Effects of Shot Peening and Electropolishing Treatment on the Properties of Additively and Conventionally Manufactured Ti6Al4V Alloy: A Review
Abstract
1. Introduction
2. Manufacturing Methods for Ti6Al4V Alloys
2.1. Material—Ti6Al4V Alloy Characterization
2.2. Properties of Conventionally and Additively Manufactured Ti6Al4V Alloy
2.2.1. Conventional Methods (CMs) for Ti6Al4V Alloy Fabrication
| Processing of Ti6Al4V Alloy | Heat Treatment | Microstructure in Various Cooling Media | Ref. | |||
|---|---|---|---|---|---|---|
| Microhardness | YS [MPa] | UTS [MPa] | A [%] | |||
| Wrought (As-received) | Untreated | 325 HV | 880 | 960 | 14 | [28] |
| Untreated Ti6Al4V | 190 HK | 880 | 910 | 18 | [29] | |
| water quenching + aging | 320 HK | 1110 | 1170 | 6.5 | [29] | |
| Ti6Al4V air cooling + aging | 210 HK | 910 | 980 | 12.5 | [29] | |
| Forged | Mill annealed | - | 1030 | 970 | 16 | [30] |
| Mill annealed | - | 960 | 1006 | 18.4 | [28] | |
| Cast | - | 330 HV | 750 | 875 | 4.5 | [31] |
| - | - | 865 | 980 | 13.5 | [32] | |
2.2.2. Additive Manufacturing Methods for Ti6Al4V Components
2.2.3. SLM—Selective Laser Melting
2.2.4. DMLS—Directive Metal Laser Sintering
2.2.5. EBM—Electron Beam Melting
2.2.6. DED—Direct Energy Deposition Processes
3. Post-Process Treatments Applied to Modify Ti6Al4V Surface Layer Properties
3.1. Shot Peening
- Grain refinement;
- Increase in dislocation density;
- Formation of passive layer;
- Decrease in porosity;
- Formation of compressive residual stresses.
3.2. Other Peening Methods
- Ultrasonic impact peening;
- Laser shock peening;
- Water jet peening;
- Oil jet peening.
3.3. Electropolishing
4. Combination of Shot Peening and Electropolishing
5. Summary
- This literature review confirms that Ti-6Al-4V fabricated using conventional methods such as casting, plastic forming or machining processes has an α + β dual-phase microstructure. Additive manufacturing methods change the microstructure. Due to the rapid heat exchange during heat treatment, the bimodal microstructure transforms into a lamellar microstructure consisting of two phases: α′ + β. This microstructure difference is crucial for the operational performance of fabricated parts because it seriously affects the mechanical properties of CM and AM components.
- Conventionally manufactured Ti6Al4V alloy components are fabricated using a broad range of well-known fabrication technologies such as casting, forging and machining. In contrast, AM processes for Ti6Al4V alloy are mostly limited to two main fabrication techniques, i.e., direct energy deposition (DED) and powder bed fusion (PBF). Both CM and AM components can be further heat-treated and processed via surface engineering techniques.
- Usually, surface treatment processes such as shot peening (SP) and electropolishing (EP) of titanium alloys are required to achieve the required surface quality. Both conventionally and additively manufactured components require adequate surface finishing to obtain the required surface layer roughness or mechanical properties. A literature survey indicates that shot peening is a standard procedure used for CM and AM titanium alloys. On the other hand, minimal attention has been paid to studying the electropolishing of additively manufactured Ti6Al4V samples.
- Titanium parts fabricated by additive manufacturing technology, even though they seem like good-quality products after the manufacturing process, are usually not ready for service in their as-built state. Each AM process requires one or more post-processing steps, depending on the final application. The most method popular in the industry for improving the quality of the surface of AM components is shot peening.
- Shot peening post-processing of AM components improves the surface quality and mechanical properties of the components. Depending on the applied parameters, the process can reduce surface roughness, minimize the surface nonuniformities, harden the surface layer and refine the grain size of Ti6Al4V alloy, all of which are beneficial for the further operational performance of components, i.e., improving resistance to corrosion, wear, etc. On the other hand, electropolishing improves surface quality by reducing surface roughness and improving corrosion resistance without deterioration in the structure of metallic components. There are many reports on the properties and electrochemical behaviors of traditional titanium alloys after electropolishing based on different bath components and process parameters, but the special surface layer state of additively manufactured titanium alloys makes new investigations on this issue necessary.
