Thermally Tunable Bi-Functional Metasurface Based on InSb for Terahertz Applications
Abstract
1. Introduction
2. Structure Design
2.1. Meta-Atom Description
2.2. Material Description
3. Numerical Results
3.1. Metasurface Single–Band Absorber
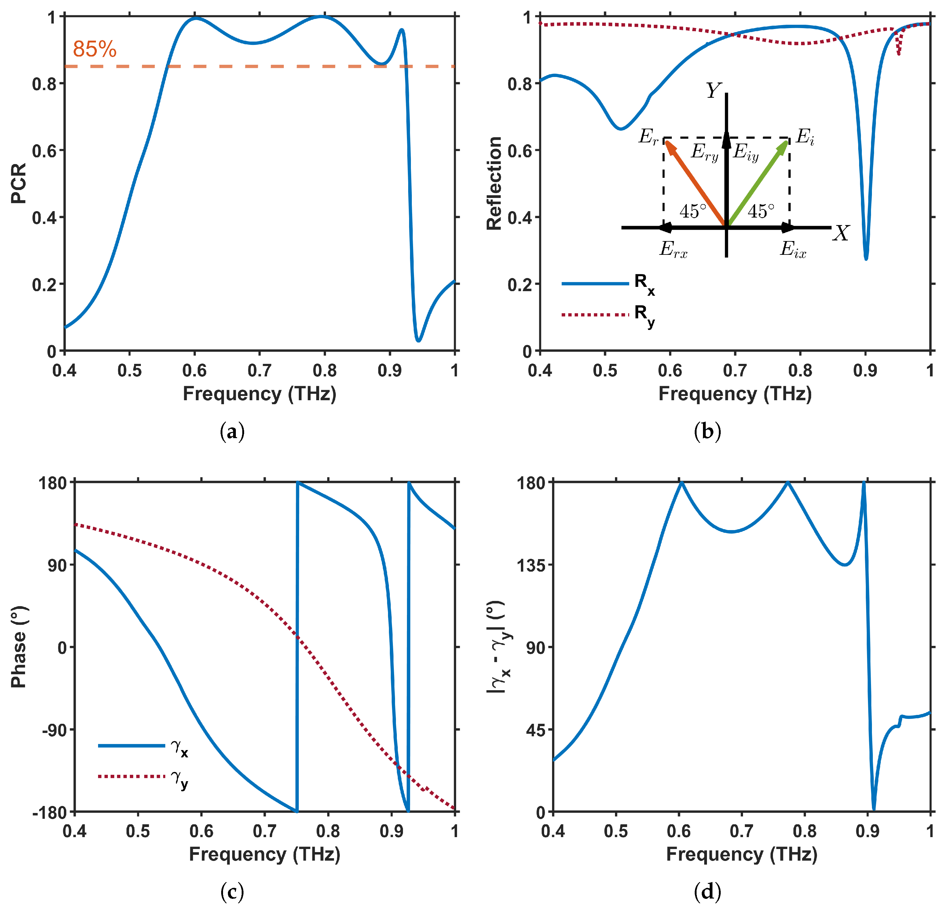
3.2. Metasurface Polarization Converter
- Particular case :
- Polarization–conversion ratio:
3.3. Thermal Robustness
3.4. Comparative Analysis with State-of-the-Art Metasurfaces
4. Conclusions
Author Contributions
Funding
Institutional Review Board Statement
Informed Consent Statement
Data Availability Statement
Conflicts of Interest
References
- Shafie, A.; Yang, N.; Han, C.; Renzo, M.D. Terahertz communications for 6G and beyond wireless networks: Challenges, key advancements, and opportunities. IEEE Netw. 2022, 37, 162–169. [Google Scholar] [CrossRef]
- Castro-Camus, E.; Koch, M.; Mittleman, D.M. Recent advances in terahertz imaging: 1999 to 2021. Appl. Phys. B 2022, 128, 12. [Google Scholar] [CrossRef]
- Jepsen, P.U.; Cooke, D.G.; Koch, M. Terahertz spectroscopy and imaging–Modern techniques and applications. Laser Photon. Rev. 2011, 5, 124–166. [Google Scholar] [CrossRef]
- Chen, M.; Li, X.; Zhang, Y. Advances in terahertz detection and imaging. Front. Phys. 2022, 10, 855623. [Google Scholar]
- Huang, Y.; Shen, Y.; Wang, J. From terahertz imaging to terahertz wireless communications. Engineering 2023, 22, 106–124. [Google Scholar] [CrossRef]
- Jiang, W.; Han, Y.; Li, C.; Wang, X. Terahertz communications and sensing for 6G and beyond: A comprehensive review. IEEE Commun. Surv. Tutor. 2024, 26, 2326–2381. [Google Scholar] [CrossRef]
- Song, H.-J.; Lee, N. Terahertz communications: Challenges in the next decade. IEEE Trans. THz Sci. Technol. 2021, 12, 105–117. [Google Scholar] [CrossRef]
- Sievenpiper, D.F.; Zhang, L.; Broas, R.F.J.; Alexopolous, N.G.; Yablonovitch, E. High-Impedance Electromagnetic Surfaces with a Forbidden Frequency Band. IEEE Trans. Microw. Theory Tech. 1999, 47, 2059–2074. [Google Scholar] [CrossRef]
- Smith, D.R.; Padilla, W.J.; Vier, D.C.; Nemat-Nasser, S.C.; Schultz, S. Composite Medium with Simultaneously Negative Permeability and Permittivity. Phys. Rev. Lett. 2000, 84, 4184–4187. [Google Scholar] [CrossRef]
- Schurig, D.; Mock, J.J.; Justice, B.J.; Cummer, S.A.; Pendry, J.B.; Starr, A.F.; Smith, D.R. Metamaterial Electromagnetic Cloak at Microwave Frequencies. Science 2006, 314, 977–980. [Google Scholar] [CrossRef]
- Valentine, J.; Li, J.; Zentgraf, T.; Bartal, G.; Zhang, X. An Optical Cloak Made of Dielectrics. Nat. Mater. 2009, 8, 568–571. [Google Scholar] [CrossRef] [PubMed]
- Han, J.; Lakhtakia, A.; Qiu, C.-W. Terahertz metamaterials with semiconductor split-ring resonators for magnetostatic tunability. Opt. Express 2008, 16, 14390–14396. [Google Scholar] [CrossRef] [PubMed]
- Kumar, P.; Lakhtakia, A.; Jain, P.K. Tricontrollable pixelated metasurface for stopband for terahertz radiation. J. Electromagn. Waves Appl. 2020, 34, 2065–2078. [Google Scholar] [CrossRef]
