Exploration of the Chloride Binding Behavior of Anhydrous Calcium Sulfoaluminate Under Dual Chloride Ingress Modes
Abstract
1. Introduction
2. Materials and Experimental Design
2.1. Experimental Materials and Sample Preparation
2.2. Chloride Ion Binding Experiment
- (1)
- Externally penetrated chloride ions
- (2)
- Internally incorporated chloride ions
- (3)
- Methodology for assessing chloride binding capacity
- (4)
- X-ray Diffraction and Thermogravimetric Analyses
3. Experimental Results and Analysis
3.1. Hydration Products of Anhydrous Calcium Sulfoaluminate
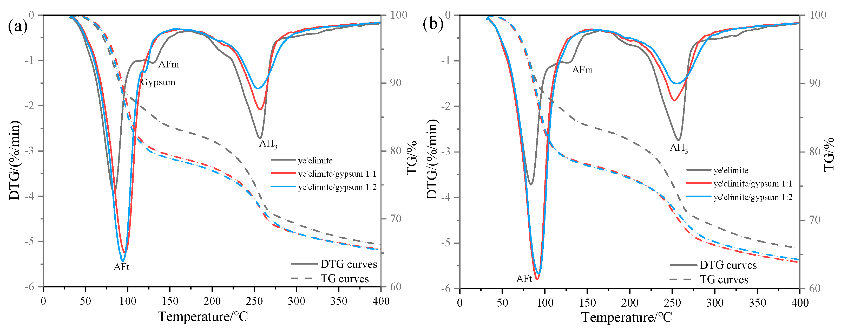
3.2. Chloride Binding of Externally Penetrated Chloride Ions
- (1)
- Chloride Binding Capacity
- (2)
- Characterization of hydration products after chloride binding
- (3)
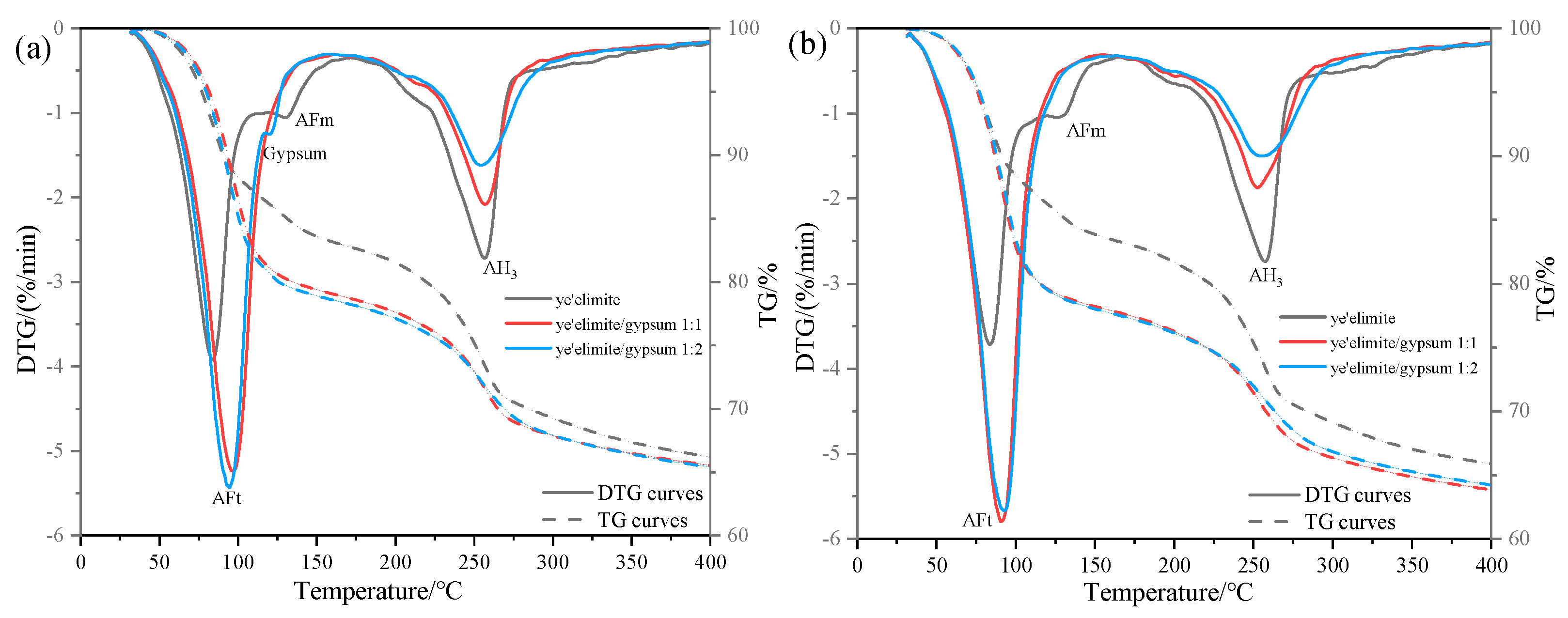
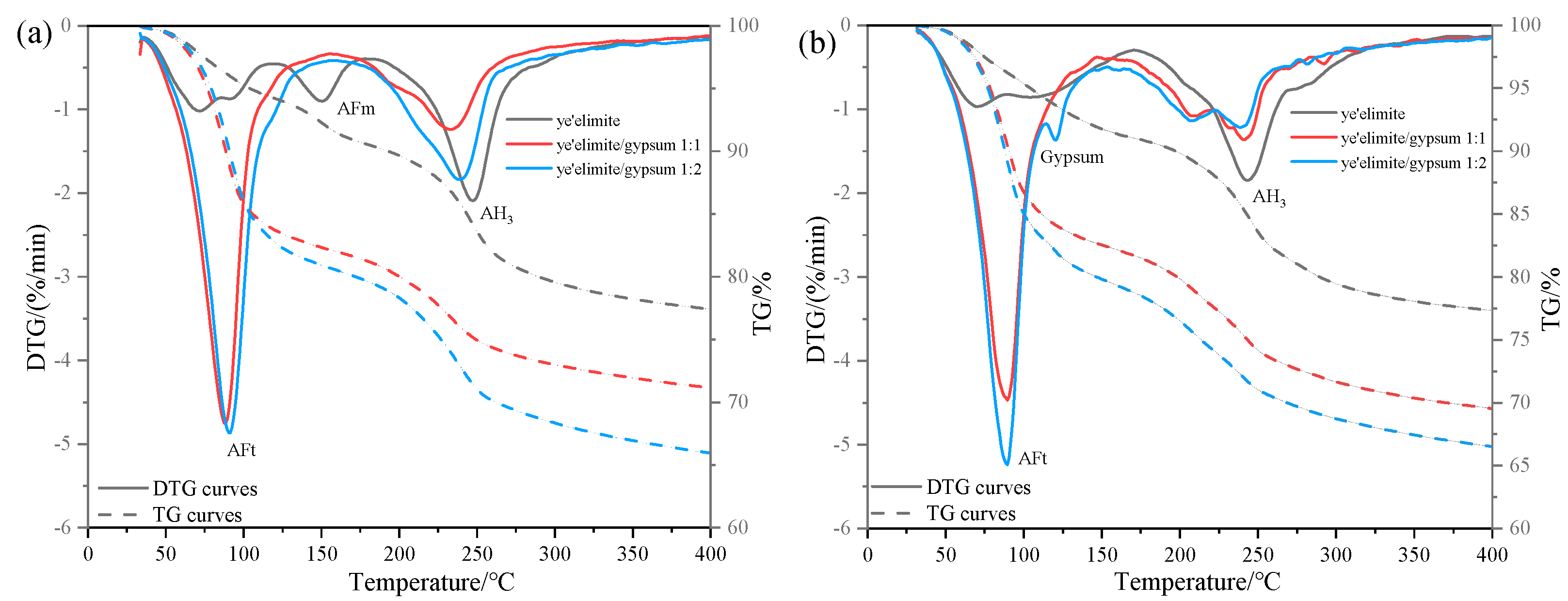
- TG analysis
