Manganese Volatilization and Its Influence on Low-Pressure Carburizing Process Effects
Abstract
1. Introduction
2. Materials and Methods
2.1. Materials
2.2. Glow Discharge Optical Emission Spectroscopy Analysis
2.3. Microstructure and Hardness Assessment
2.4. Residual Stress and Retained Austenite Content Measurements by XRD
2.5. Geometry Changes Assessment
- Thickness of teeth;
- Bore diameter distortion;
- Outer radial run-out at the pitch diameter.
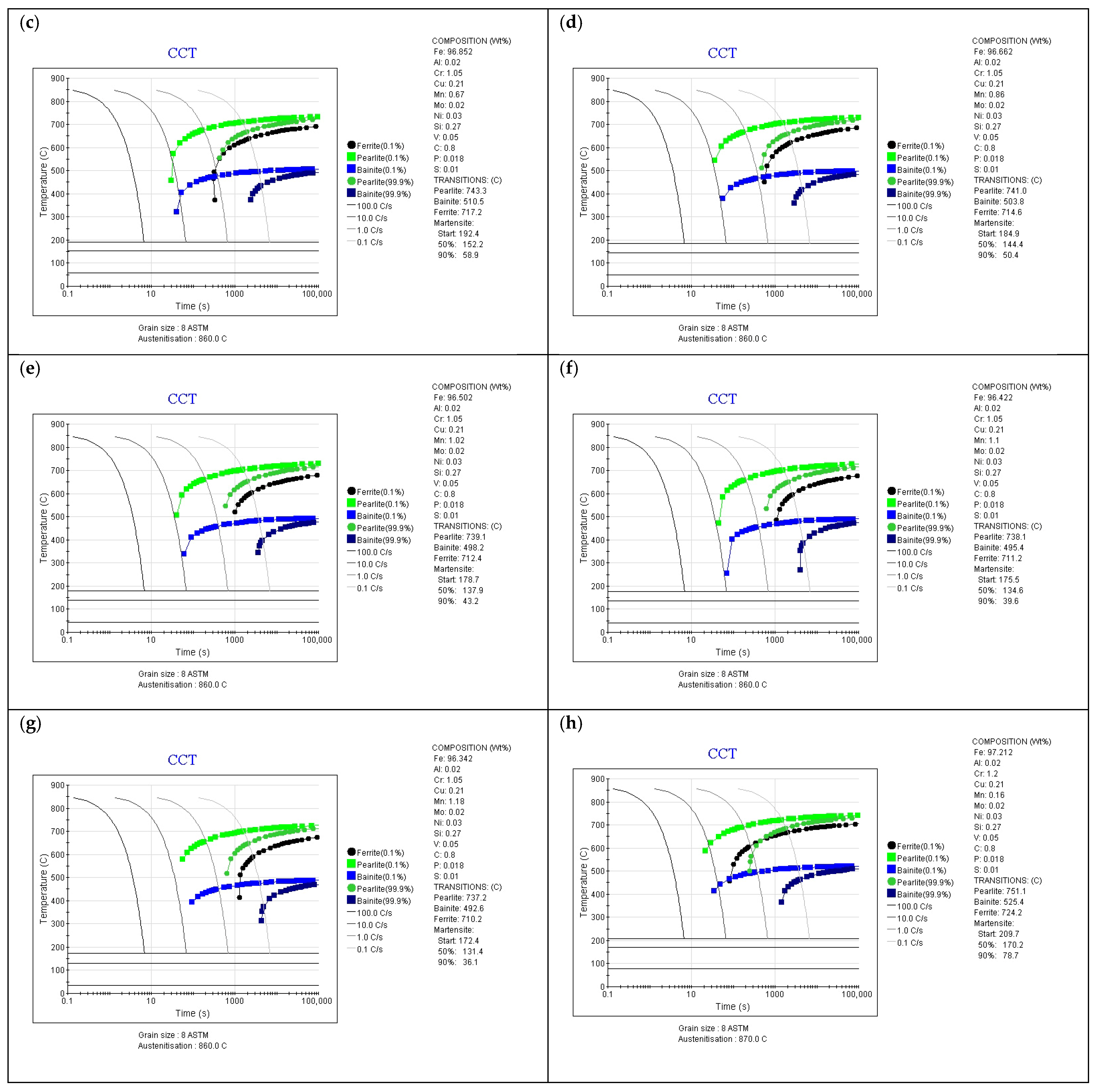
3. Results and Discussion
3.1. Chemical Composition
3.2. Hardness Profile Analysis
3.3. Dimensional Change Results
4. Conclusions
- ∘
- This phenomenon increases with holding time at carburizing temperature, and the intensity of this phenomenon can be limited by using step carburizing.
