Thermal Stability of Color Centers in Lithium Fluoride Crystals Irradiated with Electrons and N, O, Kr, U Ions
Abstract
1. Introduction
2. Experimental and Theoretical Methods of Research
3. Results and Discussion
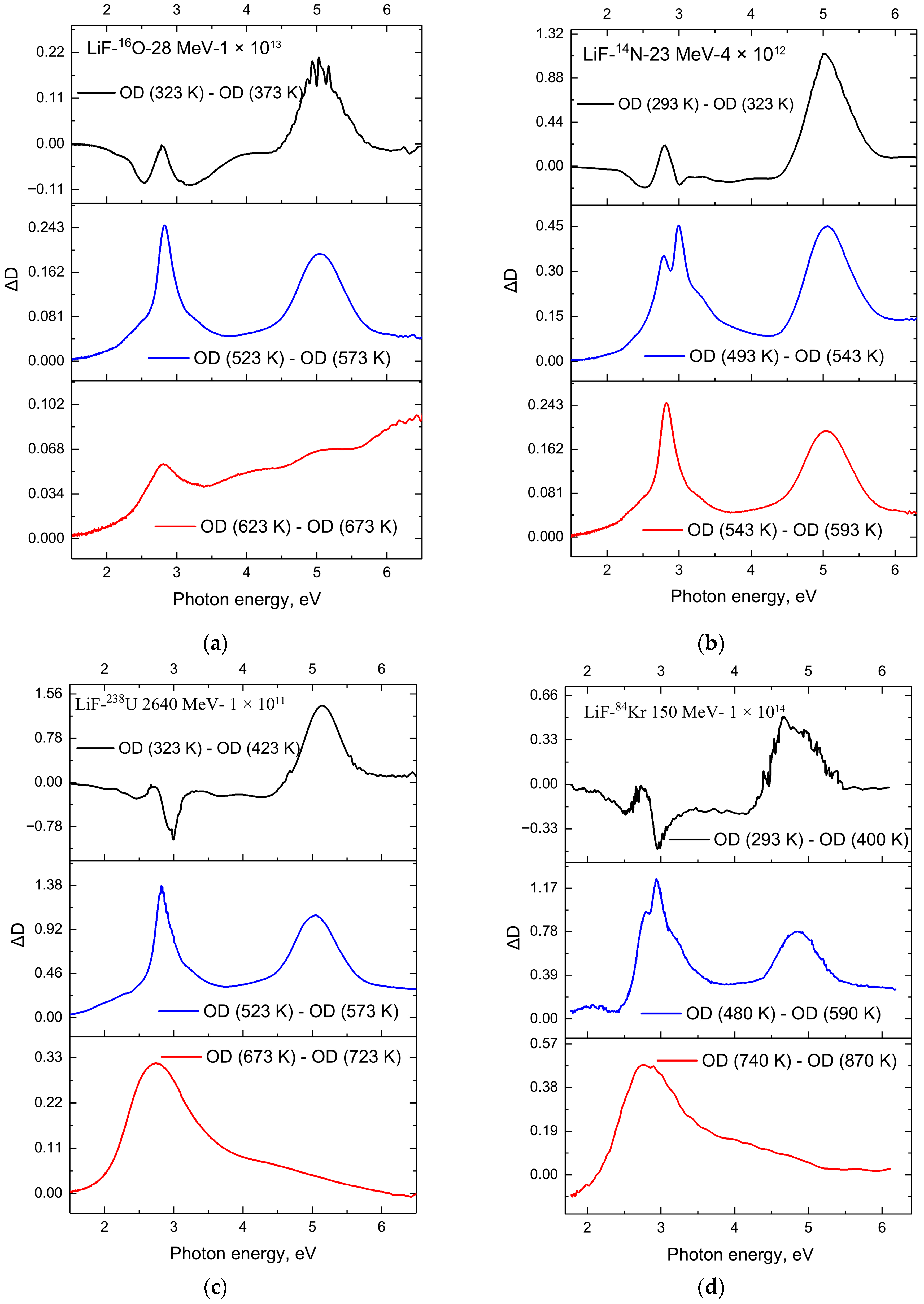
3.1. Experimental Investigation
3.2. Annealing Analysis of Defects
3.3. The F-Type Center Annealing Analysis
4. Conclusions
Author Contributions
Funding
Institutional Review Board Statement
Informed Consent Statement
Data Availability Statement
Conflicts of Interest
References
- Palmer, R.C. A prototype LiF radiation dosimeter for personnel monitoring. Int. J. Appl. Radiat. Isot. 1966, 17, 413–416. [Google Scholar] [CrossRef]
- Zhu, H.; Dong, S.; Zhao, Y.; Lee, P.K.; Yu, D.Y. High-performance graphite||Li4Ti5O12 dual-ion full batteries enabled by in-situ formation of LiF-rich solid electrolyte interphase on Li4Ti5O12 anode. J. Power Sources 2024, 592, 233953. [Google Scholar] [CrossRef]
- Li, J.; Cai, Y.; Zhang, F.; Cui, Y.; Fang, W.; Da, H.; Zhang, H.; Zhang, S. Exceptional interfacial conduction and LiF interphase for ultralong life PEO-based all-solid-state batteries. Nano Energy 2023, 118, 108985. [Google Scholar] [CrossRef]
- Zhuravlev, V.D.; Nefedova, K.V.; Evschik, E.Y.; Sherstobitova, E.A.; Kolmakov, V.G.; Dobrovolsky, Y.A.; Porotnikova, N.M.; Korchun, A.V.; Shikhovtseva, A.V. Effect of Lithium Borate Coating on the Electrochemical Properties of LiCoO2 Electrode for Lithium-Ion Batteries. Chim. Tech. Acta 2021, 8, 20218101. [Google Scholar] [CrossRef]
- Tolkacheva, A.S.; Porotnikova, N.M.; Farlenkov, A.S.; Il’ina, E.A.; Konopelko, M.A. LiAlO2 prepared by nitrates-free synthesis for carbon capture by MCFCs. Refract. Ind. Ceram. 2021, 62, 414–420. [Google Scholar] [CrossRef]
- Buryi, M.; Babin, V.; Laguta, V.; Spassky, D.A.; Nagirnyi, V.; Shlegel, V.N. Electron and hole trapping in Li2MoO4 cryogenic scintillator. Opt. Mater. 2021, 114, 110971. [Google Scholar] [CrossRef]
- Buryi, M.; Babin, V.; Laguta, V.; Yokota, Y.; Sato, H.; Yoshikawa, A.; Pejchal, J.; Nikl, M. Undoped and Eu, Na co-doped LiCaAlF6 scintillation crystals: Paramagnetic centers, charge trapping and energy transfer properties. J. Alloys Compd. 2021, 858, 158297. [Google Scholar] [CrossRef]
- Romet, I.; Buryi, M.; Corradi, G.; Feldbach, E.; Laguta, V.; Tichy-Rács, E.; Nagirnyi, V. Recombination luminescence and EPR of Mn doped Li2B4O7 single crystals. Opt. Mater. 2017, 70, 184–193. [Google Scholar] [CrossRef]
- Sekulić, M.; Ristić, Z.; Milićević, B.; Antić, Ž.; Đorđević, V.; Dramićanin, M.D. Li1.8Na0.2TiO3:Mn4+: The highly sensitive probe for the low-temperature lifetime-based luminescence thermometry. Opt. Commun. 2019, 452, 342–346. [Google Scholar] [CrossRef]
