Supersymmetric Single-Lateral-Mode GaN-Based Ridge-Waveguide Edge-Emitting Lasers
Highlights
- A supersymmetry approach using optical coupling between neighbouring ridges is applied to confine the fundamental mode and suppress the higher-order modes of nitride-based edge-emitting lasers.
- Double- and triple-ridge waveguide structures achieve strong mode discrimination and are analysed for stable single-mode operation.
- Triple-ridge waveguide structure exhibits double of the mode separation ratio of double-ridge structure, making it promising for high power single-mode operation.
Abstract
1. Introduction
2. Modelled Structures
3. Numerical Model
4. Results and Discussion
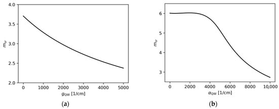
4.1. Single-Ridge-Waveguide Laser
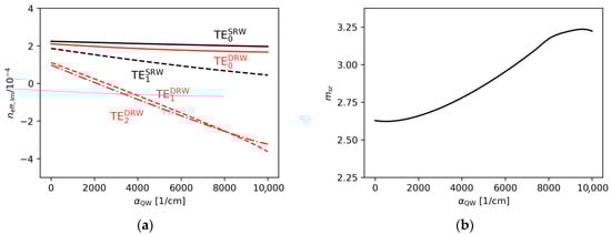
4.2. Double-Ridge-Waveguide Laser
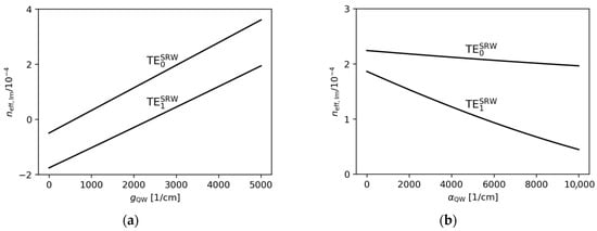
4.3. Triple Ridge-Waveguide Laser
5. Conclusions
Funding
Institutional Review Board Statement
Informed Consent Statement
Data Availability Statement
Acknowledgments
Conflicts of Interest
Abbreviations
| EEL | Edge-emitting laser |
| SUSY | Supersymmetry |
| PT | Parity-time |
| QW | Quantum well |
| QB | Quantum barrier |
| EBL | Electron blocking layer |
| WG | Waveguide |
| SRW | Single-ridge waveguide |
| DRW | Double-ridge waveguide |
| TRW | Triple-ridge waveguide |
| PWAM | Plane wave admittance method |
| PMLs | Perfectly matched layers |
| RT | Room temperature |
References
- Mu, L.; Zhu, X.; Yang, B.; Yang, L.; Xu, X.; Zhao, Y.; He, D. Development of a high-power blue diode laser for precision vaporization of prostate tissue for the surgical management of benign prostatic hyperplasia. UroPrecision 2023, 1, 105–115. [Google Scholar] [CrossRef]
- Yang, J.; Zhao, D.; Liu, Z.; Huang, Y.; Wang, B.; Wang, X.; Zhang, Y.; Zhang, Z.; Liang, F.; Duan, L.; et al. GaN based ultraviolet laser diodes. J. Semicond. 2024, 45, 011501. [Google Scholar] [CrossRef]
- Bojarska-Cieślińska, A.; Marona, Ł.; Smalc-Koziorowska, J.; Grzanka, S.; Weyher, J.; Schiavon, D.; Perlin, P. Role of dislocations in nitride laser diodes with different indium content. Sci. Rep. 2021, 11, 21. [Google Scholar] [CrossRef]
- Feng, M.; Liu, J.; Sun, Q.; Yang, H. III-nitride semiconductor lasers grown on Si. Prog. Quantum Electron. 2021, 77, 100323. [Google Scholar] [CrossRef]
- Wall, K.F.; Rines, G.A.; Pati, B.; Moulton, P.F. Blue Light Sources based on Ti:sapphire Lasers. In Imaging and Applied Optics; OSA Technical Digest (CD); Optica Publishing Group: Washington, DC, USA, 2011; p. LWA2. [Google Scholar]
- Wang, Y.; Liu, J.; Liu, Q.; Li, Y.; Zhang, K. Stable continuous-wave single-frequency Nd:YAG blue laser at 473 nm considering the influence of the energy-transfer upconversion. Opt. Express 2010, 18, 12044–12051. [Google Scholar] [CrossRef]
