Synergistic Effects of Temperature and Cooling Rate on Lamellar Microstructure Evolution and Mechanical Performance in Ti-44.9Al-4.1Nb-1.0Mo-0.1B-0.05Y-0.05Si Alloy
Abstract
1. Introduction
2. Experimental Methods
3. Results
3.1. Microstructures of the As-Cast and As-Rolled TiAl Alloy
3.2. Microstructures of TiAl Alloy After Different Heat Treatment
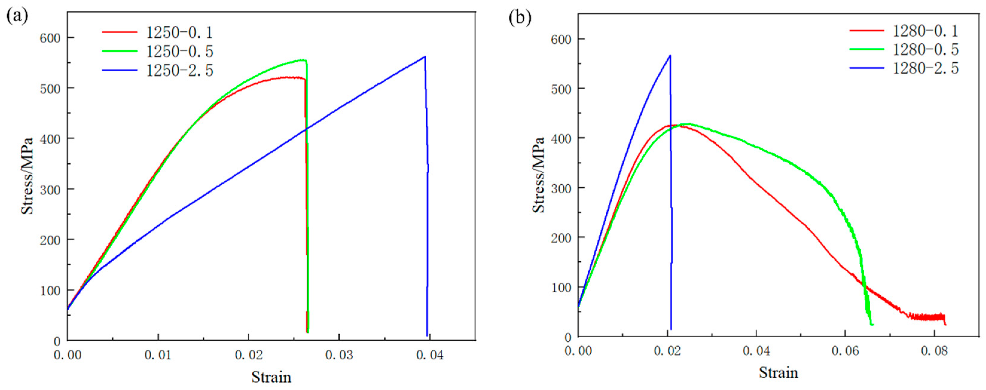
3.3. Mechanical Properties of TiAl Alloy
4. Discussion
4.1. Effect of Temperatures on the Microstructure of TiAl Alloys
4.2. Effect of Cooling Rates on the Microstructure of TiAl Alloys
4.2.1. Effect of Cooling Rates on the Interlamellar Spacing
4.2.2. Effect of Cooling Rates on the Grain Boundary Morphology
4.3. Effect of Microstructural Parameters on the Mechanical Properties of TiAl Alloys
5. Conclusions
- (1)
- During the rolling deformation process, the high-temperature disordered β phase possesses abundant slip systems and undergoes preferential deformation, acting as a “lubricating effect” to reduce flow stress during rolling. Lamellar colonies elongate along the deformation direction and may even fragment or decompose. In TiAl alloys, discontinuous dynamic recrystallization of γ grains is the dominant mechanism driving lamellar colony fragmentation during deformation.
- (2)
- When the heat treatment temperature is within the (α2 + β0 + γ) three-phase region, a higher volume fraction of β0 and γ phases exists around the lamellar colonies, restricting their coarsening. As the heat treatment temperature increases, γ phase continuously precipitates from the βo phase, leading to a gradual reduction in βo phase content. When the temperature rises to Tₐ, γ phase progressively transforms into α phase, further decreasing the β0 and γ phases that constrain colony growth while increasing the volumetric fraction of lamellar colonies. At 1280 °C, a nearly fully lamellar microstructure is obtained, with an average colony size approaching 41.2 μm. However, elevated temperatures have minimal impact on interlamellar spacing.
- (3)
- Cooling rate is a critical factor influencing lamellar colonies; higher cooling rates result in finer interlamellar spacing. Additionally, the precipitation behavior of γ lamellae is closely tied to the cooling rate. At extremely low cooling rates (0.1 °C/s), γ lamellae nucleate and grow exclusively at α grain boundaries. As the cooling rate increases, γ phase nucleates not only at α grain boundaries but also on the sides of pre-existing γ lamellae. At faster cooling rates, such as 2.5 °C/s, homogeneous nucleation of γ phase occurs within the lamellae. The morphology of lamellar colony boundaries is also strongly dependent on the cooling rate. At slow cooling rates, γ allotriomorphs merge and grow near grain boundaries, forming a zigzag interlocking morphology. When the cooling rate increases, γ allotriomorph growth is suppressed, and the colony boundaries transition from a zigzag interlocking to a smooth, straight morphology.
