Development of a Fire-Retardant and Sound-Insulating Composite Functional Sealant
Abstract
1. Introduction
2. Materials and Methods
2.1. Raw Materials
2.2. Preparation of Composite Functional Sealants
2.3. Characterization
3. Results
3.1. Composite Functional Filler
3.2. Composite Functional Sealants
3.2.1. SEM of Composite Functional Sealant
3.2.2. Thermal Degradation Behavior
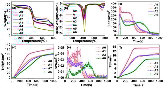
3.2.3. Flame Retardancy
3.2.4. Analysis of Residual Char
3.2.5. Sound Insulation Performance
3.2.6. Flame-Retardant Mechanism and Sound Insulation Mechanism
3.2.7. Mechanical Property
3.2.8. Hydrophobic Property
4. Conclusions
Author Contributions
Funding
Institutional Review Board Statement
Informed Consent Statement
Data Availability Statement
Conflicts of Interest
References
- Shahpari, M.; Saradj, F.M.; Pishvaee, M.S.; Piri, S. Assessing the Productivity of Prefabricated and In-Situ Construction Systems Using Hybrid Multi-Criteria Decision Making Method. J. Build. Eng. 2020, 27, 100979. [Google Scholar] [CrossRef]
- Lu, W.; Chen, K.; Xue, F.; Pan, W. Searching for an Optimal Level of Prefabrication in Construction: An Analytical Framework. J. Clean. Prod. 2018, 201, 236–245. [Google Scholar] [CrossRef]
- Wang, X.Q.; Chow, C.L.; Lau, D. Topology-Controlled Thermomechanical Properties of Diamond Nanothread Enhanced Polymeric Materials. Appl. Mater. Today 2023, 32, 101822. [Google Scholar] [CrossRef]
- Wulf, V.; Pui-yan Hung, A.; Hendler-Neumark, A.; Li, W.; Shamis, O.; Gozin, M.; Huang, X.; Kin Tak Lau, A.; Bisker, G. Acoustic Performance of Epoxy-Based Composites Incorporating Fluorescent Single-Walled Carbon Nanotubes. Compos. Part A Appl. Sci. Manuf. 2023, 173, 107667. [Google Scholar] [CrossRef]
- De Borbón, F.; Ambrosini, D.; Curadelli, O. Damping Response of Composites Beams with Carbon Nanotubes. Compos. Part B Eng. 2014, 60, 106–110. [Google Scholar] [CrossRef]
- Willemsen, A.M.; Rao, M.D. Sound Absorption Characteristics of Nanocomposite Polyurethane Foams Infused with Carbon Nanotubes. Noise Control Eng. J. 2015, 63, 424–438. [Google Scholar] [CrossRef]
- Xie, S.; Li, Z.; Yan, H.; Yang, S. Ultra-Broadband Sound Absorption Performance of a Multi-Cavity Composite Structure Filled with Polyurethane. Appl. Acoust. 2022, 189, 108612. [Google Scholar] [CrossRef]
- Squibb, C.; Hada, M.; Philen, M. In-Plane Mechanical Properties of Thick-Walled Polymer-Filled Honeycomb Composites: Analysis and Experiments. Polym. Compos. 2023, 44, 103–120. [Google Scholar] [CrossRef]
- Wang, Y.; Tao, S.; Lin, H.; Wang, G.; Zhao, K.; Cai, R.; Tao, K.; Zhang, C.; Sun, M.; Hu, J.; et al. Atomically Targeting NiFe LDH to Create Multivacancies for OER Catalysis with a Small Organic Anchor. Nano Energy 2021, 81, 105606. [Google Scholar] [CrossRef]
- Shi, X.-H.; Li, X.-L.; Shi, H.; Liu, Q.-Y.; Xie, W.-M.; Wu, S.-J.; Zhao, N.; Wang, D.-Y. Insight into the Flame-Retardant Mechanism of Different Organic-Modified Layered Double Hydroxide for Epoxy Resin. Appl. Clay Sci. 2024, 248, 107233. [Google Scholar] [CrossRef]
- Hong, C.; Ji, J.; Huang, J.; Zhang, Y.; Li, L. NiMo/NiFe-LDH Heterostructured Electrocatalyst for Hydrogen Production from Water Electrolysis. Mater. Lett. 2025, 379, 137664. [Google Scholar] [CrossRef]
