Study on the Corrosion Behavior of Additively Manufactured NiCoCrFeyMox High-Entropy Alloys in Chloride Environments
Abstract
1. Introduction
2. Materials and Methods
2.1. Experimental Material
2.2. Microstructural Characterization
2.3. Hardness Tests
2.4. Electrochemical Testing
2.5. XPS Analysis of Passive Films
3. Results
3.1. Phase Constitution, Microstructure, and Properties
3.1.1. Calculation of Solid-Phase Molar Fractions During Non-Equilibrium Solidification
3.1.2. XRD Analysis
3.1.3. Microstructural Analysis
3.1.4. Hardness Testing
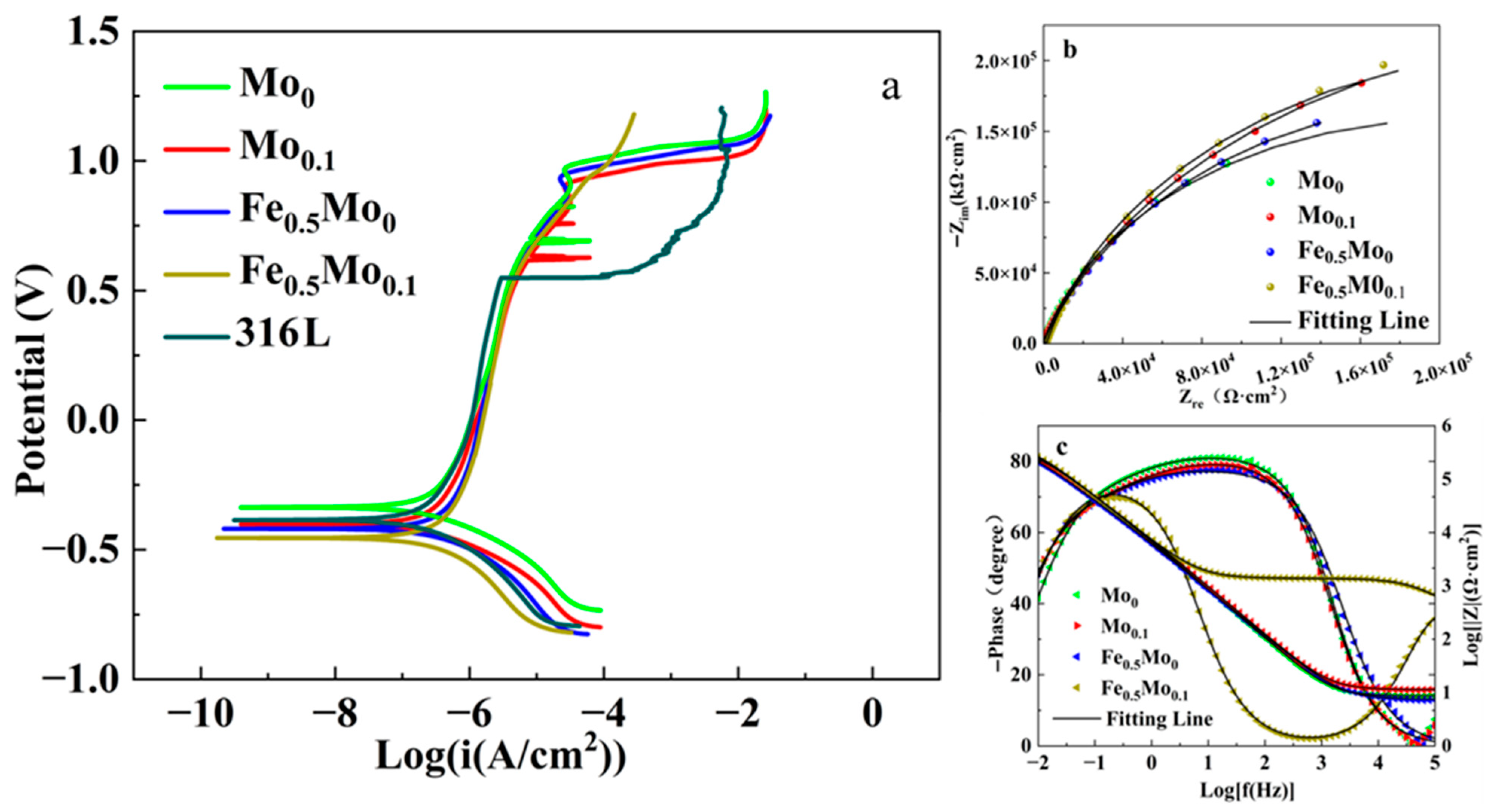
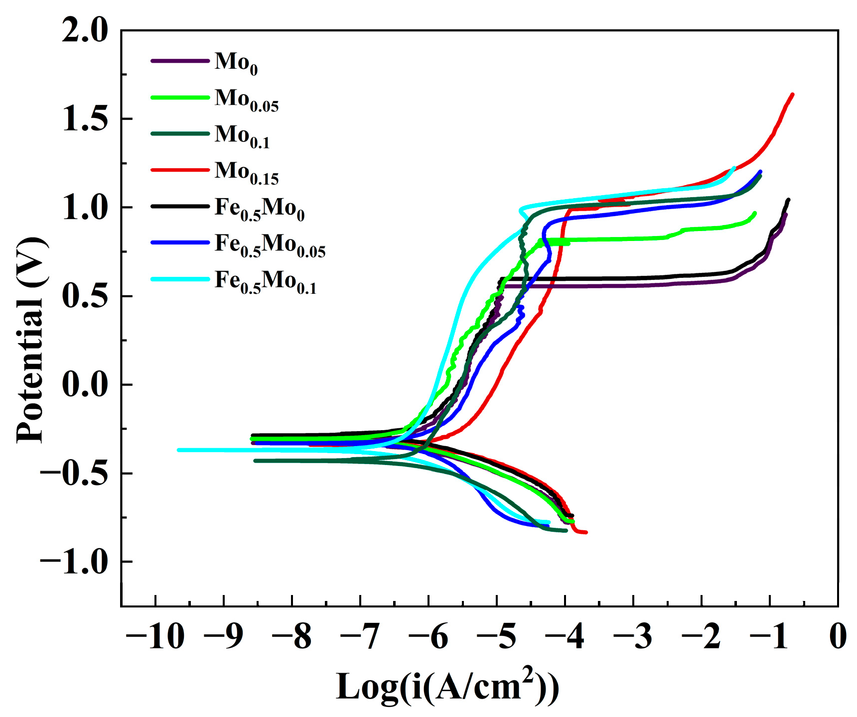
3.2. Electrochemical Testing and Corrosion Morphology Analysis
3.2.1. Electrochemical Testing
