Strength Characteristics of Historical Mortars—Experimental Study Using the Double Punch Method
Abstract
1. Introduction
2. Experimental Research
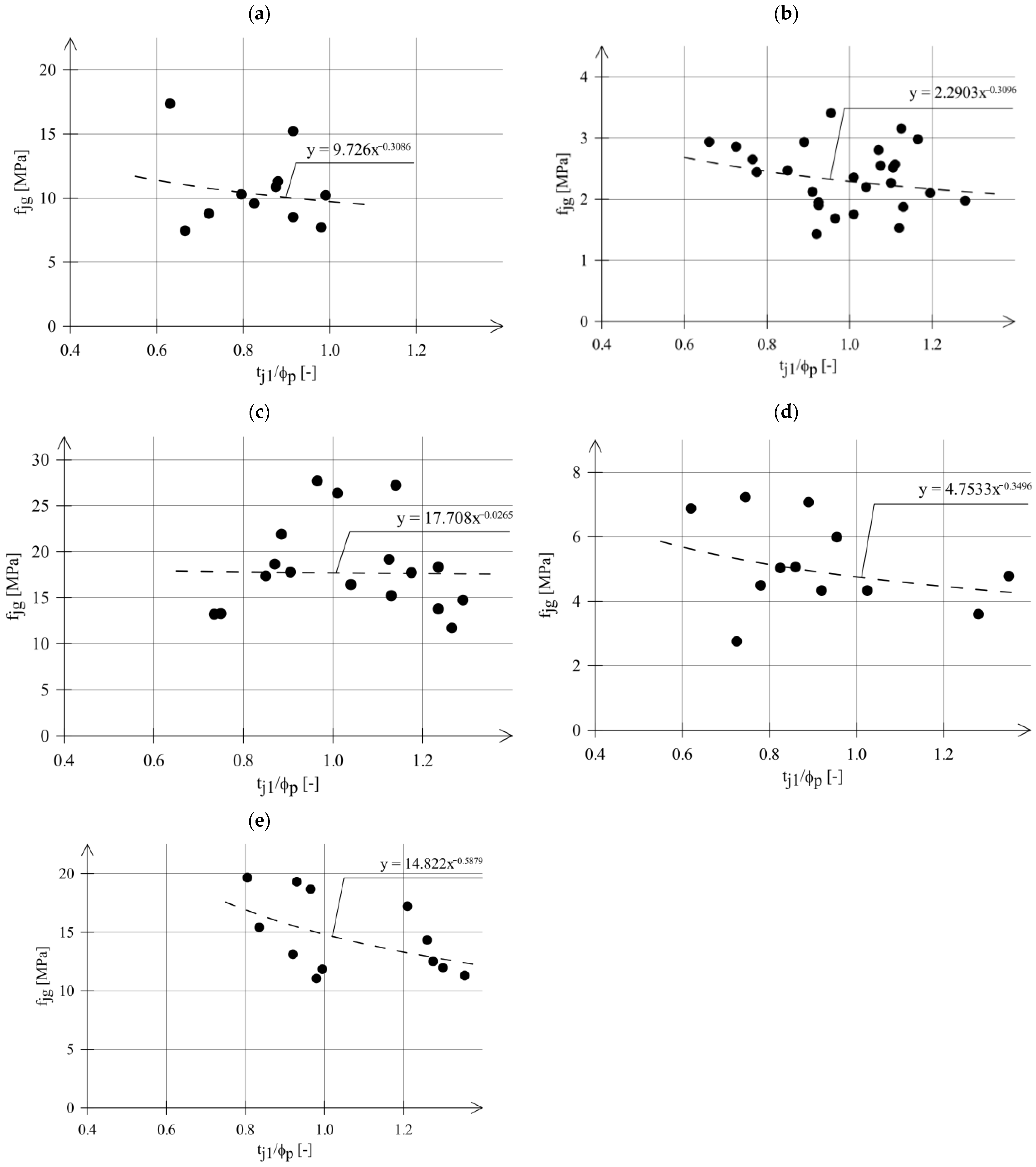
3. Test Results
4. Discussion
5. Conclusions
Author Contributions
Funding
Institutional Review Board Statement
Informed Consent Statement
Data Availability Statement
Acknowledgments
Conflicts of Interest
References
- Drobiec, Ł.; Grzyb, K.; Zając, J. Analysis of Reasons for the Structural Collapse of Historic Buildings. Sustainability 2021, 13, 10058. [Google Scholar] [CrossRef]
- Latifi, R.; Hadzima-Nyarko, M.; Radu, D.; Rouhi, R. A Brief Overview on Crack Patterns, Repair and Strengthening of Historical Masonry Structures. Materials 2023, 16, 1882. [Google Scholar] [CrossRef] [PubMed]
- Hao, Y.; Yao, Z.; Wu, R.; Bao, Y. Damage and restoration technology of historic buildings of brick and wood structures: A review. Herit. Sci. 2024, 12, 1–31. [Google Scholar] [CrossRef]
- Bilgiliglu, H. Geochemical and physical properties of historical mortars from the Tyana Octagonal church: Implications for restoration. Herit. Sci. 2025, 13, 288. [Google Scholar] [CrossRef]
- Drougkas, A.; Roca, P.; Molins, C. Material characterization and micro-modeling of a historic brick pillar. Int. J. Arch. Herit. 2016, 10, 887–902. [Google Scholar] [CrossRef]
- Misiewicz, J.; Kwiatkowska, L.; Wójcik, R.; Ballai, G. Investigation of mortars from historical monuments of North-East Poland and assessment of compatibility between historic and restoration mortars. Constr. Build. Mater. 2025, 474, 141075. [Google Scholar] [CrossRef]
- EN 1015-11:2007; Methods of Test for Mortar for Masonry—Part 11: Determination of Flexural and Compressive Strength of Hardened Mortar. CEN: Brussels, Belgium, 2006.
- Schmiedmayer, R. Nondestructive in situ determination of mortar load capacity using a modified Schmidt rebound hammer. In Proceedings of the 11th IB2MAC Conference, Shanghai, China, 14–16 October 1997; pp. 367–375. [Google Scholar]
- Matysek, P.; Łątka, D. Comments on the application of the sclerometric method in the diagnostics of brick masonry. In Proceedings of the 8th International Conference on Structural Analysis of Historical Constructions, SAHC 2012, Wrocław, Poland, 15–17 October 2012. [Google Scholar]
- Gorokhovich, Y.; Doocy, S.; Voustianiouk, A.; Smail, C. Assessment of mortar and brick strength in earthquake-affected structures in Peru using a Schmidt hammer. J. Perform. Constr. Facil. 2010, 24, 634–640. [Google Scholar] [CrossRef]