- Umar, Z.; Kurboniyon, M.S.; Khyzhun, O.; Yamamoto, T.; Ma, C.G.; Brik, M.G.; Piasecki, M. First-principles calculations of the electronic structure and mechanical properties of non-doped and Cr3+-Doped K2LiAlF6 under pressure. J. Lumin. 2024, 266, 120278. [Google Scholar] [CrossRef]
- Kenzhina, I.E.; Kozlovskiy, A.L.; Tolenova, A.; Begentayev, M.; Askerbekov, S. The connection between the accumulation of structural defects caused by proton irradiation and the destruction of the near-surface layer of Li4SiO4–Li2TiO3 ceramics. Opt. Mater. X 2024, 24, 100367. [Google Scholar]
- Zhang, J.; Zeng, L.; Li, C.; Huang, W.; Umar, Z.; Khyzhun, O.; Piasecki, M.; Chen, P.; Zhou, L.; Liu, W.; et al. Vivid and stable red pigment using octahedral coordinated Mn3+ as chromophore in Sr2LiScB4O10. Ceram. Int. 2025. [Google Scholar] [CrossRef]
- Shlimas, D.I.; Khametova, A.A.; Kozlovskiy, A.L.; Zdorovets, M.V. Study of defect formation mechanisms in Li2ZrO3/MgLi2ZrO4 ceramics using EPR spectroscopy. Opt. Mater. X 2025, 25, 100396. [Google Scholar] [CrossRef]
- Abyshev, B.K.; Giniyatova, S.G.; Kozlovskiy, A.L. Effect of irradiation temperature on the mobility of structural and vacancy defects in the damaged layer of Li2ZrO3 ceramics. Opt. Mater. X 2024, 24, 100376. [Google Scholar] [CrossRef]
- Shlimas, D.I.; Borgekov, D.B.; Kozlovskiy, A.L. Application of EPR spectroscopy method for comparative analysis of structural damage accumulation kinetics in two-phase lithium-containing ceramics. Opt. Mater. X 2025, 25, 100387. [Google Scholar] [CrossRef]
- Sharopov, U.; Juraev, T.; Kakhkhorov, S.; Juraev, K.; Kurbanov, M.; Karimov, M.; Saidov, D.; Kakhramonov, A.; Akbarova, F.; Rakhmatshoev, I.; et al. LiF: Past, present, and future in advanced material applications—Insights into battery technology: A review. Ionics 2025, 31, 7535–7563. [Google Scholar] [CrossRef]
- Schwartz, K.; Maniks, J.; Manika, I. A Review of Colour Center and Nanostructure Creation in LiF under Heavy Ion Irradiation. Phys. Scr. 2015, 90, 094011. [Google Scholar] [CrossRef]
- Sharopov, U.; Juraev, T.; Kakhkhorov, S.; Juraev, K.; Kurbanov, M.; Karimov, M.; Abdurakhmonov, O. New challenges for lithium fluoride: From dosimeter to solid-state batteries. Next Mater. 2025, 8, 100548. [Google Scholar] [CrossRef]
- Shunkeyev, K.; Kenzhebayeva, A.; Sagimbayeva, S.; Syrotych, Y.; Zorenko, Y. Luminescence of CsI: Na crystal scintillator under synchrotron radiation excitation. J. Lumin. 2025, 284, 121308. [Google Scholar]
- Tale, I.; Millers, D.; Kotomin, E. Role of tunnelling recombination in radiation-induced F-centre creation in alkali halide crystals at liquid helium temperatures. J. Phys. C Solid State Phys. 1975, 8, 2366. [Google Scholar]
