Study on the High-Temperature Microwave Absorption Performance and Mechanism of SiC Nanowire-Reinforced Porous Si3N4 Ceramics
Abstract
1. Introduction
2. Experimental Procedure
2.1. Materials
2.2. Preparation of Porous SiCnw/Si3N4 and SiC/Si3N4 Ceramics
2.3. Characterization
3. Results and Discussion
3.1. Synthesis and Characterization
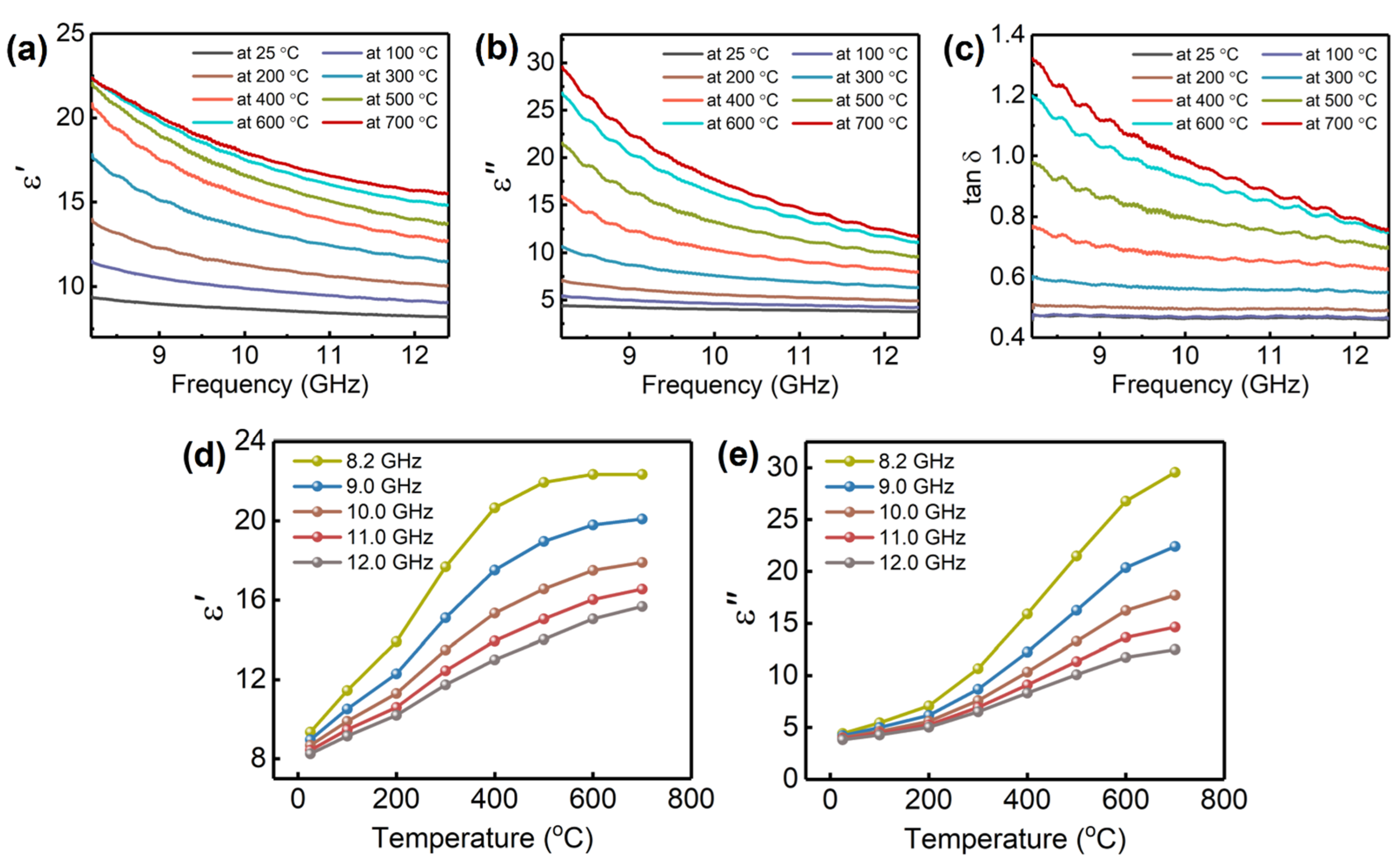
3.2. Dielectric and High-Temperature EMW Absorption Performance
4. Conclusions
Author Contributions
Funding
Institutional Review Board Statement
Informed Consent Statement
Data Availability Statement
Conflicts of Interest
References
- Xiao, S.; Mei, H.; Han, D.; Cheng, L. Sandwich-like SiCnw/C/Si3N4 porous layered composite for full X-band electromagnetic wave absorption at elevated temperature. Compos. Part B Eng. 2020, 183, 107629. [Google Scholar] [CrossRef]
- Xu, H.; Zhan, H.; Xu, Z.; Jing, C.; Chen, Q.; Zhu, M.; Kong, L.; Fan, X.; Qing, Y.; Wen, S.; et al. Sandwich-Like CNTs/Carbon@Si3N4 porous foam for temperature-insensitive electromagnetic wave absorption. Adv. Funct. Mater. 2025, 35, 2421242. [Google Scholar] [CrossRef]
- Zhang, J.; Fan, Z.; Li, B.; Ren, D.; Xu, M. Study on structure-function integrated polymer-based microwave-absorption composites. Polymers 2024, 16, 2472. [Google Scholar] [CrossRef]
- Yang, W.; Gao, Z.; Zhang, Y.; Shi, H.; Wang, A.; Fan, W. Controlled Synthesis and Absorption Mechanism Study of FCI@UFC Absorbents. Materials 2025, 18, 1017. [Google Scholar] [CrossRef] [PubMed]
- Shu, X.; Wang, Z.; Chen, R.; Fan, Y. A New Strategy for the High-Value Utilization of Cobalt Slag: A Solid-State Reaction for the Preparation of Microwave-Absorbing Composite Materials with Excellent Properties. Materials 2025, 18, 1373. [Google Scholar] [CrossRef] [PubMed]
- Ma, X.; Yin, X.; Fan, X.; Zhang, M.; Cheng, L. Evolution of mechanical and electromagnetic interference shielding properties of C/SiC during oxidation at 700 °C. Carbon 2020, 157, 1–11. [Google Scholar] [CrossRef]
- Wang, C.; Liu, Y.; Zhao, M.; Ye, F.; Cheng, L. Effects of upgrading temperature on electromagnetic shielding properties of three-dimensional graphene/SiBCN/SiC ceramic composites. Ceram. Int. 2019, 45, 21278–21285. [Google Scholar] [CrossRef]
- Zhou, J.; Wang, X.; Ge, K.; Yang, Z.; Li, H.; Guo, C.; Wang, J.; Shan, Q.; Xia, L. Core-shell structured nanocomposites formed by silicon coated carbon nanotubes with anti-oxidation and electromagnetic wave absorption. J. Colloid Interface Sci. 2022, 607, 881–889. [Google Scholar] [CrossRef]
- Xiao, W.; Xiao, P.; Luo, H.; Zhou, W.; Li, Y. Preparation and Dielectric Properties of Si3N4/BN(CB) Composite Ceramic. High Temp. Mater. Process. 2016, 35, 523–529. [Google Scholar]