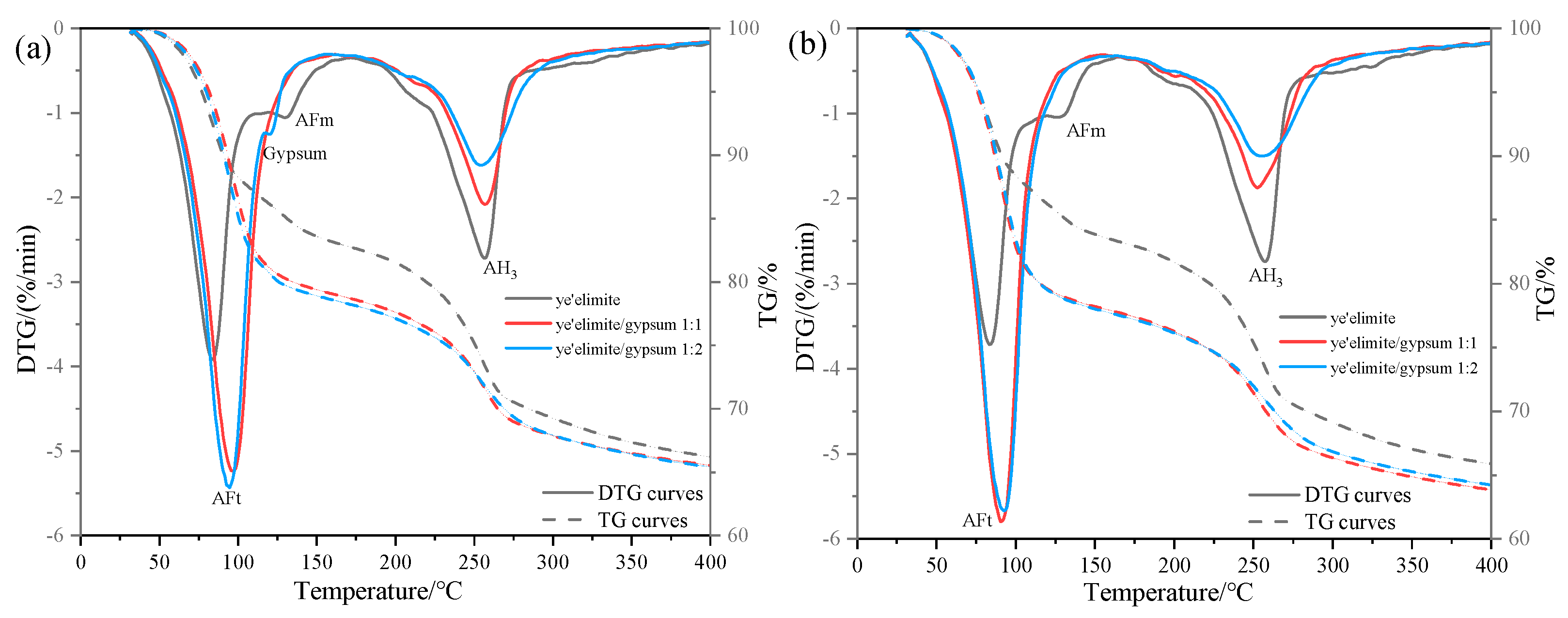
3.3. Chloride Binding of Internally Incorporated Chloride Ions
- (1)
- Chloride binding capacity
- (2)
- Characterization of hydration products post chloride binding
- (3)
- TG analysis
4. Conclusions
- The phase composition of hydration products is strongly influenced by gypsum dosage. In gypsum-rich systems, AFt is the main hydration product, whereas in low-gypsum systems, AFm formation is significantly enhanced. The AFm/AFt ratio is a critical factor governing chloride binding capacity.
- Under external chloride exposure, binding occurs through the combined contributions of AFm and AH3. AFm binds chloride via SO42−/Cl− ion exchange to form Friedel’s salt, while AH3 contributes through physical adsorption. For internal chloride, binding arises not only from the chemical reaction of AFm and the physical adsorption of AH3, but also from the direct reaction between anhydrous calcium sulphoaluminate and incorporated chloride, leading to Friedel’s salt formation.
- In external chloride environments, binding capacity increases with solution concentration and exposure duration until reaching a dynamic equilibrium, controlled by the saturation of AFm ion-exchange sites and the adsorption limit of AH3. For internal chloride, prolonged curing promotes AFm formation and thereby enhances binding capacity. Increasing chloride dosage slightly reduces binding in gypsum-free systems, while gypsum-containing systems exhibit limited sensitivity to dosage variations.
- Gypsum-free formulations demonstrate superior chloride binding performance due to abundant AFm formation. In contrast, gypsum incorporation favors AFt formation, which has intrinsically lower binding capacity, leading to reduced overall performance.