- (4)
- Fine lamellar colony sizes and interlamellar spacing effectively enhance tensile strength, where the relationship between tensile strength and interlamellar spacing is most critical: the smaller the interlamellar spacing, the higher the tensile strength. Brittle βo and γ phases are prone to incoherent deformation, leading to rapid crack nucleation and propagation; thus, brittle βo phases should be eliminated. Zigzag interlocking lamellar boundaries and uniformly distributed equiaxed γ grains inhibit crack propagation and improve plasticity.
Author Contributions
Funding
Institutional Review Board Statement
Informed Consent Statement
Data Availability Statement
Acknowledgments
Conflicts of Interest
References
- Mu, Y.; Liang, Y.; Sheng, J.; Zhang, C.; Guo, Z.; Yang, G.; Sun, T.; Wang, Y.; Lin, J. A novel approach to coating for improving the comprehensive high-temperature service performance of TiAl alloys. Acta Mater. 2025, 283, 120500. [Google Scholar] [CrossRef]
- Guo, Y.; Xiao, S.; Tian, J.; Xu, L.; Liang, Y.; Chen, Y. Significant improvement in high-temperature mechanical properties of Y2O3-reinforced TiAl alloys by heat treatment. Mater. Sci. Eng. A 2024, 893, 146139. [Google Scholar]
- Lin, J.; Chen, G. Development of TiAl Intermetallic Based Compound. Mater. China 2009, 28, 31–37. [Google Scholar]
- Bolz, S.; Oehring, M.; Lindemann, J.; Pyczak, F.; Paul, J.; Stark, A.; Lippmann, T.; Schrüfer, S.; Roth-Fagaraseanu, D.; Schreyer, A.; et al. Microstructure and mechanical properties of a forged β-solidifying γ TiAl alloy in different heat treatment conditions. Intermetallics 2015, 58, 71–83. [Google Scholar] [CrossRef]
- Yu, W.; Zhou, J.; Yin, Y.; Tu, Z.; Feng, X.; Nan, H.; Lin, J.; Ding, X. Effects of heat treatments on microstructures of TiAl alloys. Int. J. Miner. Met. Mater. 2022, 29, 1225–1230. [Google Scholar] [CrossRef]
- Bernal, D.; Chamorro, X.; Hurtado, I.; Madariaga, I. Evolution of lamellar microstructures in a cast TNM alloy modified with boron through single-step heat treatments. Intermetallics 2020, 124, 106842. [Google Scholar] [CrossRef]
- Huang, D.; Yao, X.; Zhou, Y.; Zhu, Q.; Tang, Y.; Huang, H.; Zhang, M.-X.; Yan, M. Tailoring microstructure and mechanical properties of β-solidifying TiAl alloy fabricated by laser-engineered net shaping through heat treatment. Addit. Manuf. 2023, 67, 103502. [Google Scholar] [CrossRef]
- Quan, L.; Li, X.B.; Xue, P.; Hao, J.J.; Qian, K.; Chen, B.; Li, J.Z.; Liu, K. Influence of heat treatment on microstructure of a new β-solidifying γ-TiAl alloy. J. Iron Steel Res. Int. 2024, 32, 239–248. [Google Scholar] [CrossRef]
- Qiang, F.; Kou, H.; Yang, G.; Tang, B.; Li, J. Multi-step heat treatment design for nano-scale lamellar structures of a cast Ti-45Al-8.5Nb-(W, B, Y) alloy. Intermetallics 2016, 79, 35–40. [Google Scholar] [CrossRef]
- Tian, S.; He, A.; Liu, J.; Zhang, Y.; Yang, Y.; Zhang, Y.; Jiang, H. Oxidation resistance of TiAl alloy improved by hot-pack rolling and cyclic heat treatment. Mater. Charact. 2021, 178, 111196. [Google Scholar]