- Shunkeyev, K.; Sagimbayeva, S.; Kenzhebayeva, A. Deformation-induced enhancement of Ex-emission in RbI and KI single crystals. Opt. Mater. X 2025, 27, 100416. [Google Scholar] [CrossRef]
- Kotomin, E.A.; Popov, A.I.; Eglitis, R.I. Correlated annealing of radiation defects in alkali halide crystals. J. Phys. Condens. Matter 1992, 4, 5901. [Google Scholar] [CrossRef]
- Shunkeyev, K.; Sagimbayeva, S.; Kenzhebayeva, A.; Serikkaliyeva, Z. The Nature of High-Temperature Peaks of Thermally Stimulated Luminescence in NaCl: Li and KCl: Na Crystals. Crystals 2025, 15, 67. [Google Scholar] [CrossRef]
- Chernov, S.A.; Trinkler, L.; Popov, A.I. Photo-and thermo-stimulated luminescence of CsI—Tl crystal after UV light irradiation at 80 K. Radiat. Eff. Defects Solids 1998, 143, 345–355. [Google Scholar] [CrossRef]
- Shunkeyev, K.; Sagimbayeva, S.; Ubaev, Z.; Kenzhebayeva, A. Mechanisms for Enhancing Luminescence Yield in KBr Crystals under the Influence of Low-Temperature Uniaxial Elastic Deformation. Crystals 2024, 14, 698. [Google Scholar] [CrossRef]
- Shunkeyev, K.S.; Sergeyev, D.M.; Sagimbayeva, S.Z.; Ubaev, Z.K.; German, A.E.; Litskevich, A.Y. Facility for Registration of Deformation-Stimulated Luminescence of Crystals. Instrum. Exp. Tech. 2024, 67, 511–518. [Google Scholar] [CrossRef]
- Itoh, N.; Stoneham, A.M. Materials modification by electronic excitation. Radiat. Eff. Defects Solids 2001, 155, 277–290. [Google Scholar] [CrossRef]
- Thevenard, P.; Perez, A.; Davenas, J.; Dupuy, C.H.S. Coloration of LiF by 56 MeV α-particles and 28 MeV deuterons I. Observation of colour centres produced at room temperature. Phys. Status Solidi (a) 1972, 9, 2, 517–522. [Google Scholar] [CrossRef]
- Kimura, K.; Kaneko, J.; Sharma, S.; Itoh, N. Stimulated emission and exciton complex in some insulator crystals irradiated by heavy ions. Nucl. Instuments Methods Phys. Res. B 1999, 154, 318–324. [Google Scholar] [CrossRef]
- Skuratov, V.A.; Gun, K.J.; Stano, J.; Zagorski, D.L. In situ luminescence as monitor of radiation damage under swift heavy ion irradiation. Nucl. Instrum. Methods Phys. Res. Sect. B Beam Interact. Mater. At. 2006, 245, 194–200. [Google Scholar]
- Schwartz, K.; Sorokin, M.; Lushchik, A.; Lushchik, C.; Vasil’chenko, E.; Papaleo, R.; de Souza, D.; Volkov, A.; Voss, K.-O.; Neumann, R.; et al. Color center creation in LiF crystals irradiated with 5- and 10-MeV Au ions. Nucl. Instrum. Methods Phys. Res. Sect. B Beam Interact. Mater. At. 2008, 266, 2736–2740. [Google Scholar] [CrossRef]
