Low-Cost and High-Strength Titanium–Zirconium–Oxygen Alloy Prepared by Spark Plasma Sintering
Abstract
1. Introduction
2. Experimental Methods
Materials Preparation
3. Results and Discussion
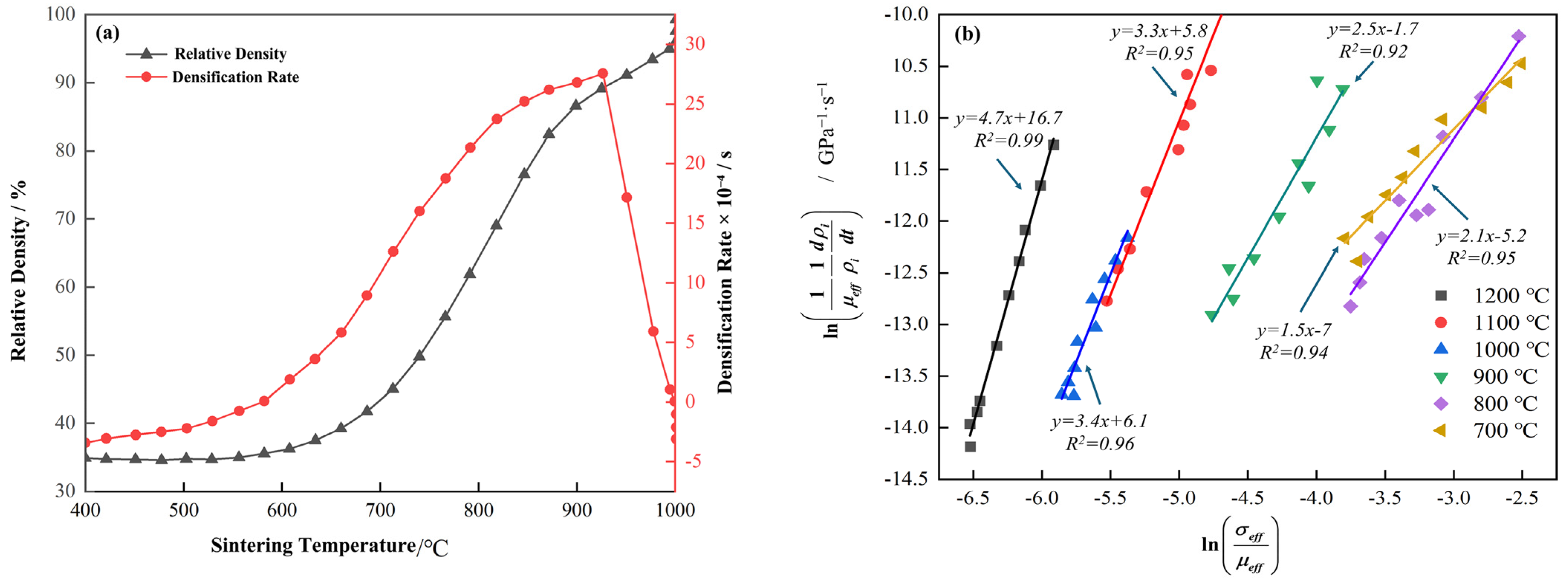
3.1. Densification Behaviors of Ti-15Zr
3.2. Microstructure
3.3. Mechanical Properties
3.4. Strengthening Mechanisms
4. Conclusions
- (1)
- XRD analysis confirmed that all sintered samples consist of a single α-Ti phase, indicating that the added TiO2 fully decomposed and oxygen dissolved into the Ti-matrix during the SPS process. The SPS technique yielded highly dense samples with relative densities exceeding 99% and significantly reduced porosity. Notably, increasing the oxygen content resulted in a refined, equiaxed α-grain structure with a uniform crystal orientation.
- (2)
- The mechanical tests revealed excellent properties, which are a direct consequence of the dense and fine-grained microstructure fabricated by SPS. The mechanical tests revealed a strong correlation between oxygen content and strength. The compressive yield strength increased linearly from 619.24 MPa in the oxygen-free Ti-15Zr alloy to a remarkable 1634.18 MPa in the Ti-15Zr-0.8O alloy. This substantial strengthening was accompanied by a slight decrease in ductility. Fracture analysis of all samples showed a mixed-mode fracture, characterized by both ductile dimples and brittle cleavage-like features, indicating that the alloys retained a degree of plasticity even at very high strength levels.
