Study on the Freeze-Thaw Resistance of Concrete Pavements in Seasonally Frozen Regions
Abstract
1. Introduction
2. Materials and Methods
2.1. Materials and Mix Designs
2.2. Specimen Preparation and Curing
2.3. Test Methods
2.3.1. Important Properties of Concrete Pavement Test
Compressive Strength and Flexural-Tensile Strength Tests
Abrasion Resistance Test
Rapid Chloride Permeability Test
Spacing Factor Test
2.3.2. Freeze-Thaw Test
Single-Sided Freeze-Thaw Test
- After 30 freeze-thaw cycles.
- Surface scaling exceeding 1000 .
Rapid Freeze-Thaw Test
- Mass loss rate exceeding 5%.
- Relative dynamic elastic modulus decreased to less than 60%.
3. Results and Discussion
3.1. Material Properties
3.2. Freeze-Thaw Resistance
3.2.1. Single-Sided Freeze-Thaw Method
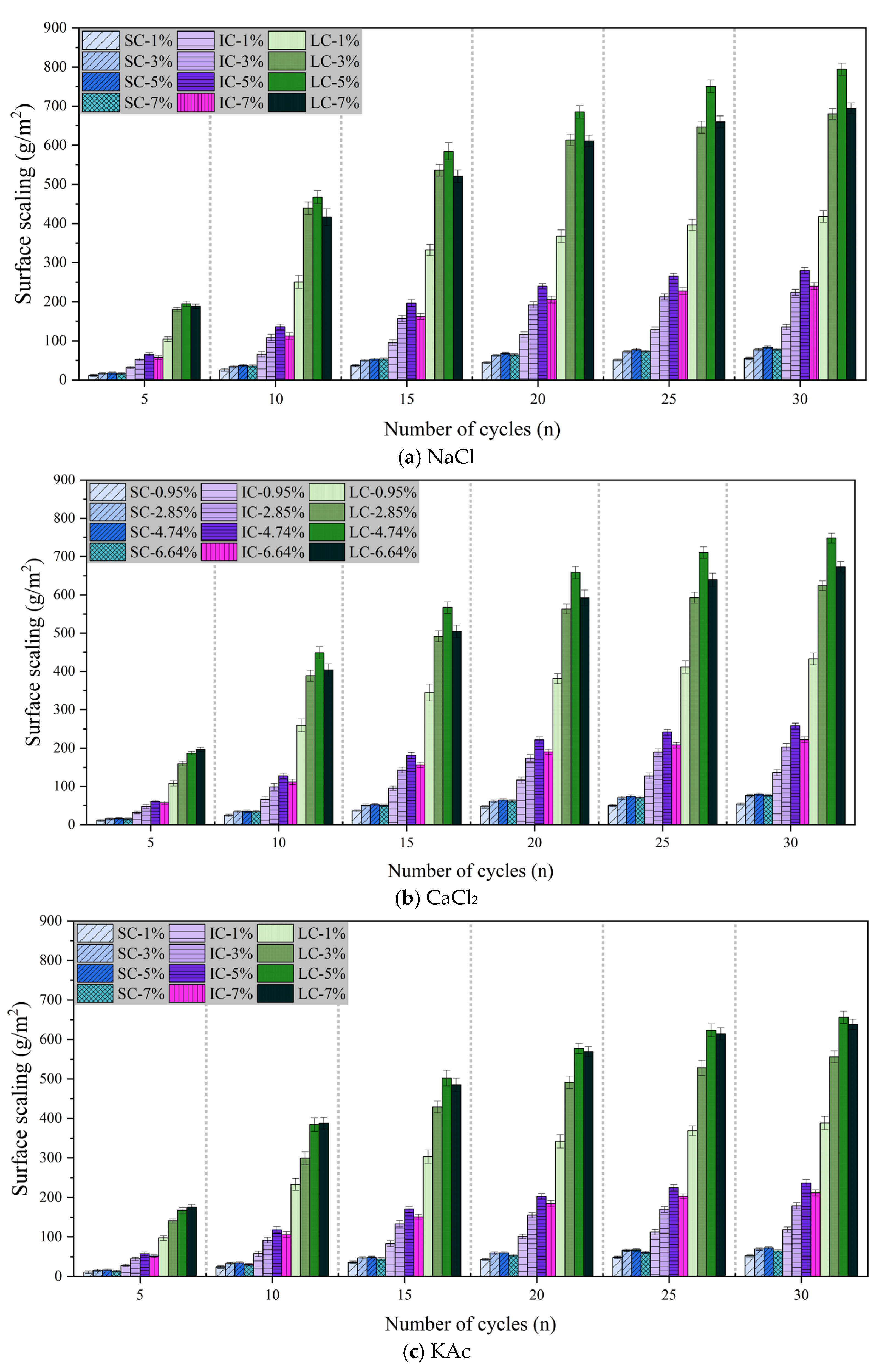
Surface Scaling
Water Absorption Rate
3.2.2. Rapid Freeze-Thaw Method
3.3. Comprehensive Relative Durability Index
4. Conclusions
- The degree of concrete damage caused by freeze-thaw cycles was significantly worsened by the presence of salt solution. The damage to the concrete under 20 °C—95% RH curing conditions caused by the combined effect of freeze-thaw and salt solution was significantly lower than that of concrete under 0 °C—50% RH curing conditions. To ensure the freeze-thaw resistance of concrete pavement in seasonally frozen regions, it is necessary to develop a design and curing program that considers the climatic conditions.