- Felicetti, N.; Gattesco, A. Penetration test to study the mechanical response of mortar in ancient masonry buildings. Mater. Struct. 1998, 31, 350–356. [Google Scholar] [CrossRef]
- Marastoni, D.; Benedetti, A.; Pelà, L.; Pignagnoli, G. Torque Penetrometric Test for the in-situ characterization of historical mortars: Fracture mechanics interpretation and experimental validation. Constr. Build. Mater. 2017, 157, 509–520. [Google Scholar] [CrossRef]
- Łątka, D.; Matysek, P. Determination of mortar strength in historical brick masonry using the penetrometer test and double punch test. Materials 2020, 13, 2873. [Google Scholar] [CrossRef] [PubMed]
- de Vekey, R.C.; Sassu, M. Comparison of non-destructive in-situ mechanical tests on masonry mortars: The PNT-G method and Helix method. In Proceedings of the 11th IB2MAC Conference, Shanghai, China, 14–16 October 1997; pp. 376–384. [Google Scholar]
- de Vekey, R.C. In-situ tests for masonry. In Proceedings of the 9th IB2MAC Conference, Berlin, Germany, 13–16 October 1991; pp. 621–627. [Google Scholar]
- Benedetti, A.; Pela, L.; Aprile, A. Masonry property determination via splitting tests on cores with a rotated mortar layer. In Proceedings of the 8th International Seminar on Structural Masonry, Istanbul, Turkey, 5–7 November 2008; pp. 647–655. [Google Scholar]
- Pelà, L.; Benedetti, A.; Marastoni, D. Interpretation of experimental tests on small specimens of historical mortars. In Structural Analysis of Historical Constructions; Jasieńko, J., Ed.; DWE: Poland, Wroclaw, 2012; pp. 716–723. [Google Scholar]
- Marastoni, D.; Pela, L.; Benedetti, A.; Roca, P. Combining Brazilian Tests on masonry cores and Double Punch Tests for mechanical characterization of historical mortars. Constr. Build. Mater. 2016, 112, 112–127. [Google Scholar] [CrossRef]
- Schubert, P. Zur Festigkeit des Mörtels im Mauerwerk: Prűfung, Beurteilung; Mauerwerk-Kalender: Berlin, Germany, 1988. [Google Scholar]
- Schubert, P. Beurteilung der Druckfestigkeit von Ausgefűhrtem Mauerwerk aus kűnstlichen Steinen und Natursteinen; Mauerwerk-Kalender: Berlin, Germany, 1995. [Google Scholar]
- Pauser, A.; Pech, A.u.; Stagel, R. Vergleichende Untersuchungen zur Bestimmung der Mauerwerkfestigkeit. In-situ Prüfungen, Fugenbohrkerne, Komponentenfestigkeiten. In Forschungsbericht im Rahmen der Hochschuljubiläumsstiftung der Stadt Wien; Heft 54/94; Institut für Hochbau und Industriebau, TU Wien: Wien, Österreich, 1996. [Google Scholar]
