Synthesis of MPEG-b-PLLA Diblock Copolymers and Their Crystallization Performance with PDLA and PLLA Composite Films
Abstract
1. Introduction
2. Materials and Methods
2.1. Synthesis of MPEG-b-PLLA Diblock Copolymers
2.2. Solution-Cast Composite Films
2.3. Characterizations
2.3.1. Analysis of Polymer Synthesis Results
2.3.2. Wide Angle X-ray Diffraction (WAXD)
2.3.3. Differential Scanning Calorimeter (DSC)
2.3.4. Thermogravimetric Analysis (TGA)
2.3.5. Polarized Optical Microscope (POM)
2.3.6. Environmental Scanning Electron Microscope (ESEM)
3. Results and Discussion
3.1. Evaluation of the Preparation Parameters
3.2. Crystalline Species and Crystallinity of MPEG-b-PLLA Copolymers, PDLA/MPEG-b-PLLA and PLLA/MPEG-b-PLLA Films
3.3. Crystallization Behavior of PDLA/MPEG-b-PLLA and PLLA/MPEG-b-PLLA Composite Films
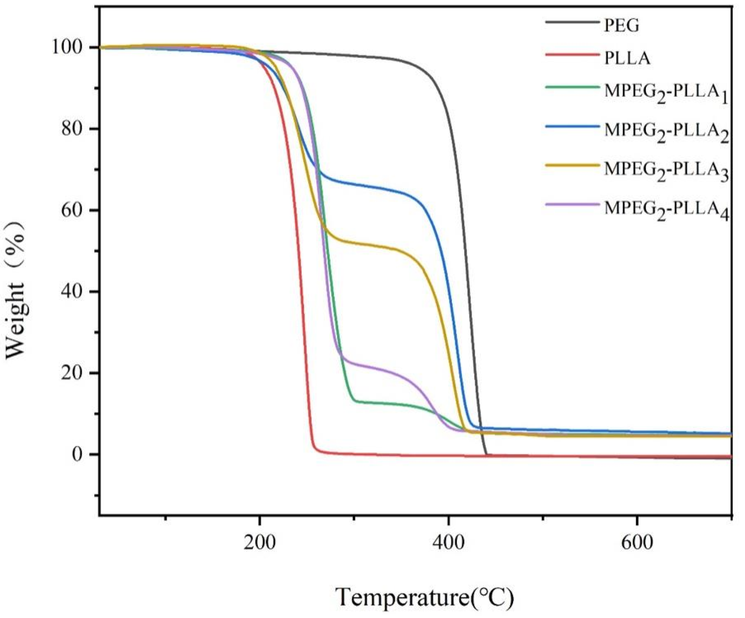
3.4. Thermal Stability of MPEG-b-PLLA Diblock Copolymers
3.5. Morphological Structures of MPEG-b-PLLA Diblock Copolymers
4. Conclusions
Supplementary Materials
Author Contributions
Funding
Institutional Review Board Statement
Informed Consent Statement
Data Availability Statement
Conflicts of Interest
References
- John, R.P.; Nampoothiri, K.M.; Pandey, A. Solid-state fermentation for l-lactic acid production from agro wastes using Lactobacillus delbrueckii. Process Biochem. 2006, 41, 759–763. [Google Scholar] [CrossRef]
- Chen, C.; Ding, S.; Wang, D.; Li, Z.; Ye, Q. Simultaneous saccharification and fermentation of cassava to succinic acid by Escherichia coli NZN111. Bioresour. Technol. 2014, 163, 100–105. [Google Scholar] [CrossRef]
- Carvalho, J.R.G.; Conde, G.; Antonioli, M.L.; Dias, P.P.; Vasconcelos, R.O.; Taboga, S.R.; Canola, P.A.; Chinelatto, M.A.; Pereira, G.T.; Ferraz, G.C. Biocompatibility and biodegradation of poly(lactic acid) (PLA) and an immiscible PLA/poly(ε-caprolactone) (PCL) blend compatibilized by poly(ε-caprolactone-b-tetrahydrofuran) implanted in horses. Polym. J. 2020, 52, 629–643. [Google Scholar] [CrossRef]
- Yan, C.; Hou, D.-F.; Zhang, K.; Yang, M.-B. Effects of PDLA molecular weight on the crystallization behaviors and rheological properties of asymmetric PDLA/PLLA blends. Polymer 2023, 270, 125764. [Google Scholar] [CrossRef]
- Zhang, Y.; Chen, J.; Fu, Q.; Zhang, J. Novel Strategy to Improve the Performance of Poly(l-lactide): The Synergistic Effect of Disentanglement and Strong Shear Field. ACS Sustain. Chem. Eng. 2023, 11, 9630–9642. [Google Scholar] [CrossRef]
- Shao, J.; Xu, L.; Pu, S.; Hou, H. The crystallization behavior of poly(l-lactide)/poly(d-lactide) blends: Effect of stirring time during solution mixing. Polym. Bull. 2021, 78, 147–163. [Google Scholar] [CrossRef]
- Wei, Y.; Tian, Y.; Tian, X.; Fu, Z.; Zhao, L. Induction of Stereocomplex Crystallization in Poly(l-lactide)/Poly(d-lactide) Blends with High Molecular Weight by Halloysite Nanotubes. Macromol. Chem. Phys. 2022, 223, 2100356. [Google Scholar] [CrossRef]
