An Experimental Method to Capture the Thermal Conductivity Coefficient of Fine-Grained Concretes during Transition from Liquid to Solid
Abstract
1. Introduction
2. Experimental Determination of the Transient Thermal Conductivity Coefficient
2.1. Theoretical Basis for the Development of the Test Rig
2.2. Design of the Test Rig
2.3. Evaluation of the Thermal Conductivity Coefficient
2.4. Digital Twin
3. Experiments
3.1. Experimental Setup
3.2. Experimental Procedure
3.3. Results
3.4. Evaluation of the Transient Thermal Conductivity Coefficient
4. Discussion
4.1. Comparison of the Results with Approaches from the Literature
4.2. Evaluation Length
4.3. Influence of Induced Heat and Hydration Test
5. Conclusions
- The thermal conductivity of concrete decreases in the transition from liquid to solid during hydration, following an exponentially decreasing course. For the investigated concrete, the thermal conductivity before hydration is λ0 ≈ 4.3 W/(mK). In the solid state, it is λhard ≈ 3.1 W/(mK); λhard is reached after about 1 h.
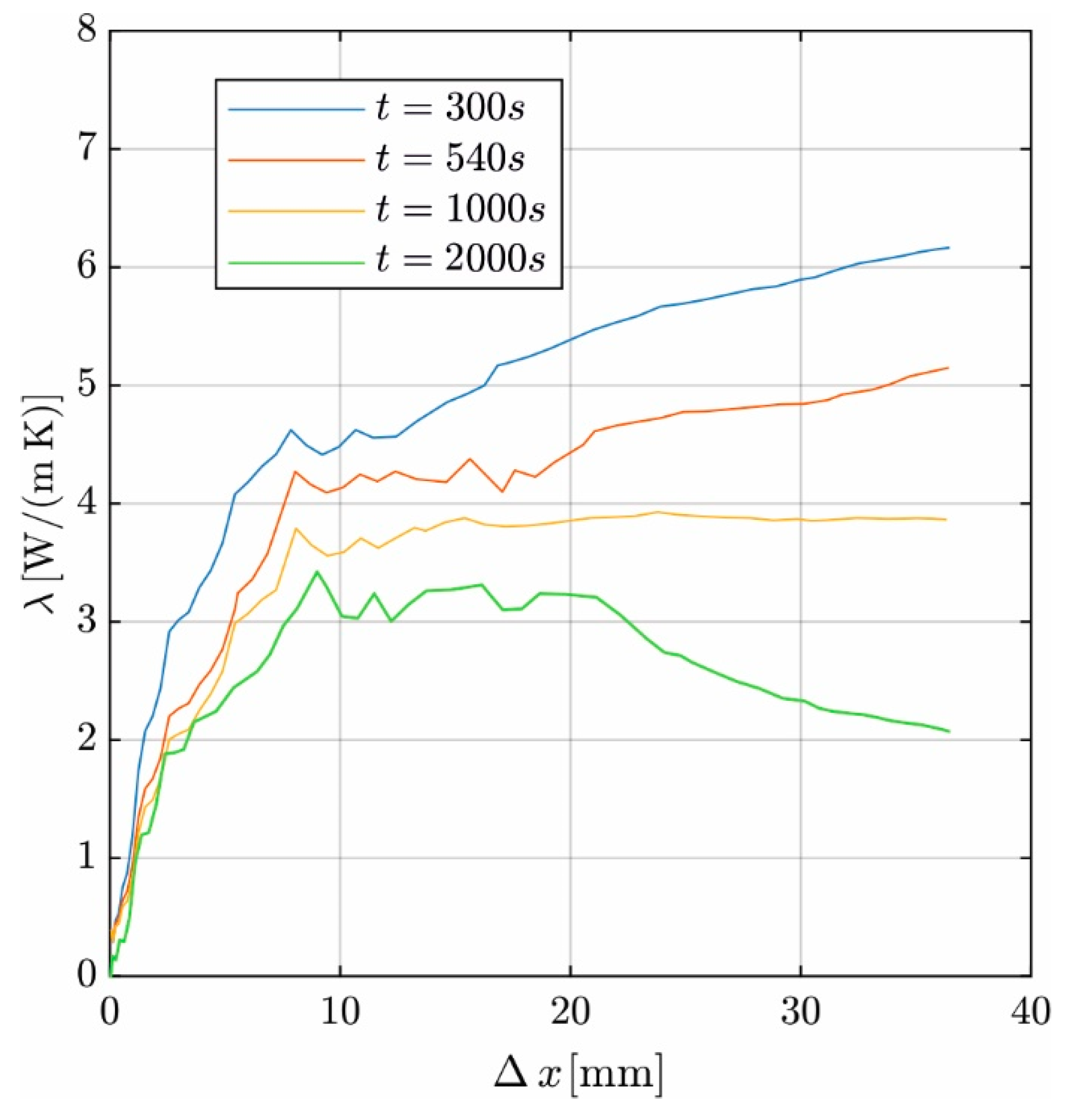