3.2.2. Corrosion Morphology Analysis
3.3. XPS Analysis of the Passive Film
4. Conclusions
- All FeCoCrNiMox and Fe0.5CoCrNiMox alloys (x = 0, 0.05, 0.1, 0.15) exhibited an FCC crystal structure. Mo addition led to a pronounced increase in hardness, particularly in Fe0.5CoCrNiMox alloys, with Fe0.5CoCrNiMo0.1 achieving the highest hardness.
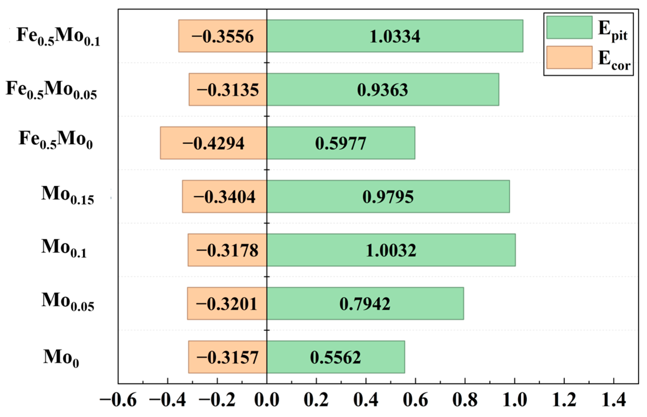
- All alloys fabricated via L-PBF exhibited good corrosion resistance at room temperature. At 60 °C, Mo addition significantly improved pitting resistance. Under the condition of the same atomic ratio of Mo, the non-equiatomic Fe0.5CoCrNi alloys demonstrated superior corrosion resistance compared with equiatomic FeCoCrNi alloys.