- Song, X.; Lu, X.; Zhao, H.; Zheng, H. Study on Large-Scale Spatial Dynamic Absorption of Fe3O4@SiO2 Shell–Core and Nano-Fe3O4 Magnetic Particles. ACS Appl. Electron. Mater. 2021, 3, 5066–5076. [Google Scholar] [CrossRef]
- Wang, H.; Xiang, L.; Wei, W.; An, J.; He, J.; Gong, C.; Hou, Y. Efficient and Lightweight Electromagnetic Wave Absorber Derived from Metal Organic Framework-Encapsulated Cobalt Nanoparticles. ACS Appl. Mater. Interfaces 2017, 9, 42102–42110. [Google Scholar] [CrossRef]
- Gong, C.; Wang, X.; Zhang, X.; Zhao, X.; Meng, H.; Jia, Y.; Zhang, J.; Zhang, Z. Synthesis of Ni/SiO2 nanocomposites for tunable electromagnetic absorption. Mater. Lett. 2014, 121, 81–84. [Google Scholar] [CrossRef]
- Pavese, M.; Fino, P.; Badini, C.; Ortona, A.; Marino, G. HfB2/SiC as a protective coating for 2D Cf/SiC composites: Effect of high temperature oxidation on mechanical properties. Surf. Coat. Tech. 2008, 202, 2059–2067. [Google Scholar] [CrossRef]
- Lan, X.; Li, Y.; Wang, Z. High-temperature electromagnetic wave absorption, mechanical and thermal insulation properties of in-situ grown SiC on porous SiC skeleton. Chem. Eng. J. 2020, 397, 125250. [Google Scholar] [CrossRef]
- Yuan, J.; Li, X.; Pan, G.; Zhang, S.; Cui, Y.; Zhu, R.; Lu, H.; Song, Q. Effect of SiC-Si4N3 ceramic reinforcement on the microstructure and corrosion resistance to molten aluminum of laser-cladded Co-based coatings. Ceram. Int. 2025, 51, 13493–13506. [Google Scholar] [CrossRef]
- Yin, S.; Jiang, Y.; Fang, X.; Wang, Y.; Yang, J. High-strength and low-dielectric porous Si3N4 ceramics prepared by gelcasting using DMAA. J. Alloy. Compd. 2022, 896, 162945. [Google Scholar] [CrossRef]
- Yu, Y.; Li, L.; Ma, C.; Cheng, C.; Ren, J. Oxidation resistance, oxidation mechanism and mechanical properties of ZrB2-SiC-TaB2 ceramics. Ceram. Int. 2025, 51, 13522–13536. [Google Scholar] [CrossRef]
- Zhao, D.; Fan, X.; Yin, X.; Cao, X.; Zhang, J. Oxidation Behavior of Tyranno ZMI-SiC Fiber/SiC-SiBC Matrix Composite from 800 to 1200 °C. Materials 2018, 11, 1367. [Google Scholar] [CrossRef]
- Kuang, B.; Dou, Y.; Wang, Z.; Ning, M.; Jin, H.; Guo, D.; Cao, M.; Fang, X.; Zhao, Y.; Li, J. Enhanced microwave absorption properties of Co-doped SiC at elevated temperature. Appl. Surf. Sci. 2018, 445, 383–390. [Google Scholar] [CrossRef]
- Liu, W.; Shao, Q.; Ji, G.; Liang, X.; Cheng, Y.; Quan, B.; Du, Y. Metal–organic-frameworks derived porous carbon-wrapped Ni composites with optimized impedance matching as excellent lightweight electromagnetic wave absorber. Chem. Eng. J. 2017, 313, 734–744. [Google Scholar] [CrossRef]