- Park, H.-S.; Hong, C.-K. Relationship between the Stereocomplex Crystallization Behavior and Mechanical Properties of PLLA/PDLA Blends. Polymers 2021, 13, 1851. [Google Scholar] [CrossRef] [PubMed]
- Lv, T.; Li, J.; Liu, L.; Huang, S.; Li, H.; Jiang, S. Effects of molecular weight on stereocomplex and crystallization of PLLA/PDLA blends. Polymer 2023, 283, 126259. [Google Scholar] [CrossRef]
- Liu, X.; Wang, S.; Huang, K.; Liu, H.; Zhang, X.; Zou, L.; Shi, H.; Chang, B.; Liu, C. Competition effect of solid-state stretching induced orientation and phase separation on stereocomplex crystallization of PLLA/PDLA during annealing. Polymer 2023, 269, 125739. [Google Scholar] [CrossRef]
- Li, R.; Wu, Y.; Bai, Z.; Guo, J.; Chen, X. Effect of molecular weight of polyethylene glycol on crystallization behaviors, thermal properties and tensile performance of polylactic acid stereocomplexes. RSC Adv. 2020, 10, 42120–42127. [Google Scholar] [CrossRef] [PubMed]
- Sun, C.; Zheng, Y.; Xu, S.; Ni, L.; Li, X.; Shan, G.; Bao, Y.; Pan, P. Role of Chain Entanglements in the Stereocomplex Crystallization between Poly(lactic acid) Enantiomers. ACS Macro Lett. 2021, 10, 1023–1028. [Google Scholar] [CrossRef]
- Li, W.; Srithep, Y.; Shen, J.; Pholharn, D.; Sriprateep, K.; Worajittiphon, P.; Khoklang, N. Preferential formation of the stereocomplex crystals of poly(L-lactide) and poly(D-lactide) blend by epoxidized soybean oil under nonisothermal crystallization. Polym. Adv. Technol. 2024, 35, e6278. [Google Scholar] [CrossRef]
- Jing, Z.; Li, J.; Xiao, W.; Xu, H.; Hong, P.; Li, Y. Crystallization, rheology and mechanical properties of the blends of poly(l-lactide) with supramolecular polymers based on poly(d-lactide)–poly(ε-caprolactone-co-δ-valerolactone)–poly(d-lactide) triblock copolymers. RSC Adv. 2019, 9, 26067–26079. [Google Scholar] [CrossRef] [PubMed]
- Srithep, Y.; Pholharn, D. Plasticizer effect on melt blending of polylactide stereocomplex. e-Polymers 2017, 17, 409–416. [Google Scholar] [CrossRef]
- Bai, L.; Zhao, X.; Bao, R.-Y.; Liu, Z.-Y.; Yang, M.-B.; Yang, W. Effect of temperature, crystallinity and molecular chain orientation on the thermal conductivity of polymers: A case study of PLLA. J. Mater. Sci. 2018, 53, 10543–10553. [Google Scholar] [CrossRef]
- Murthy, N.S.; Zhang, Z.; Borsadia, S.; Kohn, J. Nanospheres with a smectic hydrophobic core and an amorphous PEG hydrophilic shell: Structural changes and implications for drug delivery. Soft Matter 2018, 14, 1327–1335. [Google Scholar] [CrossRef] [PubMed]
- Ju, Z.; Brosse, N.; Hoppe, S.; Wang, Z.; Ziegler-Devin, I.; Zhang, H.; Shu, B. Thermal and mechanical properties of polyethylene glycol (PEG)-modified lignin/polylactic acid (PLA) biocomposites. Int. J. Biol. Macromol. 2024, 262, 129997. [Google Scholar] [CrossRef] [PubMed]