- Jalil, M. A study on the argon ion laser. Int. J. Res. Appl. Sci. Eng. Technol. 2024, 12, 1106–1112. [Google Scholar] [CrossRef]
- Walker, C.L.; Bryce, A.C.; Marsh, J.H. Improved catastrophic optical damage level from laser with nonabsorbing mirrors. IEEE Photonics Technol. Lett. 2002, 14, 1394–1396. [Google Scholar] [CrossRef]
- Redaelli, L.; Wenzel, H.; Martens, M.; Einfeldt, S.; Kneissl, M.; Tränkle, G. Index antiguiding in narrow ridge-waveguide (In,Al)GaN-based laser diodes. J. Appl. Phys. 2013, 114, 113102. [Google Scholar] [CrossRef]
- Wilkens, M.; Wenzel, H.; Fricke, J.; Maaßdorf, A.; Ressel, P.; Strohmaier, S.; Knigge, A.; Erbert, G.; Tränkle, G. High-efficiency broad-ridge waveguide lasers. IEEE Photonics Technol. Lett. 2018, 30, 545–548. [Google Scholar] [CrossRef]
- Huber, A.E.; Yeoh, T.S.; Swint, R.B.; Woo, C.Y.; Lee, K.E.; Roh, S.D.; Coleman, J.J.; Faircloth, B.O.; Zediker, M.S. Novel design for high-power single-lateral-node lasers. IEEE Photonics Technol. Lett. 2001, 13, 1064–1066. [Google Scholar] [CrossRef]
- Liang, H.K.; Yu, S.F.; Yang, H.Y. ZnO random laser diode arrays for stable single-mode operation at high power. Appl. Phys. Lett. 2010, 97, 241107. [Google Scholar] [CrossRef]
- El-Ganainy, R.; Ge, L.; Khajavikhan, M.; Christodoulides, D.N. Supersymmetric laser arrays. Phys. Rev. A 2015, 92, 033818. [Google Scholar] [CrossRef]
- Weinberg, S. The Quantum Theory of Fields, Volume 3: Supersymmetry; Cambridge University Press: Cambridge, UK, 2005. [Google Scholar]
- Cooper, F.; Khare, A.; Sukhatme, U. Supersymmetry in Quantum Mechanics; World Scientific: Singapore, 2001. [Google Scholar] [CrossRef]
- Sha, H.; Song, Y.; Chen, Y.; Liu, J.; Shi, M.; Wu, Z.; Zhang, H.; Qin, L.; Liang, L.; Jia, P.; et al. Advances in semiconductor lasers based on parity–time symmetry. Nanomaterials 2024, 14, 571. [Google Scholar] [CrossRef]
- Fu, T.; Wang, Y.; Zhou, X.; Du, F.; Fan, J.; Wang, X.; Chen, J.; Qi, A.; Zheng, W. Approaches to tuning the exceptional point of PT-symmetric double ridge stripe lasers. Opt. Express 2021, 29, 20440–20448. [Google Scholar] [CrossRef]
- Miri, M.-A.; Heinrich, M.; El-Ganainy, R.; Christodoulides, D.N. Supersymmetric optical structures. Phys. Rev. Lett. 2013, 110, 233902. [Google Scholar] [CrossRef]
- Rüter, C.E.; Makris, K.G.; El-Ganainy, R.; Christodoulides, D.N.; Segev, M.; Kip, D. Observation of parity–time symmetry in optics. Nat. Phys. 2010, 6, 192–195. [Google Scholar] [CrossRef]
- Zhao, X.; Zeng, S.; Sweatt, L.; Zhu, L. High-power single-mode triple-ridge waveguide semiconductor laser based on supersymmetry. AIP Adv. 2021, 11, 095216. [Google Scholar] [CrossRef]
- Şeker, E.; Olyaeefar, B.; Dadashi, K.; Şengül, S.; Teimourpour, M.H.; El-Ganainy, R.; Demir, A. Single-mode quasi PT-symmetric laser with high power emission. Light Sci. Appl. 2023, 12, 149. [Google Scholar] [CrossRef] [PubMed]