- XPS analysis of passive films formed under potentiostatic polarization revealed that Mo0.1 alloys contained a higher fraction of dense Cr2O3, which accounts for the enhanced pitting resistance of Mo-containing alloys.
Author Contributions
Funding
Institutional Review Board Statement
Informed Consent Statement
Data Availability Statement
Conflicts of Interest
Abbreviations
| HEA | High Entropy Alloy |
| FCC | Face-Centered Cubic |
| L-PBF | Laser powder bed fusion |
| SLM | Selective laser melting |
| IHT | Intrinsic heat treatment |
| SEM | Scanning electron microscope |
| EDS | Energy Dispersive Spectroscopy |
| EIS | Electrochemical impedance spectroscopy |
| OCP | Open-circuit potential |
| XPS | X-ray Photoelectron Spectroscopy |
| XRD | X-ray Diffraction |
References
- Hansson, C.M. 1—An introduction to corrosion of engineering materials. In Corrosion of Steel in Concrete Structures, 2nd ed.; Poursaee, A., Ed.; Woodhead Publishing: Cambridge, UK, 2023; pp. 1–16. [Google Scholar]
- Hansson, C.M. The Impact of Corrosion on Society. Metall. Mater. Trans. A 2011, 42, 2952–2962. [Google Scholar] [CrossRef]
- Hou, B.; Li, X.; Ma, X.; Du, C.; Zhang, D.; Zheng, M.; Xu, W.; Lu, D.; Ma, F. The cost of corrosion in China. NPJ Mater. Degrad. 2017, 1, 4. [Google Scholar] [CrossRef]
- Liu, Y.; Zhou, Y.; Wang, W.; Tian, L.; Zhao, J.; Sun, J. Synergistic damage mechanisms of high-temperature metal corrosion in marine environments: A review. Prog. Org. Coat. 2024, 197, 108765. [Google Scholar] [CrossRef]
- Ayyagari, A.; Hasannaeimi, V.; Grewal, H.S.; Arora, H.; Mukherjee, S. Corrosion, Erosion and Wear Behavior of Complex Concentrated Alloys: A Review. Metals 2018, 8, 603. [Google Scholar] [CrossRef]
- Yeh, J.-W.; Chen, S.-K.; Lin, S.-J.; Gan, J.-Y.; Chin, T.-S.; Shun, T.-T.; Tsau, C.-H.; Chang, S.-Y. Nanostructured high-entropy alloys with multiple principal elements: Novel alloy design concepts and outcomes. Adv. Eng. Mater. 2004, 6, 299–303. [Google Scholar] [CrossRef]
- Miracle, D.B.; Senkov, O.N. A critical review of high entropy alloys and related concepts. Acta Mater. 2017, 122, 448–511. [Google Scholar] [CrossRef]
- Cantor, B.; Chang, I.T.H.; Knight, P.; Vincent, A.J.B. Microstructural development in equiatomic multicomponent alloys. Mater. Sci. Eng. A 2004, 375–377, 213–218. [Google Scholar] [CrossRef]
- Tsai, K.Y.; Tsai, M.H.; Yeh, J.W. Sluggish diffusion in Co–Cr–Fe–Mn–Ni high-entropy alloys. Acta Mater. 2013, 61, 4887–4897. [Google Scholar] [CrossRef]
- Yen, H.; Yeh, A.-C.; Yeh, J.-W. High-entropy alloys: An overview on the fundamentals, development, and future perspective. In Encyclopedia of Condensed Matter Physics, 2nd ed.; Chakraborty, T., Ed.; Academic Press: Cambridge, MA, USA, 2024; pp. 647–658. [Google Scholar]
- Ye, Y.F.; Wang, Q.; Lu, J.; Liu, C.T.; Yang, Y. High-entropy alloy: Challenges and prospects. Mater. Today 2016, 19, 349–362. [Google Scholar] [CrossRef]