- Popov, A.I.; Balanzat, E. F centre production in CsI and CsI–Tl crystals under Kr ion irradiation at 15 K. Nucl. Instrum. Methods Phys. Res. Sect. B Beam Interact. Mater. At. 2000, 166, 545–549. [Google Scholar] [CrossRef]
- Schwartz, K.; Volkov, A.E.; Sorokin, M.V.; Trautmann, C.; Voss, K.O.; Neumann, R.; Lang, M. Effect of electronic energy loss and irradiation temperature on color-center creation in LiF and NaCl crystals irradiated with swift heavy ions. Phys. Rev. B Condens. Matter Mater. Phys. 2008, 78, 024120. [Google Scholar] [CrossRef]
- Lushchik, A.; Kuzovkov, V.N.; Kudryavtseva, I.; Popov, A.I.; Seeman, V.; Shablonin, E.; Vasil’chenko, E.; Kotomin, E.A. The Two Types of Oxygen Interstitials in Neutron-Irradiated Corundum Single Crystals: Joint Experimental and Theoretical Study. Phys. Status Solidi B 2022, 259, 2100317. [Google Scholar] [CrossRef]
- Koshimizu, M.; Kimura, K.; Fujimoto, Y.; Asai, K. Fast luminescence in vacuum ultraviolet region in heavy-ion-irradiated α-Al2O3. Nucl. Instuments Methods Phys. Res. B 2015, 365, 540–543. [Google Scholar] [CrossRef]
- Lushchik, A.; Karner, T.; Lushchik, C.; Schwartz, K.; Savikhin, F.; Shablonin, E.; Shugai, A.; Vasil’chenko, E. Electronic excitations and defect creation in wide-gap MgO and Lu3Al5O12 crystals irradiated with swift heavy ions. Nucl. Instuments Methods Phys. Res. B 2012, 286, 200–208. [Google Scholar] [CrossRef]
- Zdorovets, M.V.; Kozlovskiy, A.A.; ZhMoldabayeva, G.; Ivanov, I.A.; Konuhova, M. Radiation-induced degradation effects of optical properties of MgO ceramics caused by heavy ion irradiation. Opt. Mater. X 2025, 26, 100406. [Google Scholar] [CrossRef]
- Kozlovskiy, A.L.; Konuhova, M.; Borgekov, D.B.; Anatoli, P. Study of irradiation temperature effect on radiation-induced polymorphic transformation mechanisms in ZrO2 ceramics. Opt. Mater. 2024, 156, 115994. [Google Scholar] [CrossRef]
- Ryskulov, A.E.; Ivanov, I.A.; Kozlovskiy, A.L.; Konuhova, M. The effect of residual mechanical stresses and vacancy defects on the diffusion expansion of the damaged layer during irradiation of BeO ceramics. Opt. Mater. X 2024, 24, 100375. [Google Scholar] [CrossRef]
- Dauletbekova, A.; Maniks, J.; Manika, I.; Zabels, R.; Akilbekov, A.T.; Zdorovets, M.V.; Bikhert, Y.; Schwartz, K. Color centers and nanodefects in LiF crystals irradiated with 150 MeV Kr ions. Nucl. Instrum. Methods Phys. Res. Sect. B Beam Interact. Mater. At. 2012, 286, 56–60. [Google Scholar] [CrossRef]
- Schwartz, K.; Trautmann, C.; Steckenreiter, T.; Geiss, O.; Krämer, M. Damage and track morphology in LiF crystals irradiated with GeV ions. Phys. Rev. B 1998, 58, 11232. [Google Scholar] [CrossRef]