- Kong, L.; Yin, X.; Ye, F.; Li, Q.; Zhang, L.; Cheng, L. Electromagnetic Wave Absorption Properties of ZnO-Based Materials Modified with ZnAl2O4 Nanograins. J. Phys. Chem. C 2013, 117, 2135–2146. [Google Scholar] [CrossRef]
- Li, M.; Yin, X.; Zheng, G.; Chen, M.; Tao, M.; Cheng, L.; Zhang, L. High-temperature dielectric and microwave absorption properties of Si3N4–SiC/SiO2 composite ceramics. J. Mater. Sci. 2014, 50, 1478–1487. [Google Scholar] [CrossRef]
- Yang, F.; Xue, J.; Ma, Y.; Fan, X.; Zhang, S.; Fan, S.; Ma, W.; Zeng, Q.; Cheng, L. Impedance matching optimization of SiCf/Si3N4–SiOC composites for excellent microwave absorption properties. Ceram. Int. 2022, 48, 1889–1897. [Google Scholar] [CrossRef]
- Li, X.; Zhang, L.; Yin, X. Effect of chemical vapor infiltration of Si3N4 on the mechanical and dielectric properties of porous Si3N4 ceramic fabricated by a technique combining 3-D printing and pressureless sintering. Scr. Mater. 2012, 67, 380–383. [Google Scholar] [CrossRef]
- Dou, Y.; Li, J.; Fang, X.; Jin, H.; Cao, M. The enhanced polarization relaxation and excellent high-temperature dielectric properties of N-doped SiC. Appl. Phys. Lett. 2014, 104, 052102. [Google Scholar] [CrossRef]
- Shen, Z.; Chen, J.; Li, B.; Li, G.; Zhang, Z.; Hou, X. Recent progress in SiC nanowires as electromagnetic microwaves absorbing materials. J. Alloys Compd. 2020, 815, 152388. [Google Scholar] [CrossRef]
- Kuang, J.; Jiang, P.; Ran, F.; Cao, W. Conductivity-dependent dielectric properties and microwave absorption of Al-doped SiC whiskers. J. Alloys Compd. 2016, 687, 227–231. [Google Scholar] [CrossRef]
- Han, M.; Yin, X.; Duan, W.; Ren, S.; Zhang, L.; Cheng, L. Hierarchical graphene/SiC nanowire networks in polymer-derived ceramics with enhanced electromagnetic wave absorbing capability. J. Eur. Ceram. Soc. 2016, 36, 2695–2703. [Google Scholar] [CrossRef]
- Bai, J.; Huang, S.; Yao, X.; Liu, X.; Huang, Z. Surface engineering of nanoflower-like MoS2 decorated porous Si3N4 ceramics for electromagnetic wave absorption. J. Mater. Chem. A 2023, 11, 6274–6285. [Google Scholar] [CrossRef]
- Bai, J.; Huang, S.; Yao, X.; Liu, X.; Huang, Z. Construction of the SiC nanowires network structure decorated by MoS2 nanoflowers in porous Si3N4 ceramics for electromagnetic wave absorption. Chem. Eng. J. 2023, 469, 143809. [Google Scholar] [CrossRef]
- Hou, T.; Jia, Z.; He, S.; Su, Y.; Zhang, X.; Xu, B.; Liu, X.; Wu, G. Design and synthesis of NiCo/Co4S3@C hybrid material with tunable and efficient electromagnetic absorption. J. Colloid Interface Sci. 2021, 583, 321–330. [Google Scholar] [CrossRef]
