Anomalous Diffusion and Decay of Clusters of Dopants in Lanthanide-Doped Nanocrystals
Abstract
1. Introduction
2. Materials and Methods
2.1. Model and Simulation Algorithm
2.2. Characterization of the Displacement of the Dopant
3. Results
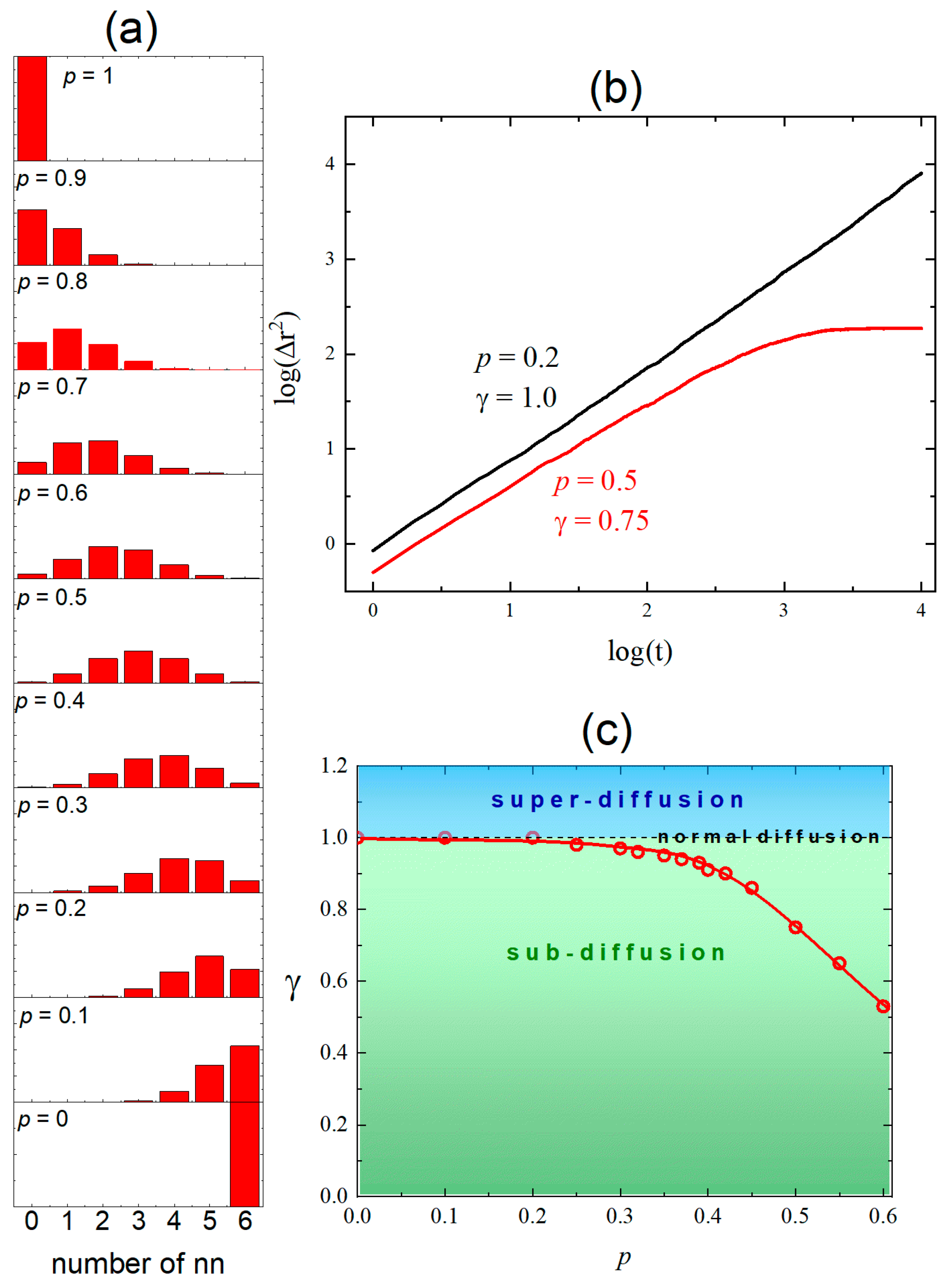
3.1. Characterization of Anomalous Diffusion of Dopant Atoms
3.2. MC Dynamics of Dopant Atoms and Energy Migration in Core–Shell Nanocrystal
3.2.1. Average Distance Between the Dopants
3.2.2. Clustering of Dopants and Energy Migration
3.2.3. Two Types of Dopant Ions
4. Discussion and Conclusions
Author Contributions
Funding
Institutional Review Board Statement
Informed Consent Statement
Data Availability Statement
Conflicts of Interest
References
- Zheng, B.; Wang, H.; Pan, H.; Liang, C.; Ji, W.; Zhao, L.; Chen, H.; Gong, X.; Wu, X.; Chang, J. Near-Infrared Light Triggered Upconversion Optogenetic Nanosystem for Cancer Therapy. ACS Nano 2017, 11, 11898. [Google Scholar] [CrossRef]
- Qian, H.-S.; Zhang, Y. Synthesis of Hexagonal-Phase Core-Shell NaYF4 Nanocrystals with Tunable Upconversion Fluorescence. Langmuir 2008, 24, 12123. [Google Scholar] [CrossRef]
- Vetrone, F.; Naccache, R.; Mahalingam, V.; Morgan, C.G.; Capobianco, J.A. The Active-Core/Active-Shell Approach: A Strategy to Enhance the Upconversion Luminescence in Lanthanide-Doped Nanoparticles. Adv. Funct. Mater. 2009, 19, 2924. [Google Scholar] [CrossRef]
- Johnson, N.J.J.; He, S.; Diao, S.; Chan, E.M.; Dai, H.; Almutairi, A. Direct Evidence for Coupled Surface and Concentration Quenching Dynamics in Lanthanide Doped Nanocrystals. J. Am. Chem. Soc. 2017, 139, 3275. [Google Scholar] [CrossRef]
- Chan, E.M.; Levy, E.S.; Cohen, B.E. Rationally Designed Energy Transfer in Upconverting Nanoparticles. Adv. Mater. 2015, 27, 5753. [Google Scholar] [CrossRef] [PubMed]
- Chan, E.M.; Gargas, D.J.; Schuck, P.J.; Milliron, F.J. Concentrating and recycling energy in lanthanide codo pants for efficient and spectrally pure emission: The case of NaYF4:Er3+/Tm3+ upconverting nanocrystals. J. Phys. Chem. B 2012, 116, 10561. [Google Scholar] [CrossRef] [PubMed]
- Quintanilla, M.; Ren, F.; Ma, D.; Vetrone, F. Light management in upconverting nanoparticles: Ultrasmall core/shell architectures to tune the emission color. ACS Photonics 2014, 1, 662. [Google Scholar] [CrossRef]
