Machine Learning-Driven Strength Prediction and Sustainability Analysis of Ultra-High-Performance Concrete
Abstract
1. Introduction
2. Methodology and Research Approach
2.1. Data Preparation and Analysis
2.1.1. Variable Description and Units
2.1.2. Descriptive Analysis
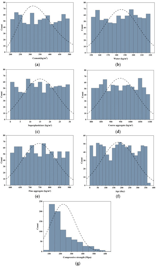
2.1.3. Data Visualization
2.2. Development of ML Models
2.2.1. Random Forest (RF) Method
2.2.2. Gaussian Process Regression (GPR) Method
2.2.3. Gradient Boosting (GB) Method
2.2.4. Artificial Neural Network (ANN) Method
2.2.5. Prediction Framework
2.3. Evaluation Metrics for Prediction Performance
- Mean Squared Error:
- Mean Absolute Error:
- Coefficient of determination:
- Root Mean Squared Error:
3. Results and Discussion
3.1. Statistical Assessment of Compressive Strength Prediction Models
3.2. Application of REC Curves in Evaluating Compressive Strength Prediction Models
3.3. K-Fold Cross Validation Analysis
3.4. Quantitative Analysis of Feature Importance
3.5. Sustainability Assessment and Environmental Impact Analysis of the Concrete Mixture Composition
4. Conclusions
Author Contributions
Funding
Data Availability Statement
Conflicts of Interest
References
- Moein, M.M.; Saradar, A.; Rahmati, K.; Mousavinejad, S.H.G.; Bristow, J.; Aramali, V.; Karakouzian, M. Predictive Models for Concrete Properties Using Machine Learning and Deep Learning Approaches: A Review. J. Build. Eng. 2023, 63, 105444. [Google Scholar] [CrossRef]
- Li, Q.F.; Song, Z.M. High-Performance Concrete Strength Prediction Based on Ensemble Learning. Constr. Build. Mater. 2022, 324, 126694. [Google Scholar] [CrossRef]
- BKA, M.A.R.; Ngamkhanong, C.; Wu, Y.; Kaewunruen, S. Recycled Aggregates Concrete Compressive Strength Prediction Using Artificial neural network (ANN). Infrastructures 2021, 6, 17. [Google Scholar] [CrossRef]
- Chou, J.S.; Tsai, C.F.; Pham, A.D.; Lu, Y.H. Machine Learning in Concrete Strength Simulations: Multi-Nation Data Analytics. Constr. Build. Mater. 2014, 73, 771–780. [Google Scholar] [CrossRef]
- Silva, R.V.; De Brito, J.; Dhir, R.K. Tensile Strength Behaviour of Recycled Aggregate Concrete. Constr. Build. Mater. 2015, 83, 108–118. [Google Scholar] [CrossRef]
- Fm Zain, M.; M Abd, S. Multiple Regression Model for Compressive Strength Prediction of High Performance Concrete. J. Appl. Sci. 2009, 9, 155–160. [Google Scholar] [CrossRef]
- Ghanizadeh, A.R.; Tavana Amlashi, A.; Dessouky, S.; Ebrahimi, S.A. A Comparison of Novel Hybrid Ensemble Learners to Predict the Compressive Strength of Green Engineering Materials: A Case of Concrete Composed of Rice Husk Ash. Eur. J. Environ. Civ. Eng. 2024, 28, 3264–3291. [Google Scholar] [CrossRef]
- Wu, X.; Zhu, F.; Zhou, M.; Sabri, M.M.S.; Huang, J. Intelligent Design of Construction Materials: A Comparative Study of AI Approaches for Predicting the Strength of Concrete with Blast Furnace Slag. Materials 2022, 15, 4582. [Google Scholar] [CrossRef]
- Zou, B.; Wang, Y.; Amin, M.N.; Iftikhar, B.; Khan, K.; Ali, M.; Althoey, F. Artificial Intelligence-Based Optimized Models for Predicting the Slump and Compressive Strength of Sustainable Alkali-Derived Concrete. Constr. Build. Mater. 2023, 409, 134092. [Google Scholar] [CrossRef]