- (3)
- Analysis of lattice parameters confirmed that oxygen atoms primarily occupy octahedral interstitial sites within the α-Ti matrix, causing lattice expansion. A quantitative assessment of strengthening mechanisms, based on the Labusch and Hall–Petch models, demonstrated that the observed strength enhancement is predominantly due to the solid solution strengthening effect from dissolved oxygen, while the contribution from grain refinement strengthening was found to be relatively minor.
Author Contributions
Funding
Institutional Review Board Statement
Informed Consent Statement
Data Availability Statement
Conflicts of Interest
References
- Kobayashi, S.; Nakai, K.; Ohmori, Y. Analysis of Phase Transformation in a Ti-10 Mass% Zr Alloy by Hot Stage Optical Microscopy. Mater. Trans. 2001, 42, 2398–2405. [Google Scholar] [CrossRef]
- Wang, B.; Ruan, W.; Liu, J.; Zhang, T.; Yang, H.; Ruan, J. Microstructure, Mechanical Properties, and Preliminary Biocompatibility Evaluation of Binary Ti–Zr Alloys for Dental Application. J. Biomater. Appl. 2019, 33, 766–775. [Google Scholar] [CrossRef]
- Ezugwu, E.O.; Da Silva, R.B.; Sales, W.F. Overview of the Machining of Titanium Alloys. In Encyclopedia of Sustainable Technologies; Elsevier: Amsterdam, The Netherlands, 2017. [Google Scholar]
- Wachi, T.; Shuto, T.; Shinohara, Y. Release of Titanium Ions from an Implant Surface and their Effect on Cytokine Production Related to Alveolar Bone Resorption. Toxicology 2015, 327, 1–9. [Google Scholar] [CrossRef]
- Bao, X.; Li, X.; Ding, J.; Liu, X.; Meng, M.; Zhang, T. Exploring the limits of mechanical properties of Ti-Zr binary alloys. Mater. Lett. 2022, 318, 132091. [Google Scholar] [CrossRef]
- Wang, Z.; Tan, Y.; Li, N. Powder Metallurgy of Titanium Alloys: A Brief Review. J. Alloys Compd. 2023, 965, 171030. [Google Scholar] [CrossRef]
- Zaffe, D.; Bertoldi, C.; Consolo, U. Accumulation of Aluminium in Lamellar Bone After Implantation of Titanium Plates, Ti–6Al–4V Screws, Hydroxyapatite Granules. Biomaterials 2004, 25, 3837–3844. [Google Scholar]
- Mirza, A.; King, A.; Troakes, C. Aluminium in Brain Tissue in Familial Alzheimer’s Disease. J. Trace Elem. Med. Biol. 2017, 40, 30–36. [Google Scholar] [CrossRef]
- Mjöberg, B.; Hellquist, E.; Mallmin, H. Aluminum, Alzheimer’s Disease and Bone Fragility. Acta Orthop. Scand. 1997, 68, 511–514. [Google Scholar]
- Kariya, S.; Issariyapat, A.; Bahador, A. Novel Tensile Deformation Mode in Laser Powder Bed Fusion Prepared Ti–O Alloy. Mater. Sci. Eng. A 2024, 892, 146057. [Google Scholar]
- Cai, Z.; Chen, J.; Zhang, Z. Microstructure Regulation of Titanium-Oxygen Alloy with High Strength and Excellent Ductility for Biomedical Applications. Intermetallics 2022, 148, 107648. [Google Scholar] [CrossRef]
- Amann, F.; Poulain, R.; Delannoy, S. An Improved Combination of Tensile Strength and Ductility in Titanium Alloys via Oxygen Ordering. Mater. Sci. Eng. A 2023, 867, 144720. [Google Scholar] [CrossRef]
- Okazaki, Y.; Kyo, K.; Ito, Y. Effect of Small Quantity of Oxygen and Nitrogen on Mechanical Properties of New Titanium Alloys for Medical Implants. Jpn. Inst. Met. Mater. 1998, 62, 207–214. [Google Scholar] [CrossRef]