- Lin, D.; Xu, L.; Li, X.; Jing, H.; Qin, G.; Pang, H.; Minami, F. A Si-containing FeCoCrNi high-entropy alloy with high strength and ductility synthesized in situ via selective laser melting. Addit. Manuf. 2020, 35, 101340. [Google Scholar] [CrossRef]
- Qu, L.; Wang, W.; Li, P.; Zhao, J. Research Progress of Transition Metal-Free Fe-Cr-Co-Ni Type High-Entropy Alloys. Heat Process. Technol. 2016, 45, 15–19. [Google Scholar] [CrossRef]
- Wang, Z.; He, D.; Hou, Y.; Yang, L.; Su, H.; Wang, K. Constitutive model of additively manufactured FeCoCrNi high-entropy alloy. Emerg. Mater. Res. 2025, 14, 154–161. [Google Scholar] [CrossRef]
- Hou, Y. Research on In-situ Alloying Preparation Technology of Entropy Alloys in FeCoCrNi System by SLM. Ph.D. Thesis, Central Iron & Steel Research Institute, Beijing, China, 2022. [Google Scholar]
- Chang, W.; Wang, X.; Qian, H.; Chen, X.; Lou, Y.; Zhou, M.; Guo, D.; Kwok, C.T.; Tam, L.M.; Zhang, D. Effect of Sn addition on microstructure, hardness and corrosion behavior of CoCrFeNiSnx high entropy alloys in chloride environment. Corros. Sci. 2024, 227, 111808. [Google Scholar] [CrossRef]
- Xiao, H.; Liu, Y.; Wang, K.; Wang, Z.; Hu, T.; Fan, T.; Ma, L.; Tang, P. Effects of Mn Content on Mechanical Properties of FeCoCrNiMnx (0 ≤ x ≤ 0.3) High-Entropy Alloys: A First-Principles Study. Acta Metall. Sin. 2020, 34, 1–10. [Google Scholar] [CrossRef]
- Song, Y.; Yan, L.; Pang, X.; Su, Y.; Qiao, L.; Gao, K. Effects of co-alloying Al and Cu on the corrosion behavior and mechanical properties of nanocrystalline FeCrNiCo high entropy alloys. Corros. Sci. 2023, 213, 110983. [Google Scholar] [CrossRef]
- Pan, B.; Xu, X.; Yang, J.; Zhan, H.; Feng, L.; Long, Q.; Yao, Q.; Deng, J.; Cheng, L.; Lu, Z.; et al. Effect of Nb, Ti, and V on wear resistance and electrochemical corrosion resistance of AlCoCrNiMx (M = Nb, Ti, V) high-entropy alloys. Mater. Today Commun. 2024, 39, 109314. [Google Scholar] [CrossRef]
- Liu, J.; Wen, Z.; Tang, D.; Wang, M.; Wu, Z.; Ma, B.; Chen, Y.; Zhao, Y. Effects of Nb and Zr Alloying on the Microstructure, Mechanical Properties, and Corrosion Resistance of CoCrFeNi High-Entropy Alloys. J. Mater. Eng. Perform. 2024, 34, 5674–5685. [Google Scholar] [CrossRef]
- Zhu, M.; Li, K.; Liu, Y.; Wang, Z.; Yao, L.; Fa, Y.; Jian, Z. Microstructure, Corrosion Behaviour and Microhardness of Non-equiatomic Fe1.5CoNiCrCux (0.5 ≤ x ≤ 2.0) High-Entropy Alloys. Trans. Indian. Inst. Met. 2019, 73, 389–397. [Google Scholar] [CrossRef]
- Hsu, K.-M.; Chen, S.-H.; Lin, C.-S. Microstructure and corrosion behavior of FeCrNiCoMnx (x = 1.0, 0.6, 0.3, 0) high entropy alloys in 0.5 M H2SO4. Corros. Sci. 2021, 190, 109694. [Google Scholar] [CrossRef]
- Dai, C.; Zhao, T.; Du, C.; Liu, Z.; Zhang, D. Effect of molybdenum content on the microstructure and corrosion behavior of FeCoCrNiMox high-entropy alloys. J. Mater. Sci. Technol. 2020, 46, 64–73. [Google Scholar] [CrossRef]