- In the transient state, only a short evaluation length can be considered for the temperature distribution. A minimum length must be maintained to reduce the influence of inhomogeneities in the concrete composition and measurement uncertainty. On the other hand, an extended evaluation length delimitates the permissible evaluation time and is more susceptible to the influence of hydration heat. Therefore, an evaluation length of three times the maximum grain diameter of the concrete is recommended.
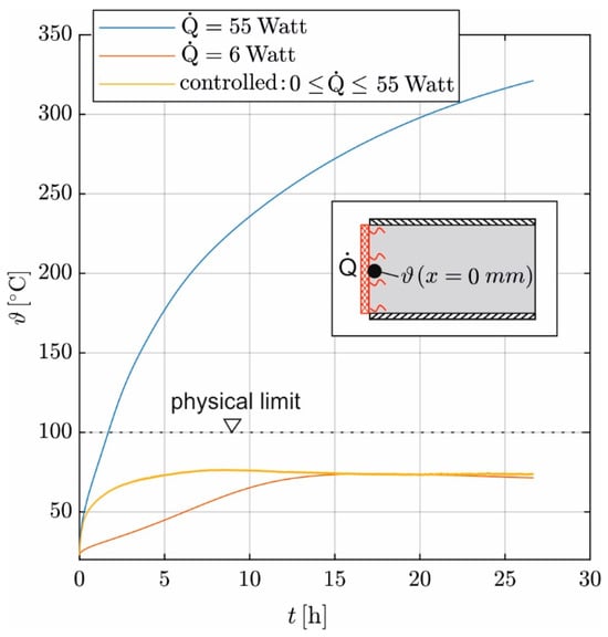
- A high heating mat temperature reduces the relative influence of the released hydration heat. The concrete temperature must not exceed the critical temperature of 100 °C. The minimum heating mat temperature is 60 °C, and 95 °C is recommended under laboratory conditions.
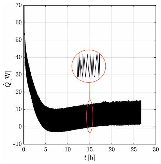
- In order to achieve a linear temperature distribution over the evaluation length in a short time without exceeding the limit temperature of 100 °C, a controlled heat supply is necessary. In the experiment, a heating mat with a two-point control was used. The nonconstant-induced heat flux required using a heat flux sensor to measure the development over time. The derived λ-curve shows the oscillations of the heat flux and must be compensated by linearization. Using a more continuous control system such as a PID controller may be helpful to reduce the effect.
