Application of XGBoost Model Optimized by Multi-Algorithm Ensemble in Predicting FRP-Concrete Interfacial Bond Strength
Abstract
1. Introduction
2. Database
2.1. Data Sources
- The material properties: the compressive strength of a concrete cylinder (fc′) and the elastic modulus of the FRP sheets (Ef);
- The geometrical parameters: the thickness (tf), width (bf), and bond length (Lf) of the FRP sheets and the concrete substrate width (bc);
- The bond strength of the FRP-concrete interface (Pu).
2.2. Data Description
3. Methods
3.1. Nevergrad Optimization Library
- Covariance matrix adaptation evolution strategy (CMA): The CMA is an evolutionary optimization algorithm based on a multivariate Gaussian distribution [35]. It dynamically updates the mean vector, covariance matrix, and step size parameter to match the geometric characteristics of the objective function. In each iteration, candidate solutions are sampled, and their fitness is evaluated, with the mean updated via weighted recombination. The covariance matrix is refined using both the Rank-μ strategy (current generation information) and the Rank-1 strategy (historical path). An independent evolution path controls the step size scaling, thereby achieving efficient optimization of both the search direction and scale.
- Two-point differential evolution (TwoPointsDE): TwoPointsDE is a variant of differential evolution whose core innovation lies in replacing the classical binomial crossover with a two-point crossover mechanism [36]. The algorithm randomly selects two crossover points and replaces the parameter segment within the selected interval of the mutation-generated donor vector with the target individual. This design preserves the dependencies between adjacent parameters and reduces the disruption to potentially beneficial schemata, thus enhancing the global exploration capability of the algorithm.
- Particle swarm optimization (PSO): PSO is a swarm intelligence optimization algorithm that simulates the collective behavior of bird flocks and fish schools [37]. The algorithm is optimized by simulating particles moving through the search space. Each particle represents a potential solution and retains records of its personal best position and the global best position. The PSO dynamically adjusts each particle’s velocity and position based on individual memory and social collaboration, enabling the swarm to progressively converge toward the optimal solution.
- Random Search: Random Search identifies the optimal solution by performing uniform random sampling of candidate solutions within a predefined search space and evaluating their corresponding objective function values [38].
- ScrHammersley: ScrHammersley is an optimization algorithm based on low-discrepancy sequences, specifically the Hammersley sequence, combined with scrambling techniques in a quasi-Monte Carlo framework [39,40]. It employs deterministic sampling points to achieve efficient and uniform exploration of parameter space. Compared with a pure random search, ScrHammersley mitigates sample clustering and uneven coverage issues, thereby enhancing the quality of the initial population.
- DiscreteOnePlusOne: This algorithm is a (1 + 1) evolution strategy variant tailored for discrete optimization within the Nevergrad framework [33,34,41]. It operates through a single-individual iterative optimization mechanism, where each iteration maintains a parent solution and generates an offspring via probabilistic perturbation operators (e.g., discrete parameter flipping or categorical resets). A greedy selection mechanism determines whether the parent solution should be replaced. The algorithm implements an adaptive mutation strategy that dynamically adjusts the perturbation probabilities to maintain the exploration-exploitation balance.
3.2. XGBoost
3.3. Evaluation Metrics
3.4. Model Construction
4. Results
4.1. Hyperparameter Optimization
4.2. Comparison of Prediction Performance
4.3. Interpretability Analysis
5. Conclusions
- By comparing the hyperparameter optimization results of the seven built-in Nevergrad optimizers, it was found that the TwoPointsDE algorithm achieved the lowest CV_Avg_RMSE (2.85207) within 500 iterations while requiring the shortest computational time (361.25 s), demonstrating an excellent balance between exploration and exploitation. The optimized hyperparameter combination (n_estimators = 90, learning_rate = 0.12737845681247, max_depth = 8) significantly enhanced the predictive performance of the model.
