Simultaneous Reconstruction of Multiple Time-Varying Thermal Properties Based on Translucent Materials
Abstract
1. Introduction
2. Materials and Methods
2.1. Forward Model
2.2. Inversion Model
2.2.1. SPSO Model
2.2.2. KF Model
3. Results and Discussion
3.1. Parameter Setting
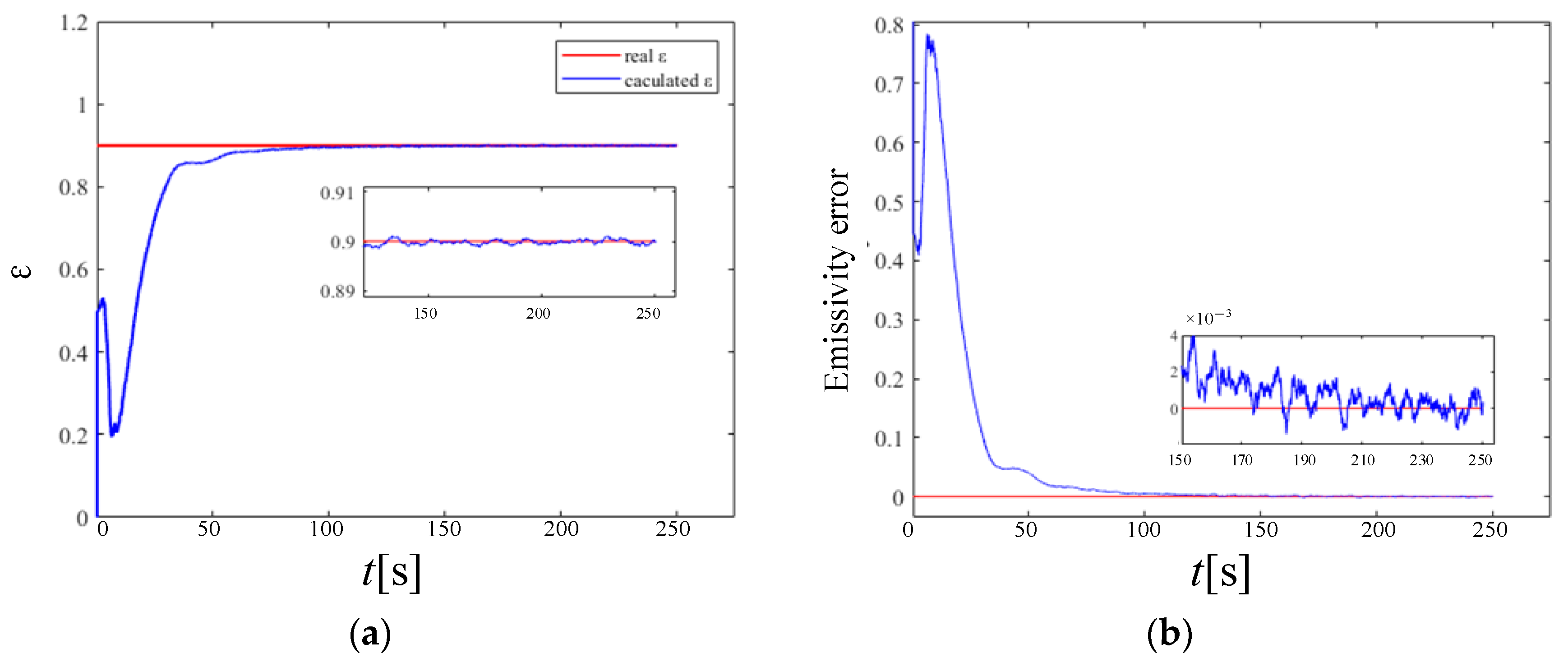
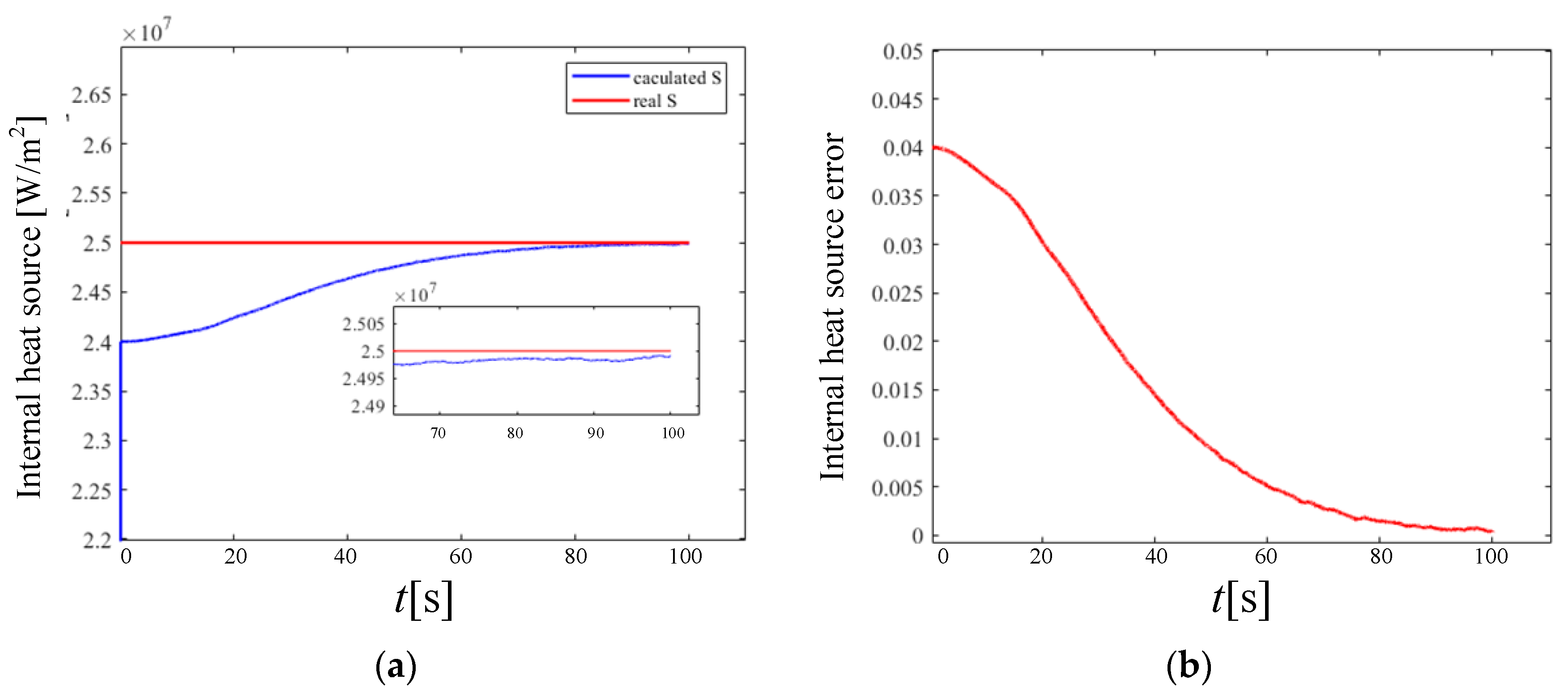
3.2. Reconstruction Results of Pure Heat Conduction Problem
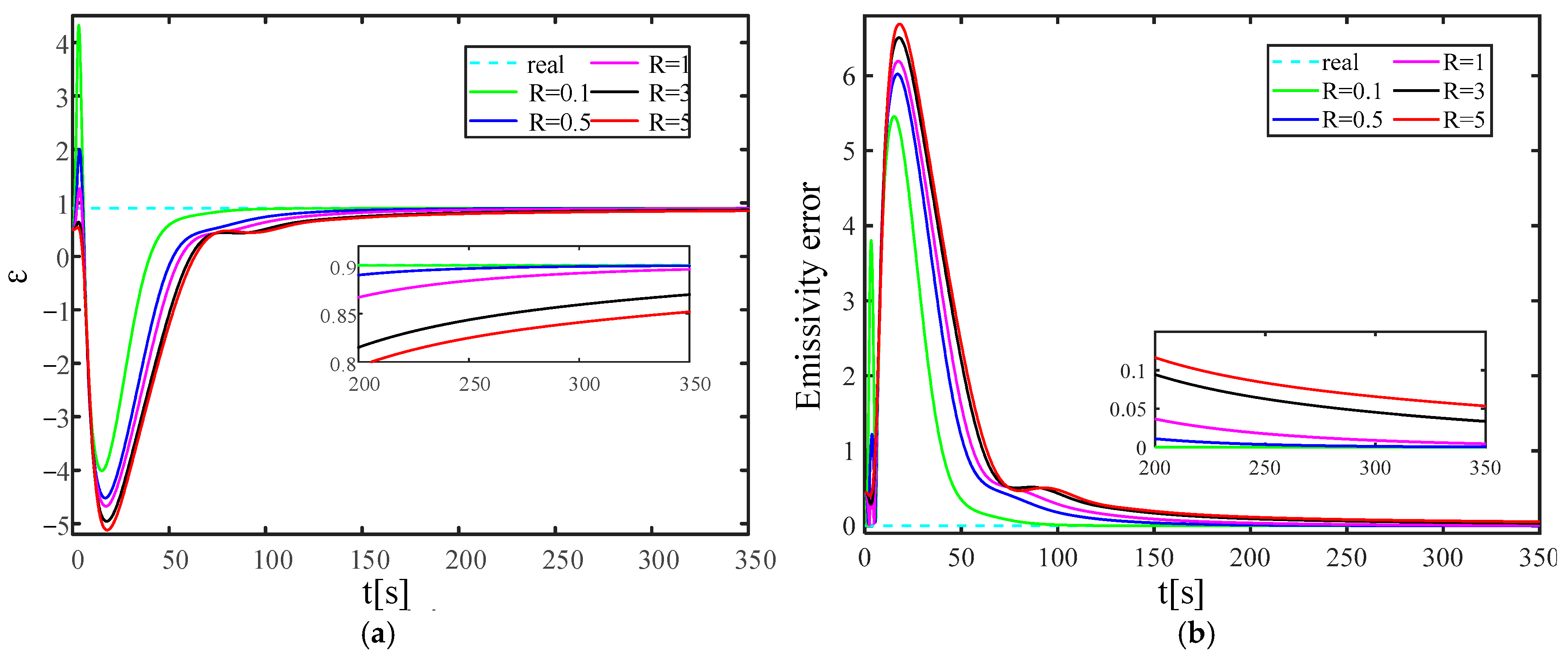
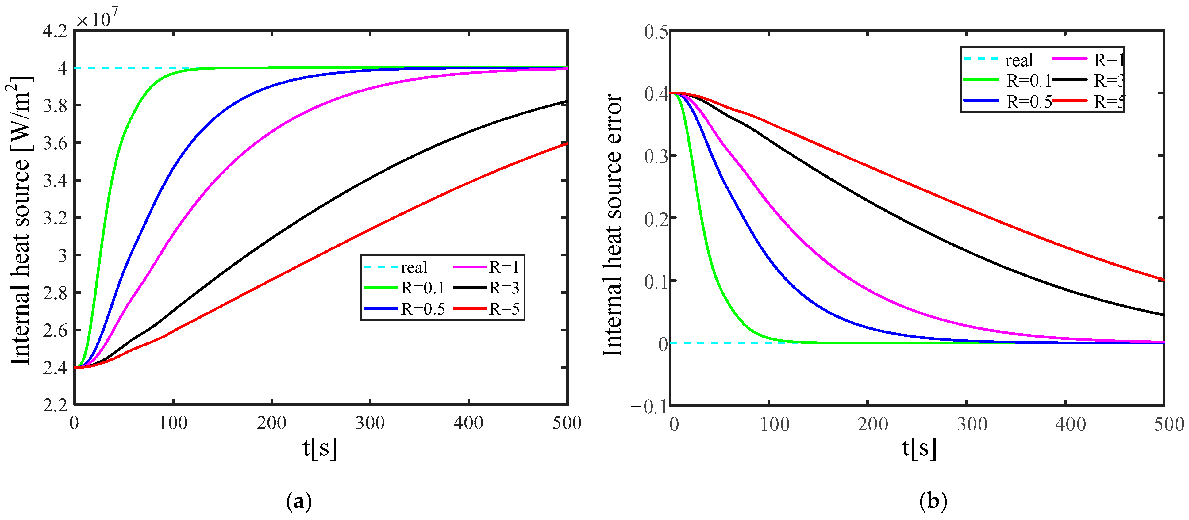
3.3. Reconstruction Results of Radiation Thermal Coupling Problem
4. Conclusions
Author Contributions
Funding
Institutional Review Board Statement
Informed Consent Statement
Data Availability Statement
Acknowledgments
Conflicts of Interest
References
- Tan, H.; Liu, L.; Xia, X.-L.; Ruan, L.-M. Numerical Calculation of Infrared Radiation Characteristics and Transmission: Computational Thermal Radiology; Harbin Institute of Technology Press: Harbin, China, 2006. [Google Scholar]
- Niu, Z.; Qi, H.; Gao, B.; Wei, L.; Ren, Y.; He, M.; Wang, F. Three-dimensional inhomogeneous temperature tomography of confined-space flame coupled with wall radiation effect by instantaneous light field. Int. J. Heat Mass Transf. 2023, 211, 124282. [Google Scholar] [CrossRef]
- Myers, D.E.; Martin, C.J.; Blosser, M.L. Parametric Weight Comparison of Advanced Metallic. Ceramic tile, and Ceramic Blanket Thermal Protection Systems; NASA Langley Technical Report Server; NASA: Washington, DC, USA, 2000; pp. 1–44. [Google Scholar]
- Wang, W.; Wei, Z.; Zhang, J.; Wang, N. Effect of afterburn on infrared characteristics of rocket engine plume. J. Aerosp. Power 2010, 25, 2612–2618. [Google Scholar]
- Mandler, W.F.; Yonushonis, T.M. Commercial applications for advanced ceramics in diesel engines. Ceram. Eng. Sci. Proc. 2009, 22, 3–10. [Google Scholar]