- Zabels, R.; Manika, I.; Schwartz, K.; Maniks, J.; Grants, R. MeV–GeV ion induced dislocation loops in LiF crystals. Nucl. Instrum. Methods Phys. Res. Sect. B 2014, 326, 318–321. [Google Scholar] [CrossRef]
- Manika, I.; Krasta, T.; Maniks, J.; Bikse, L.; Susinska, J.; Leimane, M.; Trausa, A.; Grants, R.; Popov, A.I. Effect of ion-induced nuclear reactions on structure modification and radiolysis in LiF irradiated by 410 MeV 36S ions. Opt. Mater. 2023, 138, 113686. [Google Scholar]
- Itoh, N. Creation of lattice defects by electronic excitation in alkali halides. Adv. Phys. 1982, 31, 491–551. [Google Scholar] [CrossRef]
- Itoh, N.; Tanimura, K. Formation of interstitial-vacancy pairs by electronic excitation in pure ionic-crystals. J. Phys. Chem. Solids 1990, 51, 717–735. [Google Scholar] [CrossRef]
- Lushchik, C.; Lushchik, A. Evolution of Anion and Cation Excitons in Alkali Halide Crystals. Phys. Solid State 2018, 60, 1487–1505. [Google Scholar] [CrossRef]
- Popov, A.I.; Kotomin, E.A.; Maier, J. Basic properties of the F-type centers in halides, oxides and perovskites. Nucl. Instrum. Methods Phys. Res. Sect. B 2010, 268, 3084–3089. [Google Scholar] [CrossRef]
- Kotomin, E.; Shluger, A. Quantum-chemical simulation of Frenkel pairs separation in a LiF crystal. Solid State Commun. 1981, 40, 669–672. [Google Scholar] [CrossRef]
- Shluger, A.L.; Gavartin, J.L.; Szymanski, M.A.; Stoneham, A.M. Atomistic modelling of radiation effects: Towards dynamics of exciton relaxation. Nucl. Instrum. Methods Phys. Res. Sect. B 2000, 166, 1–12. [Google Scholar] [CrossRef]
- Shluger, A.L.; Itoh, N.; Puchin, V.E.; Heifets, E.N. Two types of self-trapped excitons in alkali halide crystals. Phys. Rev. B 1991, 44, 1499. [Google Scholar] [CrossRef] [PubMed]
- Balanzat, E.; Bouffard, S.; Cassimi, A.; Doorhyee, E.; Protin, L.; Grandin, J.P.; Doualan, J.L.; Margerie, J. Defect creation in alkali-halides under dense electronic excitations: Experimental results on NaCl and KBr. Nucl. Instrum. Methods Phys. Res. Sect. B 1994, 91, 134–139. [Google Scholar] [CrossRef]
- Ziegler, J.F.; Ziegler, M.D.; Biersack, J.P. SRIM–The stopping and range of ions in matter. Nucl. Instrum. Methods Phys. Res. Sect. B 2010, 268, 11–12, 1818–1823. [Google Scholar] [CrossRef]
- Schwartz, K.; Volkov, A.E.; Sorokin, M.V.; Neumann, R.; Trautmann, C. Effect of irradiation parameters on defect aggregation during thermal annealing of LiF irradiated with swift ions and electrons. Phys. Rev. B—Condens. Matter Mater. Phys. 2010, 82, 144116. [Google Scholar] [CrossRef]
- Shvarts, K.K.; Vitol, A.Y.; Podin, A.V.; Kalnin, D.O.; Ekmanis, Y.A. Radiation effects in pile-irradiated LiF crystals. Phys. Status solidi (b) 1966, 18, 897–909. [Google Scholar] [CrossRef]