- Okazaki, Y. Development of Low-Cost Manufacturing Process and Effects of Adding Small Amounts of Ta, O, and N on the Physical and Mechanical Properties of Highly Biocompatible Ti Alloys. Mater. Trans. 2019, 60, 1769–1778. [Google Scholar] [CrossRef]
- Liu, Y.; Tang, H.C.; Huang, Q.L. Strong-Yet-Ductile Tizr Alloys Through High Concentration of Oxygen Strengthening. Trans. Nonferrous Met. Soc. China 2020, 30, 2449–2458. [Google Scholar] [CrossRef]
- Poulain, R.; Amann, F.; Deya, J. Short-Time Heat Treatments in Oxygen Strengthened Ti-Zr a Titanium Alloys: A Simple Approach for Optimized Strength-Ductility Trade-Off. Mater. Lett. 2022, 317, 132114. [Google Scholar] [CrossRef]
- Otsu, A.; Doi, A.; Onda, T. Microstructure and enhanced strength and ductility of Ti-Zr-O alloys prepared by a laser powder bed fusion process. Addit. Manuf. 2024, 85, 104170. [Google Scholar]
- Tang, H.; Liu, Y.; Liu, C. Achieving high strength and large ductility via Zr-rich stripes in Ti-15Zr alloy. Mater. Lett. 2022, 318, 132194. [Google Scholar] [CrossRef]
- Watanabe, K.; Miyakawa, O.; Takada, Y. Casting Behavior of Titanium Alloys in a Centrifugal Casting Machine. Biomaterials 2003, 24, 1737–1743. [Google Scholar] [CrossRef]
- Oliveira, N.; Guastaldi, A.C. Electrochemical Behavior of Ti–Mo Alloys Applied as Biomaterial. Corros. Sci. 2008, 50, 938–945. [Google Scholar] [CrossRef]
- Cossú, C.M.F.A.; Vicente, E.D.; Cardoso, I.G.R. Mechanical and Microstructural Characterization of as-Cast Ti-12Mo-Xnb Alloys for Orthopedic Application. Mater. Res. 2020, 22, e20190178. [Google Scholar] [CrossRef]
- Senopati, G.; Sutowo, C.; Kartika, I. The Effect of Solution Treatment on Microstructure and Mechanical Properties of Ti-6Mo-6Nb-8Sn Alloy. Mater. Today Proc. 2019, 13, 224–228. [Google Scholar] [CrossRef]
- Nazari, K.A.; Nouri, A.; Hilditch, T. Mechanical Properties and Microstructure of Powder Metallurgy Ti–Xnb–Ymo Alloys for Implant Materials. Mater. Des. 2015, 88, 1164–1174. [Google Scholar] [CrossRef]
- Dudina, D.V.; Bokhonov, B.B.; Olevsky, E.A. Fabrication of Porous Materials by Spark Plasma Sintering: A Review. Materials 2019, 12, 541. [Google Scholar] [CrossRef]
- Zhang, J. Numerical Investigation of Segregation Evolution During the Vacuum Arc Remelting Process of Ni-Based Superalloy Ingots. Metals 2021, 11, 2046. [Google Scholar] [CrossRef]
- Zhao, Q.; Chen, Y.; Xu, Y. Progress and Prospects of Cost-Effective Manufacturing Technologies for Titanium Alloys. Chin. J. Nonferrous Met. 2021, 31, 3127–3140. [Google Scholar]
- Kollerov, M.Y.; Gusev, D.E.; Sharonov, A.A. Effects of an Ingot Smelting Method and Pressure Treatment Modes on the Structure of Deformed TiNi-Based Alloy Semi-Finished Products. Metallurgist 2022, 66, 433–444. [Google Scholar] [CrossRef]
- Yoon, D.Y. The Step Growth Hypothesis for Abnormal Grain Growth. In Ceramic Interfaces 2; CRC Press: Boca Raton, FL, USA, 2001; pp. 3–21. [Google Scholar]
- Kumar, N.; Soren, S.; Prasad, R.; Singh, Y.; Nautiyal, H.; Sharma, A.; Tiang, S.S.; Lim, W.H. Optimization of Sintering Process Parameters by Taguchi Method for Developing Al-CNT-Reinforced Powder Composites. Crystals 2023, 13, 1352. [Google Scholar] [CrossRef]