- Finally, this review paper indicates the information about the effects of combining the peening process and electropolishing of additively manufactured titanium alloys, which seems to be a drawback in the state of the art. The synthesis of these two processes could provide the required surface layer quality free of surface nonuniformities characteristic of additively manufactured alloys. So, investigating the effect of this hybrid surface treatment, i.e., shot peening and electropolishing, of additively manufactured Ti6Al4V titanium alloy on surface layer properties is a promising direction for our group’s future research scope.
Author Contributions
Funding
Data Availability Statement
Conflicts of Interest
References
- Cui, C.; Hu, B.; Zhao, L.; Liu, S. Titanium Alloy Production Technology, Market Prospects and Industry Development. Mater. Des. 2011, 32, 1684–1691. [Google Scholar] [CrossRef]
- Liu, S.; Shin, Y.C. Additive Manufacturing of Ti6Al4V Alloy: A Review. Mater. Des. 2019, 164, 107552. [Google Scholar] [CrossRef]
- Pushp, P.; Dasharath, S.M.; Arati, C. Classification and Applications of Titanium and Its Alloys. Mater. Today Proc. 2022, 54, 537–542. [Google Scholar] [CrossRef]
- Rudawska, A.; Zaleski, K.; Miturska, I.; Skoczylas, A. Effect of the Application of Different Surface Treatment Methods on the Strength of Titanium Alloy Sheet Adhesive Lap Joints. Materials 2019, 12, 4173. [Google Scholar] [CrossRef] [PubMed]
- Sonntag, R.; Reinders, J.; Gibmeier, J.; Kretzer, J.P. Fatigue Strengthening of an Orthopedic Ti6Al4V Alloy: What Is the Potential of a Final Shot Peening Process? In Biomaterials and Medical Tribology; Elsevier: Amsterdam, The Netherlands, 2013; pp. 217–237. ISBN 978-0-85709-017-1. [Google Scholar]
- Cook, S.; Barrack, R.; Clemow, A. Corrosion and Wear at the Modular Interface of Uncemented Femoral Stems. J. Bone Jt. Surg. 1994, 76, 68–72. [Google Scholar] [CrossRef]
- Kretzer, J.P.; Jakubowitz, E.; Krachler, M.; Thomsen, M.; Heisel, C. Metal Release and Corrosion Effects of Modular Neck Total Hip Arthroplasty. Int. Orthop. (SICOT) 2009, 33, 1531–1536. [Google Scholar] [CrossRef] [PubMed]
- Huang, H.; Lan, P.-H.; Zhang, Y.-Q.; Li, X.-K.; Zhang, X.; Yuan, C.-F.; Zheng, X.-B.; Guo, Z. Surface Characterization and in Vivo Performance of Plasma-Sprayed Hydroxyapatite-Coated Porous Ti6Al4V Implants Generated by Electron Beam Melting. Surf. Coat. Technol. 2015, 283, 80–88. [Google Scholar] [CrossRef]
- Čapek, J.; Machová, M.; Fousová, M.; Kubásek, J.; Vojtěch, D.; Fojt, J.; Jablonská, E.; Lipov, J.; Ruml, T. Highly Porous, Low Elastic Modulus 316L Stainless Steel Scaffold Prepared by Selective Laser Melting. Mater. Sci. Eng. C 2016, 69, 631–639. [Google Scholar] [CrossRef]
- Long, M.; Rack, H.J. Titanium Alloys in Total Joint Replacement—A Materials Science Perspective. Biomaterials 1998, 19, 1621–1639. [Google Scholar] [CrossRef]
- Miranda, G.; Araújo, A.; Bartolomeu, F.; Buciumeanu, M.; Carvalho, O.; Souza, J.C.M.; Silva, F.S.; Henriques, B. Design of Ti6Al4V-HA Composites Produced by Hot Pressing for Biomedical Applications. Mater. Des. 2016, 108, 488–493. [Google Scholar] [CrossRef]