- Feng, L.; Ding, J.; Hu, H.; Lv, Z.; Zhang, Y.; Xu, B.; Quan, J.; Hao, S.; Fan, H.; Hang, Z. Preparation and Characterization of Bio-Based PLA/PEG/g-C3N4 Low-Temperature Composite Phase Change Energy Storage Materials. Polymers 2023, 15, 2872. [Google Scholar] [CrossRef]
- Nazari, T.; Bayandori Moghaddam, A.; Davoodi, Z. Optimized polylactic acid/polyethylene glycol (PLA/PEG) electrospun fibrous scaffold for drug delivery: Effect of graphene oxide on the cefixime release mechanism. Mater. Res. Express 2019, 6, 115351. [Google Scholar] [CrossRef]
- Kirmic Cosgun, S.N.; Ceylan Tuncaboylu, D. Cyclodextrin-linked PVP/PEG supramolecular hydrogels. Carbohydr. Polym. 2021, 269, 118278. [Google Scholar] [CrossRef] [PubMed]
- Taipaleenmäki, E.M.; Mouritzen, S.A.; Schattling, P.S.; Zhang, Y.; Städler, B. Mucopenetrating micelles with a PEG corona. Nanoscale 2017, 9, 18438–18448. [Google Scholar] [CrossRef] [PubMed]
- Zalba, S.; ten Hagen, T.L.M.; Burgui, C.; Garrido, M.J. Stealth nanoparticles in oncology: Facing the PEG dilemma. J. Control. Release 2022, 351, 22–36. [Google Scholar] [CrossRef] [PubMed]
- Cui, H.; Shao, J.; Wang, Y.; Zhang, P.; Chen, X.; Wei, Y. PLA-PEG-PLA and its electroactive tetraaniline copolymer as multi-interactive injectable hydrogels for tissue engineering. Biomacromolecules 2013, 14, 1904–1912. [Google Scholar] [CrossRef] [PubMed]
- Basu, A.; Kunduru, K.R.; Doppalapudi, S.; Domb, A.J.; Khan, W. Poly(lactic acid) based hydrogels. Adv. Drug Deliv. Rev. 2016, 107, 192–205. [Google Scholar] [CrossRef] [PubMed]
- Fujiwara, T.; Miyamoto, M.; Kimura, Y. Crystallization-Induced Morphological Changes of a Poly(l-lactide)/Poly(oxyethylene) Diblock Copolymer from Sphere to Band via Disk: A Novel Macromolecular Self-Organization Process from Core−Shell Nanoparticles on Surface. Macromolecules 2000, 33, 2782–2785. [Google Scholar] [CrossRef]
- Fujiwara, T.; Miyamoto, M.; Kimura, Y.; Sakurai, S. Intriguing morphology transformation due to the macromolecular rearrangement of poly(l-lactide)-block-poly(oxyethylene): From core–shell nanoparticles to band structures via fragments of unimolecular size. Polymer 2001, 42, 1515–1523. [Google Scholar] [CrossRef]
- Sun, J.; Hong, Z.; Yang, L.; Tang, Z.; Chen, X.; Jing, X. Study on crystalline morphology of poly(l-lactide)-poly(ethylene glycol) diblock copolymer. Polymer 2004, 45, 5969–5977. [Google Scholar] [CrossRef]
- Huang, S.; Jiang, S.; An, L.; Chen, X. Crystallization and morphology of poly(ethylene oxide-b-lactide) crystalline–crystalline diblock copolymers. J. Polym. Sci. Part B Polym. Phys. 2008, 46, 1400–1411. [Google Scholar] [CrossRef]
- Huang, C.-I.; Tsai, S.-H.; Chen, C.-M. Isothermal crystallization behavior of poly(L-lactide) in poly(L-lactide)-block-poly(ethylene glycol) diblock copolymers. J. Polym. Sci. Part B Polym. Phys. 2006, 44, 2438–2448. [Google Scholar] [CrossRef]
