Machine Learning-Based Prediction of Mechanical Properties for Large Bearing Housing Castings
Abstract
1. Introduction
2. Method
2.1. Data Collection
2.2. Machine Learning Process
2.3. Data Processing
2.3.1. Outlier Elimination
2.3.2. Correlation Analysis
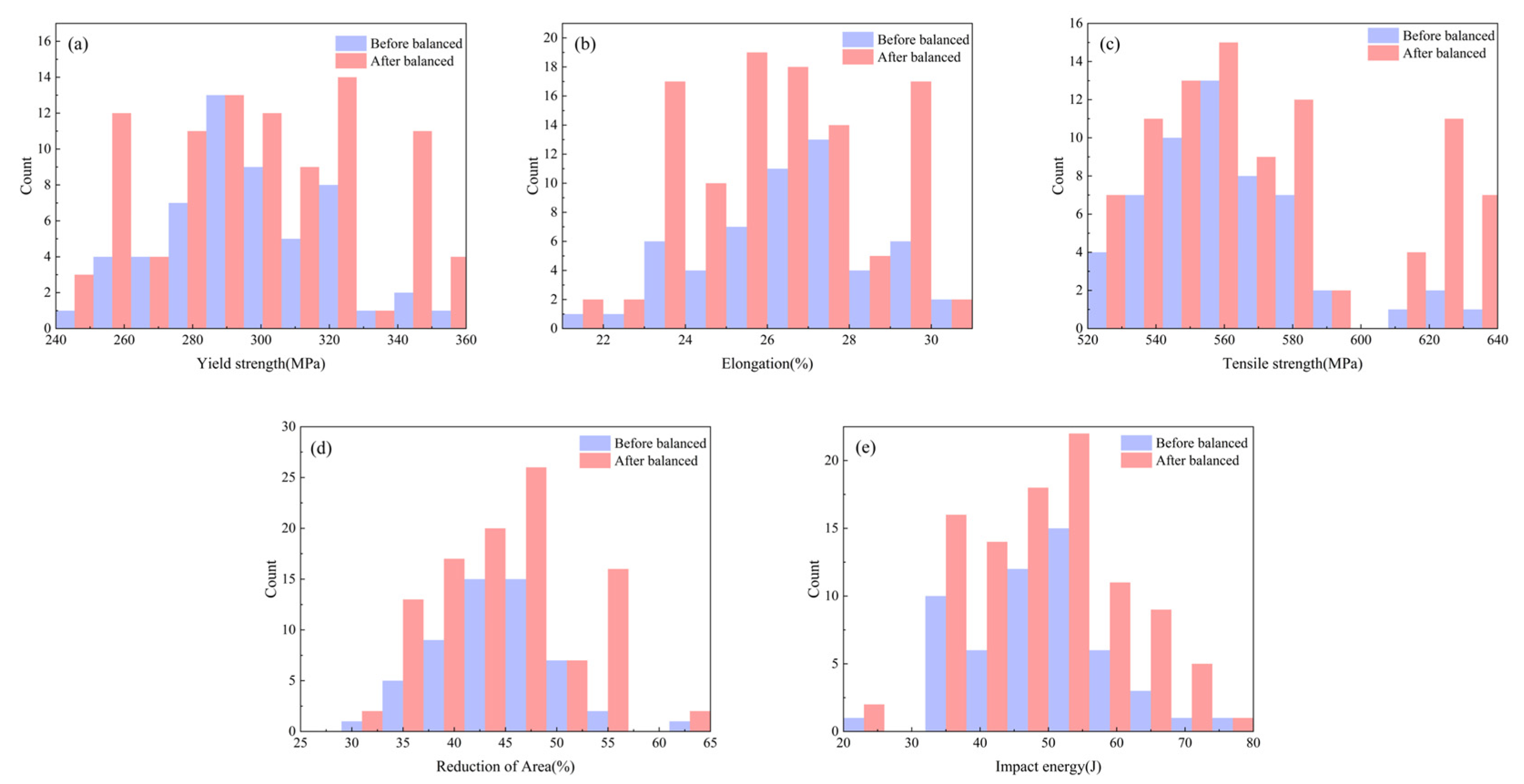
2.3.3. Data Balancing
2.3.4. Data Normalization
2.4. Model Construction and Selection
3. Results and Discussion
3.1. Model Performance Comparison
3.2. Experimental Validation of the Optimal Model
3.2.1. Experimental Method
3.2.2. Prediction
3.3. SHAP Value Analysis
4. Conclusions
- Rigorous data preprocessing: Outliers were removed using statistical methods based on normal distribution assumptions, while oversampling techniques and normalization mitigated data imbalance and feature scale disparities, achieving significant improvements in dataset quality.