- The surface scaling of concrete was most affected by the freeze-thaw media , , and , at mass fractions of 5%, 4.74%, and 5%, respectively. However, these media did not have a consistent effect on the water absorption rate. The use of solution as a freeze-thaw medium resulted in reduced surface scaling and water absorption rate for concrete under 5 °C—70% RH curing condition and 0 °C—50% RH curing condition when compared to and solutions.
- Using the rapid freeze-thaw method with water as the medium, the freeze-thaw cycle test process was controlled by the mass loss rate. The freezing zone at the end of the test existed mainly in the water-saturated layer outside the specimen, and microcracks did not develop inside the specimen. In addition, when the freeze-thaw medium was a salt solution, the freeze-thaw cycle process was controlled by the relative dynamic modulus of elasticity, and the inside of the specimen was already damaged at the end of the test.
- The rapid freeze-thaw method is more effective in evaluating the frost resistance of concrete when the freeze-thaw medium is water. However, it may not accurately compare the effects of the combined action of salt solution and freeze-thaw cycles on concrete.
- The comprehensive relative durability index () was proposed based on the water absorption rate in the single-sided freeze-thaw method and the relative dynamic elastic modulus in the rapid freeze-thaw method. To assess the salt freeze-thaw resistance of concrete pavement, it is recommended to use both the surface scaling and the .
Author Contributions
Funding
Institutional Review Board Statement
Informed Consent Statement
Data Availability Statement
Acknowledgments
Conflicts of Interest
References
- Wang, M.; Guo, Y.; Su, A.; Meng, S.; Zhang, A.; Hai, M. Experimental study on the freezing and expansion characteristics of canal foundation soil considering water content conditions. J. Nat. Hazards 2023, 32, 74–84. [Google Scholar]
- Bulletin of the Jilin Provincial People’s Government. Circular of the General Office of the Jilin Provincial People’s Government on the Issuance of the “14th Five-Year Plan” for Ecological Environmental Protection in Jilin Province; Bulletin of the Jilin Provincial People’s Government: Jilin, China, 2022; pp. 3–38. [Google Scholar]
- Taylor, P.C. Curing Concrete; CRC Press: Boca Raton, FL, USA, 2013. [Google Scholar]
- Silva, R.V.; de Brito, J.; Saikia, N. Influence of curing conditions on the durability-related performance of concrete made with selected plastic waste aggregates. Cem. Concr. Compos. 2013, 35, 23–31. [Google Scholar] [CrossRef]
- Thomas, C.; Setién, J.; Polanco, J.A.; Cimentada, A.; Medina, C. Influence of curing conditions on recycled aggregate concrete. Constr. Build. Mater. 2018, 172, 618–625. [Google Scholar] [CrossRef]
- Fonseca, N.; De Brito, J.; Evangelista, L. The influence of curing conditions on the mechanical performance of concrete made with recycled concrete waste. Cem. Concr. Compos. 2011, 33, 637–643. [Google Scholar] [CrossRef]
- Bespalhuk, K.J.; de Oliveira, T.J.C.; Valverde, J.V.P.; Gonçalves, R.A.; Ferreira-Neto, L.; Souto, P.C.S.; Silva, J.R.; de Souza, N.C. Fractal analysis of microstructures in Portland cement pastes—Effect of curing conditions. Constr. Build. Mater. 2023, 363, 129881. [Google Scholar] [CrossRef]
- Tasdemir, C. Combined effects of mineral admixtures and curing conditions on the sorptivity coefficient of concrete. Cem. Concr. Res. 2003, 33, 1637–1642. [Google Scholar] [CrossRef]
- Wang, R.; Zhang, Q.; Li, Y. Deterioration of concrete under the coupling effects of freeze–thaw cycles and other actions: A review. Constr. Build. Mater. 2022, 319, 126045. [Google Scholar] [CrossRef]