- Izerrouken, M.; Guerbous, L.; Meftah, A. Thermal annealing study of F center clusters in LiF single crystals. Nucl. Instrum. Methods Phys. Res. Sect. A 2010, 613, 9–14. [Google Scholar] [CrossRef]
- Izerrouken, M.; Meftah, A.; Nekkab, M. Color centers in neutron-irradiated Y3Al5O12, CaF2 and LiF single crystals. J. Lumin. 2007, 127, 696–702. [Google Scholar] [CrossRef]
- Dauletbekova, A.; Schwartz, K.; Sorokin, M.V.; Maniks, J.; Rusakova, A.; Koloberdin, M.; Zdorovets, M. LiF crystals irradiated with 150 MeV Kr ions: Peculiarities of color center creation and thermal annealing. Nucl. Instrum. Methods Phys. Res. Sect. B 2013, 295, 89–93. [Google Scholar] [CrossRef]
- Müller, C.; Benyagoub, A.; Lang, M.; Neumann, R.; Schwartz, K.; Toulemonde, M.; Trautmann, C. SFM study of ion-induced hillocks on LiF exposed to thermal and optical annealing. Nucl. Instrum. Methods Phys. Res. Sect. B 2003, 209, 175–178. [Google Scholar] [CrossRef]
- Popov, A.I.; Elsts, E.; Kotomin, E.A.; Moskina, A.; Karipbayev, Z.T.; Makarenko, I.; Pazylbek, S.; Kuzovkov, V.K. Thermal annealing of radiation defects in MgF2 single crystals induced by neutrons at low temperatures. Nucl. Instrum. Methods Phys. Res. Sect. B 2020, 480, 16–21. [Google Scholar] [CrossRef]
- Kuzovkov, V.N.; Popov, A.I.; Kotomin, E.A.; Moskina, A.M.; Vasilchenko, E.; Lushchik, A. Theoretical analysis of the kinetics of low-temperature defect recombination in alkali halide crystals. Low Temp. Phys. 2016, 42, 588–593. [Google Scholar] [CrossRef]
- Kotomin, E.A.; Kuzovkov, V.N.; Popov, A.I.; Vila, R. Kinetics of F center annealing and colloid formation in Al2O3. Nucl. Instrum. Methods Phys. Res. Sect. B 2016, 374, 107–110. [Google Scholar] [CrossRef]
- Mussaeva, M.A. Radiation-Stimulated Processes in MgF2 Crystals Doped with Rare-Earth Impurities. Ph.D. Thesis, National University of Uzbekistan, Tashkent, Uzbekistan, 2000. [Google Scholar]
- Nakagawa, M.; Okada, M.; Atobe, K.; Itoh, H.; Nakanishi, S.; Kondo, K. Color centers in irradiated MgF2. Radiat. Eff. Defects Solids 1991, 119, 663–668. [Google Scholar] [CrossRef]
- Lushchik, A.; Lushchik, C.; Schwartz, K.; Vasil’chenko, E.; Papaleo, R.; Sorokin, M.; Trautmann, C. Creation of nanosize defects in LiF crystals under 5-and 10-MeV Au ion irradiation at room temperature. Phys. Rev. B 2007, 76, 054114. [Google Scholar] [CrossRef]
- Trautmann, C.; Schwartz, K.; Costantini, J.M.; Steickenreiter, T.; Toulemonde, M. Radiation defects in lithium fluoride induced by heavy ions. Nucl. Instrum. Methods Phys. Res. Sect. B 1998, 146, 367–378. [Google Scholar] [CrossRef][Green Version]