- Song, Y.; Wang, D.; Jiang, N.; Gan, Z. Role of PEG Segment in Stereocomplex Crystallization for PLLA/PDLA-b-PEG-b-PDLA Blends. ACS Sustain. Chem. Eng. 2015, 3, 1492–1500. [Google Scholar] [CrossRef]
- Guo, M.; Wu, W.; Wu, W.; Gao, Q. Competitive Mechanism of Stereocomplexes and Homocrystals in High-Performance Symmetric and Asymmetric Poly(lactic acid) Enantiomers: Qualitative Methods. ACS Omega 2022, 7, 41412–41425. [Google Scholar] [CrossRef] [PubMed]
- Guo, M.; Zhao, Z.; Xie, Z.; Wu, W.; Wu, W.; Gao, Q. Role of the Branched PEG-b-PLLA Block Chain in Stereocomplex Crystallization and Crystallization Kinetics for PDLA/MPEG-b-PLLA-g-glucose Blends with Different Architectures. Langmuir 2022, 38, 15866–15879. [Google Scholar] [CrossRef] [PubMed]
- Guo, M.; Wu, W.; Wu, W.; Wang, R.; Huang, L.; Gao, Q. Recent advances in enhancing stereocomplexation between poly(lactide) enantiomeric chains. Phys. Chem. Chem. Phys. 2023, 25, 17737–17758. [Google Scholar] [CrossRef] [PubMed]
- Shao, J.; Sun, J.; Bian, X.; Cui, Y.; Li, G.; Chen, X. Investigation of Poly(lactide) Stereocomplexes: 3-Armed Poly(l-lactide) Blended with Linear and 3-Armed Enantiomers. J. Phys. Chem. B 2012, 116, 9983–9991. [Google Scholar] [CrossRef] [PubMed]
- Shao, J.; Xiang, S.; Bian, X.; Sun, J.; Li, G.; Chen, X. Remarkable Melting Behavior of PLA Stereocomplex in Linear PLLA/PDLA Blends. Ind. Eng. Chem. Res. 2015, 54, 2246–2253. [Google Scholar] [CrossRef]
- Pal, A.K.; Katiyar, V. Nanoamphiphilic Chitosan Dispersed Poly(lactic acid) Bionanocomposite Films with Improved Thermal, Mechanical, and Gas Barrier Properties. Biomacromolecules 2016, 17, 2603–2618. [Google Scholar] [CrossRef]
- Zhao, X.; Yu, J.; Liang, X.; Huang, Z.; Li, J.; Peng, S. Crystallization behaviors regulations and mechanical performances enhancement approaches of polylactic acid (PLA) biodegradable materials modified by organic nucleating agents. Int. J. Biol. Macromol. 2023, 233, 123581. [Google Scholar] [CrossRef] [PubMed]
- Tsuji, H.; Yamasaki, M.; Arakawa, Y. Synthesis and Stereocomplexation of New Enantiomeric Stereo Periodical Copolymers Poly(l-lactic acid–l-lactic acid–d-lactic acid) and Poly(d-lactic acid–d-lactic acid–l-lactic acid). Macromolecules 2021, 54, 6226–6237. [Google Scholar] [CrossRef]
- Zhang, B.; Liu, Y.; Ren, M.; Li, W.; Zhang, X.; Vajtai, R.; Ajayan, P.M.; Tour, J.M.; Wang, L. Sustainable Synthesis of Bright Green Fluorescent Nitrogen-Doped Carbon Quantum Dots from Alkali Lignin. ChemSusChem 2019, 12, 4202–4210. [Google Scholar] [CrossRef]
- Zhuang, Z.; Li, T.; Ning, Z.; Jiang, N.; Gan, Z. Melt and nucleation reinforcement for stereocomplex crystallites in poly(l-lactide)/lignin-grafted-poly(ᴅ-lactide) blend. Eur. Polym. J. 2022, 167, 111072. [Google Scholar] [CrossRef]