- Multi-model performance benchmarking: Comparative analysis of BPNN, SVR, RF, and XGBoost models identified SVR as optimal, demonstrating exceptional prediction accuracy and error control.
- Experimental validation: Newly processed specimens validated predicted tensile properties, with relative errors between measured and predicted values below 4% for all properties, confirming robust industrial applicability.
- SHAP-based interpretability: SHAP analysis revealed dominant influence mechanisms of chemical composition (e.g., P, Cr) and process parameters (e.g., pouring speed, normalizing time) on mechanical properties, providing actionable insights for process optimization.
Author Contributions
Funding
Institutional Review Board Statement
Informed Consent Statement
Data Availability Statement
Conflicts of Interest
References
- Wang, T.; Zhou, J.; Wang, L.; Zhang, Z.; Zhang, H.; Xia, X. Research and Development of Gating and Riser Process Optimization Integrated System for Steel Casting. Int. J. Met. 2023, 17, 2452–2468. [Google Scholar] [CrossRef]
- Li, J.; Xu, X.; Ren, N.; Xia, M.; Li, J. A Review on Prediction of Casting Defects in Steel Ingots: From Macrosegregation to Multi-Defect Model. J. Iron Steel Res. Int. 2022, 29, 1901–1914. [Google Scholar] [CrossRef]
- Niu, Z.; Liu, G.; Li, T.; Ji, S. Effect of High Pressure Die Casting on the Castability, Defects and Mechanical Properties of Aluminium Alloys in Extra-Large Thin-Wall Castings. J. Mater. Process. Technol. 2022, 303, 117525. [Google Scholar] [CrossRef]
- Wang, Q.; Wang, A.; Coryell, J. Ultra-Large Aluminum Shape Casting: Opportunities and Challenges. China Foundry 2024, 21, 397–408. [Google Scholar] [CrossRef]
- Shi, J.; Shan, Z.; Yang, H.; Dong, S.; Liu, Q. Advancing Sustainable Casting through Cryogenic Gradient Forming of Frozen Sand Molds: Design, Error Control, and Experimental Validation. J. Mater. Sci. Technol. 2024, 203, 211–226. [Google Scholar] [CrossRef]
- Yang, J.; Liu, B.; Huang, H. Research on Composition-Process-Property Prediction of Die Casting Al Alloys via Combining Feature Creation and Attention Mechanisms. J. Mater. Res. Technol. 2024, 28, 335–346. [Google Scholar] [CrossRef]
- Pachandrin, S.; Hoffmann, N.; Dilger, K.; Rokicki, M.; Niederée, C.; Stürenburg, L.; Noske, H.; Denkena, B.; Kallisch, J.; Wunck, C. Data-Driven Prediction of Casting Defects in Magnesium High-Pressure Die Casting Using Machine Learning. Int. J. Met. 2025, 19, 1–20. [Google Scholar] [CrossRef]
- Chen, S.; Kaufmann, T. Development of Data-Driven Machine Learning Models for the Prediction of Casting Surface Defects. Metals 2022, 12, 1. [Google Scholar] [CrossRef]
- Park, S.; Youm, S. Establish a Machine Learning Based Model for Optimal Casting Conditions Management of Small and Medium Sized Die Casting Manufacturers. Sci. Rep. 2023, 13, 17163. [Google Scholar] [CrossRef] [PubMed]
- Uyan, T.Ç.; Otto, K.; Silva, M.S.; Vilaça, P.; Armakan, E. Industry 4.0 Foundry Data Management and Supervised Machine Learning in Low-Pressure Die Casting Quality Improvement. Int. J. Met. 2023, 17, 414–429. [Google Scholar] [CrossRef]
- Cemernek, D.; Cemernek, S.; Gursch, H.; Pandeshwar, A.; Leitner, T.; Berger, M.; Klösch, G.; Kern, R. Machine Learning in Continuous Casting of Steel: A State-of-the-Art Survey. J. Intell. Manuf. 2022, 33, 1561–1579. [Google Scholar] [CrossRef]