- Makena, I.M.; Shongwe, M.B.; Machaka, R. Effect of spark plasma sintering temperature on the pore characteristics, porosity and compression strength of porous titanium foams. SN Appl. Sci. 2020, 2, 516. [Google Scholar] [CrossRef]
- Ogunmefun, O.A.; Bayode, B.L.; Jamiru, T. A Critical Review of Dispersion Strengthened Titanium Alloy Fabricated through Spark Plasma Sintering Techniques. J. Alloys Compd. 2023, 960, 170407. [Google Scholar]
- Cui, Y.; Wang, L.; Zhang, L. Towards Load-Bearing Biomedical Titanium-Based Alloys: From Essential Requirements to Future Developments. Prog. Mater. Sci. 2024, 144, 101277. [Google Scholar] [CrossRef]
- Abedi, M.; Sovizi, S.; Azarniya, A. An Analytical Review on Spark Plasma Sintering of Metals and Alloys: From Processing Window, Phase Transformation, and Property Perspective. Crit. Rev. Solid State Mater. Sci. 2023, 48, 169–214. [Google Scholar] [CrossRef]
- Kalita, D.; Rogal, A.; Czeppe, T.; Wójcik, A.; Kolano-Burian, A.; Zackiewicz, P.; Kania, B.; Dutkiewicz, J. Microstructure and Mechanical Properties of Ti-Nb Alloys Prepared by Mechanical Alloying and Spark Plasma Sintering. J. Mater. Eng. Perform. 2020, 29, 1445–1452. [Google Scholar] [CrossRef]
- Crosby, K.; Shaw, L.L.; Estournès, C. Enhancement in Ti–6Al–4V Sintering Via Nanostructured Powder and Spark Plasma Sintering. Powder Metall. 2014, 57, 147–154. [Google Scholar] [CrossRef]
- Hussein, M.A.; Suryanarayana, C.; Al-Aqeeli, N. Fabrication of Nano-Grained Ti–Nb–Zr Biomaterials Using Spark Plasma Sintering. Mater. Des. 2015, 87, 693–700. [Google Scholar] [CrossRef]
- Sharma, B.; Vajpai, S.K.; Ameyama, K. Synthesis of Ternary Ti-25Nb-11Sn Alloy by Powder Metallurgy Route Using Titanium Hydride Powder. Mater. Trans. 2016, 57, 1440–1446. [Google Scholar] [CrossRef]
- Yousef, S.; Gökçe, A.; Tawabini, B.S.; Koç, M. Microwave Versus Conventional Sintering of NiTi Alloys Processed by Mechanical Alloying. Materials 2022, 15, 5506. [Google Scholar] [CrossRef] [PubMed]
- Orrù, R.; Licheri, R.; Locci, A.M.; Cincotti, A.; Cao, G. Consolidation/Synthesis of Materials by Electric Current Activated/Assisted Sintering. Mater. Sci. Eng. 2009, 63, 127–287. [Google Scholar] [CrossRef]
- Ruano, O.A.; Wadsworth, J.; Sherby, O.D. Deformation mechanism mapping of pure metals, intermetallics and ceramics. J. Mater. Sci. 1988, 23, 3235–3244. [Google Scholar]
- Sugita, T.; Pask, J.A. Creep of Doped Polycrystalline Al2O3. J. Am. Ceram. Soc. 1970, 53, 609–613. [Google Scholar] [CrossRef]
- Chaim, R.; Bar-Hama, O.R. Densification of Nanocrystalline Nio Ceramics by Spark Plasma Sintering. Mater. Sci. Eng. A 2010, 527, 462–468. [Google Scholar] [CrossRef]
- Leyens, C.; Peters, M. Titanium and Titanium Alloys: Fundamentals and Applications; Wiley Online Library: Hoboken, NJ, USA, 2006. [Google Scholar]
- Shi, X.; Wang, X.; Chen, B. Precision Control of Oxygen Content in Cp-Ti for Ultra-High Strength through Titanium Oxide Decomposition: An in-Situ Study. Mater. Des. 2023, 227, 111797. [Google Scholar]