- Heidari, A.; Hashempour, M.; Tavakoli, D. Using of Backpropagation Neural Network in Estimation of Compressive Strength of Waste Concrete. J. Soft Comput. Civ. Eng. 2017, 1, 54–64. [Google Scholar]
- Khademi, F.; Behfarnia, K. Evaluation of Concrete Compressive Strength Using Artificial Neural Network and Multiple Linear Regression Models. Iran Univ. Sci. Technol. 2016, 6, 423–432. [Google Scholar]
- Tibshirani, R. Regression Shrinkage and Selection via the Lasso. J. R. Stat. Soc. Ser. B Stat. Methodol. 1996, 58, 267–288. [Google Scholar] [CrossRef]
- Joshi, D.A.; Menon, R.; Jain, R.K.; Kulkarni, A.V. Deep Learning Based Concrete Compressive Strength Prediction Model with Hybrid Meta-Heuristic Approach. Expert Syst. Appl. 2023, 233, 120925. [Google Scholar] [CrossRef]
- Liu, Y.; Zhang, J.; Zhang, S.; Zhang, A.A.; Peng, J.; Yuan, Q. Machine Learning-Guided Optimization of Coarse Aggregate Mix Proportion Based on CO2 Intensity Index. J. CO2 Util. 2024, 85, 102862. [Google Scholar] [CrossRef]
- Geng, Y.; Wang, Z.; Shen, L.; Zhao, J. Calculating of CO2 Emission Factors for Chinese Cement Production Based on Inorganic Carbon and Organic Carbon. J. Clean. Prod. 2019, 217, 503–509. [Google Scholar] [CrossRef]
- Kumar, R.; Althaqafi, E.; Patro, S.G.K.; Simic, V.; Babbar, A.; Pamucar, D.; Verma, A. Machine and Deep Learning Methods for Concrete Strength Prediction: A Bibliometric and Content Analysis Review of Research Trends and Future Directions. Appl. Soft Comput. 2024, 164, 111956. [Google Scholar] [CrossRef]
- Dong, W.; Huang, Y.; Cui, A.; Ma, G. Mix Design Optimization for Fly Ash-Based Geopolymer with Mechanical, Environmental, and Economic Objectives Using Soft Computing Technology. J. Build. Eng. 2023, 72, 106577. [Google Scholar] [CrossRef]
- Ahmed, H.U.; Abdalla, A.A.; Mohammed, A.S.; Mohammed, A.A.; Mosavi, A. Statistical Methods for Modeling the Compressive Strength of Geopolymer Mortar. Materials 2022, 15, 1868. [Google Scholar] [CrossRef]
- Kumar, A.; Arora, H.C.; Kumar, K.; Garg, H. Performance Prognosis of FRCM-to-Concrete Bond Strength Using ANFIS-Based Fuzzy Algorithm. Expert Syst. Appl. 2023, 216, 119497. [Google Scholar] [CrossRef]
- Takahashi, M.; Takase, Y.; Natori, S.; Abe, T. Challenge to Evaluation of Roughened Concrete Area Ratio by Deep Learning. J. Struct. Eng. 2020, 85, 1479–1489. [Google Scholar] [CrossRef]
- Thai, P.B.; Nguyen, D.D.; Thi, Q.A.B.; Nguyen, M.D.; Vu, T.T.; Prakash, I. Estimation of Load-Bearing Capacity of Bored Piles Using Machine Learning Models. Vietnam J. Earth Sci. 2022, 44, 470–480. [Google Scholar]
- Prakaash, A.S.; Sivakumar, K. Optimized Recurrent Neural Network with Fuzzy Classifier for Data Prediction Using Hybrid Optimization Algorithm: Scope Towards Diverse Applications. Int. J. Wavelets Multiresolut. Inf. Process. 2021, 19, 2050074. [Google Scholar] [CrossRef]
- Gomaa, E.; Han, T.; ElGawady, M.; Huang, J.; Kumar, A. Machine Learning to Predict Properties of Fresh and Hardened Alkali-Activated Concrete. Cem. Concr. Compos. 2021, 115, 103863. [Google Scholar] [CrossRef]