- Hernrich, J.G.; Aldinger, F. Ceramic Materials and Components for Engineers; Wiley-VCH Verlag GmbH: Weinheim, Germany, 2001. [Google Scholar]
- Li, H.; Ren, Y.; Li, Y.; He, M.; Gao, B.; Qi, H. Nanoparticles manipulation using plasmonic optical tweezers based on particle sizes and refractive indices. Opt. Express 2022, 30, 34092–34105. [Google Scholar] [CrossRef] [PubMed]
- Ji, Y.; Sun, J.; Ren, Y.; Qi, H.; Gao, R. Enhancement of photoacoustic effect during light-particle interaction. Nanoscale 2024. [Google Scholar] [CrossRef]
- Niu, Z.; Qi, H.; Zhu, Z.; Ren, Y.; He, M.; Gao, B. Nonlinear multispectral tomographic absorption deflection spectroscopy based on Bayesian estimation for spatially resolved multiparameter measurement in methane flame exhaust. Fuel 2024, 357, 129981. [Google Scholar] [CrossRef]
- Wang, K.; Wang, Q.; Peng, C.; Guo, Y.; Li, Y.; Zhou, J.; Wu, W. Portable Heating System Based on a Liquid Metal Bath for Rapid PCR. ACS Omega 2022, 7, 26165–26173. [Google Scholar] [CrossRef] [PubMed]
- Zhao, Y.; Qi, H.; Ren, Y.T.; He, M.J.; Gao, B.H.; Cheng, W. Optical properties reconstruction in nonhomogeneous participating medium based on an improved sequential quadratic programming. Opt. Laser Technol. 2024, 170, 110273. [Google Scholar] [CrossRef]
- Wang, Q.; Wu, H.; Zhang, L.; Wu, H.; Luo, Y.; Pan, G.; Hao, Z.; Mu, Q.; Zhang, J. Green upconversion luminescence of Er3+ and Yb3+ codoped Gd2Mo4O15 for optical temperature sensing. J. Alloys Compd. 2022, 895, 162516. [Google Scholar] [CrossRef]
- Zhu, Z.-Y.; Qi, H.; Niu, Z.-T.; Shi, J.-W.; Gao, B.-H.; Ren, Y.-T. Accurate estimation of the optical properties of nanofluids for solar energy harvesting using the null-collision forward Monte Carlo method. Renew. Energy 2023, 211, 140–154. [Google Scholar] [CrossRef]