- Matysek, P. Identification of Compressive Strength and Deformability of Brick Masonry in Existing Buildings; Cracow University of Technology: Krakow, Poland, 2014. [Google Scholar]
- Henzel, J.; Karl, S. Determination of strength of mortar in the joints of masonry by compression tests on small specimens. Darmstadt Concr. 1987, 21, 123–136. [Google Scholar]
- DIN 18555-9:1999; Prüfung von Mörteln mit Mineralischen Bindemitteln—Teil 9, Festmörtel: Bestimmung der Fugendruckfestigkeit. Deutsches Institut für Normung: Berlin, Germany, 1999.
- UIC 778-3R; Recommendations for the Inspection, Assessment and Maintenance of Masonry Arch Bridges. Final Draft. International Union of Railways: Paris, France, 2008.
- Matysek, P.; Seręga, S.; Kańka, S. Determination of the mortar strength using double punch testing. Procedia Eng. 2017, 193, 104–111. [Google Scholar] [CrossRef]
- Łątka, D.; Seręga, S.; Matysek, P. Estimation of mortar compressive strength based on spacimens extracted from masonry bed joints. In Structural Analysis of Historical Constructions; RILEM Bookseries; Aguilar, R., Torrealva, D., Moreira, S., Pando, M.A., Ramos, L., Eds.; Springer: Berlin/Heidelberg, Germany, 2019; Volume 18. [Google Scholar]
- Drdácký, M.F.; Makšìn, D.; Mekonone, M.D.; Slížková, Z. Compression tests on non-standard historic mortar specimens. In Proceedings of the HMC08—Historic Mortar Conference–Characterization, Diagnosis, Conservation, Repair and Compatibility, Lisbon, Portugal, 24–26 September 2008. [Google Scholar]
- Drdácký, M.F. Non-standard testing of mechanical characteristics of historic mortars. Int. J. Arch. Herit. 2011, 5, 383–394. [Google Scholar] [CrossRef]
- Sassoni, E.; Franzoni, E.; Mazzotti, C. Influence of sample thickness and capping on characterization of bedding mortars from historic masonries by double punch test (DPT). Key Eng. Mater. 2014, 624, 322–329. [Google Scholar] [CrossRef]
- Drdácký, M.F. Testing of historic mortars on non-standard small size specimens. In Proceedings of the RILEM Workshop In-Situ Evaluation of Historic Wood and Masonry Structures, Prague, Czech Republic, 10–14 July 2006. [Google Scholar]
- Šlivinskas, T.; Jonaitis, B.; Zavalis, R. Mortar compressive strength estimation by applying various experimental test methods. Procedia Eng. 2017, 172, 1123–1128. [Google Scholar] [CrossRef]
- Thomson, M.L.; Lindqvist, J.-E.; Elsen, J.; Grot, C.J.W.P. Porosity of historic mortars. In Proceedings of the 13th International Brick and Block Masonry Conference, Amsterdam, The Netherlands, 4–7 July 2004. [Google Scholar]