- Xu, H.; Zhu, S.; Lu, K.; Jia, H.; Xia, M.; Wang, F. Preparation of Hierarchically Floral ZIF-8 Derived carbon@polyaniline@Ni/Al Layered Double Hydroxides Composite with Outstanding Removal Phenomenon for Saccharin. Chem. Eng. J. 2022, 450, 138127. [Google Scholar] [CrossRef]
- Hu, X.; Zhu, X.; Sun, Z. Fireproof Performance of the Intumescent Fire Retardant Coatings with Layered Double Hydroxides Additives. Constr. Build. Mater. 2020, 256, 119445. [Google Scholar] [CrossRef]
- Yang, Q.; Jia, Y.; Zhou, X.; Zhang, H. Mechanically Reinforced Flame-Retardant Epoxy Resins by Layered Double Hydroxide In Situ Decorated Carbon Nanotubes. ACS Appl. Polym. Mater. 2022, 4, 6731–6741. [Google Scholar] [CrossRef]
- Liu, Y.; Li, B.; Xu, M.; Wang, L. Highly Efficient Composite Flame Retardants for Improving the Flame Retardancy, Thermal Stability, Smoke Suppression, and Mechanical Properties of EVA. Materials 2020, 13, 1251. [Google Scholar] [CrossRef] [PubMed]
- Hu, A.; Du, C.; Hua, Y.; Shan, Y.; Liu, C.; Chen, S.; Li, Q.; Yu, H. Preparation and Flame Retardant Properties of Calcium–Aluminium Hydrotalcite with Root Cutting Silicate Layers as Bamboo Flame Retardants. Materials 2021, 14, 7319. [Google Scholar] [CrossRef]
- Yan, L.; Wei, Z.; Guan, J.; Tang, X.; Liu, Y. Intercalated Kaolinite with Ammonium Dihydrogen Phosphate as an Effective Flame Retardant to Enhance the Flame Retardance and Smoke Suppression of Epoxy Resins. J. Appl. Polym. Sci. 2024, 141, e55149. [Google Scholar] [CrossRef]
- Kong, L.; Guan, H.; Wang, X. In Situ Polymerization of Furfuryl Alcohol with Ammonium Dihydrogen Phosphate in Poplar Wood for Improved Dimensional Stability and Flame Retardancy. ACS Sustain. Chem. Eng. 2018, 6, 3349–3357. [Google Scholar] [CrossRef]
- Liu, S.-H.; Kuan, C.-F.; Ke, C.-Y.; Shen, M.-Y.; Chiang, C.-L. Preparation of Thermally Stable and Flame-Retardant Sugarcane Bagasse-Ammonium Dihydrogen Phosphate/Epoxy Composites and Their Performance. J. Appl. Polym. Sci. 2024, 141, e55201. [Google Scholar] [CrossRef]
- Lu, J.; Cong, X.; Li, Y.; Hao, Y.; Wang, C. High Strength Artificial Stoneware from Marble Waste via Surface Modification and Low Temperature Sintering. J. Clean. Prod. 2018, 180, 728–734. [Google Scholar] [CrossRef]
- Huang, X.; Guo, Q.; Zhou, P.; Lu, C.; Yuan, G.; Chen, Z.; Zhang, X. Poly(Vinyl Alcohol)/Artificial Marble Wastes Composites with Improved Melt Processability and Mechanical Properties. Compos. Part B Eng. 2020, 182, 107628. [Google Scholar] [CrossRef]
- Bilgin, N.; Yeprem, H.A.; Arslan, S.; Bilgin, A.; Günay, E.; Marşoglu, M. Use of Waste Marble Powder in Brick Industry. Constr. Build. Mater. 2012, 29, 449–457. [Google Scholar] [CrossRef]
- Li, H.; Ji, D.; Chen, C.; Wang, X.; Tu, J.; Zhang, K.; Ding, A. Effect of Fatty Acid Methyl Ester Polyoxyethylene Ether on the Rheological Properties of Cement Filled with Artificial Marble Waste Powders. J. Clean. Prod. 2021, 328, 129503. [Google Scholar] [CrossRef]
- Tressmann, D.M.G.A.; Pedroti, L.G.; de Carvalho, A.F.; Ribeiro, J.C.L.; de Paula Cardoso, F.; Lopes, M.M.S.; de Oliveira, A.F.; Ferreira, S.O. Research into the Use of Marble Waste as Mineral Filler in Soil Pigment-Based Paints and as an Active Pigment in Waterborne Paints. Constr. Build. Mater. 2020, 241, 117976. [Google Scholar] [CrossRef]
- ISO 5660; Reaction to Fire Tests-Heat Release. ISO: Geneva, Switzerland, 2015.