- Sun, Y.; He, C. Synthesis and Stereocomplex Crystallization of Poly(lactide)–Graphene Oxide Nanocomposites. ACS Macro Lett. 2012, 1, 709–713. [Google Scholar] [CrossRef] [PubMed]
- Bao, R.-Y.; Yang, W.; Wei, X.-F.; Xie, B.-H.; Yang, M.-B. Enhanced Formation of Stereocomplex Crystallites of High Molecular Weight Poly(l-lactide)/Poly(d-lactide) Blends from Melt by Using Poly(ethylene glycol). ACS Sustain. Chem. Eng. 2014, 2, 2301–2309. [Google Scholar] [CrossRef]
- Zhu, Q.; Chang, K.; Qi, L.; Li, X.; Gao, W.; Gao, Q. Surface Modification of Poly(l-lactic acid) through Stereocomplexation with Enantiomeric Poly(d-lactic acid) and Its Copolymer. Polymers 2021, 13, 1757. [Google Scholar] [CrossRef] [PubMed]
- Hurst, P.J.; Rakowski, A.M.; Patterson, J.P. Ring-opening polymerization-induced crystallization-driven self-assembly of poly-L-lactide-block-polyethylene glycol block copolymers (ROPI-CDSA). Nat. Commun. 2020, 11, 4690. [Google Scholar] [CrossRef] [PubMed]
- Xu, C.; Zhang, J.; Bai, J.; Ding, S.; Wang, X.; Wang, Z. Two-Stage Crystallization Kinetics and Morphological Evolution with Stereocomplex Crystallite-Induced Enhancement for Long-Chain Branched Polylactide/Poly(D-lactic acid) Blends. Ind. Eng. Chem. Res. 2021, 60, 5319–5329. [Google Scholar] [CrossRef]
- Gupta, A.; Mulchandani, N.; Shah, M.; Kumar, S.; Katiyar, V. Functionalized chitosan mediated stereocomplexation of poly(lactic acid): Influence on crystallization, oxygen permeability, wettability and biocompatibility behavior. Polymer 2018, 142, 196–208. [Google Scholar] [CrossRef]
- Kim, K.-S.; Chung, S.; Chin, I.-J.; Kim, M.-N.; Yoon, J.-S. Crystallization behavior of biodegradable amphiphilic poly(ethylene glycol)-poly(L-lactide) block copolymers. Appl. Polym. 1999, 72, 341–348. [Google Scholar] [CrossRef]








| Sample | PLLA-1 | PLLA-2 | PLLA-3 | PLLA-5 | PLLA-10 |
|---|---|---|---|---|---|
| MPEG2-PLLA2 content (%) | 1 | 2 | 3 | 5 | 10 |
| Sample | PDLA-1 | PDLA-2 | PDLA-3 | PDLA-5 | PDLA-10 |
|---|---|---|---|---|---|
| MPEG2-PLLA2 content (%) | 1 | 2 | 3 | 5 | 10 |
| Sample | PEG Unit Content (%) | PLLA Unit Content (%) | Mn (NMR) (g/mol) | Mn (GPC) (g/mol) | Mw (GPC) (g/mol) | PDI |
|---|---|---|---|---|---|---|
| MPEG2-PLLA1 | 46 | 54 | 4987 | 5532 | 5780 | 1.14 |
| MPEG2-PLLA2 | 30 | 70 | 7792 | 8131 | 9113 | 1.12 |
| MPEG2-PLLA3 | 22 | 78 | 7921 | 8294 | 8402 | 1.21 |
| MPEG2-PLLA4 | 18 | 82 | 9856 | 10,088 | 10,110 | 1.16 |
| Sample | Mp (g/mol) | Mn (g/mol) | Mw (g/mol) | Mz (g/mol) | Mz+1 (g/mol) | Mv (g/mol) | PDI |
|---|---|---|---|---|---|---|---|
| PEG | 2002 | 2009 | 2560 | 2801 | 2944 | 2412 | 1.20 |
| PDLA | 4215 | 4963 | 6317 | 7782 | 9961 | 5756 | 1.25 |
| PLLA | 4021 | 4652 | 6203 | 8576 | 11,382 | 5910 | 1.33 |
| Sample | Tg (°C) | Tc (°C) | Tm (°C) | ΔH (J/g) | Χ(t) (%) |
|---|---|---|---|---|---|
| PLLA | 60.8 | 134.3 | 159.5 | 13.9 | 14.8 |