- ∘
- Changes in manganese concentration affect the critical cooling rate value and Ms and Mf temperatures, which in turn translate into retained austenite content, stresses, and hardness across the layer section.
- ∘
- Changes in chemical composition and their implications in phase transformation and stress studies constitute justification for the occurring geometric changes. The SC0.7 process shows the smallest geometric changes, where the smallest changes in chemical composition after the process were also observed. In relation to the process carried out at constant temperature, these changes are not very large, except for deformations concerning outer radial runout.
- ∘
- The influence of manganese concentration changes is most visible in the analysis of dimensional changes for tooth thickness and mounting hole diameter. Here, these changes can be seen to follow changes in manganese concentration.
Author Contributions
Funding
Institutional Review Board Statement
Informed Consent Statement
Data Availability Statement
Conflicts of Interest
Abbreviations
| SC | step carburizing |
| CTC | constant time carburizing |
| GDOES | glow discharge optical emission spectroscopy |
| QDP | quantitative depth profiling |
| XRD | X-ray diffraction |
| CCT | continuous cooling transformation |
| HV | Vickers hardness |
| Carb. Time | carburizing time |
| Diff. time | diffusion time |
References
- Altena, H.; Schrank, F. Low pressure carburizing with high pressure gas quenching in batch type furnaces and continuous plants. In VDI Berichte; VDI Verlag GMBH: Duesseldorf, Germany, 2002. [Google Scholar]
- Gräfen, W.; Hornung, M.; Irretier, O.; Rink, M. Applications of low-pressure carburizing with high temperatures (1000 °C to 1050 °C) in industrial practice. HTM-Hart.-Tech. Mitt. 2007, 62, 97–102. [Google Scholar] [CrossRef]
- Gräfen, W.; Edenhofer, B. New developments in thermo-chemical diffusion processes. Surf. Coat. Technol. 2005, 200, 1830–1836. [Google Scholar] [CrossRef]
- Grafen, W.; Edenhofer, B. Acetylene low-pressure carburizing—A novel and superior carburizing technology. Heat Treat. Met. 1999, 26, 79–83. [Google Scholar]
- Heintzberger, P.J. Influence of the Temperature of Vacuum Carburizing on the Thickness of the Carburized Layer and Properties of Steel Parts. Met. Sci. Heat Treat. 2020, 62, 279–284. [Google Scholar] [CrossRef]
- Hoang, A.T.; Nguyen, X.P.; Khalaf, O.I.; Tran, T.X.; Chau, M.Q.; Dong, T.M.H.; Nguyen, D.N. Thermodynamic simulation on the change in phase for carburizing process. Comput. Mater. Contin. 2021, 68, 1129–1145. [Google Scholar] [CrossRef]
- Wang, H.; Liu, J.; Tian, Y.; Wang, Z.; An, X. Mathematical Modeling of Carbon Flux Parameters for Low-Pressure Vacuum Carburizing with Medium-High Alloy Steel. Coatings 2020, 10, 1075. [Google Scholar] [CrossRef]
- Yada, K.; Watanabe, O. Reactive flow simulation of vacuum carburizing by acetylene gas. Comput. Fluids 2013, 79, 65–76. [Google Scholar] [CrossRef]
- Zajusz, M.; Tkacz-Śmiech, K.; Danielewski, M. Modeling of vacuum pulse carburizing of steel. Surf. Coat. Technol. 2014, 258, 646–651. [Google Scholar] [CrossRef]
- Wells, C.; Batz, W.; Mehl, R.F. Diffusion coefficient of carbon in austenite. JOM 1950, 2, 553–560. [Google Scholar] [CrossRef]
- Tibbetts, G.G. Diffusivity of carbon in iron and steels at high temperatures. J. Appl. Phys. 1980, 51, 4813–4816. [Google Scholar] [CrossRef]
- Blanter, M.S.; Magalas, L.B. Carbon-substitutional interaction in austenite. Scr. Mater. 2000, 43, 435–440. [Google Scholar] [CrossRef]
- Babu, S.S.; Bhadeshia, H.K.D.H. Diffusion of carbon in substitutionally alloyed austenite. J. Mater. Sci. Lett. 1995, 14, 314–316. [Google Scholar] [CrossRef]
- Clausen, B.; Hoffmann, E.; Zoch, H.W. Beeinflussung der Randschicht Durch die Einsatzhärtung. HTM-J. Heat Treat. Mater. 2008, 63, 326–336. [Google Scholar] [CrossRef]