Author Contributions
Funding
Data Availability Statement
Conflicts of Interest
References
- Qu, F.; Li, W.; Dong, W.; Tam, V.W.; Yu, T. Durability deterioration of concrete under marine environment from material to structure: A critical review. J. Build. Eng. 2021, 35, 102074. [Google Scholar] [CrossRef]
- Gálvez-Martos, J.L.; Chaliulina, R.; Elhoweris, A.; Mwanda, J.; Hakki, A.; Al-horr, Y. Techno-economic assessment of calcium sulfoaluminate clinker production using elemental sulfur as raw material. J. Clean. Prod. 2021, 301, 126888. [Google Scholar] [CrossRef]
- Martin, L.H.J.; Winnefeld, F.; Tschopp, E.; Muller, C.J.; Lothenbach, B. Influence of fly ash on the hydration of calcium sulfoaluminate cement. Cem. Concr. Res. 2017, 95, 152–163. [Google Scholar] [CrossRef]
- Gao, D.; Meng, Y.; Yang, L.; Tang, J.; Lv, M. Effect of ground granulated blast furnace slag on the properties of calcium sulfoaluminate cement. Constr. Build. Mater. 2019, 227, 116665. [Google Scholar] [CrossRef]
- Cheng, Z.R.; Zhao, J.H.; Cui, L.Y. Exploration of hydration and durability properties of ferroaluminate cement with compare to Portland cement. Constr. Build. Mater. 2022, 319, 126138. [Google Scholar] [CrossRef]
- Zhao, J.; Cai, G.; Gao, D.; Zhao, S. Influences of freeze–thaw cycle and curing time on chloride ion penetration resistance of Sulphoaluminate cement concrete. Constr. Build. Mater. 2014, 53, 305–311. [Google Scholar] [CrossRef]
- Tang, X.; Xu, Q.; Qian, K.; Ruan, S.; Lian, S.; Zhan, S. Effects of cyclic seawater exposure on the mechanical performance and chloride penetration of calcium sulfoaluminate concrete. Constr. Build. Mater. 2021, 303, 124139. [Google Scholar] [CrossRef]
- Tang, X.; Zhan, S.; Xu, Q.; He, K. Mechanical Performance and Chloride Penetration of Calcium Sulfoaluminate Concrete in Marine Tidal Zone. Materials 2023, 16, 2905. [Google Scholar] [CrossRef] [PubMed]
- Chari, M.N.; Shekarchi, M.; Tadayon, M.H.; Moradian, M. Prediction of chloride ingress into blended cement concrete: Evaluation of a combined short-term laboratory-numerical procedure. Constr. Build. Mater. 2018, 162, 649–662. [Google Scholar] [CrossRef]
- Chang, H.; Fan, S.; Guo, Z.; Ma, Y.; Li, Z.; Zuo, Z.; Yang, L. Chloride binding behavior of calcium silicate hydrates and Friedel’s salt of pastes. J. Build. Eng. 2023, 76, 107318. [Google Scholar] [CrossRef]
- Zheng, H.; Dai, J.G.; Poon, C.S.; Li, W. Influence of calcium ion in concrete pore solution on the passivation of galvanized steel bars. Cem. Concr. Res. 2018, 108, 46–58. [Google Scholar] [CrossRef]
- Qiao, C.; Suraneni, P.; Ying, T.N.W.; Choudhary, A.; Weiss, J. Chloride binding of cement pastes with fly ash exposed to CaCl2 solutions at 5 and 23 °C. Cem. Concr. Compos. 2019, 97, 43–53. [Google Scholar] [CrossRef]
- He, H.; Qiao, H.; Sun, T.; Yang, H.; He, C. Research progress in mechanisms, influence factors and improvement routes of chloride binding for cement composites. J. Build. Eng. 2024, 86, 108978. [Google Scholar] [CrossRef]
- Chen, X.; He, Y.; Lu, L.; Wang, F.; Hu, S. Effects of curing regimes on the chloride binding capacity of cementitious materials. Constr. Build. Mater. 2022, 342, 127929. [Google Scholar] [CrossRef]
- Mapa, D.G.; Zhu, H.; Nosouhian, F.; Shanahan, N.; Riding, K.A.; Zayed, A. Chloride binding and diffusion of slag blended concrete mixtures. Constr. Build. Mater. 2023, 388, 131584. [Google Scholar] [CrossRef]