- Kuzovkov, V.N.; Kotomin, E.A.; Popov, A.I. Kinetics of the electronic center annealing in Al2O3 crystals. J. Nucl. Mater. 2018, 502, 295–300. [Google Scholar] [CrossRef]
- Shablonin, E.; Popov, A.I.; Prieditis, G.; Vasil’chenko, E.; Lushchik, A. Thermal annealing and transformation of dimer F centers in neutron-irradiated Al2O3 single crystals. J. Nucl. Mater. 2021, 543, 152600. [Google Scholar] [CrossRef]
- Baubekova, G.; Akilbekov, A.; Kotomin, E.A.; Kuzovkov, V.N.; Popov, A.I.; Shablonin, E.; Vasil’chenko, E.; Zdorovets, M.; Lushchik, A. Thermal annealing of radiation damage produced by swift 132Xe ions in MgO single crystals. Nucl. Instrum. Methods Phys. Res. Sect. B 2020, 462, 163–168. [Google Scholar] [CrossRef]
- Lushchik, A.; Feldbach, E.; Kotomin, E.A.; Kudryavtseva, I.; Kuzovkov, V.N.; Popov, A.I.; Seeman, V.; Shablonin, E. Distinctive features of diffusion-controlled radiation defect recombination in stoichiometric magnesium aluminate spinel single crystals and transparent polycrystalline ceramics. Sci. Rep. 2020, 10, 7810–7819. [Google Scholar] [CrossRef]
- Kotomin, E.A.; Kuzovkov, V.N.; Lushchik, A.; Popov, A.I.; Shablonin, E.; Scherer, T.; Vasil’chenko, E. The Annealing Kinetics of Defects in CVD Diamond Irradiated by Xe Ions. Crystals 2024, 14, 546. [Google Scholar] [CrossRef]
- Kuzovkov, V.; Kotomin, E.; Vila, R. Theoretical analysis of thermal annealing kinetics of radiation defects in silica. J. Nucl. Mater. 2023, 579, 154381. [Google Scholar] [CrossRef]








| Center | Model | Absorption Maximum | |
|---|---|---|---|
| (nm) | (eV) | ||
| 250 (300 K) | 4.96 | ||
| 445 (300 K) | 2.79 | ||
| 625 | 1.98 | ||
| 950 | 1.31 | ||
| 317 (300 K) | 3.91 | ||
| 377 (300 K) | 3.29 | ||
| 442 | 2.81 | ||
| 820 | 1.51 | ||
| () | 518 (300 K) | 2.39 | |
| () | 540 (300 K) | 2.3 | |
| Ion | Energy (MeV) | Range (µm) | , KeV/nm | Electronic Stopping Power, KeV/nm | Nuclear Stopping Power, KeV/nm |
|---|---|---|---|---|---|
| 16O | 28 | 14.91 | 1.88 | 1.76 | 0.0013 |
| 14N | 23 | 14.13 | 1.63 | 1.52 | 0.0011 |
| 84Kr | 150 | 17.76 | 8.45 | 12.12 | 0.022 |
| 238U | 2640 | 94.02 | 28.08 | 0.03 | 0.0026 |
| 16O | 28 | 14.91 | 1.88 | 1.76 | 0.0013 |
| № | Experiment | Modeling | ||||
|---|---|---|---|---|---|---|
| Methods | Source | Dose (Gy) | Ref. | (eV) | ||
| 1 | Optical absorption | O ions 28 MeV Fluence cm−2 | This work | 0.37 | ||
| 2 | Optical absorption | N ions 23 MeV Fluence cm−2 | This work | 0.43 | ||
| 3 | Optical absorption | Kr ions 150 MeV Fluence cm−2 | This work | 0.28 | ||
| 4 | Optical absorption | U ions 2640 MeV Fluence cm−2 | This work | 0.86 | ||
| 5 | Optical absorption | Electrons 250 KeV | This work | 0.29 | 3.6 | |