- Mehta, P.K. Durability of concrete—Fifty years of progress? Spec. Publ. 1991, 126, 1–32. [Google Scholar]
- Şahin, Y.; Akkaya, Y.; Taşdemir, M.A. Effects of freezing conditions on the frost resistance and microstructure of concrete. Constr. Build. Mater. 2021, 270, 121458. [Google Scholar] [CrossRef]
- Zeng, Q.; Li, K. Effect of cooling rate on deformation and damage of cementitious materials under freeze-thaw conditions. J. Tsinghua Univ. 2008, 48, 1390–1394. [Google Scholar]
- Glinicki, M.A.; Jóźwiak-Niedźwiedzka, D.; Antolik, A.; Dziedzic, K.; Dąbrowski, M.; Bogusz, K. Diagnosis of ASR damage in highway pavement after 15 years of service in wet-freeze climate region. Case Stud. Constr. Mater. 2022, 17, e01226. [Google Scholar] [CrossRef]
- Bołtryk, M.; Falkowski, K.; Pawluczuk, E. A report on the fabrication of concrete pavement with the application of anionic bitumen emulsion. Constr. Build. Mater. 2017, 154, 1004–1014. [Google Scholar] [CrossRef]
- Zhou, C.; Lan, G.; Cao, P.; Tang, C.; Cao, Q.; Xu, Y.; Feng, D. Impact of freeze-thaw environment on concrete materials in two-lift concrete pavement. Constr. Build. Mater. 2020, 262, 120070. [Google Scholar] [CrossRef]
- Shi, C.; Zhao, R.; Wang, W.; Zhang, S. Effect of load on bonding properties and salt freeze-thaw resistance of bridge expansion joint concrete. Constr. Build. Mater. 2024, 411, 134680. [Google Scholar] [CrossRef]
- Mehta, P.K.; Monteiro, P.J. Concrete: Microstructure, Properties, and Materials; McGraw-Hill Education: New York, NY, USA, 2014. [Google Scholar]
- Neville, A. Properties of Concrete; Longman: London, UK, 2011. [Google Scholar]
- Jin, W.; Zhao, Y. Durability of Concrete Structures; Science Press: Beijing, China, 2014. [Google Scholar]
- Gong, L.; Yu, X.; Liang, Y.; Gong, X.; Du, Q. Multi-scale deterioration and microstructure of polypropylene fiber concrete by salt freezing. Case Stud. Constr. Mater. 2023, 18, e01762. [Google Scholar] [CrossRef]
- Luo, S.; Bai, T.; Guo, M.; Wei, Y.; Ma, W. Impact of freeze-thaw cycles on the long-term performance of concrete pavement and related improvement measures: A review. Materials 2022, 15, 4568. [Google Scholar] [CrossRef] [PubMed]
- Nilimaa, J.; Zhaka, V. An Overview of Smart Materials and Technologies for Concrete Construction in Cold Weather. Eng 2023, 4, 1550–1580. [Google Scholar] [CrossRef]
- Besheli, A.E.; Samimi, K.; Nejad, F.M.; Darvishan, E. Improving concrete pavement performance in relation to combined effects of freeze-thaw cycles and de-icing salt. Constr. Build. Mater. 2021, 277, 122273. [Google Scholar] [CrossRef]
- Zong, H.; Wang, Y.; Wang, G.; Li, Q.; Li, F.; Li, Q.; Hou, P. The role of ultra-fine supplementary cementitious materials in the durability and microstructure of airport pavement concrete. Constr. Build. Mater. 2023, 392, 131954. [Google Scholar] [CrossRef]
- Gonzalez, M.; Tighe, S.L.; Hui, K.; Rahman, S.; Lima, A.d.O. Evaluation of freeze/thaw and scaling response of nanoconcrete for Portland Cement Concrete (PCC) pavements. Constr. Build. Mater. 2016, 120, 465–472. [Google Scholar] [CrossRef]
- Yasien, A.M.; Bassuoni, M.T.; Ghazy, A. Phase change material nanocomposites as an internal curing aid for nano-modified concrete under cold weather. Constr. Build. Mater. 2024, 411, 134490. [Google Scholar] [CrossRef]
- Ma, H.; Yu, H.; Li, C.; Tan, Y.; Cao, W.; Da, B. Freeze–thaw damage to high-performance concrete with synthetic fibre and fly ash due to ethylene glycol deicer. Constr. Build. Mater. 2018, 187, 197–204. [Google Scholar] [CrossRef]