- Fu, Y.; Li, J.; Luo, H.; Du, C.; Li, X. Recent advances on environmental corrosion behavior and mechanism of high-entropy alloys. J. Mater. Sci. Technol. 2021, 80, 217–233. [Google Scholar] [CrossRef]
- Liu, J.; Lv, Z.; Wu, Z.; Zhang, J.; Zheng, C.; Chen, C.; Ju, D.; Che, L. Research progress on the influence of alloying elements on the corrosion resistance of high-entropy alloys. J. Alloys Compd. 2024, 1002, 175394. [Google Scholar] [CrossRef]
- Luo, H.; Li, Z.; Mingers, A.M.; Raabe, D. Corrosion behavior of an equiatomic CoCrFeMnNi high-entropy alloy compared with 304 stainless steel in sulfuric acid solution. Corros. Sci. 2018, 134, 131–139. [Google Scholar] [CrossRef]
- Wang, Z.; Zhang, G.-H.; Yao, Y.; Fan, X.-H.; Jin, J.; Zhang, L.; Du, Y.-X. Corrosion Behaviour of a Non-equiatomic CoCrFeNiMo High-Entropy Alloy in H2S-Containing and H2S-Free Environments. Acta Metall. Sin. 2022, 36, 366–378. [Google Scholar] [CrossRef]
- Wang, Y.; Li, G.; Qi, H.; Zhang, W.; Chen, R.; Su, R.; Qu, Y. Effect of Al content on the corrosion behavior and mechanism of AlxCoCrFeNi high-entropy alloys. J. Mater. Res. Technol. 2024, 30, 5977–5989. [Google Scholar] [CrossRef]
- Zhang, L.; Tu, J.; Liang, Y.; Yang, W.; Zhang, X.; Zhou, Z.; Gu, Y.; Liu, Y.; Du, Y. Titanium doping levels and their effects on FeCoCrNi high-entropy alloys: From microstructure to performance. Mater. Charact. 2024, 215, 114136. [Google Scholar] [CrossRef]
- Zhu, X.; Wang, G.; Wang, X.; Zhao, G. Microstructure and mechanical properties of Al0.3FeCoCrNi high entropy alloy processed by laser powder bed fusion using FeCoCrNi and Al powder mixture. Mater. Sci. Eng. A-Struct. Mater. Prop. Microstruct. Process. 2022, 848, 143468. [Google Scholar] [CrossRef]
- Liu, C.; Gao, Y.; Chong, K.; Guo, F.; Wu, D.; Zou, Y. Effect of Nb content on the microstructure and corrosion resistance of FeCoCrNiNbx high-entropy alloys in chloride ion environment. J. Alloys Compd. 2023, 935, 168013. [Google Scholar] [CrossRef]
- Jarlöv, A.; Zhu, Z.; Ji, W.; Gao, S.; Hu, Z.; Vivegananthan, P.; Tian, Y.; Kripalani, D.R.; Fan, H.; Seet, H.L.; et al. Recent progress in high-entropy alloys for laser powder bed fusion: Design, processing, microstructure, and performance. Mater. Sci. Eng. R Rep. 2024, 161, 100834. [Google Scholar] [CrossRef]
- Cabrera-Correa, L.; González-Rovira, L.; de Dios López-Castro, J.; Botana, F.J. Pitting and intergranular corrosion of Scalmalloy® aluminium alloy additively manufactured by Selective Laser Melting (SLM). Corros. Sci. 2022, 201, 110273. [Google Scholar] [CrossRef]
- Qin, X.; Liu, S.; Duan, J.; Chen, W.; Fu, Z. Influence of grain sizes and secondary phases on the mechanical behavior and corrosion resistance in a non-equiatomic NiCrCoFeMoAlTi high-entropy alloy. Corros. Sci. 2024, 240, 112452. [Google Scholar] [CrossRef]
- Karlsson, D.; Marshal, A.; Johansson, F.; Schuisky, M.; Sahlberg, M.; Schneider, J.M.; Jansson, U. Elemental segregation in an AlCoCrFeNi high-entropy alloy—A comparison between selective laser melting and induction melting. J. Alloys Compd. 2019, 784, 195–203. [Google Scholar] [CrossRef]