- Ma, X.; Chen, Z.; Zhong, D.; Luo, S.N.; Xiao, L.; Lu, W.; Zhang, S. Effect of Rotationally Accelerated Shot Peening on the Microstructure and Mechanical Behavior of a Metastable β Titanium Alloy. J. Mater. Sci. Technol. 2021, 75, 27–38. [Google Scholar] [CrossRef]
- Benedetti, M.; Torresani, E.; Leoni, M.; Fontanari, V.; Bandini, M.; Pederzolli, C.; Potrich, C. The Effect of Post-Sintering Treatments on the Fatigue and Biological Behavior of Ti-6Al-4V ELI Parts Made by Selective Laser Melting. J. Mech. Behav. Biomed. Mater. 2017, 71, 295–306. [Google Scholar] [CrossRef] [PubMed]
- Rautio, T.; Jaskari, M.; Järvenpää, A. Surface Roughness Improvement of Pbf-Lb Manufactured 316l with Dry Electropolishing. Key Eng. Mater. 2023, 972, 3–12. [Google Scholar] [CrossRef]
- Kim, K.M.; Shim, H.-S.; Seo, M.J.; Hur, D.H. Corrosion Control of Alloy 690 by Shot Peening and Electropolishing under Simulated Primary Water Condition of PWRs. Adv. Mater. Sci. Eng. 2015, 2015, 357624. [Google Scholar] [CrossRef]
- Lan, L.; Xin, R.; Jin, X.; Gao, S.; He, B.; Rong, Y.; Min, N. Effects of Laser Shock Peening on Microstructure and Properties of Ti–6Al–4V Titanium Alloy Fabricated via Selective Laser Melting. Materials 2020, 13, 3261. [Google Scholar] [CrossRef] [PubMed]
- Chen, S.; Zhang, Y.; Wu, Q.; Gao, H.; Gao, Z.; Li, X. Effect of Solid-State Phase Transformation on Residual Stress of Selective Laser Melting Ti6Al4V. Mater. Sci. Eng. A 2021, 819, 141299. [Google Scholar] [CrossRef]
- Mahmud, A.; Huynh, T.; Zhou, L.; Hyer, H.; Mehta, A.; Imholte, D.D.; Woolstenhulme, N.E.; Wachs, D.M.; Sohn, Y. Mechanical Behavior Assessment of Ti-6Al-4V ELI Alloy Produced by Laser Powder Bed Fusion. Metals 2021, 11, 1671. [Google Scholar] [CrossRef]
- Motyka, M.; Baran-Sadleja, A.; Sieniawski, J.; Wierzbinska, M.; Gancarczyk, K. Decomposition of Deformed α′(α″) Martensitic Phase in Ti–6Al–4V Alloy. Mater. Sci. Technol. 2019, 35, 260–272. [Google Scholar] [CrossRef]
- Dasgupta, S.; Singh, Y.P. Additive Manufacturing Techniques Used for Preparation of Scaffolds in Bone Repair and Regeneration. In Advances in Additive Manufacturing Artificial Intelligence, Nature-Inspired, and Biomanufacturing; Elsevier: Amsterdam, The Netherlands, 2023; pp. 103–127. ISBN 978-0-323-91834-3. [Google Scholar]
- Walczak, M.; Pasierbiewicz, K.; Szala, M. Effect of Ti6Al4V Substrate Manufacturing Technology on the Properties of PVD Nitride Coatings. Acta Phys. Pol. A 2022, 142, 723–732. [Google Scholar] [CrossRef]
- Ahmed, T.; Rack, H.J. Phase Transformations during Cooling in α+β Titanium Alloys. Mater. Sci. Eng. A 1998, 243, 206–211. [Google Scholar] [CrossRef]
- Omoniyi, P.O.; Akinlabi, E.T.; Mahamood, R.M. Heat Treatments of Ti6Al4V Alloys for Industrial Applications: An Overview. IOP Conf. Ser. Mater. Sci. Eng. 2021, 1107, 012094. [Google Scholar] [CrossRef]
- Swift, K.G.; Booker, J.D. Introduction to the Handbook. In Manufacturing Process Selection Handbook; Elsevier: Amsterdam, The Netherlands, 2013; pp. 1–20. ISBN 978-0-08-099360-7. [Google Scholar]
- Lovatt, A.M.; Shercliff, H.R. Manufacturing Process Selection in Engineering Design. Part 1: The Role of Process Selection. Mater. Des. 1998, 19, 205–215. [Google Scholar] [CrossRef]
- Fidan, S.; Avcu, E.; Karakulak, E.; Yamanoglu, R.; Zeren, M.; Sinmazcelik, T. Effect of Heat Treatment on Erosive Wear Behaviour of Ti6Al4V Alloy. Mater. Sci. Technol. 2013, 29, 1088–1094. [Google Scholar] [CrossRef]