Author Contributions
Funding
Data Availability Statement
Conflicts of Interest
References
- Sanio, D.; Mark, P.; Ahrens, M.A. Computation of temperature fields on bridges. Implementation by means of spread-sheets. Beton Stahlbetonbau 2017, 112, 85–95. [Google Scholar] [CrossRef]
- Stindt, J.; Forman, P.; Mark, P. Influence of Rapid Heat Treatment on the Shrinkage and Strength of High-Performance Concrete. Materials 2021, 14, 4102. [Google Scholar] [CrossRef]
- Selleng, C.; Meng, B.; Gröger, K.; Fontana, P. Influencing factors for the effectivity of heat treatment of ultra-high performance concrete (UHPC). Beton Stahlbetonbau 2017, 112, 12–21. [Google Scholar] [CrossRef]
- Schwarz, Y.; Sanio, D.; Mark, P. Influence of heat treatment on the bond creep of high-strength concrete. Beton Stahlbetonbau 2024, 119, 253–264. [Google Scholar] [CrossRef]
- Eierle, B.; Schikora, K. Zwang und Rissbildung Infolge Hydratationswarme: Grundlagen, Berechnungsmodelle und Tragverhalten; Deutscher Ausschuss für Stahlbeton 512; Beuth Verlag: Berlin, Germany, 2000; ISBN 9783410657125. [Google Scholar]
- Kim, K.-H.; Jeon, S.-E.; Kim, J.-K.; Yang, S. An experimental study on thermal conductivity of concrete. Cem. Concr. Res. 2003, 33, 363–371. [Google Scholar] [CrossRef]
- Shin, A.H.-C.; Kodide, U. Thermal conductivity of ternary mixtures for concrete pavements. Cem. Concr. Compos. 2012, 34, 575–582. [Google Scholar] [CrossRef]
- Gertis, K.; Holm, A. On the measurement of thermal conductivity of humid substances. Bauphysik 2014, 36, 27–39. [Google Scholar] [CrossRef]
- Sagmeister, B. Maschinenteile aus Zementgebundenem Beton; Beuth Verlag: Berlin, Germany, 2017; ISBN 978-3-410-27186-4. [Google Scholar]
- Morabito, P. Measurement of the thermal properties of different concretes. High Temp. High Press. 1989, 21, 51–59. [Google Scholar]
- Bessenouci, M.Z.; Bibi-Triki, N.E.; Bendimerad, S.; Nakoul, Z.; Khelladi, S.; Hakem, A. Influence of Humidity on the Apparent Thermal Conductivity of Concrete Pozzolan. Phys. Procedia 2014, 55, 150–156. [Google Scholar] [CrossRef]
- Schöppel, K. Entwicklung der Zwangspannungen im Beton Während der Hydratation; Berichte aus dem Baustoffinstitut; Technische Universität München: Munchen, Germany, 1994. [Google Scholar]
- Kirchner, G. Proposal for calculating temperature curves as a result of hydration heat. Beton Stahlbetonbau 1994, 89, 197–200. [Google Scholar] [CrossRef]
- Hammerschmidt, U.; Hameury, J.; Strnad, R.; Turzó-Andras, E.; Wu, J. Critical Review of Industrial Techniques for Thermal-Conductivity Measurements of Thermal Insulation Materials. Int. J. Thermophys. 2015, 36, 1530–1544. [Google Scholar] [CrossRef]
- Xamán, J.; Lira, L.; Arce, J. Analysis of the temperature distribution in a guarded hot plate apparatus for measuring thermal conductivity. Appl. Therm. Eng. 2009, 29, 617–623. [Google Scholar] [CrossRef]
- Kim, D.; Lee, S.; Yang, I. Verification of thermal conductivity measurements using guarded hot plate and heat flow meter methods. J. Korean Phys. Soc. 2021, 78, 1196–1202. [Google Scholar] [CrossRef]
- Johra, H. Description of the Guarded Hot Plate Method for Thermal Conductivity Measurement with the EP500. DCE Lect. 2019, 75, 1–19. [Google Scholar] [CrossRef]