- Cui, J.X. Research on Inversion Method of Thermal Conductivity Based on the Second Kind of Boundary Conditions. Master’s Thesis, Harbin Institute of Technology, Harbin, China, 2018. [Google Scholar]
- Zhou, Y.; Qian, W.; He, K.; Gui, Y. Algorithm for simultaneous inversion of heat transfer Coefficient and specific heat of Materials. Comput. Phys. 2011, 28, 719–724. [Google Scholar]
- Yin, C. Research on Inverse Heat Transfer Problem Based on Thermal Protection Structure and Its Application. Master’s Thesis, Nanjing University of Aeronautics and Astronautics, Nanjing, China, 2019. [Google Scholar]
- Tahmasbi, V.; Noori, S. Inverse identification of temperature-dependent thermal conductivity coefficients in an orthotropic charring composite. Appl. Therm. Eng. 2021, 183, 116219. [Google Scholar] [CrossRef]
- Yan, J.; Zhou, H.; Yu, B.; Chen, H. Thermal conductivity inversion based on Improved Cuckoo Algorithm. J. Hefei Univ. Technol. 2018, 41, 1667–1671,1677. [Google Scholar]
- Yang, K.; Jiang, G.H.; Qu, Q.; Peng, H.F.; Gao, X.W. A new modified con-jugate gradient method to identify thermal conductivity of transient non-homogeneous problems based on radial inte-gration boundary element method. Int. J. Heat Mass Transf. 2019, 133, 669–676. [Google Scholar] [CrossRef]
- Niu, Z.T.; Qi, H.; Zhu, Z.Y.; Li, K.F.; Ren, Y.T.; He, M.J. A novel parametric level set method coupled with Tikhonov regularization for tomographic laser absorption reconstruction. Appl. Therm. Eng. 2022, 201, 117819. [Google Scholar] [CrossRef]
- Lou, C.; Zhou, H.C. Decoupled Reconstruction Method for Simultaneous Estimation of Temperatures and Radiative Properties in a One-dimensional, Gray, Participating Medium. Numer. Heat Transf. Part B 2007, 51, 275–292. [Google Scholar] [CrossRef]