- Honig, R.E.; Kramer, D.A. Vapor Pressure Data for the Solid and Liquid Elements; RCA Laboratories, David Sarnoff Research Center: Princeton, NJ, USA, 1969. [Google Scholar]
- Zhu, Z.; Yang, D.; Tang, S.; Liu, D.; Yi, H. Effect of temperature and Mn addition on the carbon vacancy concentration of vanadium carbides precipitated in austenite of steels. Mater. Charact. 2025, 219, 114604. [Google Scholar] [CrossRef]
- Pierce, E.; Carmona, F.J.; Amirfazli, A. Understanding of sliding and contact angle results in tilted plate experiments. Colloids Surf. A Physicochem. Eng. Asp. 2008, 323, 73–82. [Google Scholar] [CrossRef]
- Foo, E.-H.; Lupis, C.H.P. Activity of carbon in liquid iron alloys at 1550 °C. Metall. Trans. 1972, 3, 2125–2213. [Google Scholar] [CrossRef]
- Huang, W. An assessment of the Fe-Mn system. Calphad 1989, 13, 243–252. [Google Scholar] [CrossRef]
- Král, L.; Million, B.; Čermák, J. Diffusion of Carbon and Manganese in Fe-C-Mn. Defect Diffus. Forum 2007, 263, 153–158. [Google Scholar] [CrossRef]
- Lei, J.; Fu, Y.; Xiong, L. Study on Mn Volatilization Behavior During Vacuum Melting of High-manganese Steel. Arch. Foundry Eng. 2024, 24, 110–116. [Google Scholar] [CrossRef]
- Reger, M.; Vero, B.; Felde, I.; Kardos, I. The effect of heat treatment on the stability of centerline segregation. Stroj. Vestnik/J. Mech. Eng. 2010, 56, 143–149. [Google Scholar]
- Rowan, O.K.; Sisson, R.D. Effect of Alloy Composition on Carburizing Performance of Steel. J. Phase Equilibria Diffus. 2009, 30, 235–241. [Google Scholar] [CrossRef]
- Oda, K.; Fujimura, H.; Ino, H. Local interactions in carbon-carbon and carbon-M (M: Al, Mn, Ni) atomic pairs in FCC gamma -iron. J. Phys. Condens. Matter 1994, 6, 679–692. [Google Scholar] [CrossRef]
- Kula, P.; Olejnik, J.; Heilman, P. Hydrocarbon Gas Mixture for the Under-Pressure Carburizing of Steel. US7513958B2, 7 April 2009. [Google Scholar]
- Atraszkiewicz, R.P.; Dybowski, K. Minimizing Deformations in High-Temperature Vacuum Carburizing. Materials 2023, 16, 7630. [Google Scholar] [CrossRef]
- ASTM E975-22; Standard Test Method for X-Ray Determination of Retained Austenite in Steel with Near Random Crystallographic Orientation. ASTM International: West Conshohocken, PA, USA, 2023.
- Pierce, D.T.; Jiménez, J.A.; Bentley, J.; Raabe, D.; Oskay, C.; Wittig, J.E. The influence of manganese content on the stacking fault and austenite/ε-martensite interfacial energies in Fe-Mn-(Al-Si) steels investigated by experiment and theory. Acta Mater. 2014, 68, 238–253. [Google Scholar] [CrossRef]
- Danninger, H.; Gierl-Mayer, C.; Prokofyev, M.; Huemer, M.C.; de Oro Calderon, R.; Hellein, R.; Müller, A.; Stetina, G. Manganese–a promising element also in high alloy sintered steels. Powder Metall. 2021, 64, 115–125. [Google Scholar] [CrossRef]
- Najafian, N.; Moloodi, A.; Karimi, E.Z. Applying Thermo-Reactive Diffusion Method to Surface Coating of H13 Tool Steel Using Ferrovanadium, Ferrochromium, and Misch Metal. J. Mater. Sci. Res. 2022, 11, 23–32. [Google Scholar] [CrossRef]
- Belova, I.V.; Murch, G.E. Analysis of carbon diffusion in austenite revisited. Philos. Mag. 2005, 85, 4515–4523. [Google Scholar] [CrossRef]
- Siller, R.H.; McLellan, R.B. The application of first order mixing statistics to the variation of the diffusivity of carbon in austenite. Metall. Trans. 1970, 1, 985–988. [Google Scholar] [CrossRef]
- Bhadeshia, H.K.D.H. Diffusion of carbon in austenite. Met. Sci. 1981, 15, 477–480. [Google Scholar] [CrossRef]
- Lee, S.J.; Matlock, D.K.; Van Tyne, C.J. An empirical model for carbon diffusion in austenite incorporating alloying element effects. ISIJ Int. 2011, 51, 1903–1911. [Google Scholar] [CrossRef]
- Saunders, N.; Guo, Z.; Li, X.; Miodownik, A.P.; Schillé, J.-P. The Calculation of TTT and CCT Diagrams for General Steels. 2004. Available online: https://www.researchgate.net/publication/242271477_The_Calculation_of_TTT_and_CCT_diagrams_for_General_Steels (accessed on 4 November 2025).