- Garijo, L.; Zhang, X.X.; Ruiz, G.; Ortega, J.J.; Wu, Z. The effects of dosage and production process on the mechanical and physical properties of natural hydraulic lime mortars. Constr. Build. Mater. 2018, 169, 325–334. [Google Scholar] [CrossRef]
- Ponce-Antón, G.; Arizzi, A.; Zuluaga, M.C.; Cultrone, G.; Ortega, L.A.; Mauleon, J.A. Mineralogical, Textural and Physical Characterisation to Determine Deterioration Susceptibility of Irulegi Castle Lime Mortars (Navarre, Spain). Materials 2019, 12, 584. [Google Scholar] [CrossRef] [PubMed]
- Benedetti, A.; Tarozzi, M. Interpretation formulas for in situ characterization of mortar strength. Constr. Build. Mater. 2020, 242, 118093. [Google Scholar] [CrossRef]
- EN 1996-1-1; Eurocode 6—Design of Masonry Structures—Part 1-1: General Rules for Reinforced and Unreinforced Masonry Structures. CEN: Brussels, Belgium, 2005.








| Brick Facilities | Mortar | Building Erection Time | Elements from Which Mortar Samples Were Cut |
|---|---|---|---|
| B1 | m1 | 60s of the 19th century | bridge arches |
| B2 | m2 | 80s of the 19th century | external walls |
| m3 | 50s of the 20th century | external walls | |
| B3 | m4 | 90s of the 19th century | external walls |
| m5 | second decade of the 20th century | internal walls | |
| B4 | m6 | middle of the 20th century | external, internal walls |
| Type of Mortar | n | tj1 | tj2 | ||||
|---|---|---|---|---|---|---|---|
| Range of | Mean | CoV | Range of | Mean | CoV | ||
| Values | Value | Values | Value | ||||
| [-] | [mm] | [mm] | [-] | [mm] | [mm] | [-] | |
| m1/g | 12 | 12.6–19.8 | 16.7 | 0.14 | 18.2–24.5 | 21.1 | 0,10 |
| m2/g | 26 | 13.2–25.6 | 20.6 | 0.12 | 20.4–30.1 | 25.3 | 0.09 |
| m3/g | 18 | 14.7–25.8 | 20.7 | 0.18 | 21.1–32.6 | 25.5 | 0.13 |
| m4/g m4/c | 12 10 | 12.4–25.6 17.5–28.0 | 18.3 22.2 | 0.23 0.16 | 17.3–35.2 21.5–31.5 | 25.1 26.3 | 0.20 0.12 |
| m5/g m5/c | 12 9 | 16.1–26.0 19.9–26.1 | 21.4 22.2 | 0.18 0.08 | 21.0–32.8 24.0–32.8 | 27.0 26.0 | 0.14 0.11 |
| m6/g m6/c | 9 9 | 13.9–26.5 18.2–27.8 | 19.3 22.5 | 0.24 0.13 | 17.2–25.3 24.6–35.8 | 22.7 29.3 | 0.18 0.12 |
| Mortar Samples | fj | dmax | Bulk Density (*) | |||
|---|---|---|---|---|---|---|
| Range of Value | Mean Value | Stand. | CoV | |||
| Deviation | ||||||
| [MPa] | [MPa] | [MPa] | [-] | [mm] | [g/cm3] | |
| m1/g | 7.5–17.4 | 10.7 | 2.94 | 0.28 | 16 | 1.57 |
| m2/g | 1.4–3.4 | 2.4 | 0.51 | 0.22 | 12 | 1.42 |
| m3/g | 11.7–27.7 | 18.3 | 4.78 | 0.26 | 9 | 1.77 |