- Long, W.J.; Zhang, X.; Feng, G.L.; Xie, J.; Xing, F.; Dong, B.; Khayat, K.H. Investigation on chloride binding capacity and stability of Friedel’s salt in graphene oxide reinforced cement paste. Cem. Concr. Compos. 2022, 132, 104603. [Google Scholar] [CrossRef]
- Wang, Y.; Jiang, X.; Zhong, Z.; Liu, Z.; Li, W.; Long, W.; Xing, F. Binding mechanism of CSA cement on premixed Cl− and its governing parameters. J. Mater. Civ. Eng. 2022, 34, 04021429. [Google Scholar] [CrossRef]
- Cheng, Z.; Chen, X.; Wang, Z.; Gu, L.; Li, S.; Cui, L. Effect of Temperature on the Hydration, Chloride Penetration Resistance, and Chloride-Binding Capacity of Ferric-Rich Sulfoaluminate Cement. J. Mater. Civ. Eng. 2025, 37, 04025246. [Google Scholar] [CrossRef]
- Cheng, Z.; Zhao, J.; Li, Z.; Wang, Y.; Wu, G.; Wang, Z. Chloride penetration resistance and chloride binding capacity under different application environments of ferroaluminate cement. J. Build. Eng. 2023, 78, 107728. [Google Scholar] [CrossRef]
- Shakouri, M.; Ahmed, A.A.; Teymouri, M.; Trejo, D. Corrosion Resistance of Calcium Sulfoaluminate Cementitious Systems. J. Mater. Civ. Eng. 2023, 35, 04023238. [Google Scholar] [CrossRef]
- Bertola, F.; Gastaldi, D.; Irico, S.; Paul, G.; Canonico, F. Behavior of blends of CSA and Portland cements in high chloride environment. Constr. Build. Mater. 2020, 262, 120852. [Google Scholar] [CrossRef]
- Paul, G.; Boccaleri, E.; Buzzi, L.; Canonico, F.; Gastaldi, D. Friedel’s salt formation in sulfoaluminate cements: A combined XRD and 27Al MAS NMR study. Cem. Concr. Res. 2015, 67, 93–102. [Google Scholar] [CrossRef]
- Sánchez-Herrero, M.J.; Fernández-Jiménez, A.; Palomo, A. C4A3Š hydration in different alkaline media. Cem. Concr. Res. 2013, 46, 41–49. [Google Scholar] [CrossRef]
- Chang, J.; Yu, X.; Shang, X.P.; Zhao, J. Hydration of calcium sulphoaluminate at different water/solid ratios. Mater. Sci. Technol. 2016, 24, 75–79. [Google Scholar] [CrossRef]
- Li, J.; Zeng, T.; Chang, J. Nanostructure evolution of (A/F) H3 phase with different alkali concentrations based on calcium sulfoaluminate cement. Cem. Concr. Res. 2023, 172, 107216. [Google Scholar] [CrossRef]
- Li, G.; Bai, Z.; Zhang, G.; Wu, Y. Study on properties and degradation mechanism of calcium sulphoaluminate cement-ordinary Portland cement binary repair material under seawater erosion. Case Stud. Constr. Mater. 2022, 17, e01440. [Google Scholar] [CrossRef]
- Feng, W.; Xu, J.; Chen, P.; Jiang, L.; Song, Y.; Cao, Y. Influence of polycarboxylate superplasticizer on chloride binding in cement paste. Constr. Build. Mater. 2018, 158, 847–854. [Google Scholar] [CrossRef]
- Li, C. Chloride permeability and chloride binding capacity of nano-modified concrete. J. Build. Eng. 2021, 41, 102419. [Google Scholar] [CrossRef]
- Florea, M.V.A.; Brouwers, H.J.H. Modelling of chloride binding related to hydration products in slag-blended cements. Constr. Build. Mater. 2014, 64, 421–430. [Google Scholar] [CrossRef]
- Zhang, Y.; Sun, C.; Zhang, P.; Sun, M.; Geng, Y.; Zhao, M.; Duan, J. Chloride binding of monosulfate hydrate (AFm) and its effect on steel corrosion in simulated concrete pore solution. J. Build. Eng. 2023, 67, 105945. [Google Scholar] [CrossRef]
- Hou, D.; Li, T.; Han, Q.; Zhang, J. Insight on the sodium and chloride ions adsorption mechanism on the ettringite crystal: Structure, dynamics and interfacial interaction. Comput. Mater. Sci. 2018, 153, 479–492. [Google Scholar] [CrossRef]