- Chochol, J.; Postava, K.; Mičica, M.; Pištora, J.; Ostatnický, T. Magneto-optical properties of InSb for terahertz applications. AIP Adv. 2016, 6, 115021. [Google Scholar] [CrossRef]
- Zhao, J.; Li, N.; Cheng, Y. All-dielectric InSb metasurface for broadband and high-efficient thermal tunable terahertz reflective linear-polarization conversion. Opt. Commun. 2023, 536, 129372. [Google Scholar] [CrossRef]
- Mu, Q.; Zhao, J.; Zhang, C.; Cheng, Y. Tunable magneto-optical polarization device for terahertz waves based on InSb and its plasmonic structure. Photonics Res. 2019, 7, 325–331. [Google Scholar] [CrossRef]
- Zhang, X.; Zhang, Y.; Li, L.; Zhang, Z. Fabrication of highly ordered InSb nanowire arrays by electrodeposition in porous anodic alumina membranes. J. Electrochem. Soc. 2005, 152, C664. [Google Scholar] [CrossRef]
- Liu, C.; Ye, J.; Zhang, Y. Thermally tunable THz filter made of semiconductors. Opt. Commun. 2010, 283, 865–868. [Google Scholar] [CrossRef]
- Xie, Q.; Zhang, Y.; Liu, Z. Multifunctional metasurface for broadband absorption and polarization conversion based on graphene-VO2. Diamond Relat. Mater. 2023, 137, 110119. [Google Scholar] [CrossRef]
- Hamaoui, G.; Horny, N.; Gomez-Heredia, C.L.; Ramirez-Rincon, J.A.; Ordonez-Miranda, J.; Champeaux, C.; Dumas-Bouchiat, F.; Alvarado-Gil, J.J.; Ezzahri, Y.; Joulain, K.; et al. Thermophysical characterisation of VO2 thin films hysteresis and its application in thermal rectification. Sci. Rep. 2019, 9, 8728. [Google Scholar] [CrossRef]
- Hung, H.-C.; Wu, C.-J.; Chang, S.-J. Terahertz temperature-dependent defect mode in a semiconductor-dielectric photonic crystal. J. Appl. Phys. 2011, 110, 094507. [Google Scholar] [CrossRef]
- Li, W.; Kuang, D.; Fan, F.; Chang, S.; Lin, L. Subwavelength B-shaped metallic hole array terahertz filter with InSb bar as thermally tunable structure. Appl. Opt. 2012, 51, 7098–7102. [Google Scholar] [CrossRef] [PubMed]
- Teng, S.; Ding, J.; Chen, H.; Zhang, Y. Conversion between polarization states based on a metasurface. Photonics Res. 2019, 7, 246–250. [Google Scholar] [CrossRef]
- Huang, Y.; Shen, Z.; Chen, X. Polarization conversion of metasurface for the application of wide band low-profile circular polarization slot antenna. Appl. Phys. Lett. 2016, 109, 054101. [Google Scholar] [CrossRef]
- Jing, H.; Wei, Y.; Duan, J.; Hao, J.; Zhao, W.; Qu, Z.; Wang, J.; Zhang, B. Thermally and magnetically controlled dual-band terahertz metamaterial absorber based on InSb. Opt. Mater. 2022, 129, 112311. [Google Scholar] [CrossRef]
- Assad, M.A.; Elbahri, M. Perfect ultraviolet absorbers via disordered polarizonic metasurfaces for multiband camouflage and stealth technologies. Adv. Funct. Mater. 2024, 35, 2418271. [Google Scholar] [CrossRef]
- Agrahari, R.; Kumar, S.; Singh, A. High sensitive metasurface absorber for refractive index sensing. IEEE Trans. Nanotechnol. 2023, 22, 328–335. [Google Scholar] [CrossRef]
- Ding, Z.; Wang, Y.; Li, X. Metasurface inverse designed by deep learning for quasi-entire terahertz wave absorption. Nanoscale 2024, 16, 1384–1393. [Google Scholar] [CrossRef]