- Rajan Soundararajan, S.; Vishnu, J.; Manivasagam, G.; Rao Muktinutalapati, N. Processing of Beta Titanium Alloys for Aerospace and Biomedical Applications. In Titanium Alloys—Novel Aspects of Their Processing [Working Title]; IntechOpen: London, UK, 2018. [Google Scholar]
- Vrancken, B.; Thijs, L.; Kruth, J.-P.; Van Humbeeck, J. Heat Treatment of Ti6Al4V Produced by Selective Laser Melting: Microstructure and Mechanical Properties. J. Alloys Compd. 2012, 541, 177–185. [Google Scholar] [CrossRef]
- Venkatesh, B.D.; Chen, D.L.; Bhole, S.D. Effect of Heat Treatment on Mechanical Properties of Ti–6Al–4V ELI Alloy. Mater. Sci. Eng. A 2009, 506, 117–124. [Google Scholar] [CrossRef]
- Zhai, Y.; Galarraga, H.; Lados, D.A. Microstructure, Static Properties, and Fatigue Crack Growth Mechanisms in Ti-6Al-4V Fabricated by Additive Manufacturing: LENS and EBM. Eng. Fail. Anal. 2016, 69, 3–14. [Google Scholar] [CrossRef]
- Koike, M.; Greer, P.; Owen, K.; Lilly, G.; Murr, L.E.; Gaytan, S.M.; Martinez, E.; Okabe, T. Evaluation of Titanium Alloys Fabricated Using Rapid Prototyping Technologies—Electron Beam Melting and Laser Beam Melting. Materials 2011, 4, 1776–1792. [Google Scholar] [CrossRef] [PubMed]
- Vilaro, T.; Colin, C.; Bartout, J.D. As-Fabricated and Heat-Treated Microstructures of the Ti-6Al-4V Alloy Processed by Selective Laser Melting. Met. Mater. Trans. A 2011, 42, 3190–3199. [Google Scholar] [CrossRef]
- Zhu, Y.; Zou, J.; Yang, H. Wear Performance of Metal Parts Fabricated by Selective Laser Melting: A Literature Review. J. Zhejiang Univ. Sci. A 2018, 19, 95–110. [Google Scholar] [CrossRef]
- Kranz, J.; Herzog, D.; Emmelmann, C. Design Guidelines for Laser Additive Manufacturing of Lightweight Structures in TiAl6V4. J. Laser Appl. 2015, 27, S14001. [Google Scholar] [CrossRef]
- Singla, A.K.; Banerjee, M.; Sharma, A.; Singh, J.; Bansal, A.; Gupta, M.K.; Khanna, N.; Shahi, A.S.; Goyal, D.K. Selective Laser Melting of Ti6Al4V Alloy: Process Parameters, Defects and Post-Treatments. J. Manuf. Process. 2021, 64, 161–187. [Google Scholar] [CrossRef]
- Sun, S.; Zhang, D.; Palanisamy, S.; Liu, Q.; Dargusch, M.S. Mechanical Properties and Deformation Mechanisms of Martensitic Ti6Al4V Alloy Processed by Laser Powder Bed Fusion and Water Quenching. Mater. Sci. Eng. A 2022, 839, 142817. [Google Scholar] [CrossRef]
- Maruda, R.; Leksycki, K.; Wojciechowski, S.; Feldshtein, E.; Łukaszewicz, A. Evaluation of the Surface Topography of Ti6Al4V Alloy after the Finish Turning Process under Ecological Conditions. Adv. Sci. Technol. Res. J. 2023, 17, 63–70. [Google Scholar] [CrossRef]
- Martyushev, N.V.; Bublik, D.A.; Kukartsev, V.V.; Tynchenko, V.S.; Klyuev, R.V.; Tynchenko, Y.A.; Karlina, Y.I. Provision of Rational Parameters for the Turning Mode of Small-Sized Parts Made of the 29 NK Alloy and Beryllium Bronze for Subsequent Thermal Pulse Deburring. Materials 2023, 16, 3490. [Google Scholar] [CrossRef] [PubMed]
- Fidan, I.; Huseynov, O.; Ali, M.A.; Alkunte, S.; Rajeshirke, M.; Gupta, A.; Hasanov, S.; Tantawi, K.; Yasa, E.; Yilmaz, O.; et al. Recent Inventions in Additive Manufacturing: Holistic Review. Inventions 2023, 8, 103. [Google Scholar] [CrossRef]