| 6 | Optical absorption | Electrons 250 KeV | This work | 0.71 | ||
| 7 | Optical absorption | C ions 130 MeV Fluence cm−2 | [54] | 0.32 | ||
| 8 | Optical absorption | C ions 130 MeV Fluence cm−2 | [54] | 0.60 | ||
| 9 | Optical absorption | Electrons 10 MeV | [54] | 1.07 | ||
| 10 | Optical absorption | Au ions 709 MeV Fluence cm−2 | [54] | 0.31 | ||
| 11 | Optical absorption | Au ions 709 MeV Fluence cm−2 | [54] | 0.28 | ||
| 12 | Optical absorption | Xe ions 800 MeV Fluence cm−2 | [54] | 0.30 | ||
| 13 | Optical absorption | Pb ions 2300 MeV Fluence cm−2 | [54] | 0.27 | ||
| 14 | Optical absorption | U ions 2640 MeV Fluence cm−2 | [54] | 0.41 | ||
| 15 | EPR | Neutron irradiation n/cm−2 | [55] | 0.40 | ||
Disclaimer/Publisher’s Note: The statements, opinions and data contained in all publications are solely those of the individual author(s) and contributor(s) and not of MDPI and/or the editor(s). MDPI and/or the editor(s) disclaim responsibility for any injury to people or property resulting from any ideas, methods, instructions or products referred to in the content. |
© 2025 by the authors. Licensee MDPI, Basel, Switzerland. This article is an open access article distributed under the terms and conditions of the Creative Commons Attribution (CC BY) license (https://creativecommons.org/licenses/by/4.0/).
Share and Cite
Malikova, Z.; Karipbayev, Z.T.; Akilbekov, A.; Dauletbekova, A.; Popov, A.I.; Kuzovkov, V.N.; Abdrakhmetova, A.; Russakova, A.; Baizhumanov, M. Thermal Stability of Color Centers in Lithium Fluoride Crystals Irradiated with Electrons and N, O, Kr, U Ions. Materials 2025, 18, 4441. https://doi.org/10.3390/ma18194441
Malikova Z, Karipbayev ZT, Akilbekov A, Dauletbekova A, Popov AI, Kuzovkov VN, Abdrakhmetova A, Russakova A, Baizhumanov M. Thermal Stability of Color Centers in Lithium Fluoride Crystals Irradiated with Electrons and N, O, Kr, U Ions. Materials. 2025; 18(19):4441. https://doi.org/10.3390/ma18194441
Chicago/Turabian StyleMalikova, Zhadra, Zhakyp T. Karipbayev, Abdirash Akilbekov, Alma Dauletbekova, Anatoli I. Popov, Vladimir N. Kuzovkov, Ainash Abdrakhmetova, Alyona Russakova, and Muratbek Baizhumanov. 2025. "Thermal Stability of Color Centers in Lithium Fluoride Crystals Irradiated with Electrons and N, O, Kr, U Ions" Materials 18, no. 19: 4441. https://doi.org/10.3390/ma18194441
APA StyleMalikova, Z., Karipbayev, Z. T., Akilbekov, A., Dauletbekova, A., Popov, A. I., Kuzovkov, V. N., Abdrakhmetova, A., Russakova, A., & Baizhumanov, M. (2025). Thermal Stability of Color Centers in Lithium Fluoride Crystals Irradiated with Electrons and N, O, Kr, U Ions. Materials, 18(19), 4441. https://doi.org/10.3390/ma18194441