- Zhu, H.; Seo, D.; Maruyama, K.; Au, P. Effect of lamellar spacing on microstructural instability and creep behavior of a lamellar TiAl alloy. Scr. Mater. 2006, 54, 1979–1984. [Google Scholar] [CrossRef]
- Klein, T.; Usategui, L.; Rashkova, B.; Nó, M.; Juan, J.S.; Clemens, H.; Mayer, S. Mechanical behavior and related microstructural aspects of a nano-lamellar TiAl alloy at elevated temperatures. Acta Mater. 2017, 128, 440–450. [Google Scholar] [CrossRef]
- Neogi, A.; Janisch, R. Unravelling the lamellar size-dependent fracture behavior of fully lamellar intermetallic γ-TiAl. Acta Mater. 2022, 227, 117698. [Google Scholar]
- Kastenhuber, M.; Klein, T.; Clemens, H.; Mayer, S. Tailoring microstructure and chemical composition of advanced γ-TiAl based alloys for improved creep resistance. Intermetallics 2018, 97, 27–33. [Google Scholar]
- Klein, T.; Schachermayer, M.; Holec, D.; Rashkova, B.; Clemens, H.; Mayer, S. Impact of Mo on the ω o phase in β -solidifying TiAl alloys: An experimental and computational approach. Intermetallics 2017, 85, 26–33. [Google Scholar] [CrossRef]
- Cui, N.; Wu, Q.; Yan, Z.; Zhou, H.; Wang, X. The microstructural evolution, tensile properties, and phase hardness of a TiAl alloy with a high content of the β phase. Materials 2019, 12, 2757. [Google Scholar] [CrossRef]
- Wang, X.; Li, T.; Liu, G.; Guo, R.; Wang, Z. Microstructure evolution and mechanical properties of Ti-44Al-5Nb-1Mo-2V-0.2B alloys in the cross hot-pack rolling process. Acta Metall. Sin. (Engl. Lett.) 2024, 60, 95–106. [Google Scholar]
- Gurrala, A.K.; Mohammed, R. Microstructural evolution, deformation mechanisms and texture development in friction stir welded nickel and molybdenum free-high nitrogen austenitic stainless steel. Mater. Charact. 2025, 225, 115129. [Google Scholar] [CrossRef]
- Cheng, L.; Qiang, F.; Li, J.; Bouzy, E. Quantitative evaluation of the lamellar kinking and rotation on the flow softening of γ-TiAl-based alloys at elevated temperatures. Mater. Lett. 2021, 290, 129458. [Google Scholar]
- Li, J.; Li, M.; Hu, L.; Shi, L.; Xiao, S.; Chen, Y.; Zhou, T. Dynamic recrystallization, phase transformation and deformation mechanisms of a novel Ti-43Al-6Nb-1Mo-1Cr alloy during the isothermal deformation. Mater. Charact. 2023, 199, 112789. [Google Scholar]
- Li, X.; Li, J.; Kou, H.; Song, L.; Zhang, T. Quantitative study of surface relief produced by formation of lamellar microstructure in a γ-TiAl based alloy. Mater. Lett. 2017, 188, 134–137. [Google Scholar]
- Zhu, H.; Seo, D.; Maruyama, K.; Au, P. Grain boundary morphology and Its effect on creep of TiAl alloys. Mater. Trans. 2004, 45, 3343–3348. [Google Scholar] [CrossRef][Green Version]
- Li, X. Study on the Formation and Growth Behavior of Lamellae in TiAl Alloy. Ph.D. Thesis, Northwestern Polytechnical University, Xi’an, China, 2018. [Google Scholar]
- Lapin, J.; Kamyshnykova, K.; Pelachová, T.; Nagy, Š. Effect of carbon addition and cooling rate on lamellar structure of peritectic TiAl-based alloy. Intermetallics 2021, 128, 107007. [Google Scholar]