- Kong, D.; Ni, X.; Dong, C.; Zhang, L.; Man, C.; Yao, J.; Xiao, K.; Li, X. Heat treatment effect on the microstructure and corrosion behavior of 316L stainless steel fabricated by selective laser melting for proton exchange membrane fuel cells. Electrochim. Acta 2018, 276, 293–303. [Google Scholar] [CrossRef]
- Chen, J.; Liu, Z.; Liu, C.; Zhang, B.; Liu, T.; Chen, G.; Qin, M.; Qu, X. Effects of scanning strategy and scanning speed on microstructures and mechanical properties of NiTi alloys by laser powder bed fusion. Mater. Sci. Eng. A 2024, 914, 147115. [Google Scholar] [CrossRef]
- Dong, H.; He, K.; Meng, X.; Xu, H.; Ming, G.; Du, Y.; Dai, K.; Dong, C. Influence of laser powder bed fusion scanning strategies on the magnetic and mechanical properties of NdFeB. J. Alloys Compd. 2025, 1020, 179384. [Google Scholar] [CrossRef]
- Zhang, Q.; Du, M.; Xiao, Y.; Wu, L.; Qian, J.; Zhang, C.; He, Y. Effects of molybdenum content and heat treatment on hydrogen evolution reaction properties and microstructure of FeCoCrNiMox high entropy alloys. Intermetallics 2024, 168, 108230. [Google Scholar] [CrossRef]
- Fu, A.; Xie, Z.; Wang, J.; Cao, Y.; Wang, B.; Li, J.; Fang, Q.; Li, X.; Liu, B.; Liu, Y. Controlling of cellular substructure and its effect on mechanical properties of FeCoCrNiMo0.2 high entropy alloy fabricated by selective laser melting. Mater. Sci. Eng. A 2024, 901, 146547. [Google Scholar] [CrossRef]
- Lin, D.Y.; Chen, Q.; Xi, X.; Ma, R.; Shi, Z.F.; Song, X.G.; Xia, H.B.; Bian, H.; Tan, C.W.; Lu, Y.X.; et al. Laser powder bed fusion to fabricate high-entropy alloy FeCoCrNiMo0.5 with excellent high-temperature strength and ductility. Mater. Sci. Eng. A-Struct. Mater. Prop. Microstruct. Process. 2024, 900, 146413. [Google Scholar] [CrossRef]
- Okonkwo, B.O.; Peng, J.; Lin, H.; Li, Z.; Li, L.; Chen, Y.; Fu, C.; You, W.; Xiang, C.; Pu, J.; et al. A comparative study of the long-term corrosion behavior of two different 304 stainless steels in boron-lithium containing high temperature water. Electrochim. Acta 2025, 538, 147010. [Google Scholar] [CrossRef]
- Lee, M.; Jang, J.; Chae, N.; Kim, J.S. High-temperature long-term corrosion of copper in aerobic environment. Nucl. Eng. Technol. 2025, 57, 103823. [Google Scholar] [CrossRef]
- Yue, K.; Wang, L.; Xu, Z.; Cheng, C.; Wang, Y.; Fan, Y.; Xu, J.; Wang, Z.; Chen, Z. Effect of Ti addition on the microstructure and corrosion behavior of laser cladding AlCoCrFeNi high-entropy alloy coatings. Vacuum 2024, 230, 113633. [Google Scholar] [CrossRef]
- Tian, Y.; Liu, J.; Xue, M.; Zhang, D.; Wang, Y.; Geng, K.; Dong, Y.; Yang, Y. Structure and corrosion behavior of FeCoCrNiMo high-entropy alloy coatings prepared by mechanical alloying and plasma spraying. Int. J. Miner. Metall. Mater. 2024, 31, 2692–2705. [Google Scholar] [CrossRef]