- Şahmaran, M.; Özbay, E.; Yücel, H.E.; Lachemi, M.; Li, V.C. Frost resistance and microstructure of Engineered Cementitious Composites: Influence of fly ash and micro poly-vinyl-alcohol fiber. Cem. Concr. Compos. 2012, 34, 156–165. [Google Scholar] [CrossRef]
- Qiu, Y.; Zhao, Q.; Pan, H.; Guo, W. Freeze-thaw resistance performance of alkaline residue-blast slag based low carbon binder material: Supplementary study. Constr. Build. Mater. 2023, 409, 133950. [Google Scholar] [CrossRef]
- Zhang, J.; Wang, J.; Li, Y.; Yuan, J.; Wu, Y. Research progresses on salt scaling and protective methods for concrete pavements. Constr. Build. Mater. 2022, 342, 127993. [Google Scholar] [CrossRef]
- Powers, T.C. A working hypothesis for further studies of frost resistance of concrete. J. Proc. 1945, 41, 245–272. [Google Scholar]
- Powers, T.C.; Helmuth, R.A. Theory of volume changes in hardened portland-cement paste during freezing. Highw. Res. Board Proc. 1953, 32. [Google Scholar]
- Fagerlund, G. The international cooperative test of the critical degree of saturation method of assessing the freeze/thaw resistance of concrete. Matériaux Constr. 1977, 10, 231–253. [Google Scholar] [CrossRef]
- Valenza, J.J.; Scherer, G.W. Mechanism for salt scaling. J. Am. Ceram. Soc. 2006, 89, 1161–1179. [Google Scholar] [CrossRef]
- Yang, Q. Salt freezing damage mechanism of concrete (II): Freeze-thaw water saturation and icing pressure. J. Build. Mater. 2012, 15, 741–746. [Google Scholar]
- Qiao, C.; Chen, X.; Suraneni, P.; Weiss, W.J.; Rothstein, D. Petrographic analysis of in-service cementitious mortar subject to freeze-thaw cycles and deicers. Cem. Concr. Compos. 2021, 122, 104112. [Google Scholar] [CrossRef]
- Duan, M.; Qin, Y.; Li, Y.; Zhou, H. Durability and damage model of polyacrylonitrile fiber reinforced concrete under freeze–thaw and erosion. Constr. Build. Mater. 2023, 394, 132238. [Google Scholar] [CrossRef]
- Zhang, Z.; Zhang, H.; Zhu, K.; Tang, Z.; Zhang, H. Deterioration mechanism on micro-structure of unsaturated polyester resin modified concrete for bridge deck pavement under salty Freeze-thaw cycles. Constr. Build. Mater. 2023, 368, 130366. [Google Scholar] [CrossRef]
- Yang, X.; Shen, A.; Guo, Y.; Zhou, S.; He, T. Deterioration mechanism of interface transition zone of concrete pavement under fatigue load and freeze-thaw coupling in cold climatic areas. Constr. Build. Mater. 2018, 160, 588–597. [Google Scholar] [CrossRef]
- Basheer, L.; Cleland, D.J. Freeze–thaw resistance of concretes treated with pore liners. Constr. Build. Mater. 2006, 20, 990–998. [Google Scholar] [CrossRef]
- Dang, Y.; Xie, N.; Kessel, A.; McVey, E.; Pace, A.; Shi, X. Accelerated laboratory evaluation of surface treatments for protecting concrete bridge decks from salt scaling. Constr. Build. Mater. 2014, 55, 128–135. [Google Scholar] [CrossRef]
- He, J.; Qiao, C.; Farnam, Y. Durability evaluation of reinforced concrete with surface treatment of soy methyl ester-polystyrene under freeze-thaw cycles and calcium chloride. Cem. Concr. Compos. 2023, 137, 104927. [Google Scholar] [CrossRef]
- Mu, R.; Miao, C.; Luo, X.; Sun, W. Interaction between loading, freeze–thaw cycles, and chloride salt attack of concrete with and without steel fiber reinforcement. Cem. Concr. Res. 2002, 32, 1061–1066. [Google Scholar] [CrossRef]
- Liu, Z.; Hansen, W. Effect of hydrophobic surface treatment on freeze-thaw durability of concrete. Cem. Concr. Compos. 2016, 69, 49–60. [Google Scholar] [CrossRef]
- JTG 3420—2020; Testing Methods of Cement and Concrete for Highway Engineering. China Communication Press: Beijing, China, 2020.