- Pei, X.; Pei, J.; Hou, H.; Zhao, Y. Optimizing Casting Process Using a Combination of Small Data Machine Learning and Phase-Field Simulations. npj Comput Mater 2025, 11, 27. [Google Scholar] [CrossRef]
- Shahane, S.; Aluru, N.; Ferreira, P.; Kapoor, S.G.; Vanka, S.P. Optimization of Solidification in Die Casting Using Numerical Simulations and Machine Learning. J. Manuf. Process. 2020, 51, 130–141. [Google Scholar] [CrossRef]
- Jaśkowiec, K.; Wilk-Kołodziejczyk, D.; Bartłomiej, Ś.; Reczek, W.; Bitka, A.; Małysza, M.; Doroszewski, M.; Pirowski, Z.; Boroń, Ł. Assessment of the Quality and Mechanical Parameters of Castings Using Machine Learning Methods. Materials 2022, 15, 2884. [Google Scholar] [CrossRef] [PubMed]
- Hong, D.; Kwon, S.; Yim, C. Exploration of Machine Learning to Predict Hot Ductility of Cast Steel from Chemical Composition and Thermal Conditions. Met. Mater. Int. 2021, 27, 298–305. [Google Scholar] [CrossRef]
- Wilk-Kołodziejczyk, D.; Pirowski, Z.; Bitka, A.; Wróbel, K.; Śnieżyński, B.; Doroszewski, M.; Jaśkowiec, K.; Małysza, M. Selection of Casting Production Parameters with the Use of Machine Learning and Data Supplementation Methods in Order to Obtain Products with the Assumed Parameters. Arch. Civ. Mech. Eng. 2023, 23, 73. [Google Scholar] [CrossRef]
- Guo, S.; Yu, J.; Liu, X.; Wang, C.; Jiang, Q. A Predicting Model for Properties of Steel Using the Industrial Big Data Based on Machine Learning. Comput. Mater. Sci. 2019, 160, 95–104. [Google Scholar] [CrossRef]
- Mao, F.; Guo, J.-L.; Liu, S.-H.; Zhang, L.-B.; Guo, A.-Z.; Chen, C.; Chen, Z.-N.; Li, J.-H.; Wang, T.-M.; Wei, S.-Z. Spheroidization Mechanism of Primary Silicon in Hypereutectic Al–Si Alloys with Eu Addition. Rare Met. 2025, 44, 1–16. [Google Scholar] [CrossRef]
- Dai, S.; Chen, C.; Zhang, C.; Wei, S.; Han, B.; Wang, C.; Pan, K.; Xu, L.; Mao, F.; Yu, H. Machine Learning-Assisted Hardness Prediction of Dispersion-Strengthened Tungsten Alloy. Metals 2025, 15, 294. [Google Scholar] [CrossRef]
- Zhang, Q.; Mahfouf, M.; de Leon, L.; Boumaiza, S.; Yates, J.R.; Pinna, C.; Greene, R.J. Prediction of Machining Induced Residual Stresses in Aluminium Alloys Using a Hierarchical Data-Driven Fuzzy Modelling Approach. IFAC Proc. Vol. 2009, 42, 231–236. [Google Scholar] [CrossRef]
- Singh, D.; Singh, B. Feature Wise Normalization: An Effective Way of Normalizing Data. Pattern Recognit. 2022, 122, 108307. [Google Scholar] [CrossRef]
- Wang, Y.; Zhu, Z.; Sha, A.; Hao, W. Low Cycle Fatigue Life Prediction of Titanium Alloy Using Genetic Algorithm-Optimized BP Artificial Neural Network. Int. J. Fatigue 2023, 172, 107609. [Google Scholar] [CrossRef]
- Liu, Y.; Zhu, J.; Cao, Y. Modeling Effects of Alloying Elements and Heat Treatment Parameters on Mechanical Properties of Hot Die Steel with Back-Propagation Artificial Neural Network. J. Iron Steel Res. Int. 2017, 24, 1254–1260. [Google Scholar] [CrossRef]
- Guo, J.; Wu, H.; Chen, X.; Lin, W. Adaptive SV-Borderline SMOTE-SVM Algorithm for Imbalanced Data Classification. Appl. Soft Comput. 2024, 150, 110986. [Google Scholar] [CrossRef]