- Coman, C.; Barar, A.; Manaila-Maximean, D. Controlling electromagnetic fields in the terahertz window with metal-dielectric frequency-selective ring resonators. Univ. Politeh. Buchar. Sci. Bull. Ser. A Appl. Math. Phys. 2022, 84, 201–208. [Google Scholar]
- Fahad, A.K.; Ruan, C.; Chen, K. Dual-wide-band dual polarization terahertz linear to circular polarization converters based on bi-layered transmissive metasurfaces. Electronics 2019, 8, 869. [Google Scholar] [CrossRef]
- Wang, J.; Lang, T.; Hong, Z.; Xiao, M.; Yu, J. Design and fabrication of a triple-band terahertz metamaterial absorber. Nanomaterials 2021, 11, 1110. [Google Scholar] [CrossRef] [PubMed]
- Li, J.; Cai, R.; Chen, H.; Ma, B.; Wu, Q.; Li, M. Deep neural network-enabled multifunctional switchable terahertz metamaterial devices. Sci. Rep. 2024, 14, 19868. [Google Scholar] [CrossRef] [PubMed]
- Charca-Benavente, R.; Clemente-Arenas, M. Thermally tunable terahertz bifunctional metasurface based on indium antimonide. In Proceedings of the 2024 IEEE International Symposium on Antennas and Propagation and INC/USNC-URSI Radio Science Meeting (AP-S/INC-USNC-URSI), Florence, Italy, 14–19 July 2024; pp. 73–74. [Google Scholar]
- Chyi, J.-I.; Biswas, D.; Iyer, S.V.; Kumar, N.S.; Morkoc, H.; Bean, R.; Zanio, K.; Lee, H.-Y.; Chen, H. Molecular beam epitaxial growth and characterization of InSb on Si. Appl. Phys. Lett. 1989, 54, 11, 3338–3340. [Google Scholar] [CrossRef]
- Michel, E.; Singh, G.; Slivken, S.; Besikci, C.; Bove, P.; Ferguson, I.; Razeghi, M. Molecular beam epitaxial growth of high quality InSb. Appl. Phys. Lett. 1994, 65, 26, 75–79. [Google Scholar] [CrossRef]
- Partin, D.L.; Green, L.; Heremans, J. Growth of high mobility InSb by metalorganic chemical vapor deposition. J. Electron. Mater. 1994, 23, 75–79. [Google Scholar] [CrossRef]
- Luo, H.; Cheng, Y. Thermally tunable terahertz metasurface absorber based on all dielectric indium antimonide resonator structure. Opt. Mater. 2020, 102, 109801. [Google Scholar] [CrossRef]
- Zhang, G.; Meng, Y.; Wang, S.; Lu, J.; Yue, J.; Xia, S.; Wang, L.; Zhai, X. Excitation and modulation of long-range surface plasmons based on InSb multilayer structure. Phys. Lett. A 2023, 481, 128989. [Google Scholar] [CrossRef]
- Liu, H.; Ren, G.; Gao, Y.; Lian, Y.; Qi, Y.; Jian, S. Tunable subwavelength terahertz plasmon-induced transparency in the InSb slot waveguide side-coupled with two stub resonators. Appl. Opt. 2015, 54, 3918–3924. [Google Scholar] [CrossRef]
- Moridsadat, M.; Golmohammadi, S.; Baghban, H. Tunable multiband plasmonic response of indium antimonide touching microrings in the terahertz range. Appl. Opt. 2018, 57, 4368–4375. [Google Scholar] [CrossRef]
- Nozhat, N. Tunable terahertz plasmon-induced transparency with aperture-side-coupled disk resonators. Opt. Eng. 2017, 56, 057101. [Google Scholar] [CrossRef]
- Kuo, C.H.; Wu, J.M.; Lin, S.J.; Chang, W.C. High sensitivity of middle-wavelength infrared photodetectors based on an individual InSb nanowire. Nanoscale Res Lett. 2013, 8, 327. [Google Scholar] [CrossRef] [PubMed]
- Rode, D.L. Electron transport in InSb, InAs, and InP. Phys. Rev. B 1971, 8, 3287–3299. [Google Scholar] [CrossRef]