| m4/g m4/c | 2.8–7.2 3.9–9.1 | 5.1 6.0 | 1.35 1.69 | 0.26 0.28 | 7 | 1.55 |
| m5/g m5/c | 11.1–19.6 9.4–20.5 | 14.7 16.1 | 3.11 3.58 | 0.21 0.22 | 7 | 1.70 |
| m6/g m6/c | 3.1–6.8 2.9–7.8 | 4.4 4.9 | 1.36 1.60 | 0.31 0.32 | 11 | 1.59 |
| Mortar Samples | A [MPa] | m [-] | fjg* (tj1min) [MPa] | fjg* (tj1min)/ fjg* (tj1mean) | fjg* (tj1mean) [MPa] | fjg* (tj1max) [MPa] | fjg* (tj1max)/ fjg* (tj1mean) | fjg* (tj1min)/ fjg* (tj1max) |
|---|---|---|---|---|---|---|---|---|
| m1/g | 9.73 | −0.31 | 11.2 | 1.09 | 10.3 | 9.8 | 0.95 | 1.14 |
| m2/g | 2.29 | −0.31 | 2.6 | 1.13 | 2.3 | 2.1 | 0.91 | 1.24 |
| m3/g | 17.71 | −0.027 | 17.9 | 1.02 | 17.8 | 17.6 | 0.99 | 1.02 |
| m4/g | 4.75 | −0.35 | 5.6 | 1.14 | 4.9 | 4.4 | 0.90 | 1.27 |
| m5/g | 14.82 | −0.59 | 16.8 | 1.17 | 14.4 | 12.7 | 0.88 | 1.32 |
| Mortar | tj1mean [mm] | fjg [MPa] | fm (6) [MPa] | fm (4) [MPa] | fm (7) [MPa] |
|---|---|---|---|---|---|
| m1/g | 16.7 | 10.7 | 9.8 | 9.0 | 7.8 |
| m2/g | 20.6 | 2.4 | 2.3 | 2.3 | 1.8 |
| m3/g | 20.7 | 18.3 | 17.9 | 17.5 | 12.9 |
| m4/g | 21.4 | 5.1 | 4.8 | 4.8 | 3.9 |
| m5/g | 19.3 | 14.7 | 14.5 | 14.6 | 11.6 |
Disclaimer/Publisher’s Note: The statements, opinions and data contained in all publications are solely those of the individual author(s) and contributor(s) and not of MDPI and/or the editor(s). MDPI and/or the editor(s) disclaim responsibility for any injury to people or property resulting from any ideas, methods, instructions or products referred to in the content. |
© 2025 by the authors. Licensee MDPI, Basel, Switzerland. This article is an open access article distributed under the terms and conditions of the Creative Commons Attribution (CC BY) license (https://creativecommons.org/licenses/by/4.0/).
Share and Cite
Matysek, P.; Witkowski, M. Strength Characteristics of Historical Mortars—Experimental Study Using the Double Punch Method. Materials 2025, 18, 4868. https://doi.org/10.3390/ma18214868
Matysek P, Witkowski M. Strength Characteristics of Historical Mortars—Experimental Study Using the Double Punch Method. Materials. 2025; 18(21):4868. https://doi.org/10.3390/ma18214868
Chicago/Turabian StyleMatysek, Piotr, and Michał Witkowski. 2025. "Strength Characteristics of Historical Mortars—Experimental Study Using the Double Punch Method" Materials 18, no. 21: 4868. https://doi.org/10.3390/ma18214868
APA StyleMatysek, P., & Witkowski, M. (2025). Strength Characteristics of Historical Mortars—Experimental Study Using the Double Punch Method. Materials, 18(21), 4868. https://doi.org/10.3390/ma18214868