- The Nevergrad-XGBoost model demonstrates outstanding predictive capability on the test set, with performance metrics of R2 = 0.9726, RMSE = 1.8745, and MAE = 1.3857. Compared with the best-performing empirical model, the R2 of Nevergrad-XGBoost improves by 22.3%, while the RMSE and MAE decrease by 63.4% and 61.8%, respectively. When compared with the ANN model, the R2 increases by 4.8%, and the RMSE decreases by 47.7%, confirming its significant advantages in both predictive accuracy and generalization ability.
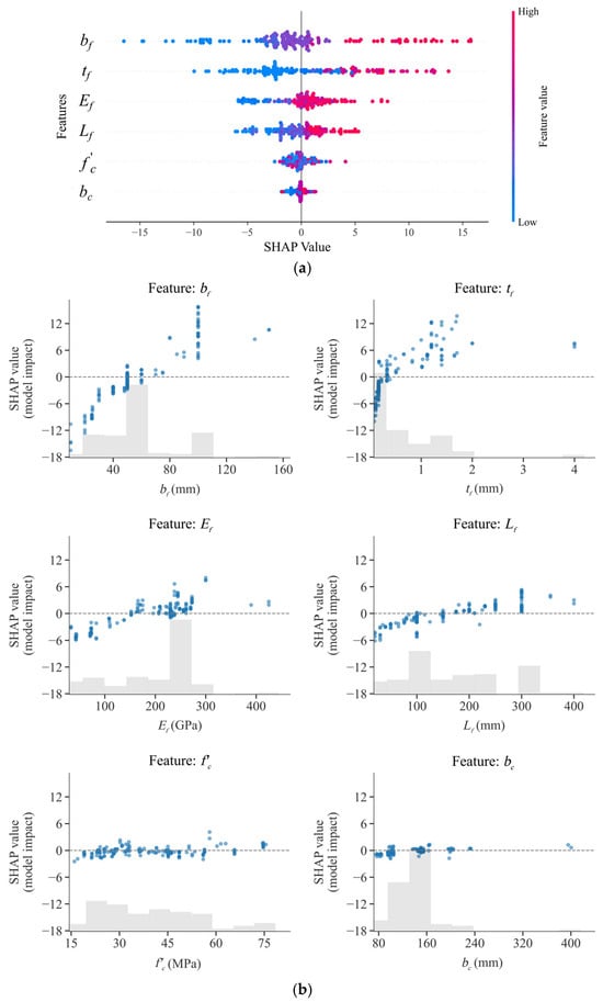
- The SHAP-based interpretability analysis reveals that the contribution of features to the prediction results, from highest to lowest, is as follows: bf, tf, Ef, Lf, fc′, and bc. The feature values of bf, tf, Ef, and Lf show a generally positive correlation with the SHAP values. The global and local interpretation results support the model’s interpretability requirements for engineering applications.
Author Contributions
Funding
Institutional Review Board Statement
Informed Consent Statement
Data Availability Statement
Conflicts of Interest
References
- Bank, L.C. Composites for Construction: Structural Design with FRP Materials; John Wiley & Sons: Hoboken, NJ, USA, 2006. [Google Scholar]
- Teng, J.G.; Chen, J.F.; Smith, S.T.; Lam, L. FRP Strengthened RC Structures; John Wiley & Sons: Chichester, UK, 2002. [Google Scholar]
- Wu, Y.F.; Jiang, C. Quantification of bond-slip relationship for externally bonded FRP-to-concrete joints. J. Compos. Constr. 2013, 17, 673–686. [Google Scholar] [CrossRef]
- Van Gemert, D. Force transfer in epoxy bonded steel/concrete joints. Int. J. Adhes. Adhes. 1980, 1, 67–72. [Google Scholar] [CrossRef]
- Holzenkämpfer, P. IngenieurmModelle des Verbunds Geklebter Bewehrung für Betonbauteile; IBMB: Braunschweig, Germany, 1994. [Google Scholar]
- Tanaka, T. Shear Resisting Mechanism of Reinforced Concrete Beams with CFS as Shear Reinforcement. Ph.D. Thesis, Hokkaido University, Sapporo, Japan, 1996. [Google Scholar]
- Yoshizawa, H. Analysis of debonding fracture properties of CFS strengthened RC member subject to tension. In Proceedings of the 3rd International Symposium on Non-Metallic (FRP) Reinforcement for Concrete Structures, Sapporo, Japan, 14–16 October 1997; Japan Concrete Institute: Tokyo, Japan, 1997; pp. 287–294. [Google Scholar]
- Maeda, T.; Asano, Y.; Sato, Y.; Ueda, T.; Kakuta, Y. A study on bond mechanism of carbon fiber sheet. In Proceedings of the 3rd International Symposium on Non-Metallic (FRP) Reinforcement for Concrete Structures, Sapporo, Japan, 14–16 October 1997; Japan Concrete Institute: Tokyo, Japan, 1997; Volume 1, pp. 285–297. [Google Scholar]