- Zghal, S.; Thomas, M.; Couret, A. γ-allotriomorphs precipitation and lamellar transformation in a TiAl-based alloy. Intermetallics 2011, 19, 1627–1629. [Google Scholar]
- Xue, H.; Song, Y.; Tong, X.; Liang, Y.; Peng, H.; Wang, Y.; Shang, S.-L.; Liu, Z.-K.; Lin, J. Enhancing strength and ductility in high Nb-containing TiAl alloy additively manufactured via directed energy deposition. Addit. Manuf. 2024, 86, 104194. [Google Scholar]
- Yue, H.; Yang, J.; Miao, K.; Yao, Y.; Fan, G.; Zhang, F.; Liu, P.; Wu, H.; Wang, Y.; Li, R. Simultaneously enhanced tensile strength and ductility of nano-Y2O3-reinforced TiAl alloy prepared by directed energy deposition. Mater. Charact. 2024, 207, 113472. [Google Scholar] [CrossRef]












| Samples | Temperatures | Holding Times | Cooling Rates |
|---|---|---|---|
| 1 | 1150 °C | 10 min | 0.1 °C/s |
| 2 | 1150 °C | 10 min | 2.5 °C/s |
| 3 | 1220 °C | 10 min | 0.5 °C/s |
| 4 | 1250 °C | 10 min | 0.1 °C/s |
| 5 | 1250 °C | 10 min | 0.5 °C/s |
| 6 | 1250 °C | 10 min | 2.5 °C/s |
| 7 | 1280 °C | 10 min | 0.1 °C/s |
| 8 | 1280 °C | 10 min | 0.5 °C/s |
| 9 | 1280 °C | 10 min | 2.5 °C/s |
Disclaimer/Publisher’s Note: The statements, opinions and data contained in all publications are solely those of the individual author(s) and contributor(s) and not of MDPI and/or the editor(s). MDPI and/or the editor(s) disclaim responsibility for any injury to people or property resulting from any ideas, methods, instructions or products referred to in the content. |
© 2025 by the authors. Licensee MDPI, Basel, Switzerland. This article is an open access article distributed under the terms and conditions of the Creative Commons Attribution (CC BY) license (https://creativecommons.org/licenses/by/4.0/).
Share and Cite
Tan, F.; Li, Y.; Cui, J.; Liu, N.; Naseem, K.; Zhu, Z.; Tian, S. Synergistic Effects of Temperature and Cooling Rate on Lamellar Microstructure Evolution and Mechanical Performance in Ti-44.9Al-4.1Nb-1.0Mo-0.1B-0.05Y-0.05Si Alloy. Materials 2025, 18, 4641. https://doi.org/10.3390/ma18194641
Tan F, Li Y, Cui J, Liu N, Naseem K, Zhu Z, Tian S. Synergistic Effects of Temperature and Cooling Rate on Lamellar Microstructure Evolution and Mechanical Performance in Ti-44.9Al-4.1Nb-1.0Mo-0.1B-0.05Y-0.05Si Alloy. Materials. 2025; 18(19):4641. https://doi.org/10.3390/ma18194641
Chicago/Turabian StyleTan, Fengliang, Yantao Li, Jinbiao Cui, Ning Liu, Kashif Naseem, Zhichao Zhu, and Shiwei Tian. 2025. "Synergistic Effects of Temperature and Cooling Rate on Lamellar Microstructure Evolution and Mechanical Performance in Ti-44.9Al-4.1Nb-1.0Mo-0.1B-0.05Y-0.05Si Alloy" Materials 18, no. 19: 4641. https://doi.org/10.3390/ma18194641
APA StyleTan, F., Li, Y., Cui, J., Liu, N., Naseem, K., Zhu, Z., & Tian, S. (2025). Synergistic Effects of Temperature and Cooling Rate on Lamellar Microstructure Evolution and Mechanical Performance in Ti-44.9Al-4.1Nb-1.0Mo-0.1B-0.05Y-0.05Si Alloy. Materials, 18(19), 4641. https://doi.org/10.3390/ma18194641