- Yaqoob, M.Z.; Ahamd, M.; Ghaffar, A.; Razzaz, F.; Saeed, S.M.; Alanazi, T.M. Thermally tunable electromagnetic surface waves supported by graphene loaded indium antimonide (InSb) interface. Sci. Rep. 2023, 13, 18631. [Google Scholar] [CrossRef] [PubMed]
- Abachi, H.; Molenat, J.; Malbrunot, P. Continuously variable cryostat giving accurate settings at any temperature between 77 and 300 K. J. Phys. E Sci. Instrum. 1979, 12, 8. [Google Scholar] [CrossRef]
- Matula, R.A. Electrical resistivity of copper, gold, palladium, and silver. J. Phys. Chem. Ref. Data 1979, 8, 1147–1298. [Google Scholar] [CrossRef]
- Song, Z.; Wei, M.; Wang, Z.; Cai, G.; Liu, Y.; Zhou, Y. Terahertz absorber with reconfigurable bandwidth based on isotropic vanadium dioxide metasurfaces. IEEE Photonics J. 2019, 11, 2. [Google Scholar] [CrossRef]
- Islam, M.S.; Sultana, J.; Biabanifard, M.; Vafapour, Z.; Nine, M.J.; Dinovitser, A.; Cordeiro, C.M.B.; Ng, B.W.-H.; Abbott, D. Tunable localized surface plasmon graphene metasurface for multiband superabsorption and terahertz sensing. Carbon 2020, 158, 559–567. [Google Scholar] [CrossRef]
- Liu, Y.; Huang, R.; Ouyang, Z. Terahertz absorber with dynamically switchable dual-broadband based on a hybrid metamaterial with vanadium dioxide and graphene. Opt. Express 2021, 29, 20839–20850. [Google Scholar] [CrossRef]
- Xu, J.; Li, R.; Qin, J.; Wang, S.; Han, T. Ultra-broadband wide-angle linear polarization converter based on H-shaped metasurface. Opt. Express 2018, 26, 20913–20919. [Google Scholar] [CrossRef]
- Cildir, A.; Tahir, F.A.; Farooq, M.; Zahid, A.; Imran, M.; Abbasi, Q.H. A highly efficient and broadband metasurface for linear-to-linear and linear-to-circular polarization conversion in reflection mode. Photonics Nanostruct. Fundam. Appl. 2025, 64, 101382. [Google Scholar] [CrossRef]
- Ozturk, G.; Corapsiz, M.F. Ultra-thin reflective linear and circular polarization converter for Ku band applications. Opt. Commun. 2022, 516, 128268. [Google Scholar] [CrossRef]
- Hassan, A.G.; Sumaid, M.; Ahmed, F.; Shoaib, N.; Abbasi, Q.H.; Nikolaou, S. Reconfigurable absorptive and polarization conversion metasurface consistent for wide angles of incidence. Sci. Rep. 2023, 13, 18209. [Google Scholar] [CrossRef] [PubMed]
- Zhang, B.; Zhu, C.; Zhang, R.; Yang, X.; Wang, Y.; Liu, X. Ultra-broadband angular-stable reflective linear to cross polarization converter. Electronics 2022, 11, 3487. [Google Scholar] [CrossRef]
- Afra, T.; Fuscaldo, W.; Zografopoulos, D.C.; Natale, T.; Dell’Olio, F. Tunable wide-band near-perfect absorber for terahertz waves based on a vanadium dioxide metasurface. Opt. Quantum Electron. 2025, 57, 272. [Google Scholar] [CrossRef]
- Song, L.-Z.; Squires, A.; van der Laan, T.; Du, J. THz graphene-integrated metasurface for electrically reconfigurable polarization conversion. Nanophotonics 2024, 13, 2349–2359. [Google Scholar] [CrossRef]
- Cheng, Y.; Li, Z.; Cheng, Z. Terahertz perfect absorber based on InSb metasurface for both temperature and refractive index sensing. Opt. Mater. 2021, 117, 111129. [Google Scholar] [CrossRef]