- Wohlers Associates (Ed.) Wohlers Report 2023: 3D Printing and Additive Manufacturing Global State of the Industry; Wohlers Associates: Washington, DC, USA, 2023; ISBN 978-1-62204-966-0. [Google Scholar]
- Świetlicki, A.; Szala, M.; Walczak, M. Effects of Shot Peening and Cavitation Peening on Properties of Surface Layer of Metallic Materials—A Short Review. Materials 2022, 15, 2476. [Google Scholar] [CrossRef] [PubMed]
- Lv, C.; Wang, J.; Li, H.; Yin, Q.; Liu, W.; Shen, S. Dynamics of the Laser–Powder Interaction in the Ti6Al4V Powder Feeding Process of Laser-Directed Energy Deposition Additive Manufacturing. J. Mater. Res. Technol. 2023, 27, 6376–6385. [Google Scholar] [CrossRef]
- Shen, B.; Li, H.; Liu, S.; Zou, J.; Shen, S.; Wang, Y.; Zhang, T.; Zhang, D.; Chen, Y.; Qi, H. Influence of Laser Post-Processing on Pore Evolution of Ti–6Al–4V Alloy by Laser Powder Bed Fusion. J. Alloys Compd. 2020, 818, 152845. [Google Scholar] [CrossRef]
- Cao, F.; Zhang, T.; Ryder, M.A.; Lados, D.A. A Review of the Fatigue Properties of Additively Manufactured Ti-6Al-4V. JOM 2018, 70, 349–357. [Google Scholar] [CrossRef]
- Harun, W.S.W.; Kamariah, M.S.I.N.; Muhamad, N.; Ghani, S.A.C.; Ahmad, F.; Mohamed, Z. A Review of Powder Additive Manufacturing Processes for Metallic Biomaterials. Powder Technol. 2018, 327, 128–151. [Google Scholar] [CrossRef]
- Alcisto, J.; Enriquez, A.; Garcia, H.; Hinkson, S.; Steelman, T.; Silverman, E.; Valdovino, P.; Gigerenzer, H.; Foyos, J.; Ogren, J.; et al. Tensile Properties and Microstructures of Laser-Formed Ti-6Al-4V. J. Mater. Eng. Perform. 2011, 20, 203–212. [Google Scholar] [CrossRef]
- Seifi, M.; Salem, A.; Beuth, J.; Harrysson, O.; Lewandowski, J.J. Overview of Materials Qualification Needs for Metal Additive Manufacturing. JOM 2016, 68, 747–764. [Google Scholar] [CrossRef]
- Simonelli, M.; Tse, Y.Y.; Tuck, C. Effect of the Build Orientation on the Mechanical Properties and Fracture Modes of SLM Ti–6Al–4V. Mater. Sci. Eng. A 2014, 616, 1–11. [Google Scholar] [CrossRef]
- Bhandari, L.; Gaur, V. On Study of Process Induced Defects-Based Fatigue Performance of Additively Manufactured Ti6Al4V Alloy. Addit. Manuf. 2022, 60, 103227. [Google Scholar] [CrossRef]
- Wysocki, B.; Maj, P.; Sitek, R.; Buhagiar, J.; Kurzydłowski, K.; Święszkowski, W. Laser and Electron Beam Additive Manufacturing Methods of Fabricating Titanium Bone Implants. Appl. Sci. 2017, 7, 657. [Google Scholar] [CrossRef]
- Guo, S.; Li, Y.; Gu, J.; Liu, J.; Peng, Y.; Wang, P.; Zhou, Q.; Wang, K. Microstructure and Mechanical Properties of Ti6Al4V/B4C Titanium Matrix Composite Fabricated by Selective Laser Melting (SLM). J. Mater. Res. Technol. 2023, 23, 1934–1946. [Google Scholar] [CrossRef]
- Facchini, L.; Magalini, E.; Robotti, P.; Molinari, A.; Höges, S.; Wissenbach, K. Ductility of a Ti-6Al-4V Alloy Produced by Selective Laser Melting of Prealloyed Powders. Rapid Prototyp. J. 2010, 16, 450–459. [Google Scholar] [CrossRef]
- Bordin, A.; Bruschi, S.; Ghiotti, A.; Bucciotti, F.; Facchini, L. Comparison between Wrought and EBM Ti6Al4V Machinability Characteristics. Key Eng. Mater. 2014, 611, 1186–1193. [Google Scholar] [CrossRef]
