| 45–75 | 16.4927 | 36.6467 | 56.7814 | 1.0993 |
| 75–106 | 13.5212 | 33.8838 | 87.8704 | 2.1942 |
| Particle Size (µm) | Segments | Nodes |
|---|---|---|
| 20–45 | 16,306 | 11,643 |
| 45–75 | 18,706 | 21,565 |
| 75–106 | 21,889 | 37,577 |
| Particle Size (μm) | Yield Stress σy (MPa) | Young’s Modulus E (GPa) |
|---|---|---|
| 20–45 | 504 | 38 |
| 45–75 | 463 | 30 |
| 75–106 | 403 | 23 |
Disclaimer/Publisher’s Note: The statements, opinions and data contained in all publications are solely those of the individual author(s) and contributor(s) and not of MDPI and/or the editor(s). MDPI and/or the editor(s) disclaim responsibility for any injury to people or property resulting from any ideas, methods, instructions or products referred to in the content. |
© 2025 by the authors. Licensee MDPI, Basel, Switzerland. This article is an open access article distributed under the terms and conditions of the Creative Commons Attribution (CC BY) license (https://creativecommons.org/licenses/by/4.0/).
Share and Cite
Villa-Tapia, J.I.; Vergara-Hernández, H.J.; Olmos, L.; Arteaga, D.; Téllez-Martínez, J.S.; Solorio-García, V.M.; Mihalcea, E. Investigation of Pore Size Effect on the Infiltration Process of Ti6Al4V/xAg Metal Matrix Composites. Materials 2025, 18, 939. https://doi.org/10.3390/ma18050939
Villa-Tapia JI, Vergara-Hernández HJ, Olmos L, Arteaga D, Téllez-Martínez JS, Solorio-García VM, Mihalcea E. Investigation of Pore Size Effect on the Infiltration Process of Ti6Al4V/xAg Metal Matrix Composites. Materials. 2025; 18(5):939. https://doi.org/10.3390/ma18050939
Chicago/Turabian StyleVilla-Tapia, Juan Israel, Héctor Javier Vergara-Hernández, Luis Olmos, Dante Arteaga, Jorge Sergio Téllez-Martínez, Víctor Manuel Solorio-García, and Elena Mihalcea. 2025. "Investigation of Pore Size Effect on the Infiltration Process of Ti6Al4V/xAg Metal Matrix Composites" Materials 18, no. 5: 939. https://doi.org/10.3390/ma18050939
APA StyleVilla-Tapia, J. I., Vergara-Hernández, H. J., Olmos, L., Arteaga, D., Téllez-Martínez, J. S., Solorio-García, V. M., & Mihalcea, E. (2025). Investigation of Pore Size Effect on the Infiltration Process of Ti6Al4V/xAg Metal Matrix Composites. Materials, 18(5), 939. https://doi.org/10.3390/ma18050939