| MPEG2-PLLA1 | - | 80.8 | 142.4 | 17.6 | 18.8 |
| MPEG2-PLLA2 | - | 79.6 | 143.9 | 17.3 | 18.5 |
| MPEG2-PLLA3 | - | 92.3 | 163.2 | 13.6 | 14.5 |
| MPEG2-PLLA4 | - | 97.7 | 171.3 | 12.1 | 12.9 |
| Sample | Tg (°C) | Tc (°C) | Tm (°C) | ΔH (J/g) | Χ(t) (%) |
|---|---|---|---|---|---|
| PDLA-1 | - | 163.5 | 176.3 | 9.5 | 10.1 |
| PDLA-2 | - | 163.1 | 175.7 | 9.6 | 10.2 |
| PDLA-3 | - | 161.9 | 174.3 | 14.5 | 15.5 |
| PDLA-5 | - | 163.1 | 175.3 | 14.8 | 15.8 |
| PDLA-10 | - | 165.5 | 176.5 | 17.0 | 18.2 |
| Sample | Tg (°C) | Tc (°C) | Tm (°C) | ΔH (J/g) | Χ(t) (%) |
|---|---|---|---|---|---|
| PLLA-1 | 60.7 | 130.4 | 148.8 | 8.4 | 9.0 |
| PLLA-2 | 59.8 | 129.2 | 147.6 | 9.6 | 10.3 |
| PLLA3 | 59.4 | 127.0 | 147.0 | 9.9 | 10.6 |
| PLLA-5 | 59.2 | 124.1 | 160.3 | 11.2 | 12.0 |
| PLLA-10 | 62.7 | 127.7 | 164.7 | 5.3 | 5.7 |
| Sample | T5% (°C) a | T50% (°C) b | Tfinal (°C) c | Tmax(°C) d | |
|---|---|---|---|---|---|
| Step1 | Step2 | ||||
| PLLA | 204.6 | 241.0 | 319.6 | 249.2 | |
| MPEG | 368.4 | 417.7 | 440.2 | 422.1 | |
| MPEG2-PLLA1 | 234.9 | 271.8 | 487.9 | 267.2 | 400.5 |
| MPEG2-PLLA2 | 195.2 | 392.0 | 424.2 | 240.1 | 408.5 |
| MPEG2-PLLA3 | 233.9 | 268.1 | 434.8 | 268.6 | 379.5 |
| MPEG2-PLLA4 | 217.1 | 348.2 | 419.4 | 249.0 | 404.9 |
Disclaimer/Publisher’s Note: The statements, opinions and data contained in all publications are solely those of the individual author(s) and contributor(s) and not of MDPI and/or the editor(s). MDPI and/or the editor(s) disclaim responsibility for any injury to people or property resulting from any ideas, methods, instructions or products referred to in the content. |
© 2024 by the authors. Licensee MDPI, Basel, Switzerland. This article is an open access article distributed under the terms and conditions of the Creative Commons Attribution (CC BY) license (https://creativecommons.org/licenses/by/4.0/).
Share and Cite
Wu, W.; Wu, W.; Guo, M.; Wang, R.; Wang, X.; Gao, Q. Synthesis of MPEG-b-PLLA Diblock Copolymers and Their Crystallization Performance with PDLA and PLLA Composite Films. Materials 2024, 17, 2105. https://doi.org/10.3390/ma17092105
Wu W, Wu W, Guo M, Wang R, Wang X, Gao Q. Synthesis of MPEG-b-PLLA Diblock Copolymers and Their Crystallization Performance with PDLA and PLLA Composite Films. Materials. 2024; 17(9):2105. https://doi.org/10.3390/ma17092105
Chicago/Turabian StyleWu, Wenjing, Weixin Wu, Mingwei Guo, Ruizhe Wang, Xuanxuan Wang, and Qinwei Gao. 2024. "Synthesis of MPEG-b-PLLA Diblock Copolymers and Their Crystallization Performance with PDLA and PLLA Composite Films" Materials 17, no. 9: 2105. https://doi.org/10.3390/ma17092105
APA StyleWu, W., Wu, W., Guo, M., Wang, R., Wang, X., & Gao, Q. (2024). Synthesis of MPEG-b-PLLA Diblock Copolymers and Their Crystallization Performance with PDLA and PLLA Composite Films. Materials, 17(9), 2105. https://doi.org/10.3390/ma17092105