- Yao, J.; Macdonald, D.D.; Dong, C. Passive film on 2205 duplex stainless steel studied by photo-electrochemistry and ARXPS methods. Corros. Sci. 2019, 146, 221–232. [Google Scholar] [CrossRef]
- Wang, L.; Dong, C.; Yao, J.; Dai, Z.; Man, C.; Yin, Y.; Xiao, K.; Li, X. The effect of ɳ-Ni3Ti precipitates and reversed austenite on the passive film stability of nickel-rich Custom 465 steel. Corros. Sci. 2019, 154, 178–190. [Google Scholar] [CrossRef]
- Tian, H.; Cheng, X.; Wang, Y.; Dong, C.; Li, X. Effect of Mo on interaction between α/γ phases of duplex stainless steel. Electrochim. Acta 2018, 267, 255–268. [Google Scholar] [CrossRef]
- Badawy, W.A.; Al-Kharafi, F.M.; Al-Ajmi, J.R. Electrochemical behaviour of cobalt in aqueous solutions of different pH. J. Appl. Electrochem. 2000, 30, 693–704. [Google Scholar] [CrossRef]
- Cui, Z.; Chen, S.; Dou, Y.; Han, S.; Wang, L.; Man, C.; Wang, X.; Chen, S.; Cheng, Y.F.; Li, X. Passivation behavior and surface chemistry of 2507 super duplex stainless steel in artificial seawater: Influence of dissolved oxygen and pH. Corros. Sci. 2019, 150, 218–234. [Google Scholar] [CrossRef]
- Olefjord, I.; Wegrelius, L. The influence of nitrogen on the passivation of stainless steels. Corros. Sci. 1996, 38, 1203–1220. [Google Scholar] [CrossRef]
- Luo, H.; Gao, S.; Dong, C.; Li, X. Characterization of electrochemical and passive behaviour of Alloy 59 in acid solution. Electrochim. Acta 2014, 135, 412–419. [Google Scholar] [CrossRef]
- Feng, Z.; Cheng, X.; Dong, C.; Xu, L.; Li, X. Passivity of 316L stainless steel in borate buffer solution studied by Mott–Schottky analysis, atomic absorption spectrometry and X-ray photoelectron spectroscopy. Corros. Sci. 2010, 52, 3646–3653. [Google Scholar] [CrossRef]
- Lu, Y.C.; Clayton, C.R.; Brooks, A.R. A bipolar model of the passivity of stainless steels—II. The influence of aqueous molybdate. Corros. Sci. 1989, 29, 863–880. [Google Scholar] [CrossRef]
- Gerard, A.Y.; Kautz, E.J.; Schreiber, D.K.; Han, J.; McDonnell, S.; Ogle, K.; Lu, P.; Saal, J.E.; Frankel, G.S.; Scully, J.R. The role of chromium content in aqueous passivation of a non-equiatomic Ni38Fe20CrxMn21-0.5xCo21-0.5x multi-principal element alloy (x = 22, 14, 10, 6 at%) in acidic chloride solution. Acta Mater. 2023, 245, 118607. [Google Scholar] [CrossRef]
















| Alloys | Fe | Co | Cr | Ni | Mo |
|---|---|---|---|---|---|
| Mo0 | 24.77 | 26.14 | 23.06 | 26.03 | 0 |
| Mo0.05 | 24.25 | 25.59 | 22.58 | 25.49 | 2.08 |
| Mo0.1 | 23.76 | 25.07 | 22.12 | 24.97 | 4.08 |
| Mo0.15 | 23.28 | 24.57 | 21.68 | 24.47 | 6 |
| Fe0.5Mo0 | 14.14 | 29.83 | 26.32 | 29.71 | 0 |
| Fe0.5Mo0.05 | 13.8 | 29.12 | 25.7 | 29.01 | 2.37 |
| Fe0.5Mo0.1 | 13.48 | 28.45 | 25.1 | 28.34 | 4.63 |
| Fe0.5Mo0.15 | 13.17 | 27.81 | 24.54 | 27.69 | 6.79 |
| Alloys | Fe | Co | Cr | Ni | Mo | |
|---|---|---|---|---|---|---|
| Mo0 | a1 | 28 | 25.5 | 21.2 | 25.2 | / |
| a2 | 28.1 | 25.5 | 22.8 | 23.6 | / | |