- Cui, M.; Gao, X.W.; Chen, H.G. Inverse Radiation Analysis in an Absorbing, Emitting and Non-gray Participating Medium. Int. J. Therm. Sci. 2011, 50, 898–905. [Google Scholar] [CrossRef]
- Kennedy, J.; Eberhart, R. Particle swarm optimization. In Proceedings of the ICNN’95—International Conference on Neural Networks, Perth, WA, Australia, 27 November–1 December 1995; Volume 4, pp. 1942–1948. [Google Scholar]
- Zhang, S.; Xu, J.; Lee, L.H.; Chew, E.P.; Wong, W.P.; Chen, C.H. Optimal computing budget allocation for particle swarm optimization in stochastic optimization. IEEE Trans. Evol. Comput. 2016, 21, 206–219. [Google Scholar] [CrossRef] [PubMed]
- Julier, S.J.; Uhlmann, J.K.; Durrant-Whyte, H.F. A new approach for filtering nonlinear systems. In Proceedings of the American Control Conference, Seattle, WA, USA, 21–23 June 1995; Volume 3, pp. 1628–1632. [Google Scholar]
- Sunahara, Y. An approximate method of state estimation for nonlinear dynamical systems. Int. J. Control 1970, 11, 957–972. [Google Scholar] [CrossRef]
- Qin, Y.; Zhang, H.; Wang, S. Kalman Filter and Integrated Navigation Principle; Northwestern Polytechnical University Press: Xi’an, China, 2015. [Google Scholar]
- Yadav, M.K.; Singh, S.K.; Parwez, A.; Khandekar, S. Inverse models for transient wall heat flux estimation based on single and multi-point temperature measurements. Int. J. Therm. Sci. 2018, 124, 307–317. [Google Scholar] [CrossRef]

















| Measurement Error | Time (s) | Object Function | Error (λ) | Average Error (q) |
|---|---|---|---|---|
| 0% | 6074.2 | 6.1472 × 10−26 | 0.0036 | 0.0392 |
| 3% | 6138.9 | 8.7431 × 10−20 | 0.0043 | 0.0447 |