- Omori, M. Sintering, Consolidation, Reaction and Crystal Growth by the Spark Plasma System (Sps). Mater. Sci. Eng. A 2000, 287, 183–188. [Google Scholar] [CrossRef]
- Cai, Z.; Cheng, X.; Chen, J. Optimized mechanical properties of titanium-oxygen alloys by powder metallurgy. J. Mater. Res. Technol. 2022, 21, 4151–4163. [Google Scholar] [CrossRef]
- Guo, S. Microstructure and mechanical properties of Ti–Nb–Sn alloys processed by spark plasma sintering for biomedical applications. Mater. Sci. Eng. C 2021, 118, 111484. [Google Scholar]
- Hao, Y.; Liu, J.; Li, J. Rapid preparation of TiC reinforced Ti6Al4V based composites by carburizing method through spark plasma sintering technique. Mater. Des. (1980–2015) 2015, 65, 94–97. [Google Scholar] [CrossRef]
- Li, X.; Zhang, Y.; Liu, J.; Zhang, S.; Wang, J.; Zhang, X. Effect of Ti on the Structure and Mechanical Properties of TixZr2.5-xTa Alloys. Entropy 2023, 23, 1632. [Google Scholar]
- Liu, S.; Wang, Y.; Zhang, H.; Chen, X.; Zhao, Y. Microstructure and Mechanical Properties of Ti–Zr–O Alloys with High Oxygen Contents Prepared by Powder Metallurgy. J. Alloys Compd. 2020, 849, 156605. [Google Scholar]
- Yamamoto, K.; Matsumoto, T.; Takahashi, Y.; Sasaki, K. Effect of Oxygen on Mechanical Properties and Deformation Behavior of α-Titanium. Mater. Sci. Eng. A 2014, 616, 101–107. [Google Scholar]
- Chiba, A.; Hanada, S.; Watanabe, S.; Abe, T.; Niinomi, M. Deformation behavior of Ti–13% Nb–13% Zr alloy at room temperature. Mater. Sci. Eng. A 1997, 232, 142–149. [Google Scholar]
- Geetha, M.; Singh, A.K.; Asokamani, R.; Gogia, A.K. Ti based biomaterials, the ultimate choice for orthopaedic implants—A review. Prog. Mater. Sci. 2009, 54, 397–425. [Google Scholar]
- Correa, D.R.N.; Vicente, F.B.; Donato, T.A.G.; Arana-Chavez, V.E.; Buzalaf, M.A.R.; Grandini, C.R. The effect of the Zr content on the corrosion resistance and biocompatibility of Ti–Zr alloys for dental applications. Clin. Oral Implant. Res. 2014, 25, 369–375. [Google Scholar]
- Okazaki, Y. Dental Casting Properties of Ti–15Zr–4Nb–4Ta Alloy. Mater. Trans. 2002, 43, 2943–2949. [Google Scholar]
- Scotti, L.; Mottura, A. Interstitial Diffusion of O, N, and C in A-Ti from First-Principles: Analytical Model and Kinetic Monte Carlo Simulations. J. Chem. Phys. 2016, 144, 084701. [Google Scholar] [CrossRef]
- Du, Y.; Zhang, B.; You, C. Strengthening and Toughening Mechanisms of Titanium-Nitrogen Alloy with a Laminated Structure Fabricated by Spark Plasma Sintering. Mater. Sci. Eng. A 2020, 769, 138492. [Google Scholar] [CrossRef]
- Finlay, W.L.; Snyder, J.A. Effects of Three Interstitial Solutes (Nitrogen, Oxygen, and Carbon) on the Mechanical Properties of High-Purity, Alpha Titanium. JOM 1950, 2, 277–286. [Google Scholar] [CrossRef]
- Hall, E.O. The Deformation and Ageing of Mild Steel: III Discussion of Results. Proc. Phys. Soc. Sect. B 1951, 64, 747. [Google Scholar] [CrossRef]
- Labusch, R. A Statistical Theory of Solid Solution Hardening. Phys. Status Solidi B 1970, 41, 659–669. [Google Scholar]