- Cha, J.; Seo, J.; Kim, S. Building materials thermal conductivity measurement and correlation with heat flow meter, laser flash analysis and TCi. J. Therm. Anal. Calorim. 2012, 109, 295–300. [Google Scholar] [CrossRef]
- Ruuska, T.; Vinha, J.; Kivioja, H. Measuring thermal conductivity and specific heat capacity values of inhomogeneous materials with a heat flow meter apparatus. J. Build. Eng. 2017, 9, 135–141. [Google Scholar] [CrossRef]
- Salim, S.G.R. Thermal conductivity measurements using the transient hot-wire method: A review. Meas. Sci. Technol. 2022, 33, 125022. [Google Scholar] [CrossRef]
- Nagasaka, Y.; Nagashima, A. Simultaneous measurement of the thermal conductivity and the thermal diffusivity of liquids by the transient hot-wire method. Rev. Sci. Instrum. 1981, 52, 229–232. [Google Scholar] [CrossRef]
- Hay, B.; Filtz, J.R.; Hameury, J.; Rongione, L. Uncertainty of Thermal Diffusivity Measurements by Laser Flash Method. Int. J. Thermophys. 2005, 26, 1883–1898. [Google Scholar] [CrossRef]
- Gaal, P.S.; Thermitus, M.-A.; Stroe, D.E. Thermal conductivity measurements using the flash method. J. Therm. Anal. Calorim. 2004, 78, 185–189. [Google Scholar] [CrossRef]
- Fiege, G.B.M.; Altes, A.; Heiderhoff, R.; Balk, L.J. Quantitative thermal conductivity measurements with nanometre resolution. J. Phys. D Appl. Phys. 1999, 32, L13–L17. [Google Scholar] [CrossRef]
- Böckh, P.; Wetzel, T. Wärmeübertragung: Grundlagen und Praxis, 7th ed.; Springer: Berlin/Heidelberg, Germany, 2017; ISBN 978-3-662-55479-1. [Google Scholar]
- Myers, T.; Charpin, J. Modelling the temperature, maturity and moisture content in a drying concrete block. Math. Ind. Case Stud. J. 2008, 1, 24–48. [Google Scholar]
- Ratke, D.; Meurer, T.; Schwarz, Y.; Sanio, D.; Mark, P. Model-based Estimator Design for the Curing Process of a Concrete Structure. IFAC PapersOnLine 2023, 56, 3241–3246. [Google Scholar] [CrossRef]
- Deuse, T.; Mutke, S.; Parker, F.; Qvaeschning, D.; Wulff, M. Nanotechnisch optimierte Bindemittel für die Herstellung von anwendungsfreundlichem Hochleistungsbeton. Beton 2019, 6, 210–219. [Google Scholar]
- Stindt, J.; Kempf, L.-A.; Forman, P.; Breitenbücher, R.; Mark, P. DEF of high-performance concrete with rapid, non-standard heat-treatment. Case Stud. Constr. Mater. 2023, 19, e02289. [Google Scholar] [CrossRef]
- Clauß, F.; Löschmann, J.; Ahrens, M.A.; Mark, P. Temperature induction into RC structures. Beton Stahlbetonbau 2021, 116, 539–550. [Google Scholar] [CrossRef]
- Clauß, F.; Ahrens, M.A.; Mark, P. Thermo-mechanical experiments on reinforced concrete beams: Assessing thermal, mechanical, and mixed impacts on fiber optic measurements. Struct. Concr. 2022, 23, 3521–3537. [Google Scholar] [CrossRef]
- Ducrete GmbH. Technische Daten NANODUR®-Beton. Available online: https://www.durcrete.de/uhpc-mit-nanodur (accessed on 1 March 2024).
- Childs, P.R.N.; Greenwood, J.R.; Long, C.A. Heat flux measurement techniques. J. Mech. Eng. Sci. 1999, 213, 655–677. [Google Scholar] [CrossRef]
- American Society for Testing and Materials. Test Method for Steady-State Heat Flux Measurements and Thermal Transmission Properties by Means of the Guarded-Hot-Plate Apparatus. 2019. Available online: https://www.astm.org/c0177-19e01.html (accessed on 24 April 2024).