- ASTM E112-25; Standard Test Methods for Determining Average Grain Size. ASTM International: West Conshohocken, PA, USA, 2025.
- Doane, D.V.; Kirkaldy, J.S. Hardenability Concepts with Applications to Steel: Proceedings of a Symposium Held at the Sheraton-Chicago Hotel, 24–26 October 1977; Metallurgical Society of AIME: Pittsburgh, PA, USA, 1978; ISBN 9780895201416. [Google Scholar]
- Institute of Metals, University of Manchester. The Mechanism of Phase Transformations in Crystalline Solids: Proceedings; Monograph and report series; Institute of Metals: London, UK, 1969. [Google Scholar]
- Andrews, K.W. Empirical formulae for the calculation of some transformation temperatures. J. Iron Steel Inst. 1965, 203, 721–727. [Google Scholar]
- Kula, P.; Dybowski, K.; Lipa, S.; Januszewicz, B.; Pietrasik, R.; Atraszkiewicz, R.; Wołowiec, E. Effect of the Content of Retained Austenite and Grain Size on the Fatigue Bending Strength of Steels Carburized in a Low-Pressure Atmosphere. Met. Sci. Heat Treat. 2014, 56, 440–443. [Google Scholar] [CrossRef]












| C | Mn | Si | P | S | Cr | Ni | Mo | V | Cu | Al | Fe | |
|---|---|---|---|---|---|---|---|---|---|---|---|---|
| wt.% | 0.16 | 1.3 | 0.23 | 0.019 | 0.009 | 1.05 | 0.1 | 0.02 | 0.00 | 0.2 | 0.028 | 96.88 |
| SC0.7 | CTC0.7 | SC1.0 | CTC1.0 | |
|---|---|---|---|---|
| Carb. time 850 °C [min] | 2 | 0 | 2 | 0 |
| Carb. time 900 °C [min] | 1 | 0 | 1 | 0 |
| Carb. time 950 °C [min] | 1 | 0 | 1 | 0 |
| Carb. time 1000 °C [min] | 7 | 9.5 | 16 | 16 |
| Diff. time 1000 °C [min] | 40 | 54 | 137 | 151 |
Disclaimer/Publisher’s Note: The statements, opinions and data contained in all publications are solely those of the individual author(s) and contributor(s) and not of MDPI and/or the editor(s). MDPI and/or the editor(s) disclaim responsibility for any injury to people or property resulting from any ideas, methods, instructions or products referred to in the content. |
© 2025 by the authors. Licensee MDPI, Basel, Switzerland. This article is an open access article distributed under the terms and conditions of the Creative Commons Attribution (CC BY) license (https://creativecommons.org/licenses/by/4.0/).
Share and Cite
Atraszkiewicz, R.; Zgórniak, P. Manganese Volatilization and Its Influence on Low-Pressure Carburizing Process Effects. Materials 2025, 18, 5173. https://doi.org/10.3390/ma18225173
Atraszkiewicz R, Zgórniak P. Manganese Volatilization and Its Influence on Low-Pressure Carburizing Process Effects. Materials. 2025; 18(22):5173. https://doi.org/10.3390/ma18225173
Chicago/Turabian StyleAtraszkiewicz, Radomir, and Piotr Zgórniak. 2025. "Manganese Volatilization and Its Influence on Low-Pressure Carburizing Process Effects" Materials 18, no. 22: 5173. https://doi.org/10.3390/ma18225173
APA StyleAtraszkiewicz, R., & Zgórniak, P. (2025). Manganese Volatilization and Its Influence on Low-Pressure Carburizing Process Effects. Materials, 18(22), 5173. https://doi.org/10.3390/ma18225173