- Song, Z.; Zou, S.; Zhou, W.; Liu, Q.; Wang, Z.; Hu, Y.; Wang, T.; Li, J.; Wang, J.; Liu, Z.; et al. Clinically Applicable Histopathological Diagnosis System for Gastric Cancer Detection Using Deep Learning. Nat. Commun. 2020, 11, 4294. [Google Scholar] [CrossRef] [PubMed]
- Kabir, H.; Wu, J.; Dahal, S.; Li, Z.; Li, H.; Hu, J.; Li, Y.; Liu, J.; Zhang, G. Automated Estimation of Cementitious Sorptivity via Computer Vision. Nat. Commun. 2024, 15, 9935. [Google Scholar] [CrossRef]
- Lahoti, M.; Narang, P.; Tan, K.H.; Yang, E.H. Mix Design Factors and Strength Prediction of Metakaolin-Based Geopolymer. Ceram. Int. 2017, 43, 11433–11441. [Google Scholar] [CrossRef]
- Zhang, L.V.; Marani, A.; Nehdi, M.L. Chemistry-Informed Machine Learning Prediction of Compressive Strength for Alkali-Activated Materials. Constr. Build. Mater. 2022, 316, 126103. [Google Scholar] [CrossRef]
- Afzali, S.A.E.; Shayanfar, M.A.; Ghanooni-Bagha, M.; Golafshani, E.; Ngo, T. The Use of Machine Learning Techniques to Investigate the Properties of Metakaolin-Based Geopolymer Concrete. J. Clean. Prod. 2024, 446, 141305. [Google Scholar] [CrossRef]
- Chindaprasirt, P.; De Silva, P.; Sagoe-Crentsil, K.; Hanjitsuwan, S. Effect of SiO2 and Al2O3 on the Setting and Hardening of High Calcium Fly Ash-Based Geopolymer Systems. J. Mater. Sci. 2012, 47, 4876–4883. [Google Scholar] [CrossRef]
- Zhou, Z.H. Ensemble Methods: Foundations and Algorithms; CRC Press: Boca Raton, FL, USA, 2025. [Google Scholar]
- Zeini, H.A.; Al-Jeznawi, D.; Imran, H.; Bernardo, L.F.A.; Al-Khafaji, Z.; Ostrowski, K.A. Random Forest Algorithm for the Strength Prediction of Geopolymer Stabilized Clayey Soil. Sustainability 2023, 15, 1408. [Google Scholar] [CrossRef]
- Seeger, M. Gaussian Processes for Machine Learning. Int. J. Neural Syst. 2004, 14, 69–106. [Google Scholar] [CrossRef]
- Xie, L.; He, J.; Wang, C.; Zhu, S.; Zhang, H.; Yang, X. Enhanced Bayesian Gaussian Process Regression for Compressive Strength Prediction of Multi-Binder Concrete. J. Build. Eng. 2025, 96, 113308. [Google Scholar] [CrossRef]
- Nithurshan, M.; Elakneswaran, Y. A Systematic Review and Assessment of Concrete Strength Prediction Models. Case Stud. Constr. Mater. 2023, 18, e01830. [Google Scholar] [CrossRef]
- Feng, D.C.; Liu, Z.T.; Wang, X.D.; Chen, Y.; Chang, J.Q.; Wei, D.F.; Jiang, Z.M. Machine Learning-Based Compressive Strength Prediction for Concrete: An Adaptive Boosting Approach. Constr. Build. Mater. 2020, 230, 117000. [Google Scholar] [CrossRef]
- Schmidhuber, J. Deep Learning in Neural Networks: An Overview. Neural Netw. 2015, 61, 85–117. [Google Scholar] [CrossRef]
- Naderpour, H.; Rafiean, A.H.; Fakharian, P. Compressive Strength Prediction of Environmentally Friendly Concrete Using Artificial neural network. J. Build. Eng. 2018, 16, 213–219. [Google Scholar] [CrossRef]
- Chai, T.; Draxler, R.R. Root Mean Square Error (RMSE) or Mean Absolute Error (MAE)?—Arguments Against Avoiding RMSE in the Literature. Geosci. Model Dev. 2014, 7, 1247–1250. [Google Scholar] [CrossRef]
- Tabani, A.; Biswas, R. Assessment of Compressive Strength of Ultra-High-Performance Concrete Using Advanced Machine Learning Models. Struct. Concr. 2025. early access. [Google Scholar] [CrossRef]