- Wei, W.; Zhang, Y.; Chen, R.; Goggi, J.; Ren, N.; Huang, L.; Bhakoo, K.K.; Sun, H.; Tan, Y. Cross relaxation induced pure red upconversion in activator-and sensitizer-rich lanthanide nanoparticles. Chem. Mater. 2014, 26, 5183. [Google Scholar] [CrossRef]
- Podhorodecki, A.; Krajnik, B.V.; Golacki, L.W.; Kostiv, U.; Pawlik, G.; Kaczmarek, M.; Horák, D. Percolation limited emission intensity from upconverting NaYF4:Yb3+, Er3+ nanocrystals—A single nanocrystal optical study. Nanoscale 2018, 10, 21186. [Google Scholar] [CrossRef] [PubMed]
- Karvianto; Chow, G.M. The effects of surface and surface coatings on fluorescence properties of hollow NaYF4:Yb,Er upconversion nanoparticles. J. Mater. Res. 2011, 26, 70. [Google Scholar] [CrossRef]
- Podhorodecki, A.; Banski, M.; Noculak, A.; Sojka, B.; Pawlik, G.; Misiewicz, J. On the nature of carrier relaxation and ion-ion interactions in ultrasmall ß-NaYF4:Eu3+ nanocrystals—Effect of the surface. Nanoscale 2013, 5, 429. [Google Scholar] [CrossRef]
- Pawlik, G.; Niczyj, J.; Noculak, A.; Radosz, W.; Podhorodecki, A. Multiband Monte Carlo modeling of upconversion emission in sub 10 nm β-NaGdF4:Yb3+, Er3+ nanocrystals—Effect of Yb3+ content. J. Chem. Phys. 2017, 146, 244111. [Google Scholar] [CrossRef] [PubMed]
- Wu, S.; Han, G.; Milliron, D.J.; Aloni, S.; Altoe, V.; Talapin, D.V.; Cohen, B.E.; Schuck, P.J. Non-blinking and photostable upconverted luminescence from single lanthanide-doped nanocrystals. Proc. Natl. Acad. Sci. USA 2009, 106, 10917. [Google Scholar] [CrossRef] [PubMed]
- Pandey, K.C. Diffusion without Vacancies or Interstitials: A New Concerted Exchange Mechanism. Phys. Rev. Lett. 1986, 57, 2287. [Google Scholar] [CrossRef] [PubMed]
- Tang, X.-P.; Geyer, U.; Busch, R.; Johnson, W.L.; Wu, Y. Diffusion mechanisms in metallic supercooled liquids and Glasses. Nature 1999, 402, 160. [Google Scholar] [CrossRef]
- Vineyard, G.H. Frequency factors and isotope effects in solid state rate processes. J. Phys. Chem. Solid. 1957, 3, 121. [Google Scholar] [CrossRef]
- Pawlik, G.; Mitus, A.C. Complex Monte Carlo Light-Driven Dynamics of Monomers in Functionalized Bond Fluctuation Model Polymer Chains. Materials 2023, 16, 4373. [Google Scholar] [CrossRef] [PubMed]
- Calin, O. An Informal Introduction to Stochastic Calculus with Applications; World Scientific Publishing: Singapore, 2015. [Google Scholar]
- Saxton, M.J. Anomalous Diffusion Due to Obstacles: A Monte Carlo Study. Biophys. J. 1994, 66, 394. [Google Scholar] [CrossRef]