- ASTM E2611-17; Standard Test Method for Normal Incidence Determination of Porous Material Acoustical Properties Based on the Transfer Matrix Method. ASTM: West Conshohocken, PA, USA, 2017.
- GB/T 5210-2006; Paints and Varnishes, Pull-Apart Adhesion Test. Standardization Administration of China: Beijing, China, 2006.
- ASTM D570; Standard Test Method for Water Absorption of Plastics. ASTM: West Conshohocken, PA, USA, 1998.
- Wang, M.; Xiao, G.; Chen, C.; Yang, Z.; Zhong, F.; Chen, C.; Zou, R.; Li, Y.; Li, R. Combining Layered Double Hydroxides and Carbon Nanotubes to Synergistically Enhance the Flame Retardant Properties of Composite Coatings. Colloids Surf. A Physicochem. Eng. Asp. 2022, 638, 128315. [Google Scholar] [CrossRef]
- Deng, W.; Zhang, D.; Zheng, X.; Ye, X.; Niu, X.; Lin, Z.; Fu, M.; Zhou, S. Adsorption Recovery of Phosphate from Waste Streams by Ca/Mg-Biochar Synthesis from Marble Waste, Calcium-Rich Sepiolite and Bagasse. J. Clean. Prod. 2021, 288, 125638. [Google Scholar] [CrossRef]
- Kuwahara, Y.; Tamagawa, S.; Fujitani, T.; Yamashita, H. Removal of Phosphate from Aqueous Solution Using Layered Double Hydroxide Prepared from Waste Iron-Making Slag. Bull. Chem. Soc. Jpn. 2016, 89, 472–480. [Google Scholar] [CrossRef]
- Manzar, M.S.; Palaniandy, P.; Georgin, J.; Franco, D.S.P.; Zubair, M.; Muazu, N.D.; Faisal, W.; El Messaoudi, N. Synthesis of LDH-MgAl and LDH-MgFe Composites for the Efficient Removal of the Antibiotic from Water. Environ. Sci. Pollut. Res. 2024, 31, 55577–55596. [Google Scholar] [CrossRef]
- Rezaeifard, S.; Shahrabi, T.; Ramezanzadeh, B. Trisodium Phosphate-Loaded Magnesium-aluminum Layered Double Hydroxides/Oxidized-Multiwalled Carbon Nanotubes Self-Assembled 2D-Nanohybrid for Designing a Multifunctional Smart Epoxy Nanocomposite. Appl. Clay Sci. 2024, 254, 107376. [Google Scholar] [CrossRef]
- Hou, J.; Sun, Q.; Hao, X. Adsorption Performance and Mechanistic Study of Pb, Cd and As by CaAl-LDH in Wastewater. J. Cent. South Univ. 2024, 31, 1292–1305. [Google Scholar] [CrossRef]
- Zhao, X.; Hu, Y.; Xu, X.; Li, M.; Han, Y.; Huang, S. Sound Absorption Polyimide Composite Aerogels for Ancient Architectures’ Protection. Adv. Compos. Hybrid Mater. 2023, 6, 137. [Google Scholar] [CrossRef]
- Nering, K.; Kwiecień, A.; Nering, K. Evaluating the Impact of Sample Irregularities on the Dynamic Stiffness of Polyurethane: Insights from Experimental and FEM Analysis. Materials 2024, 17, 5910. [Google Scholar] [CrossRef] [PubMed]
- Ge, Y.; Xue, J.; Liu, L.; Yang, Y. Preparation and Sound Insulation of Honeycomb Composite Structures Filled with Glass Fiber. Polym. Compos. 2024, 45, 1649–1663. [Google Scholar] [CrossRef]
- Chiou, Y.-C.; Chou, H.-Y.; Shen, M.-Y. Effects of Adding Graphene Nanoplatelets and Nanocarbon Aerogels to Epoxy Resins and Their Carbon Fiber Composites. Mater. Des. 2019, 178, 107869. [Google Scholar] [CrossRef]
- Thomoglou, A.K.; Fantidis, J.G.; Voutetaki, M.E.; Metaxa, Z.S.; Chalioris, C.E. Mechanical Characterization of Nano-Reinforced Mortar: X-Ray Micro-CT for 3D Imaging of Microstructure. Eng. Proc. 2023, 41, 4. [Google Scholar] [CrossRef]