- ASTM C1202; Standard Test Method for Electrical Indication of Concrete’s Ability to Resist Chloride Ion Penetration. Annual Book of ASTM Standards. ASTM International: West Conshohocken, PA, USA, 2022.
- ASTM C457/C457M; International, Standard Test Method for Microscopical Determination of Parameters of the Air-Void Sys-tem in Hardened Concrete. Annual Book of ASTM Standards; ASTM International: West Conshohocken, PA, USA, 2016.
- Yuan, J.; Wu, Y.; Zhang, J. Characterization of air voids and frost resistance of concrete based on industrial computerized tomographical technology. Constr. Build. Mater. 2018, 168, 975–983. [Google Scholar] [CrossRef]
- Nili, M.; Ramezanianpour, A.A.; Sobhani, J. Evaluation of the effects of silica fume and air-entrainment on deicer salt scaling resistance of concrete pavements: Microstructural study and modeling. Constr. Build. Mater. 2021, 308, 124972. [Google Scholar] [CrossRef]
- Pigeon, M.; Marchand, J.; Pleau, R. Frost resistant concrete. Constr. Build. Mater. 1996, 10, 339–348. [Google Scholar] [CrossRef]
- Wu, Z.; Shi, C.; Gao, P.; Wang, D.; Cao, Z. Effects of deicing salts on the scaling resistance of concrete. J. Mater. Civ. Eng. 2015, 27, 04014160. [Google Scholar] [CrossRef]
- Wang, K.; Nelsen, D.E.; Nixon, W.A. Damaging effects of deicing chemicals on concrete materials. Cem. Concr. Compos. 2006, 28, 173–188. [Google Scholar] [CrossRef]
- Sun, Z.; Scherer, G.W. Effect of air voids on salt scaling and internal freezing. Cem. Concr. Res. 2010, 40, 260–270. [Google Scholar] [CrossRef]
- Wang, Z.; Bai, E.; Ren, B.; Liu, C.; Liu, J.; Huang, H. Microwave heating efficiency and frost resistance of concrete modified with powder absorbing materials. Constr. Build. Mater. 2023, 379, 131145. [Google Scholar] [CrossRef]
- Liu, Z.; Hansen, W. Freeze–thaw durability of high strength concrete under deicer salt exposure. Constr. Build. Mater. 2016, 102, 478–485. [Google Scholar] [CrossRef]
- Feldman, R.F.; Beaudoin, J.J. Microstructure and strength of hydrated cement. Cem. Concr. Res. 1976, 6, 389–400. [Google Scholar] [CrossRef]
- Wang, Y.; Zhang, S.; Niu, D.; Fu, Q. Quantitative evaluation of the characteristics of air voids and their relationship with the permeability and salt freeze–thaw resistance of hybrid steel-polypropylene fiber–reinforced concrete composites. Cem. Concr. Compos. 2022, 125, 104292. [Google Scholar] [CrossRef]
- Müller, C. How standards support sustainability of cement and concrete in Europe. Cem. Concr. Res. 2023, 173, 107288. [Google Scholar] [CrossRef]











| Chemical Composition | Cement | Fly Ash | Physical Properties | Cement | Fly Ash |
|---|---|---|---|---|---|
| 22.76 | 62.219 | Specific surface (m2/kg) | 331 | 544 | |
| 5.45 | 20.203 | Density (g/cm3) | 3.1 | 2.40 | |
| 3.15 | 2.915 | Initial setting time (min) | 145 | - | |
| 60.42 | 8.906 | Final setting time (min) | 205 | - | |
| 3.05 | 0.815 | 3 d Flexural strength (MPa) | 5.2 | - | |
| 0.18 | 1.357 | 28 d Flexural strength (MPa) | 7.5 | - | |