- Zhao, J.; Cai, G.C.; Gao, D.Y. Study on bonding characteristic of mixed-type chloride ion in sulphoaluminate cement. Key Eng. Mater. 2011, 467, 698–702. [Google Scholar] [CrossRef]
- Wu, Y.; Zhu, J.; Shi, K.; Qiao, X.; Yu, X.; Zhang, M. Study on the erosion mechanism of the solidified silt under sulphate–chloride erosion. Geotech. Geol. Eng. 2022, 40, 3749–3762. [Google Scholar] [CrossRef]
- Berger, S.; Coumes, C.C.D.; Le Bescop, P.; Damidot, D. Hydration of calcium sulfoaluminate cement by a ZnCl2 solution: Investigation at early age. Cem. Concr. Res. 2009, 39, 1180–1187. [Google Scholar] [CrossRef]
- Wei, Y.; Cao, Z.; Hou, J.; Li, B.; Jia, G.; Chen, P.; Liu, P. Study on the chloride ion binding rate of sulfoaluminate cement mortars containing different mineral admixtures. Sci. Rep. 2024, 14, 24277. [Google Scholar] [CrossRef] [PubMed]
- Deng, H.; Wei, X.; Liu, S.; Li, S.; Cai, X. Influence of different lithium compounds on hydration and mechanical properties of calcium sulfoaluminate cement. Materials 2020, 13, 3465. [Google Scholar] [CrossRef] [PubMed]










| Compositions (%) | SiO2 | Al2O3 | CaO | SO3 | P2O5 | Na2O | Fe2O3 | SrO | 
|---|---|---|---|---|---|---|---|---|
| 0.19 | 49.52 | 36.62 | 13.35 | 0.03 | 0.16 | 0.06 | 0.07 | 
| Sample Number | W/C | Water (g) | (g) | Gypsum (g) | 
|---|---|---|---|---|
| G-0 | 0.4 | 20 | 50 | 0 | 
| G-1 | 0.4 | 20 | 39 | 11 | 
| G-2 | 0.4 | 20 | 32 | 18 | 
| Sample | Langmuir Isotherm | Freundlich Isotherm | ||||
|---|---|---|---|---|---|---|
| α | β | R2 | α | β | R2 | |
| G-0 | 43.99 | −0.28 | 0.98 | 58.69 | 1.18 | 0.99 | 
| G-1 | 15.72 | −0.51 | 0.97 | 31.24 | 1.62 | 0.98 | 
| G-2 | 12.91 | −0.04 | 0.96 | 13.53 | 1.05 | 0.96 | 
| Disclaimer/Publisher’s Note: The statements, opinions and data contained in all publications are solely those of the individual author(s) and contributor(s) and not of MDPI and/or the editor(s). MDPI and/or the editor(s) disclaim responsibility for any injury to people or property resulting from any ideas, methods, instructions or products referred to in the content. | 
© 2025 by the authors. Licensee MDPI, Basel, Switzerland. This article is an open access article distributed under the terms and conditions of the Creative Commons Attribution (CC BY) license (https://creativecommons.org/licenses/by/4.0/).
Share and Cite
Cheng, Z.; Ji, L.; Wang, Z.; Gu, L.; Tang, W. Exploration of the Chloride Binding Behavior of Anhydrous Calcium Sulfoaluminate Under Dual Chloride Ingress Modes. Materials 2025, 18, 4949. https://doi.org/10.3390/ma18214949
Cheng Z, Ji L, Wang Z, Gu L, Tang W. Exploration of the Chloride Binding Behavior of Anhydrous Calcium Sulfoaluminate Under Dual Chloride Ingress Modes. Materials. 2025; 18(21):4949. https://doi.org/10.3390/ma18214949
Chicago/Turabian StyleCheng, Zirui, Luyan Ji, Zhen Wang, Linlin Gu, and Wenbin Tang. 2025. "Exploration of the Chloride Binding Behavior of Anhydrous Calcium Sulfoaluminate Under Dual Chloride Ingress Modes" Materials 18, no. 21: 4949. https://doi.org/10.3390/ma18214949
APA StyleCheng, Z., Ji, L., Wang, Z., Gu, L., & Tang, W. (2025). Exploration of the Chloride Binding Behavior of Anhydrous Calcium Sulfoaluminate Under Dual Chloride Ingress Modes. Materials, 18(21), 4949. https://doi.org/10.3390/ma18214949
 
        


 
       