- Kariya, S.; Fukuo, M.; Umeda, J. Quantitative Analysis on Light Elements Solution Strengthening in Pure Titanium Sintered Materials by Labusch Model Using Experimental Data. Mater. Trans. 2019, 60, 263–268. [Google Scholar] [CrossRef]
- Rothchild, E.; Poschmann, M.; Asta, M.; Chrzan, D.C. Dislocation Glide Driven Interstitial Shuffling of Oxygen Interstitials in Titanium. Phys. Rev. Mater. 2022, 6, 093601. [Google Scholar] [CrossRef]
- Kumar, P. Mechanistic basis of oxygen sensitivity in titanium. Nat. Commun. 2020, 11, 3619. [Google Scholar]












| Composition | Zr | Fe | C | O | N | H | Ti |
|---|---|---|---|---|---|---|---|
| Content | 14.900 | 0.012 | 0.034 | 0.120 | 0.006 | 0.010 | Bal. |
| Sintering Temperature/℃ | Sintering Pressure/MPa | Holding Time/Minutes | Heating Rate/°C/Min |
|---|---|---|---|
| 1000 | 100 | 10 | 50 |
| Mixed Powder | Sintered Sample |
|---|---|
| Oxygen Content | Oxygen Content |
| 0.12 wt.% | 0.14 wt.% |
| 0.26 wt.% | 0.32 wt.% |
| 0.51 wt.% | 0.55 wt.% |
| 0.82 wt.% | 0.83 wt.% |
| Material | Compressive Yield Strength/MPa | Compression Strain/% |
|---|---|---|
| Ti–Nb | 943 | - |
| Ti-6Al-4V | 980 | 20 |
| Ti–35Nb–5Sn | 1120 | 16 |
| Ti-1.5at%O | 1220 | 15 |
| Ti-13Nb-13Zr | 1230 | 12 |
| Ti-2.0Zr-0.5Ta | 1568 | 34 |
| Ti-15Zr-0.8O | 1634 | 31 |
| Material | Density/% | Compressive Yield Strength/MPa | Compression Strain/% |
|---|---|---|---|
| Ti-15Zr | 99.13 | 619.2 ± 8.1 | 50.0 ± 3.3 |
| Ti-15Zr-0.2O | 99.27 | 1040.1 ± 6.5 | 41.5 ± 1.5 |
| Ti-15Zr-0.5O | 99.19 | 1340.7 ± 5.3 | 36.8 ± 1.2 |
| Ti-15Zr-0.8O | 99.44 | 1634.1 ± 2.3 | 31.1 ± 1.4 |
Disclaimer/Publisher’s Note: The statements, opinions and data contained in all publications are solely those of the individual author(s) and contributor(s) and not of MDPI and/or the editor(s). MDPI and/or the editor(s) disclaim responsibility for any injury to people or property resulting from any ideas, methods, instructions or products referred to in the content. |
© 2025 by the authors. Licensee MDPI, Basel, Switzerland. This article is an open access article distributed under the terms and conditions of the Creative Commons Attribution (CC BY) license (https://creativecommons.org/licenses/by/4.0/).
Share and Cite
Xiang, H.; Wu, Q.; You, W.; Cai, X.; Zhao, W.; Huang, Y.; Zhang, X.; Wu, C. Low-Cost and High-Strength Titanium–Zirconium–Oxygen Alloy Prepared by Spark Plasma Sintering. Materials 2025, 18, 5138. https://doi.org/10.3390/ma18225138
Xiang H, Wu Q, You W, Cai X, Zhao W, Huang Y, Zhang X, Wu C. Low-Cost and High-Strength Titanium–Zirconium–Oxygen Alloy Prepared by Spark Plasma Sintering. Materials. 2025; 18(22):5138. https://doi.org/10.3390/ma18225138
Chicago/Turabian StyleXiang, Hongliang, Qinchang Wu, Weixuan You, Xiaoqiang Cai, Wei Zhao, Ye Huang, Xiangkai Zhang, and Chaochao Wu. 2025. "Low-Cost and High-Strength Titanium–Zirconium–Oxygen Alloy Prepared by Spark Plasma Sintering" Materials 18, no. 22: 5138. https://doi.org/10.3390/ma18225138
APA StyleXiang, H., Wu, Q., You, W., Cai, X., Zhao, W., Huang, Y., Zhang, X., & Wu, C. (2025). Low-Cost and High-Strength Titanium–Zirconium–Oxygen Alloy Prepared by Spark Plasma Sintering. Materials, 18(22), 5138. https://doi.org/10.3390/ma18225138