| Mo0.05 | b1 | 24.7 | 26.2 | 22.1 | 23.7 | 3.3 |
| b2 | 24.7 | 25.6 | 23.4 | 23.8 | 2.5 | |
| Mo0.1 | c1 | 23.5 | 24.5 | 20.5 | 25.7 | 5.8 |
| c2 | 24 | 26.7 | 19.1 | 25.7 | 4.5 | |
| Mo0.15 | d1 | 22.6 | 24.3 | 23.5 | 23.8 | 5.8 |
| d2 | 22.9 | 24.9 | 23.6 | 23.3 | 5.4 | |
| Fe0.5Mo0 | e1 | 15 | 30.2 | 26.5 | 28.2 | / |
| e2 | 15.4 | 30.7 | 25.9 | 27.9 | / | |
| Fe0.5Mo0.05 | f1 | 16.9 | 29.6 | 21.9 | 28.3 | 3.3 |
| f2 | 16.8 | 29.9 | 21.5 | 29 | 2.8 | |
| Fe0.5Mo0.1 | g1 | 17.6 | 30.4 | 21.6 | 25.6 | 4.8 |
| g2 | 18 | 30.9 | 21 | 26 | 4.1 |
| Alloys | Ecorr (VSCE) | Icorr (A/cm2) | Epit (VSCE) |
|---|---|---|---|
| Mo0 | −0.3157 | 1.371 × 106 | 0.5562 |
| Mo0.05 | −0.3201 | 1.277 × 106 | 0.7942 |
| Mo0.1 | −0.3178 | 1.294 × 106 | 1.0032 |
| Mo0.15 | −0.3404 | 2.1267 × 106 | 0.9795 |
| Fe0.5Mo0 | −0.4294 | 2.541 × 106 | 0.5977 |
| Fe0.5Mo0.05 | −0.3135 | 6.173 × 106 | 0.9363 |
| Fe0.5Mo0.1 | −0.3556 | 9.012 × 107 | 1.0334 |
| Alloys | Rs (Ω·cm2) | CPE1 Y0(Ω−1·cm−2s−n) | n1 | Rf (Ω·cm2) | CPE2 Y0(Ω−1·cm−2s−n) | n2 | Rct (Ω·cm2) |
|---|---|---|---|---|---|---|---|
| Mo0 | 3.92 | 4.34 × 10−5 | 0.893 | 24363 | 2.27 × 10−5 | 0.693 | 2.45 × 105 |
| Mo0.1 | 9.36 | 4.12 × 10−5 | 0.836 | 48225 | 1.39 × 10−5 | 0.635 | 3.48 × 105 |
| Mo0.15 | 7.24 | 2.61 × 10−5 | 0.933 | 39569 | 7.75 × 10−6 | 0.668 | 3.10 × 105 |
Disclaimer/Publisher’s Note: The statements, opinions and data contained in all publications are solely those of the individual author(s) and contributor(s) and not of MDPI and/or the editor(s). MDPI and/or the editor(s) disclaim responsibility for any injury to people or property resulting from any ideas, methods, instructions or products referred to in the content. |
© 2025 by the authors. Licensee MDPI, Basel, Switzerland. This article is an open access article distributed under the terms and conditions of the Creative Commons Attribution (CC BY) license (https://creativecommons.org/licenses/by/4.0/).
Share and Cite
Xie, C.; Hou, Y.; Song, Y.; Mi, Z.; Li, F.; Guo, W.; He, D. Study on the Corrosion Behavior of Additively Manufactured NiCoCrFeyMox High-Entropy Alloys in Chloride Environments. Materials 2025, 18, 4544. https://doi.org/10.3390/ma18194544
Xie C, Hou Y, Song Y, Mi Z, Li F, Guo W, He D. Study on the Corrosion Behavior of Additively Manufactured NiCoCrFeyMox High-Entropy Alloys in Chloride Environments. Materials. 2025; 18(19):4544. https://doi.org/10.3390/ma18194544
Chicago/Turabian StyleXie, Chaoqun, Yaqing Hou, Youpeng Song, Zhishan Mi, Fafa Li, Wei Guo, and Dupeng He. 2025. "Study on the Corrosion Behavior of Additively Manufactured NiCoCrFeyMox High-Entropy Alloys in Chloride Environments" Materials 18, no. 19: 4544. https://doi.org/10.3390/ma18194544
APA StyleXie, C., Hou, Y., Song, Y., Mi, Z., Li, F., Guo, W., & He, D. (2025). Study on the Corrosion Behavior of Additively Manufactured NiCoCrFeyMox High-Entropy Alloys in Chloride Environments. Materials, 18(19), 4544. https://doi.org/10.3390/ma18194544