- Han, L.; Wang, Z.; Gordeev, N.Y.; Maximov, M.V.; Tang, X.; Beckman, A.A.; Kornyshov, G.O.; Payusov, A.S.; Shernyakov, Y.M.; Zhukov, A.E.; et al. Progress of edge-emitting diode lasers based on coupled-waveguide concept. Micromachines 2023, 14, 1271. [Google Scholar] [CrossRef]
- Hokmabadi, M.P.; Nye, N.S.; El-Ganainy, R.; Christodoulides, D.N.; Khajavikhan, M. Supersymmetric laser arrays. Science 2019, 363, 623–626. [Google Scholar] [CrossRef]
- Dąbrówka, D.; Sarzała, R.P.; Wasiak, M.; Kafar, A.; Perlin, P.; Saba, K. Thermal analysis of a two-dimensional array with surface light emission based on nitride EEL lasers. Opto-Electron. Rev. 2022, 30, e144115. [Google Scholar] [CrossRef]
- Aktas, M.; Kafar, A.; Stanczyk, S.; Marona, Ł.; Schiavon, D.; Grzanka, S.; Wiśniewski, P.; Perlin, P. Optimization of p-cladding layer utilizing polarization doping for blue-violet InGaN laser diodes. Opt. Laser Technol. 2024, 177, 111144. [Google Scholar] [CrossRef]
- Rakić, A.D.; Djurišic, A.B.; Elazar, J.M.; Majewski, M.L. Optical properties of metallic films for vertical-cavity optoelectronic devices. Appl. Opt. 1998, 37, 5271–5283. [Google Scholar] [CrossRef]
- Arosa, Y.; de la Fuente, R. Refractive index spectroscopy and material dispersion in fused silica glass. Opt. Lett. 2020, 45, 4268–4271. [Google Scholar] [CrossRef]
- Kitamura, R.; Pilon, L.; Jonasz, M. Optical constants of silica glass from extreme ultraviolet to far infrared at near room temperature. Appl. Opt. 2007, 46, 8118–8133. [Google Scholar] [CrossRef] [PubMed]
- Kuc, M.; Sarzała, R.P. Modelowanie Zjawisk Fizycznych w Krawędziowych Laserach Azotkowych Oraz Ich Matrycach [Modelling of Physical Phenomena in Edge-Emitting Nitride Lasers and Their Arrays]; Lodz University of Technology Press: Lodz, Poland, 2016. (In Polish) [Google Scholar]
- Kuc, M.; Sokół, A.K.; Piskorski, Ł.; Dems, M.; Wasiak, M.; Sarzała, R.P.; Czyszanowski, T. ITO layer as an optical confinement for nitride edge-emitting laser. Bull. Pol. Acad. Sci. Tech. Sci. 2020, 68, 147–154. [Google Scholar] [CrossRef]
- Dems, M.; Kotyński, R.; Panajotov, K. PlaneWave Admittance Method—A novel approach for determining the electromagnetic modes in photonic structures. Opt. Express 2005, 13, 3196–3207. [Google Scholar] [CrossRef] [PubMed]
- Taflove, A. Computational Electrodynamics: The Finite-Difference Time-Domain Method; Artech House Publishers: Boston, MA, USA, 1995. [Google Scholar]
- Piprek, J.; Wenzel, H.; Kneissl, M. Analysis of wavelength-dependent performance variations of GaN-Based ultraviolet lasers. In Optoelectronic Devices: Physics, Fabrication, and Application IV; Piprek, J., Wang, J.J., Eds.; Proceedings of SPIE: Bellingham, WA, USA, 2007; Volume 6766, p. 67660H. [Google Scholar] [CrossRef]