- Neubauer, U.; Rostasy, F.S. Design aspects of concrete structures strengthened with externally bonded CFRP-plates. In Proceedings of the Seventh International Conference on Structural Faults and Repair, London, UK, 8–10 July 1997; Engineering Technics Press: Edinburgh, UK, 1997; Volume 2, pp. 109–118. [Google Scholar]
- Khalifa, A.; Gold, W.J.; Nanni, A.; MI, A.A. Contribution of externally bonded FRP to shear capacity of RC flexural members. J. Compos. Constr. 1998, 2, 195–202. [Google Scholar] [CrossRef]
- Niedermeier, R. Envelope Line of Tensile Forces While Using Externally Bonded Reinforcement. Ph.D. Thesis, Technical University of Munich, Munich, Germany, 2000. [Google Scholar]
- Chen, J.F.; Teng, J.G. Anchorage strength models for FRP and steel plates bonded to concrete. J. Struct. Eng. 2001, 127, 784–791. [Google Scholar] [CrossRef]
- Yang, Y.X.; Yue, Q.R.; Hu, Y.C. Experimental study on bond performance between carbon fiber sheets and concrete. J. Build. Struct. 2001, 22, 36–42. (In Chinese) [Google Scholar]
- Japan Concrete Institute (JCI). Technical Report of Technical Committee on Retrofit Technology. In Proceedings of the International Symposium on the Latest Achievement of Technology and Research on Retrofitting Concrete Structures; Japan Concrete Institute (JCI): Tokyo, Japan, 2003. [Google Scholar]
- Monti, G.; Renzelli, M.; Luciani, P. FRP adhesion in uncracked and cracked concrete zones. In Proceedings of the 6th International Symposium on FRP Reinforcement for Concrete Structures (FRPRCS-6), Singapore, 8–10 July 2003; pp. 183–192. [Google Scholar] [CrossRef]
- Kanakubo, T.; Furuta, T.; Fukuyama, H. Bond strength between fiber-reinforced polymer laminates and concrete. In Proceedings of the 6th International Symposium on FRP Reinforcement for Concrete Structures (FRPRCS-6), Singapore, 8–10 July 2003; pp. 133–142. [Google Scholar] [CrossRef]
- Dai, J.; Ueda, T.; Sato, Y. Development of the Nonlinear Bond Stress–Slip Model of Fiber Reinforced Plastics Sheet–Concrete Interfaces with a Simple Method. J. Compos. Constr. 2005, 9, 52–62. [Google Scholar] [CrossRef]
- Lu, X.Z.; Teng, J.G.; Ye, L.P.; Jiang, J.J. Bond–slip models for FRP sheets/plates bonded to concrete. Eng. Struct. 2005, 27, 920–937. [Google Scholar] [CrossRef]
- Wu, Z.; Islam, S.M.; Said, H. A three-parameter bond strength model for FRP-concrete interface. J. Reinf. Plast. Compos. 2009, 28, 2309–2323. [Google Scholar] [CrossRef]