- Cheng, Z.; Liu, Y.; Ye, F.; Zhang, C.; Qin, H.; Wang, J.; Cheng, L. Microstructure and EMW absorbing properties of SiCnw/SiBCN-Si3N4 ceramics annealed at different temperatures. J. Eur. Ceram. Soc. 2020, 40, 1149–1158. [Google Scholar] [CrossRef]
- Duan, W.; Yin, X.; Cao, F.; Jia, Y.; Xie, Y.; Greil, P.; Travitzky, N. Absorption properties of twinned SiC nanowires reinforced Si3N4 composites fabricated by 3D-prining. Mater. Lett. 2015, 159, 257–260. [Google Scholar] [CrossRef]
- Liu, P.; Ng, V.M.H.; Yao, Z.; Zhou, J.; Lei, Y.; Yang, Z.; Lv, H.; Kong, L.B. Facile Synthesis and Hierarchical Assembly of Flowerlike NiO Structures with Enhanced Dielectric and Microwave Absorption Properties. ACS Appl. Mater. Interfaces 2017, 9, 16404–16416. [Google Scholar] [CrossRef]
- Yang, H.; Cao, W.; Zhang, D.; Su, T.; Shi, H.; Wang, W.; Yuan, J.; Cao, M. NiO hierarchical nanorings on SiC: Enhancing relaxation to tune microwave absorption at elevated temperature. ACS Appl. Mater. Interfaces 2015, 7, 7073–7077. [Google Scholar] [CrossRef]
- Liu, Y.; Luo, F.; Zhou, W.; Zhu, D. Dielectric and microwave absorption properties of Ti3SiC2 powders. J. Alloys Compd. 2013, 576, 43–47. [Google Scholar] [CrossRef]
- Tsyhanok, D.; Meisak, D.; Blyweert, P.; Selskis, A.; Macutkevic, J.; Banys, J.; Fierro, V.; Celzard, A. Investigating 3D-Printed Carbon-Carbonyl Iron Composites for Electromagnetic Applications. Polymers 2025, 17, 1009. [Google Scholar] [CrossRef]
- Liu, K.; Ai, Y.; Cui, M.; Huang, R.; Su, R. Graphitization Optimization of Cobalt-Doped Porous Carbon Derived from Seaweed Sludge for Enhanced Microwave Absorption. Polymers 2025, 17, 1572. [Google Scholar] [CrossRef]
- Wen, B.; Cao, M.; Hou, Z.; Song, W.; Zhang, L.; Lu, M.; Jin, H.; Fang, X.; Wang, W.; Yuan, J. Temperature dependent microwave attenuation behavior for carbon-nanotube/silica composites. Carbon 2013, 65, 124–139. [Google Scholar] [CrossRef]
- Liu, Q.; Cao, Q.; Bi, H.; Liang, C.; Yuan, K.; She, W.; Yang, Y.; Che, R. CoNi@SiO2@TiO2 and CoNi@Air@TiO2 Microspheres with Strong Wideband Microwave Absorption. Adv. Mater. 2015, 28, 486–490. [Google Scholar] [CrossRef]
- Wang, W.; Wang, L.; Huang, J.; Gu, Q.; Lu, Y.; Ge, C.; Liu, G. Leveraging counteractive temperature-dependent resistivity among components for temperature-insensitive electromagnetic characteristics in lightweight SiOCN ceramics. Chem. Eng. J. 2025, 513, 163011. [Google Scholar] [CrossRef]
- Song, Y.; Jin, S.; Hu, K.; Du, Y.; Liang, J.; Kong, J. Adjustable iron-containing SiBCN ceramics with high-temperature microwave absorption and anti-oxidation properties. J. Am. Ceram. Soc. 2021, 104, 5244–5256. [Google Scholar] [CrossRef]