- Wang, X.; Mao, F.; Li, X.; Miao, K.; Shi, R.; Lin, Y.; Chen, C.; Wang, C.; Yu, H.; Wei, S. Machine Learning-Based Prediction of Microstructure and Mechanical Properties for 12Cr2Mo1V Large Cylindrical Forgings. Mater. Today Commun. 2025, 47, 112983. [Google Scholar] [CrossRef]
- Hu, J.; Szymczak, S. A Review on Longitudinal Data Analysis with Random Forest. Brief. Bioinform. 2023, 24, bbad002. [Google Scholar] [CrossRef] [PubMed]
- Khan, M.I.; Abbas, Y.M.; Fares, G.; Alqahtani, F.K. Strength Prediction and Optimization for Ultrahigh-Performance Concrete with Low-Carbon Cementitious Materials—XG Boost Model and Experimental Validation. Constr. Build. Mater. 2023, 387, 131606. [Google Scholar] [CrossRef]
- Chandra Kandpal, B.; Gupta, D.K.; Kumar, A.; Kumar Jaisal, A.; Kumar Ranjan, A.; Srivastava, A.; Chaudhary, P. Effect of Heat Treatment on Properties and Microstructure of Steels. Mater. Today Proc. 2021, 44, 199–205. [Google Scholar] [CrossRef]
- Gu, J.; Li, J.; Yanagimoto, J.; Li, W.; Li, L. Microstructural Evolution and Mechanical Property Changes of a New Nitrogen-Alloyed Cr–Mo–V Hot-Working Die Steel during Tempering. Mater. Sci. Eng. A 2021, 804, 140721. [Google Scholar] [CrossRef]
- Rakshith, M.; Seenuvasaperumal, P. Review on the Effect of Different Processing Techniques on the Microstructure and Mechanical Behaviour of AZ31 Magnesium Alloy. J. Magnes. Alloys 2021, 9, 1692–1714. [Google Scholar] [CrossRef]
- Rodrigues, C.A.D.; Bandeira, R.M.; Duarte, B.B.; Tremiliosi-Filho, G.; Jorge, A.M. Effect of Phosphorus Content on the Mechanical, Microstructure and Corrosion Properties of Supermartensitic Stainless Steel. Mater. Sci. Eng. A 2016, 650, 75–83. [Google Scholar] [CrossRef]
- Lee, S.G.; Kim, B.; Jo, M.C.; Kim, K.-M.; Lee, J.; Bae, J.; Lee, B.-J.; Sohn, S.S.; Lee, S. Effects of Cr Addition on Charpy Impact Energy in Austenitic 0.45C-24Mn-(0,3,6)Cr Steels. J. Mater. Sci. Technol. 2020, 50, 21–30. [Google Scholar] [CrossRef]











| Feature | Feature Abbreviation | Min | Max | Mean | Feature | Feature Abbreviation | Min | Max | Mean |
|---|---|---|---|---|---|---|---|---|---|
| Carbon, w% | C, w% | 0.16 | 0.40 | 0.36 | Pouring Rate, kg. s−1 | PR, kg. s−1 | 192.6 | 678.6 | 372.07 |
| Manganese, w% | Mn, w% | 0.56 | 0.90 | 0.75 | Holding Time after Pouring, h | HTP, h | 93.0 | 282.0 | 164.6 |
| Silicon, w% | Si, w% | 0.20 | 0.45 | 0.35 | Tapping Temperature, °C | TT, h | 250.0 | 339.0 | 308.3 |
| Sulfur, w% | S, w% | 0.001 | 0.015 | 0.006 | Normalizing Holding Time, h | NHT, h | 20.0 | 61.0 | 27.0 |
| Phosphorus, w% | P, w% | 0.005 | 0.017 | 0.01 | Tempering Holding Time, h | THT, h | 19.0 | 42.5 | 25.8 |
| Chromium, w% | Cr, w% | 0.05 | 0.28 | 0.13 | Tensile strength, MPa | UTS, MPa | 524.0 | 630.0 | 560.8 |
| Nickel, w% | Ni, w% | 0.02 | 0.3 | 0.12 | Yield strength, MPa | YS, MPa | 250.0 | 350.0 | 295.7 |
| Molybdenum, w% | Mo, w% | 0.01 | 0.11 | 0.05 | Shrinkage ratio, % | SR, % | 29.0 | 62.0 | 43.7 |
| Copper, w% | Cu, w% | 0.02 | 0.12 | 0.06 | Elongation, % | EL, % | 21.5 | 30.0 | 26.3 |
| Vanadium, w% | V, w% | 0.001 | 0.007 | 0.003 | Impact energy, J | AK, J | 24.3 | 78.5 | 48.7 |
| Pouring Temperature, °C | PT, °C | 1544 | 1558 | 1551.4 |
| Properties | SVR | XGB | RF | BPNN | ||||
|---|---|---|---|---|---|---|---|---|