- Zhou, Y.W. Analytical and Experimental Study on the Strength and Ductility of FRP-Reinforced High Strength Concrete Beam. Ph.D. Thesis, Dalian University of Technology, Dalian, China, 2009. [Google Scholar]
- Lin, J.P.; Wu, Y.F.; Smith, S.T. Width factor for externally bonded FRP-to-concrete joints. Constr. Build. Mater. 2017, 155, 818–829. [Google Scholar] [CrossRef]
- Lu, X.; Ye, L.; Teng, J.; Zhuang, J. Bond-slip model for FRP-to-concrete interface. Jianzhu Jiegou Xuebao J. Build. Struct. 2005, 26, 10–18. [Google Scholar]
- Zhou, Y.; Zheng, S.; Huang, Z.; Sui, L.; Chen, Y. Explicit Neural Network Model for Predicting FRP-Concrete Interfacial Bond Strength Based on a Large Database. Compos. Struct. 2020, 240, 111998. [Google Scholar] [CrossRef]
- Chen, S.Z.; Zhang, S.Y.; Han, W.S.; Wu, G. Ensemble learning based approach for FRP-concrete bond strength prediction. Constr. Build. Mater. 2021, 302, 124230. [Google Scholar] [CrossRef]
- Zhang, F.; Wang, C.; Liu, J.; Zou, X.; Sneed, L.H.; Bao, Y.; Wang, L. Prediction of FRP-concrete interfacial bond strength based on machine learning. Eng. Struct. 2023, 274, 115156. [Google Scholar] [CrossRef]
- Su, M.; Zhong, Q.; Peng, H.; Li, S. Selected machine learning approaches for predicting the interfacial bond strength between FRPs and concrete. Constr. Build. Mater. 2021, 270, 121456. [Google Scholar] [CrossRef]
- Vu, D.T.; Hoang, N.D. Punching shear capacity estimation of FRP-reinforced concrete slabs using a hybrid machine learning approach. Struct. Infrastruct. Eng. 2016, 12, 1153–1161. [Google Scholar] [CrossRef]
- Jahangir, H.; Eidgahee, D.R. A new and robust hybrid artificial bee colony algorithm–ANN model for FRP-concrete bond strength evaluation. Compos. Struct. 2021, 257, 113160. [Google Scholar] [CrossRef]
- Mahjoubi, S.; Meng, W.; Bao, Y. Logic-guided neural network for predicting steel-concrete interfacial behaviors. Expert Syst. Appl. 2022, 198, 116820. [Google Scholar] [CrossRef]
- Kim, B.; Lee, D.E.; Hu, G.; Natarajan, Y.; Preethaa, S.; Rathinakumar, A.P. Ensemble machine learning-based approach for predicting of FRP–concrete interfacial bonding. Mathematics 2022, 10, 231. [Google Scholar] [CrossRef]
- Mukhtar, F.M.; Faysal, R.M. A review of test methods for studying the FRP-concrete interfacial bond behavior. Constr. Build. Mater. 2018, 169, 877–887. [Google Scholar] [CrossRef]
- GB 50010-2010; Code for design of concrete structures. China Architecture & Building Press: Beijing, China, 2010.
- Nevergrad—A gradient-Free Optimization Platform. Available online: https://facebookresearch.github.io/nevergrad/ (accessed on 26 March 2025).