- Bergmeister, K.; Fingerloos, F.; Wörner, J.-D. (Eds.) Beton Kalender: Beton im Hochbau: Silos and Behälter; Jahrgang; Ernst & Sohn: Berlin, Germany, 2016; ISBN 978-3-433-03074-5. [Google Scholar]
- Hoppe, J.; Schwarz, Y.; Stindt, J.; Forman, P.; Sanio, D.; Mark, P. Process-accompanying derivation of mechanical properties of high-strength concrete during rapid production. Beton Stahlbetonbau 2024. in preparation. [Google Scholar]















| Concrete Category | Thermal Conductivity Coeff. λ [W/(mK)] |
|---|---|
| Aerated concrete | 0.15–0.75 |
| Normal concrete | 1.15–1.65 |
| High-performance concrete (HPC) | 3.0 |
| Ultra-high-performance concrete (UHPC) | 6.0 |
| Symbol | Value | Units |
|---|---|---|
| 2440 | kg/m3 | |
| 2.3 | W/Km | |
| 2.05 | ND 1 | |
| 8.314 | J/K | |
| J/m3 | ||
| 16.1 | W/(Km2) | |
| 9.9 | W/(Km2) | |
| 1320 | J/(kgK) | |
| m2/s | ||
| 56 | 1/s | |
| E | 35 | kJ |
| 0.02 | m/s | |
| 300 | K | |
| 0.174 | ND | |
| 0.01 | ND |
| Component | Type | Mass [kg/m3] |
|---|---|---|
| River Sand | 0/2 | 426.0 |
| Basalt | 1/3 | 882.0 |
| Binder | Nanodur-Compound 5941 | 1042.0 |
| Water | 159.8 | |
| Superplasticizer | Master Glenium ACE 430 | 12.3 |
| Shrinkage reducer | Eclipse Floor | 8.0 |
| Hardening accelerator | Master X-Seed 100 | 12.3 |
Disclaimer/Publisher’s Note: The statements, opinions and data contained in all publications are solely those of the individual author(s) and contributor(s) and not of MDPI and/or the editor(s). MDPI and/or the editor(s) disclaim responsibility for any injury to people or property resulting from any ideas, methods, instructions or products referred to in the content. |
© 2024 by the authors. Licensee MDPI, Basel, Switzerland. This article is an open access article distributed under the terms and conditions of the Creative Commons Attribution (CC BY) license (https://creativecommons.org/licenses/by/4.0/).
Share and Cite
Schwarz, Y.; Ratke, D.; Sanio, D.; Meurer, T.; Mark, P. An Experimental Method to Capture the Thermal Conductivity Coefficient of Fine-Grained Concretes during Transition from Liquid to Solid. Materials 2024, 17, 2115. https://doi.org/10.3390/ma17092115
Schwarz Y, Ratke D, Sanio D, Meurer T, Mark P. An Experimental Method to Capture the Thermal Conductivity Coefficient of Fine-Grained Concretes during Transition from Liquid to Solid. Materials. 2024; 17(9):2115. https://doi.org/10.3390/ma17092115
Chicago/Turabian StyleSchwarz, Yannik, Denis Ratke, David Sanio, Thomas Meurer, and Peter Mark. 2024. "An Experimental Method to Capture the Thermal Conductivity Coefficient of Fine-Grained Concretes during Transition from Liquid to Solid" Materials 17, no. 9: 2115. https://doi.org/10.3390/ma17092115
APA StyleSchwarz, Y., Ratke, D., Sanio, D., Meurer, T., & Mark, P. (2024). An Experimental Method to Capture the Thermal Conductivity Coefficient of Fine-Grained Concretes during Transition from Liquid to Solid. Materials, 17(9), 2115. https://doi.org/10.3390/ma17092115