- Qian, Y.; Sufian, M.; Hakamy, A.; Farouk Deifalla, A.; El-Said, A. Application of Machine Learning Algorithms to Evaluate the Influence of Various Parameters on the Flexural Strength of Ultra-High-Performance Concrete. Front. Mater. 2023, 9, 1114510. [Google Scholar] [CrossRef]
- Li, T.; Hu, X.; Li, T.; Liao, J.; Mei, L.; Tian, H.; Gu, J. Enhanced Prediction and Evaluation of Hydraulic Concrete Compressive Strength Using Multiple Soft Computing and Metaheuristic Optimization Algorithms. Buildings 2024, 14, 3461. [Google Scholar] [CrossRef]
- Ahmad, F.; Alasskar, A.; Samui, P.; Asteris, P.G. Machine Learning-Based Graphical User Interface for Predicting High-Performance Concrete Compressive Strength: Comparative Analysis of Gradient Boosting Machine, Random Forest, and Deep Neural Network Models. Front. Struct. Civ. Eng. 2025, 19, 1075–1090. [Google Scholar] [CrossRef]
- Kovačević, M.; Hadzima-Nyarko, M.; Grubeša, I.N.; Radu, D.; Lozančić, S. Application of Artificial Intelligence Methods for Predicting the Compressive Strength of Green Concretes with Rice Husk Ash. Mathematics 2023, 12, 66. [Google Scholar] [CrossRef]
- Shaaban, M.; Amin, M.; Selim, S.; Riad, I.M. Machine Learning Approaches for Forecasting Compressive Strength of High-Strength Concrete. Sci. Rep. 2025, 15, 25567. [Google Scholar] [CrossRef]
- Arun Mohan, A.M.; Kothapalli Sondinti, L.R.; Vankayalapati, R.K.; Azith Teja Ganti, V.K.S. Enhancing Ultra-High Performance Concrete (UHPC) Performance with Strength Prediction Using LNN-MAO Approach. Int. J. Pavement Eng. 2025, 26, 2544895. [Google Scholar] [CrossRef]
- Li, H.; Lin, J.; Lei, X.; Wei, T. Compressive Strength Prediction of Basalt Fiber Reinforced Concrete via Random Forest Algorithm. Mater. Today Commun. 2022, 30, 103117. [Google Scholar] [CrossRef]
- Gupta, S.; Sihag, P. Prediction of the Compressive Strength of Concrete Using Various Predictive Modeling Techniques. Neural Comput. Appl. 2022, 34, 6535–6545. [Google Scholar] [CrossRef]
- Das, P.; Kashem, A. Hybrid Machine Learning Approach to Prediction of the Compressive and Flexural Strengths of UHPC and Parametric Analysis with Shapley Additive Explanations. Case Stud. Constr. Mater. 2024, 20, e02723. [Google Scholar] [CrossRef]
- Li, D.; Tang, Z.; Kang, Q.; Zhang, X.; Li, Y. Machine Learning-Based Method for Predicting Compressive Strength of Concrete. Processes 2023, 11, 390. [Google Scholar] [CrossRef]
- Hariri-Ardebili, M.A.; Mahdavi, P.; Pourkamali-Anaraki, F. Benchmarking AutoML Solutions for Concrete Strength Prediction: Reliability, Uncertainty, and Dilemma. Constr. Build. Mater. 2024, 423, 135782. [Google Scholar] [CrossRef]
- Bolbolvand, M.; Tavakkoli, S.M.; Alaee, F.J. Prediction of Compressive and Flexural Strengths of Ultra-High-Performance Concrete (UHPC) Using Machine Learning for Various Fiber Types. Constr. Build. Mater. 2025, 493, 143135. [Google Scholar] [CrossRef]
- Kumar, R.; Kumar, D.R.; Wipulanusat, W.; Thongchom, C.; Samui, P.; Rai, B. Estimation of the Compressive Strength of Ultrahigh Performance Concrete Using Machine Learning Models. Intell. Syst. Appl. 2025, 25, 200471. [Google Scholar] [CrossRef]
- Navarro-Gonzalez, F.J.; Villacampa, Y. An Octahedric Regression Model of Energy Efficiency on Residential Buildings. Appl. Sci. 2019, 9, 4978. [Google Scholar] [CrossRef]