- Bennet, P.; Doerr, C.; Moreau, A.; Rapin, J.; Teytaud, F.; Teytaud, O. Nevergrad: Black-box optimization platform. ACM SIGEVOlution 2021, 14, 8–15. [Google Scholar] [CrossRef]
- Hansen, N.; Ostermeier, A. Completely Derandomized Self-Adaptation in Evolution Strategies. Evol. Comput. 2001, 9, 159–195. [Google Scholar] [CrossRef] [PubMed]
- Storn, R.; Price, K. Differential Evolution—A Simple and Efficient Heuristic for Global Optimization over Continuous Spaces. J. Glob. Optim. 1997, 11, 341–359. [Google Scholar] [CrossRef]
- Kennedy, J.; Eberhart, R. Particle Swarm Optimization. In Proceedings of the IEEE International Conference on Neural Networks (ICNN’95), Perth, WA, Australia, 27 November–1 December 1995. [Google Scholar] [CrossRef]
- Bergstra, J.; Bengio, Y. Random Search for Hyper-Parameter Optimization. J. Mach. Learn. Res. 2012, 13, 281–305. [Google Scholar]
- Lemieux, C. Financial Applications. In Monte Carlo and Quasi-Monte Carlo Sampling; Springer Series in Statistics; Springer: New York, NY, USA, 2009; pp. 1–54. [Google Scholar] [CrossRef]
- Cauwet, M.-L.; Couprie, C.; Dehos, J.; Luc, P.; Rapin, J.; Riviere, M.; Teytaud, F.; Teytaud, O.; Usunier, N. Fully Parallel Hyperparameter Search: Reshaped Space-Filling. In Proceedings of the 37th International Conference on Machine Learning, PMLR, Online, 13–18 July 2020; Volume 119, pp. 1338–1348. Available online: https://proceedings.mlr.press/v119/cauwet20a.html (accessed on 18 March 2025).
- Rapin, J.; Gallagher, M.; Kerschke, P.; Preuss, M.; Teytaud, O. Exploring the MLDA benchmark on the nevergrad platform. In Proceedings of the Genetic and Evolutionary Computation Conference Companion, Prague, Czech Republic, 13–17 July 2019; pp. 1888–1896. [Google Scholar] [CrossRef]
- Raponi, E.; Rakotonirina Carraz, N.; Rapin, J.; Doerr, C.; Teytaud, O. Optimizing with Low Budgets: A Comparison on the Black-box Optimization Benchmarking Suite and OpenAI Gym. IEEE Trans. Evol. Comput. 2025, 29, 91–101. [Google Scholar] [CrossRef]
- Chen, T.; Guestrin, C. XGBoost: A Scalable Tree Boosting System. In Proceedings of the 22nd ACM SIGKDD International Conference on Knowledge Discovery and Data Mining, San Francisco, CA, USA, 13–17 August 2016; pp. 785–794. [Google Scholar] [CrossRef]
- Zhou, X.; Duan, F.; Liu, W.; Shi, C.; Xie, B.; Yao, Z. Research on Prediction of Rheological Properties of Steel-Polypropylene Fiber UHPC Mortar Based on Ensemble Machine Learning. Constr. Build. Mater. 2025, 472, 140833. [Google Scholar] [CrossRef]
- Zhou, J.; Qiu, Y.; Zhu, S.; Armaghani, D.J.; Khandelwal, M.; Mohamad, E.T. Estimation of the TBM Advance Rate under Hard Rock Conditions Using XGBoost and Bayesian Optimization. Undergr. Space 2021, 6, 506–515. [Google Scholar] [CrossRef]
- Le, L.T.; Nguyen, H.; Zhou, J.; Dou, J.; Moayedi, H. Estimating the Heating Load of Buildings for Smart City Planning Using a Novel Artificial Intelligence Technique PSO-XGBoost. Appl. Sci. 2019, 9, 2714. [Google Scholar] [CrossRef]