- Thomoglou, A.K.; Falara, M.G.; Gkountakou, F.I.; Elenas, A.; Chalioris, C.E. Smart Cementitious Sensors with Nano-, Micro-, and Hybrid-Modified Reinforcement: Mechanical and Electrical Properties. Sensors 2023, 23, 2405. [Google Scholar] [CrossRef]
- Jin, X.; Shi, B.; Zheng, L.; Pei, X.; Zhang, X.; Sun, Z.; Du, Y.; Kim, J.H.; Wang, X.; Dou, S.; et al. Bio-Inspired Multifunctional Metallic Foams Through the Fusion of Different Biological Solutions. Adv. Funct. Mater. 2014, 24, 2721–2726. [Google Scholar] [CrossRef]
- Zhang, R.; Yu, X.; Yang, Q.; Cui, G.; Li, Z. The Role of Graphene in Anti-Corrosion Coatings: A Review. Constr. Build. Mater. 2021, 294, 123613. [Google Scholar] [CrossRef]









| Samples | T−1wt%/°C | Tmax1/°C | Residual Amount at 800 °C/wt% |
|---|---|---|---|
| A0 | / | 406 | 27 |
| A1 | / | 419 | 33 |
| A2 | / | 417 | 34 |
| A3 | 124 | 425 | 15 |
| A4 | 126 | 430 | 29 |
| A5 | 128 | 407 | 31 |
| A6 | 133 | 431 | 37 |
| Samples | UL-94 | ||
|---|---|---|---|
| /s | Dripping | Rating | |
| A0 | >30 | Yes | / |
| A1 | 0 | No | V-0 |
| A2 | 0 | No | V-0 |
| A3 | >30 | Yes | / |
| A4 | >30 | Yes | / |
| A5 | 15 | No | V-1 |
| A6 | 0 | No | V-0 |
| Samples | A0 | A1 | A2 | A6 |
|---|---|---|---|---|
| TTI (s) | 33 | 39 | 47 | 75 |
| PHRR (kW/m2) | 339.23 | 370.52 | 271.76 | 224.83 |
| PSPR (m2/s) | 0.037 | 0.050 | 0.034 | 0.024 |
| TSR (m2/m2) | 1259.25 | 1568.73 | 1192.96 | 981.14 |
| Samples | A0 | A1 | A2 | A3 | A4 | A5 | A6 |
|---|---|---|---|---|---|---|---|
| Contact angle/° | 103 ± 2 | 97 ± 3 | 104 ± 1 | 92 ± 2 | 95 ± 1 | 101 ± 2 | 111 ± 2 |
| Water absorption/% | 0.232 ± 0.012 | 0.093 ± 0.022 | 0.080 ± 0.054 | 2.360 ± 0.052 | 0.105 ± 0.077 | 0.084 ± 0.052 | 0.046 ± 0.02 |
Disclaimer/Publisher’s Note: The statements, opinions and data contained in all publications are solely those of the individual author(s) and contributor(s) and not of MDPI and/or the editor(s). MDPI and/or the editor(s) disclaim responsibility for any injury to people or property resulting from any ideas, methods, instructions or products referred to in the content. |
© 2024 by the authors. Licensee MDPI, Basel, Switzerland. This article is an open access article distributed under the terms and conditions of the Creative Commons Attribution (CC BY) license (https://creativecommons.org/licenses/by/4.0/).
Share and Cite
Li, S.; Wang, M.; Tu, J.; Wang, B.; Wang, X.; Zhang, K. Development of a Fire-Retardant and Sound-Insulating Composite Functional Sealant. Materials 2025, 18, 62. https://doi.org/10.3390/ma18010062
Li S, Wang M, Tu J, Wang B, Wang X, Zhang K. Development of a Fire-Retardant and Sound-Insulating Composite Functional Sealant. Materials. 2025; 18(1):62. https://doi.org/10.3390/ma18010062
Chicago/Turabian StyleLi, Shiwen, Mingyu Wang, Jinchun Tu, Bingrong Wang, Xiaohong Wang, and Kexi Zhang. 2025. "Development of a Fire-Retardant and Sound-Insulating Composite Functional Sealant" Materials 18, no. 1: 62. https://doi.org/10.3390/ma18010062
APA StyleLi, S., Wang, M., Tu, J., Wang, B., Wang, X., & Zhang, K. (2025). Development of a Fire-Retardant and Sound-Insulating Composite Functional Sealant. Materials, 18(1), 62. https://doi.org/10.3390/ma18010062