| R2 | RMSE | R2 | RMSE | R2 | RMSE | R2 | RMSE | |
| IE | 0.88 | 5.26 | 0.99 | 0.06 | 0.76 | 5.49 | 0.73 | 5.74 |
| TS | 0.95 | 7.62 | 0.99 | 0.06 | 0.94 | 8.26 | 0.92 | 9.78 |
| YS | 0.98 | 2.86 | 0.99 | 0.05 | 0.93 | 7.09 | 0.92 | 7.67 |
| EL | 0.98 | 0.25 | 0.99 | 0.01 | 0.86 | 0.83 | 0.91 | 0.67 |
| RA | 0.98 | 0.72 | 0.99 | 0.04 | 0.80 | 2.87 | 0.80 | 2.87 |
| Properties | SVR | XGB | RF | BPNN | ||||
|---|---|---|---|---|---|---|---|---|
| R2 | RMSE | R2 | RMSE | R2 | RMSE | R2 | RMSE | |
| IE | 0.85 | 5.51 | 0.97 | 1.85 | 0.73 | 5.92 | 0.67 | 6.47 |
| TS | 0.93 | 7.52 | 0.83 | 13.12 | 0.90 | 10.12 | 0.89 | 10.48 |
| YS | 0.95 | 7.59 | 0.97 | 4.85 | 0.93 | 8.33 | 0.82 | 13.56 |
| EL | 0.89 | 0.68 | 0.90 | 0.64 | 0.81 | 0.89 | 0.84 | 0.81 |
| RA | 0.95 | 1.47 | 0.93 | 1.75 | 0.67 | 3.96 | 0.64 | 4.14 |
| Feature | Sample 1 | Sample 2 | Sample 3 | Sample 4 | Feature | Sample 1 | Sample 2 | Sample 3 | Sample 4 |
|---|---|---|---|---|---|---|---|---|---|
| C, w% | 0.39 | 0.37 | 0.37 | 0.37 | PR, kg. s−1 | 428.96 | 417.55 | 393.26 | 208.00 |
| Mn, w% | 0.72 | 0.82 | 0.73 | 0.81 | HTP, h | 160 | 183 | 158 | 144 |
| Si, w% | 0.32 | 0.35 | 0.32 | 0.35 | TT, h | 308 | 313 | 323 | 250 |
| S, w% | 0.002 | 0.002 | 0.003 | 0.008 | NHT, h | 23.0 | 23.5 | 23.0 | 28.0 |
| P, w% | 0.014 | 0.014 | 0.015 | 0.009 | THT, h | 27.0 | 27.0 | 27.5 | 23.0 |
| Cr, w% | 0.17 | 0.22 | 0.17 | 0.11 | TS, MPa | 558 | 555 | 552 | 559 |
| Ni, w% | 0.12 | 0.13 | 0.13 | 0.20 | YS, MPa | 292 | 304 | 287 | 293 |
| Mo, w% | 0.05 | 0.04 | 0.03 | 0.07 | RA, % | 47 | 44 | 43 | 43 |
| Cu, w% | 0.07 | 0.06 | 0.06 | 0.05 | Elongation, % | 26.0 | 26.0 | 26.5 | 28.0 |
| V, w% | 0.005 | 0.006 | 0.005 | 0.002 | IE, J | 53.57 | 53.40 | 48.47 | 45.77 |
| PT, °C | 1549 | 1553 | 1551 | 1558 |
Disclaimer/Publisher’s Note: The statements, opinions and data contained in all publications are solely those of the individual author(s) and contributor(s) and not of MDPI and/or the editor(s). MDPI and/or the editor(s) disclaim responsibility for any injury to people or property resulting from any ideas, methods, instructions or products referred to in the content. |
© 2025 by the authors. Licensee MDPI, Basel, Switzerland. This article is an open access article distributed under the terms and conditions of the Creative Commons Attribution (CC BY) license (https://creativecommons.org/licenses/by/4.0/).
Share and Cite
Qin, Q.; Wang, X.; Dai, S.; Zhong, Y.; Wei, S. Machine Learning-Based Prediction of Mechanical Properties for Large Bearing Housing Castings. Materials 2025, 18, 4036. https://doi.org/10.3390/ma18174036
Qin Q, Wang X, Dai S, Zhong Y, Wei S. Machine Learning-Based Prediction of Mechanical Properties for Large Bearing Housing Castings. Materials. 2025; 18(17):4036. https://doi.org/10.3390/ma18174036
Chicago/Turabian StyleQin, Qing, Xingfu Wang, Shaowu Dai, Yi Zhong, and Shizhong Wei. 2025. "Machine Learning-Based Prediction of Mechanical Properties for Large Bearing Housing Castings" Materials 18, no. 17: 4036. https://doi.org/10.3390/ma18174036
APA StyleQin, Q., Wang, X., Dai, S., Zhong, Y., & Wei, S. (2025). Machine Learning-Based Prediction of Mechanical Properties for Large Bearing Housing Castings. Materials, 18(17), 4036. https://doi.org/10.3390/ma18174036