- Zhou, J.; Qiu, Y.; Zhu, S.; Armaghani, D.J.; Li, C.; Nguyen, H.; Yagiz, S. Optimization of Support Vector Machine through the Use of Metaheuristic Algorithms in Forecasting TBM Advance Rate. Eng. Appl. Artif. Intell. 2021, 97, 104015. [Google Scholar] [CrossRef]
- Chen, Y.; Khandelwal, M.; Onifade, M.; Zhou, J.; Lawal, A.I.; Bada, S.O.; Genc, B. Predicting the Hardgrove Grindability Index Using Interpretable Decision Tree-Based Machine Learning Models. Fuel 2025, 384, 133953. [Google Scholar] [CrossRef]
- Zhou, J.; Chen, Y.; Li, C.; Qiu, Y.; Huang, S.; Tao, M. Machine Learning Models to Predict the Tunnel Wall Convergence. Transp. Geotech. 2023, 41, 101022. [Google Scholar] [CrossRef]
- Li, E.; Zhang, N.; Xi, B.; Zhou, J.; Gao, X. Compressive Strength Prediction and Optimization Design of Sustainable Concrete Based on Squirrel Search Algorithm-Extreme Gradient Boosting Technique. Front. Struct. Civ. Eng. 2023, 17, 1310–1325. [Google Scholar] [CrossRef]
- Zhou, J.; Zhang, R.; Qiu, Y.; Khandelwal, M. A True Triaxial Strength Criterion for Rocks by Gene Expression Programming. J. Rock Mech. Geotech. Eng. 2023, 15, 2508–2520. [Google Scholar] [CrossRef]
- Zhang, R.; Zhou, J. Predicting the Minimum Horizontal Principal Stress Using Genetic Expression Programming and Borehole Breakout Data. J. Rock Mech. Geotech. Eng. 2024, in press. [CrossRef]
- Zhang, Y.L.; Qiu, Y.G.; Armaghani, D.J.; Monjezi, M.; Zhou, J. Enhancing Rock Fragmentation Prediction in Mining Operations: A Hybrid GWO-RF Model with SHAP Interpretability. J. Cent. S. Univ. 2024, 31, 2916–2929. [Google Scholar] [CrossRef]
- Shapley, L.S. Stochastic Games. Proc. Natl. Acad. Sci. USA 1953, 39, 1095–1100. [Google Scholar] [CrossRef]
- Antwarg, L.; Miller, R.M.; Shapira, B.; Rokach, L. Explaining Anomalies Detected by Autoencoders Using Shapley Additive Explanations. Expert Syst. Appl. 2021, 186, 115736. [Google Scholar] [CrossRef]








| Reference | Model |
|---|---|
| Van Gemert [4] | |
| Holzenkämpfer [5] | |
| Tanaka [6] | |
| Yoshizawa [7] | |
| Maeda et al. [8] | |
| Neubauer and Rostasy [9] | |
| Khalifa et al. [10] | |
| Niedermeier [11] | |
| Chen and Teng [12] | |
| Yang et al. [13] | |
| ISO model [14] | |
| Monti et al. [15] | |
| Kanakubo et al. [16] | |
| Dai et al. [17] | |
| Lu et al. [18] | |
| Wu et al. [19] | |
| Zhou [20] |
|
| Wu and Jiang [3] Lin et al. [21] | [21] |
| Parameters | Min | Max | Mean | Q1 | Median | Q3 |
|---|---|---|---|---|---|---|
| bc (mm) | 80 | 500 | 144.30 | 100 | 150 | 150 |
| fc′ (MPa) | 8 | 75.5 | 39.54 | 26 | 36.5 | 48.56 |
| Ef (GPa) | 22.5 | 425.1 | 204.80 | 152.2 | 230 | 248.3 |
| tf (mm) | 0.083 | 4 | 0.51 | 0.167 | 0.169 | 1 |
| bf (mm) | 10 | 150 | 57.52 | 40 | 50 | 70 |
| Lf (mm) | 20 | 400 | 172.97 | 100 | 150 | 250 |
| Pu (kN) | 2.4 | 56.5 | 17.80 | 10.565 | 15.6 | 21.955 |
| Hyperparameters | Meanings | Search Ranges |
|---|---|---|
| n_estimators | Number of weak learners (decision trees) | [50, 500] |
| max_depth | Maximum depth of each tree | [1, 50] |
| learning_rate | Learning rate controls the step size of parameter updates during training | [0.001, 0.5] |