- Belalia Douma, O.; Boukhatem, B.; Ghrici, M.; Tagnit-Hamou, A. Prediction of Properties of Self-Compacting Concrete Containing Fly Ash Using Artificial Neural Network. Neural Comput. Appl. 2017, 28, 707–718. [Google Scholar] [CrossRef]
- Liu, G.; Zheng, J. Prediction Model of Compressive Strength Development in Concrete Containing Four Kinds of Gelled Materials with the Artificial Intelligence Method. Appl. Sci. 2019, 9, 1039. [Google Scholar] [CrossRef]
- Nguyen, H.; Vu, T.; Vo, T.P.; Thai, H.T. Efficient Machine Learning Models for Prediction of Concrete Strengths. Constr. Build. Mater. 2021, 266, 120950. [Google Scholar] [CrossRef]
- Ashrafian, A.; Amiri, M.J.T.; Rezaie-Balf, M.; Ozbakkaloglu, T.; Lotfi-Omran, O. Prediction of Compressive Strength and Ultrasonic Pulse Velocity of Fiber Reinforced Concrete Incorporating Nano Silica Using Heuristic Regression Methods. Constr. Build. Mater. 2018, 190, 479–494. [Google Scholar] [CrossRef]
- Abbas, M.M.; Muntean, R. Predictive Modelling of Concrete Tensile Strength Using ANN and Supplementary Cementitious Materials (SCMs). Constr. Build. Mater. 2025, 489, 142362. [Google Scholar] [CrossRef]
- Kohavi, R. A Study of Cross-Validation and Bootstrap for Accuracy Estimation and Model Selection. In Proceedings of the International Joint Conference on Artificial Intelligence (IJCAI), Montreal, QC, Canada, 20–25 August 1995; pp. 1137–1145. [Google Scholar]
- Hyndman, R.J.; Koehler, A.B. Another Look at Measures of Forecast Accuracy. Int. J. Forecast. 2006, 22, 679–688. [Google Scholar] [CrossRef]
- Bishop, C.M.; Nasrabadi, N.M. Pattern Recognition and Machine Learning; Springer: New York, NY, USA, 2006; Volume 4, p. 738. [Google Scholar]
- Kaloop, M.R.; Kumar, D.; Samui, P.; Hu, J.W.; Kim, D. Compressive Strength Prediction of High-Performance Concrete Using Gradient Tree Boosting Machine. Constr. Build. Mater. 2020, 264, 120198. [Google Scholar] [CrossRef]
- Abdellatief, M.; Hamla, W.; Hamouda, H. AI Driven Prediction of Early Age Compressive Strength in Ultra High Performance Fiber Reinforced Concrete. Sci. Rep. 2025, 15, 20316. [Google Scholar] [CrossRef]
- Cheng, Z.; Yang, Y.; Zhang, H. Interpretable Ensemble Machine-Learning Models for Strength Activity Index Prediction of Iron Ore Tailings. Case Stud. Constr. Mater. 2022, 17, e01239. [Google Scholar] [CrossRef]
- Zhang, J.; Li, D.; Wang, Y. Toward Intelligent Construction: Prediction of Mechanical Properties of Manufactured-Sand Concrete Using Tree-Based Models. J. Clean. Prod. 2020, 258, 120665. [Google Scholar]
- Wu, Y.; Zhou, Y. Hybrid Machine Learning Model and Shapley Additive Explanations for Compressive Strength of Sustainable Concrete. Constr. Build. Mater. 2022, 330, 127298. [Google Scholar] [CrossRef]
- Song, H.; Ahmad, A.; Ostrowski, K.A.; Dudek, M. Analyzing the Compressive Strength of Ceramic Waste-Based Concrete Using Experiment and Artificial Neural Network (ANN) Approach. Materials 2021, 14, 4518. [Google Scholar] [CrossRef] [PubMed]
- Ly, H.B.; Nguyen, T.A.; Pham, B.T. Investigation on Factors Affecting Early Strength of High-Performance Concrete by Gaussian Process Regression. PLoS ONE 2022, 17, e0262930. [Google Scholar] [CrossRef]