- Metzler, R.; Klafter, J. Boundary value problems for fractional diffusion equations. Physica A 2000, 278, 107. [Google Scholar] [CrossRef]
- Gorenflo, G.; Mainardi, F.; Moretti, D.; Pagnini, G.; Paradisi, P. Fractional diffusion: Probability distributions and random walk models. Physica A 2002, 305, 106. [Google Scholar] [CrossRef]
- Wittmann, H.P.; Kremer, K.; Binder, K. Glass transition of polymer melts: A two-dimensional Monte Carlo study in the framework of the bond fluctuation method. J. Chem. Phys. 1992, 96, 6291. [Google Scholar] [CrossRef]
- Förster, T. Experimentelle und theoretische Untersuchung des zwischenmolekularen Übergangs von Elektronenanregungsenergie. Z. Naturforsch. A 1949, 4, 321. [Google Scholar] [CrossRef]
- Stauffer, D.; Aharony, A. Introduction to Percolation Theory; Taylor & Francis: London, UK, 1992. [Google Scholar]
- Pawlik, G.; Miniewicz, A.; Sobolewska, A.; Mitus, A.C. Generic stochastic Monte Carlo model of the photoinduced mass transport in azo-polymers and fine structure of Surface Relief Gratings. Europhys. Lett. 2014, 105, 26002. [Google Scholar] [CrossRef]













| Disclaimer/Publisher’s Note: The statements, opinions and data contained in all publications are solely those of the individual author(s) and contributor(s) and not of MDPI and/or the editor(s). MDPI and/or the editor(s) disclaim responsibility for any injury to people or property resulting from any ideas, methods, instructions or products referred to in the content. | 
© 2025 by the authors. Licensee MDPI, Basel, Switzerland. This article is an open access article distributed under the terms and conditions of the Creative Commons Attribution (CC BY) license (https://creativecommons.org/licenses/by/4.0/).
Share and Cite
Pawlik, G.; Mitus, A.C. Anomalous Diffusion and Decay of Clusters of Dopants in Lanthanide-Doped Nanocrystals. Materials 2025, 18, 815. https://doi.org/10.3390/ma18040815
Pawlik G, Mitus AC. Anomalous Diffusion and Decay of Clusters of Dopants in Lanthanide-Doped Nanocrystals. Materials. 2025; 18(4):815. https://doi.org/10.3390/ma18040815
Chicago/Turabian StylePawlik, Grzegorz, and Antoni C. Mitus. 2025. "Anomalous Diffusion and Decay of Clusters of Dopants in Lanthanide-Doped Nanocrystals" Materials 18, no. 4: 815. https://doi.org/10.3390/ma18040815
APA StylePawlik, G., & Mitus, A. C. (2025). Anomalous Diffusion and Decay of Clusters of Dopants in Lanthanide-Doped Nanocrystals. Materials, 18(4), 815. https://doi.org/10.3390/ma18040815
 
        