| Optimizer | Optimization Time(s) | n_Estimators | Learning_Rate | Max_Depth | CV_Avg_R2 | CV_Avg_ RMSE | CV_Avg_ MAE |
|---|---|---|---|---|---|---|---|
| CMA | 443.25 | 285 | 0.373695323 | 32 | 0.91812 | 2.87842 | 1.87640 |
| TwoPointsDE | 361.25 | 90 | 0.127378457 | 8 | 0.91915 | 2.85207 | 1.84678 |
| PSO | 594.53 | 212 | 0.248822202 | 3 | 0.91924 | 2.85821 | 1.93150 |
| RandomSearch | 573.82 | 175 | 0.208228973 | 5 | 0.91740 | 2.87593 | 1.88183 |
| ScrHammersley | 538.42 | 392 | 0.372326172 | 13 | 0.91837 | 2.87537 | 1.87154 |
| DiscreteOnePlusOne | 459.55 | 193 | 0.291644820 | 10 | 0.91869 | 2.86769 | 1.86871 |
| NGOpt | 417.8 | 348 | 0.380325336 | 13 | 0.91853 | 2.87340 | 1.87165 |
| Model | R2 | RMSE | MAE | |
|---|---|---|---|---|
| Empirical or semi-empirical formulas | Maeda et al. [8] | 0.7898 | 5.1935 | 3.8411 |
| Neubauer and Rostasy [9] | 0.7440 | 5.7313 | 4.2115 | |
| Niedermeier [11] | 0.7955 | 5.1222 | 3.6248 | |
| Chen and Teng [12] | 0.7391 | 5.7861 | 3.9616 | |
| Kanakubo et al. [16] | 0.7110 | 6.0896 | 4.2195 | |
| Lu et al. [18] | 0.7626 | 5.5190 | 3.7739 | |
| Zhou [20] | 0.7660 | 5.4800 | 3.8249 | |
| Machine learning model | ANN (Zhou et al. [23]) | 0.928 | 3.584 | - |
| This paper | 0.9726 | 1.8745 | 1.3857 | |
| Feature | Feature Value | SHAP Value |
|---|---|---|
| bc | 150 | −0.0316 |
| fc′ | 74.67 | 0.6576 |
| Ef | 73 | −4.4544 |
| tf | 0.169 | −2.4096 |
| bf | 100 | 4.8879 |
| Lf | 100 | −1.8365 |
| Base value | 17.7713 | |
| Predicted value | 14.5847 | |
| True value | 15.14 | |
Disclaimer/Publisher’s Note: The statements, opinions and data contained in all publications are solely those of the individual author(s) and contributor(s) and not of MDPI and/or the editor(s). MDPI and/or the editor(s) disclaim responsibility for any injury to people or property resulting from any ideas, methods, instructions or products referred to in the content. |
© 2025 by the authors. Licensee MDPI, Basel, Switzerland. This article is an open access article distributed under the terms and conditions of the Creative Commons Attribution (CC BY) license (https://creativecommons.org/licenses/by/4.0/).
Share and Cite
Chen, Y.; Zhang, Y.; Li, C.; Zhou, J. Application of XGBoost Model Optimized by Multi-Algorithm Ensemble in Predicting FRP-Concrete Interfacial Bond Strength. Materials 2025, 18, 2868. https://doi.org/10.3390/ma18122868
Chen Y, Zhang Y, Li C, Zhou J. Application of XGBoost Model Optimized by Multi-Algorithm Ensemble in Predicting FRP-Concrete Interfacial Bond Strength. Materials. 2025; 18(12):2868. https://doi.org/10.3390/ma18122868
Chicago/Turabian StyleChen, Yuxin, Yulin Zhang, Chuanqi Li, and Jian Zhou. 2025. "Application of XGBoost Model Optimized by Multi-Algorithm Ensemble in Predicting FRP-Concrete Interfacial Bond Strength" Materials 18, no. 12: 2868. https://doi.org/10.3390/ma18122868
APA StyleChen, Y., Zhang, Y., Li, C., & Zhou, J. (2025). Application of XGBoost Model Optimized by Multi-Algorithm Ensemble in Predicting FRP-Concrete Interfacial Bond Strength. Materials, 18(12), 2868. https://doi.org/10.3390/ma18122868