- Mohamad, N.; Muthusamy, K.; Embong, R.; Kusbiantoro, A.; Hashim, M.H. Environmental Impact of Cement Production and Solutions: A Review. Mater. Today Proc. 2022, 48, 741–746. [Google Scholar] [CrossRef]
- Hussain, J.; Khan, A.; Zhou, K. The Impact of Natural Resource Depletion on Energy Use and CO2 Emission in Belt & Road Initiative Countries: A Cross-Country Analysis. Energy 2020, 199, 117409. [Google Scholar] [CrossRef]
- Mo, K.H.; Alengaram, U.J.; Jumaat, M.Z.; Yap, S.P.; Lee, S.C. Green Concrete Partially Comprised of Farming Waste Residues: A Review. J. Clean. Prod. 2016, 117, 122–138. [Google Scholar] [CrossRef]
- Huntzinger, D.N.; Eatmon, T.D. A Life-Cycle Assessment of Portland Cement Manufacturing: Comparing the Traditional Process with Alternative Technologies. J. Clean. Prod. 2009, 17, 668–675. [Google Scholar] [CrossRef]
- Wang, X.; Huang, B.; Zhang, X.; Liu, Q.; Wang, Y.; Long, Y. From Waste to Carbon Benefits—A Dynamic Spatiotemporal Model for Assessing Carbon Reduction Potential in Urban Concrete Recycling Systems. Resour. Conserv. Recycl. 2026, 224, 108538. [Google Scholar] [CrossRef]
- Dixit, A.; Gupta, S.; Dai Pang, S.; Kua, H.W. Waste Valorisation Using Biochar for Cement Replacement and Internal Curing in Ultra-High Performance Concrete. J. Clean. Prod. 2019, 238, 117876. [Google Scholar] [CrossRef]
- Bumanis, G.; Korjakins, A.; Bajare, D. Environmental Benefit of Alternative Binders in Construction Industry: Life Cycle Assessment. Environments 2022, 9, 6. [Google Scholar] [CrossRef]
- Egodagamage, H.; Yapa, H.; Buddika, S.; Loh, T.; Navaratnam, S.; Patrisia, Y.; Nguyen, K. Enhancement of Impact Resistance of Alkali-Activated Slag Concrete through Biochar Supplementation. Struct. Concr. 2024, 25, 3630–3647. [Google Scholar]
- Gupta, S.; Kua, H.W. Combination of Biochar and Silica Fume as Partial Cement Replacement in Mortar: Performance Evaluation under Normal and Elevated Temperature. Waste Biomass Valorization 2020, 11, 2807–2824. [Google Scholar]
- Gonçalves, B.; Exposito, C.; Ishikawa, T.T.; Koga, G.Y. X-Ray Diffraction Study of the Early Hydration of Portland Cements Containing Calcium Carbonate by In-Situ and Ex-Situ Approaches. Constr. Build. Mater. 2023, 365, 129947. [Google Scholar] [CrossRef]
- Zou, Y.X.; Zuo, X.B.; Yin, G.J.; Zhang, H.L.; Ding, F.B. Utilization of Industrial Wastes on the Durability Improvement of Cementitious Materials: A Comparative Study between FA and GGBFS. Constr. Build. Mater. 2024, 421, 135629. [Google Scholar] [CrossRef]
- Xiang, Q.; Pan, H.; Ma, X.; Yang, M.; Lyu, Y.; Zhang, X.; Xu, M. Impacts of Energy-Saving and Emission-Reduction on Sustainability of Cement Production. Renew. Sustain. Energy Rev. 2024, 191, 114089. [Google Scholar] [CrossRef]
- Bukhari, S.J.S.; Moradllo, M.K. Multicriteria Performance Assessment of ‘Low w/c+ Low Cement+ High Dosage Admixture’ Concrete: Environmental, Economic, Durability, and Mechanical Performance Considerations. J. Clean. Prod. 2025, 523, 146419. [Google Scholar] [CrossRef]



















| Variables | Unit | Description |
|---|---|---|