- Hou, Z.; Yin, X.; Xu, H.; Wei, H.; Li, M.; Cheng, L.; Zhang, L. Reduced Graphene Oxide/Silicon Nitride Composite for Cooperative Electromagnetic Absorption in Wide Temperature Spectrum with Excellent Thermal Stability. ACS Appl. Mater. Interfaces 2019, 11, 5364–5372. [Google Scholar] [CrossRef]
- Liang, J.; Ye, F.; Cao, Y.; Mo, R.; Cheng, L.; Song, Q. Defect-Engineered Graphene/Si3N4 Multilayer Alternating Core-Shell Nanowire Membrane: A Plainified Hybrid for Broadband Electromagnetic Wave Absorption. Adv. Funct. Mater. 2022, 32, 2200141. [Google Scholar] [CrossRef]
- Zhou, W.; Yin, R.; Long, L.; Luo, H.; Hu, W.; Ding, Y.; Li, Y. Enhanced high-temperature dielectric properties and microwave absorption of SiC nanofibers modified Si3N4 ceramics within the gigahertz range. Ceram. Int. 2018, 44, 12301–12307. [Google Scholar] [CrossRef]
- Zhou, W.; Li, Y.; Long, L.; Luo, H.; Wang, Y. High-temperature electromagnetic wave absorption properties of Cf/SiCNFs/Si3N4 composites. J. Am. Ceram. Soc. 2020, 103, 6822–6832. [Google Scholar] [CrossRef]
- Duan, W.; Yin, X.; Li, Q.; Liu, X.; Cheng, L.; Zhang, L. Synthesis and microwave absorption properties of SiC nanowires reinforced SiOC ceramic. J. Eur. Ceram. Soc. 2014, 34, 257–266. [Google Scholar] [CrossRef]
- Zhou, W.; Long, L.; Li, Y. Mechanical and electromagnetic wave absorption properties of Cf-Si3N4 ceramics with PyC/SiC interphases. J. Mater. Sci. Technol. 2019, 35, 2809–2813. [Google Scholar] [CrossRef]
- Lu, M.; Cao, W.; Shi, H.; Fang, X.; Yang, J.; Hou, Z.; Jin, H.; Wang, W.; Yuan, J.; Cao, M. Multi-wall carbon nanotubes decorated with ZnO nanocrystals: Mild solution-process synthesis and highly efficient microwave absorption properties at elevated temperature. J. Mater. Chem. A 2014, 2, 10540–10547. [Google Scholar] [CrossRef]
- Han, T.; Luo, R.; Cui, G.; Wang, L. Effect of SiC nanowires on the high-temperature microwave absorption properties of SiCf/SiC composites. J. Eur. Ceram. Soc. 2019, 39, 1743–1756. [Google Scholar] [CrossRef]
- Yin, S.; Jiang, Y.; Su, K.; Fang, X.; Wang, Y.; Li, Q.; Yang, J. Preparation, mechanical, dielectric and microwave absorption properties of hierarchical porous SiCnw-Si3N4 composite ceramics. J. Eur. Ceram. Soc. 2022, 42, 3820–3830. [Google Scholar] [CrossRef]
- Liu, C.; Qiu, Z.; Yu, D.; Kirk, D.W.; Xu, Y. Fabrication of Porous Silicon Carbide Ceramics with High Electromagnetic Interference Shielding Effectiveness. ChemistrySelect 2017, 2, 11131–11136. [Google Scholar] [CrossRef]







| Sample | Fe (wt.%) |