| 5% | 6346.2 | 6.5001 × 10−16 | 0.0046 | 0.0494 |
| 10% | 6675.5 | 3.2831 × 10−13 | 0.0053 | 0.0516 |
Disclaimer/Publisher’s Note: The statements, opinions and data contained in all publications are solely those of the individual author(s) and contributor(s) and not of MDPI and/or the editor(s). MDPI and/or the editor(s) disclaim responsibility for any injury to people or property resulting from any ideas, methods, instructions or products referred to in the content. |
© 2024 by the authors. Licensee MDPI, Basel, Switzerland. This article is an open access article distributed under the terms and conditions of the Creative Commons Attribution (CC BY) license (https://creativecommons.org/licenses/by/4.0/).
Share and Cite
Dong, F.; Fan, L.; Duan, J.; Wang, F.; Liu, J.; Sun, Y.; Tang, Z.; Sun, L. Simultaneous Reconstruction of Multiple Time-Varying Thermal Properties Based on Translucent Materials. Materials 2024, 17, 2088. https://doi.org/10.3390/ma17092088
Dong F, Fan L, Duan J, Wang F, Liu J, Sun Y, Tang Z, Sun L. Simultaneous Reconstruction of Multiple Time-Varying Thermal Properties Based on Translucent Materials. Materials. 2024; 17(9):2088. https://doi.org/10.3390/ma17092088
Chicago/Turabian StyleDong, Fangxu, Limei Fan, Jian Duan, Fei Wang, Junyan Liu, Yan Sun, Zhenhe Tang, and Liangwen Sun. 2024. "Simultaneous Reconstruction of Multiple Time-Varying Thermal Properties Based on Translucent Materials" Materials 17, no. 9: 2088. https://doi.org/10.3390/ma17092088
APA StyleDong, F., Fan, L., Duan, J., Wang, F., Liu, J., Sun, Y., Tang, Z., & Sun, L. (2024). Simultaneous Reconstruction of Multiple Time-Varying Thermal Properties Based on Translucent Materials. Materials, 17(9), 2088. https://doi.org/10.3390/ma17092088