| Cement | kg/m3 | The amount of cement in the ultra-high-performance concrete |
| Superplasticizer | kg/m3 | The addition of superplasticizer improves workability without the need for additional water. |
| Water | kg/m3 | The water content of ultra-high-performance concrete |
| Coarse aggregate | kg/m3 | The quantity of coarse aggregates such as gravel or crushed stones |
| Age | Day | The curing time of the samples |
| Fine aggregate | kg/m3 | The quantity of fine aggregates such as sand |
| Compressive strength | MPa | The strength of ultra-high-performance concrete under compression |
| Parameters | Mean | Max | Std. Dev | Min | Median | Var | Skewness | Kurtosis | SE | Range |
|---|---|---|---|---|---|---|---|---|---|---|
| Cement | 348.56 | 499.92 | 87.96 | 201.39 | 350.81 | 7737.74 | 0.02 | −1.23 | 3.11 | 298.53 |
| Superplasticizer | 14.99 | 29.93 | 8.71 | 0.00 | 14.86 | 75.87 | −0.01 | −1.18 | 0.31 | 29.93 |
| Water | 185.44 | 219.96 | 20.43 | 150.35 | 186.36 | 417.29 | −0.06 | −1.22 | 0.72 | 69.61 |
| Coarse aggregate | 948.28 | 1099.87 | 85.56 | 800.20 | 947.11 | 7320.02 | 0.01 | −1.21 | 3.02 | 299.67 |
| Age | 180.46 | 362.00 | 104.27 | 1.00 | 182.00 | 10,871.51 | 0.02 | −1.19 | 3.69 | 361.00 |
| Fine aggregate | 746.18 | 899.32 | 85.97 | 600.01 | 745.50 | 7391.01 | 0.06 | −1.18 | 3.04 | 299.32 |
| Compressive strength | 225.23 | 615.21 | 108.62 | 87.83 | 189.19 | 11,798.87 | 1.17 | 0.69 | 3.84 | 527.38 |
Disclaimer/Publisher’s Note: The statements, opinions and data contained in all publications are solely those of the individual author(s) and contributor(s) and not of MDPI and/or the editor(s). MDPI and/or the editor(s) disclaim responsibility for any injury to people or property resulting from any ideas, methods, instructions or products referred to in the content. |
© 2025 by the authors. Licensee MDPI, Basel, Switzerland. This article is an open access article distributed under the terms and conditions of the Creative Commons Attribution (CC BY) license (https://creativecommons.org/licenses/by/4.0/).
Share and Cite
Rong, H.; Sun, W.; Ma, H.; Luo, M.; You, Z.; Zhang, G.; Zhu, P.; Liu, Z.; Gómez-Zamorano, L.Y. Machine Learning-Driven Strength Prediction and Sustainability Analysis of Ultra-High-Performance Concrete. Materials 2025, 18, 5116. https://doi.org/10.3390/ma18225116
Rong H, Sun W, Ma H, Luo M, You Z, Zhang G, Zhu P, Liu Z, Gómez-Zamorano LY. Machine Learning-Driven Strength Prediction and Sustainability Analysis of Ultra-High-Performance Concrete. Materials. 2025; 18(22):5116. https://doi.org/10.3390/ma18225116
Chicago/Turabian StyleRong, Hongliang, Wangwen Sun, Haoran Ma, Muhan Luo, Zhenghua You, Guobin Zhang, Pengcheng Zhu, Zhuangzhuang Liu, and Lauren Y. Gómez-Zamorano. 2025. "Machine Learning-Driven Strength Prediction and Sustainability Analysis of Ultra-High-Performance Concrete" Materials 18, no. 22: 5116. https://doi.org/10.3390/ma18225116
APA StyleRong, H., Sun, W., Ma, H., Luo, M., You, Z., Zhang, G., Zhu, P., Liu, Z., & Gómez-Zamorano, L. Y. (2025). Machine Learning-Driven Strength Prediction and Sustainability Analysis of Ultra-High-Performance Concrete. Materials, 18(22), 5116. https://doi.org/10.3390/ma18225116