- Xing, Z.; Li, C.; Han, Y.; Hu, H.; Cheng, Z.; Wang, J.; Liu, T. Waveguide-integrated graphene spatial mode filters for on-chip mode-division multiplexing. Opt. Express 2019, 27, 19188–19195. [Google Scholar] [CrossRef] [PubMed]
















| Layer No. | Laser Element | Material | Thickness [nm] | Real Part of Refractive Index | Absorption Coefficient [cm−1] |
|---|---|---|---|---|---|
| 1 | Metal contact | Au | — | 1.43 a | 5 × 105 a |
| 2 | Insulation layer | SiO2 | 660 | 1.47 b | 0 c |
| 3 | Contact layer | p-GaN | 210 | 2.46 d | 6 e |
| 4 | Cladding | p-Al0.05GaN | 550 | 2.44 d | 6 e |
| 5 | Graded cladding | p-Al0.05GaN → p-GaN | 100 | 2.44 d → 2.46 d | 6 e → 3 e |
| 6 | Superlattice EBL | p-Al0.12GaN | 10 × 2.0 + | 2.41 d | 40 e |
| p-GaN | 9 × 2.0 = 38 | 2.46 d | 40 e | ||
| 7 | Spacer | GaN | 2.0 | 2.46 d | 0 f |
| 8 | Waveguide | In0.03GaN | 65 | 2.50 d | 0 f |
| 9 | QB | GaN | 4.0 | 2.46 d | 0 f |
| 10 | QW (deep) | In0.09GaN | 2.1 | 2.65 d | gain |
| 11 | QW (shallow) | In0.06GaN | 1.5 | 2.56 d | gain |
| 12 | QB | GaN | 5.0 | 2.46 d | 0 f |
| 13 | QW (deep) | In0.09GaN | 2.1 | 2.65 d | gain |
| 14 | QW (shallow) | In0.06GaN | 1.5 | 2.56 d | gain |
| 15 | QB | GaN | 5.0 | 2.46 d | 0 f |
| 16 | Waveguide | n-In0.03GaN | 50 | 2.50 d | 2 e |
| 17 | Spacer | n-GaN | 10 | 2.46 d | 4 e |
| 18 | Graded cladding | n-Al0→0.075GaN | 350 | 2.46 d → 2.43 d | 4 e |
| 19 | Cladding | n-Al0→0.075GaN | 800 | 2.43 d | 4 e |
| 20 | Cladding | n-Al0→0.025GaN | 2000 | 2.45 d | 4 e |
Disclaimer/Publisher’s Note: The statements, opinions and data contained in all publications are solely those of the individual author(s) and contributor(s) and not of MDPI and/or the editor(s). MDPI and/or the editor(s) disclaim responsibility for any injury to people or property resulting from any ideas, methods, instructions or products referred to in the content. |
© 2025 by the author. Licensee MDPI, Basel, Switzerland. This article is an open access article distributed under the terms and conditions of the Creative Commons Attribution (CC BY) license (https://creativecommons.org/licenses/by/4.0/).
Share and Cite
Piskorski, Ł. Supersymmetric Single-Lateral-Mode GaN-Based Ridge-Waveguide Edge-Emitting Lasers. Materials 2025, 18, 4453. https://doi.org/10.3390/ma18194453
Piskorski Ł. Supersymmetric Single-Lateral-Mode GaN-Based Ridge-Waveguide Edge-Emitting Lasers. Materials. 2025; 18(19):4453. https://doi.org/10.3390/ma18194453
Chicago/Turabian StylePiskorski, Łukasz. 2025. "Supersymmetric Single-Lateral-Mode GaN-Based Ridge-Waveguide Edge-Emitting Lasers" Materials 18, no. 19: 4453. https://doi.org/10.3390/ma18194453
APA StylePiskorski, Ł. (2025). Supersymmetric Single-Lateral-Mode GaN-Based Ridge-Waveguide Edge-Emitting Lasers. Materials, 18(19), 4453. https://doi.org/10.3390/ma18194453