|---|---|
| A-type Si3N4 powder | 0.26 |
| B-type Si3N4 powder | 0.002 |
| Operating Temperature (°C) | RL< −10 dB | RLmin (dB) | |
|---|---|---|---|
| EAB (GHz) | Thickness (mm) | ||
| 25 | 3.72 | 2.54 | −29.75 |
| 100 | 4.10 | 2.40 | −24.42 |
| 200 | 4.20 | 2.21–2.24 | −19.33 |
| 300 | 3.71 | 2.02 | −17.25 |
| 400 | 1.46 | 1.81 | −11.29 |
| 500 | — | — | −9.51 |
| 600 | — | — | −8.42 |
| 700 | — | — | −8.12 |
| Material | Operating Temperature (°C) | RL < −10 dB | RLmin (−dB) | ||
|---|---|---|---|---|---|
| EAB (GHz) | Thickness (mm) | ||||
| SiCf/Si3N4 | RT | 1.93 | — | −22.55 | [45] |
| 400 | 2.29 | — | −24.72 | ||
| Cf/SiCNFs/Si3N4 | RT | 2.3 | 2.6 | −15.1 | [46] |
| SiCnw/SiOC | RT | 3.57 | 2.5 | −17.25 | [47] |
| Cf/Si3N4 | RT | 2.23 | 2.0 | −19.6 | [48] |
| ZnO@MWCNTs/SiO2 | RT | <2.7 | 2.5 | −20.7 | [49] |
| 400 | 3.4 | 2.5 | −13.0 | ||
| SiCf/SiC-SiCnw | RT | 1.3 | 4.5 | −16.5 | [50] |
| 600 | 2.8 | 2.5 | −47.55 | ||
| SiCnw/Si3N4 | RT | 3.72 | 2.54 | −29.75 | This work |
| 300 | 3.71 | 2.02 | −17.25 | ||
Disclaimer/Publisher’s Note: The statements, opinions and data contained in all publications are solely those of the individual author(s) and contributor(s) and not of MDPI and/or the editor(s). MDPI and/or the editor(s) disclaim responsibility for any injury to people or property resulting from any ideas, methods, instructions or products referred to in the content. |
© 2025 by the authors. Licensee MDPI, Basel, Switzerland. This article is an open access article distributed under the terms and conditions of the Creative Commons Attribution (CC BY) license (https://creativecommons.org/licenses/by/4.0/).
Share and Cite
Bai, J.; Yao, X.; Liu, X.; Huang, Z. Study on the High-Temperature Microwave Absorption Performance and Mechanism of SiC Nanowire-Reinforced Porous Si3N4 Ceramics. Materials 2025, 18, 4071. https://doi.org/10.3390/ma18174071
Bai J, Yao X, Liu X, Huang Z. Study on the High-Temperature Microwave Absorption Performance and Mechanism of SiC Nanowire-Reinforced Porous Si3N4 Ceramics. Materials. 2025; 18(17):4071. https://doi.org/10.3390/ma18174071
Chicago/Turabian StyleBai, Jialin, Xiumin Yao, Xuejian Liu, and Zhengren Huang. 2025. "Study on the High-Temperature Microwave Absorption Performance and Mechanism of SiC Nanowire-Reinforced Porous Si3N4 Ceramics" Materials 18, no. 17: 4071. https://doi.org/10.3390/ma18174071
APA StyleBai, J., Yao, X., Liu, X., & Huang, Z. (2025). Study on the High-Temperature Microwave Absorption Performance and Mechanism of SiC Nanowire-Reinforced Porous Si3N4 Ceramics. Materials, 18(17), 4071. https://doi.org/10.3390/ma18174071