- Xu, G.; Li, Q.; Su, H.; Dong, Y.; Guo, G.; Wang, H.; Huang, H.; Chen, T.; Wang, S.; Zhang, X.; et al. Dual-function switchable terahertz surface plasmon device driven by a GST metasurface. Photonics Res. 2024, 13, 98–105. [Google Scholar] [CrossRef]








| Work (Year) | Active Material/Tuning | Function(s) | Key Performance | Incidence/Pol. Robustness | Novel Advance |
|---|---|---|---|---|---|
| This work | InSb, thermal (200 K ↔ 280 K) | Perfect absorber + pol. converter (same pixel) | 0.408 THz, A = 100%; 0.56–0.93 THz, PCR > 85% | TE ≤ 45°, TM ≤ 75° for A and ≤45° for PCR | First InSb metasurface combining dual modes; widest temp-tuned PCR band; 100% A |
| Afra et al., 2025 [55] | VO2, thermal | Wide-band absorber/reflector | 1.27–2.64 THz, A > 90% | Pol. & angle insensitive | Broadest VO2 absorption band (metal phase) |
| Song et al., 2024 [56] | Graphene, DC bias | Electrically reconfig. pol. converter | 240 GHz, ellipticity tunable −0.94 → −0.5 (0–12 V) | (not reported) | First experimentally verified graphene–gold bilayer converter with <12 V drive |
| Cheng et al., 2021 [57] | InSb (passive) | Narrow-band absorber | 1.757 THz, A = 99.9%, | - | Ultra-high-Q sensing pixel |
| Coman et al., 2022 [29] | Cu–polyimide FSRR, geometrical | Variable attenuator | 2–5 THz, 10–25 dB loss | - | Broadband THz attenuation window |
| Xu et al., 2024 [58] | GST225, phase-change | Switchable SP coupler / lens | 0.9–1.2 THz (exp.) | - | Non-volatile dual SP device |
Disclaimer/Publisher’s Note: The statements, opinions and data contained in all publications are solely those of the individual author(s) and contributor(s) and not of MDPI and/or the editor(s). MDPI and/or the editor(s) disclaim responsibility for any injury to people or property resulting from any ideas, methods, instructions or products referred to in the content. |
© 2025 by the authors. Licensee MDPI, Basel, Switzerland. This article is an open access article distributed under the terms and conditions of the Creative Commons Attribution (CC BY) license (https://creativecommons.org/licenses/by/4.0/).
Share and Cite
Charca-Benavente, R.; Kumar, R.; Rubio-Noriega, R.; Clemente-Arenas, M. Thermally Tunable Bi-Functional Metasurface Based on InSb for Terahertz Applications. Materials 2025, 18, 2847. https://doi.org/10.3390/ma18122847
Charca-Benavente R, Kumar R, Rubio-Noriega R, Clemente-Arenas M. Thermally Tunable Bi-Functional Metasurface Based on InSb for Terahertz Applications. Materials. 2025; 18(12):2847. https://doi.org/10.3390/ma18122847
Chicago/Turabian StyleCharca-Benavente, Rafael, Rupesh Kumar, Ruth Rubio-Noriega, and Mark Clemente-Arenas. 2025. "Thermally Tunable Bi-Functional Metasurface Based on InSb for Terahertz Applications" Materials 18, no. 12: 2847. https://doi.org/10.3390/ma18122847
APA StyleCharca-Benavente, R., Kumar, R., Rubio-Noriega, R., & Clemente-Arenas, M. (2025). Thermally Tunable Bi-Functional Metasurface Based on InSb for Terahertz Applications. Materials, 18(12), 2847. https://doi.org/10.3390/ma18122847