| 0.79 | 2.170 | 3 d Compressive strength (MPa) | 23.2 | - | |
| 2.72 | 0.620 | 28 d Compressive strength (MPa) | 51.6 | - | |
| Ignition loss | 1.1 | 3.1 | Activity index (28 d) | - | 84% |
| Properties | Apparent Density (kg/m3) | Clay Content (%) | Crush Value (%) | Fineness Modulus |
|---|---|---|---|---|
| Coarse aggregate | 2790 | 0.60 | 13.4 | - |
| River sands | 2630 | 1.35 | - | 2.9 |
| Water-Binder Ratio | Mix Proportion/(kg/m3) | ||||||
|---|---|---|---|---|---|---|---|
| Cement | Fly Ash | Water | Stone | River Sand | SP | AE | |
| 0.36 | 360 | 65 | 152 | 1080 | 650 | 5.72 | 0.76 |
| Group | Standard Curing (SC) | Intermediate Curing (IC) | Low-Temperature Curing (LC) |
|---|---|---|---|
| Curing conditions | 20 °C—95% RH | 5 °C—70% RH | 0 °C—50% RH |
| Solution | |||||||||||||
|---|---|---|---|---|---|---|---|---|---|---|---|---|---|
| Mass fraction | 1% | 3% | 5% | 7% | 0.95% | 2.85% | 4.74% | 6.64% | 1% | 3% | 5% | 7% | - |
| Group | Rate of Mass Loss | Relative Dynamic Elastic Modulus | Relative Durability Index | Maximum Number of Freeze-Thaw Cycles |
|---|---|---|---|---|
| 5.41 | 78.81 | 105.08 | 400 | |
| 3.51 | 58.99 | 29.50 | 150 | |
| 3.31 | 59.34 | 29.67 | 150 | |
| 4.05 | 55.57 | 32.41 | 175 | |
| 5.19 | 79.96 | 93.29 | 350 | |
| 4.24 | 53.91 | 26.96 | 150 | |
| 4.08 | 51.00 | 25.50 | 150 | |
| 4.78 | 47.01 | 27.42 | 175 | |
| 5.09 | 71.93 | 59.94 | 250 | |
| 4.04 | 55.83 | 18.61 | 100 | |
| 3.90 | 51.11 | 17.04 | 100 | |
| 3.71 | 59.62 | 19.87 | 100 |
Disclaimer/Publisher’s Note: The statements, opinions and data contained in all publications are solely those of the individual author(s) and contributor(s) and not of MDPI and/or the editor(s). MDPI and/or the editor(s) disclaim responsibility for any injury to people or property resulting from any ideas, methods, instructions or products referred to in the content. |
© 2024 by the authors. Licensee MDPI, Basel, Switzerland. This article is an open access article distributed under the terms and conditions of the Creative Commons Attribution (CC BY) license (https://creativecommons.org/licenses/by/4.0/).
Share and Cite
Zhao, R.; Shi, C.; Zhang, R.; Wang, W.; Zhu, H.; Luo, J. Study on the Freeze-Thaw Resistance of Concrete Pavements in Seasonally Frozen Regions. Materials 2024, 17, 1902. https://doi.org/10.3390/ma17081902
Zhao R, Shi C, Zhang R, Wang W, Zhu H, Luo J. Study on the Freeze-Thaw Resistance of Concrete Pavements in Seasonally Frozen Regions. Materials. 2024; 17(8):1902. https://doi.org/10.3390/ma17081902
Chicago/Turabian StyleZhao, Ruize, Chenglin Shi, Ruixin Zhang, Wensheng Wang, Huirong Zhu, and Jing Luo. 2024. "Study on the Freeze-Thaw Resistance of Concrete Pavements in Seasonally Frozen Regions" Materials 17, no. 8: 1902. https://doi.org/10.3390/ma17081902
APA StyleZhao, R., Shi, C., Zhang, R., Wang, W., Zhu, H., & Luo, J. (2024). Study on the Freeze-Thaw Resistance of Concrete Pavements in Seasonally Frozen Regions. Materials, 17(8), 1902. https://doi.org/10.3390/ma17081902