- Ishfaq, K.; Abdullah, M.; Mahmood, M.A. A State-of-the-Art Direct Metal Laser Sintering of Ti6Al4V and AlSi10Mg Alloys: Surface Roughness, Tensile Strength, Fatigue Strength and Microstructure. Opt. Laser Technol. 2021, 143, 107366. [Google Scholar] [CrossRef]
- Karolewska, K.; Ligaj, B.; Boroński, D. Strain Analysis of Ti6Al4V Titanium Alloy Samples Using Digital Image Correlation. Materials 2020, 13, 3398. [Google Scholar] [CrossRef]
- Guzanová, A.; Ižaríková, G.; Brezinová, J.; Živčák, J.; Draganovská, D.; Hudák, R. Influence of Build Orientation, Heat Treatment, and Laser Power on the Hardness of Ti6Al4V Manufactured Using the DMLS Process. Metals 2017, 7, 318. [Google Scholar] [CrossRef]
- Sharma, M.; Soni, M. Direct Metal Laser Sintering of TI6Al4V Alloy for Patient-Specific Temporo Mandibular Joint Prosthesis and Implant. Mater. Today Proc. 2021, 38, 333–339. [Google Scholar] [CrossRef]
- Mierzejewska, Ż.A. Effect of Laser Energy Density, Internal Porosity and Heat Treatment on Mechanical Behavior of Biomedical Ti6Al4V Alloy Obtained with DMLS Technology. Materials 2019, 12, 2331. [Google Scholar] [CrossRef] [PubMed]
- Thijs, L.; Verhaeghe, F.; Craeghs, T.; Humbeeck, J.V.; Kruth, J.-P. A Study of the Microstructural Evolution during Selective Laser Melting of Ti–6Al–4V. Acta Mater. 2010, 58, 3303–3312. [Google Scholar] [CrossRef]
- Motyka, M. Martensite Formation and Decomposition during Traditional and AM Processing of Two-Phase Titanium Alloys—An Overview. Metals 2021, 11, 481. [Google Scholar] [CrossRef]
- Bartolomeu, F.; Gasik, M.; Silva, F.S.; Miranda, G. Mechanical Properties of Ti6Al4V Fabricated by Laser Powder Bed Fusion: A Review Focused on the Processing and Microstructural Parameters Influence on the Final Properties. Metals 2022, 12, 986. [Google Scholar] [CrossRef]
- Vrancken, B.; Buls, S.; Kruth, J.; Humbeeck, J.V. Preheating of Selective Laser Melted Ti6Al4V: Microstructure and Mechanical Properties. In Proceedings of the 13th World Conference on Titanium; Venkatesh, V., Pilchak, A.L., Allison, J.E., Ankem, S., Boyer, R., Christodoulou, J., Fraser, H.L., Imam, M.A., Kosaka, Y., Rack, H.J., et al., Eds.; Wiley: Hoboken, NJ, USA, 2016; pp. 1269–1277. ISBN 978-1-119-28326-3. [Google Scholar]
- Kogo, B.; Xu, C.; Wang, B.; Chizari, M.; Reza Kashyzadeh, K.; Ghorbani, S. An Experimental Analysis to Determine the Load-Bearing Capacity of 3D Printed Metals. Materials 2022, 15, 4333. [Google Scholar] [CrossRef]
- Kim, F.H.; Moylan, S.P. Literature Review of Metal Additive Manufacturing Defects; National Institute of Standards and Technology: Gaithersburg, MD, USA, 2018; pp. 100–116. [Google Scholar]
- Polozov, I.; Gracheva, A.; Popovich, A. Interface Characterization of Bimetallic Ti-6Al-4V/Ti2AlNb Structures Prepared by Selective Laser Melting. Materials 2022, 15, 8528. [Google Scholar] [CrossRef]
- Gaur, V.; Doquet, V.; Persent, E.; Mareau, C.; Roguet, E.; Kittel, J. Surface versus Internal Fatigue Crack Initiation in Steel: Influence of Mean Stress. Int. J. Fatigue 2016, 82, 437–448. [Google Scholar] [CrossRef]
- Keshavarzkermani, A.; Sadowski, M.; Ladani, L. Direct Metal Laser Melting of Inconel 718: Process Impact on Grain Formation and Orientation. J. Alloys Compd. 2018, 736, 297–305. [Google Scholar] [CrossRef]
- Zhang, Y.; Zhang, J. Finite Element Simulation and Experimental Validation of Distortion and Cracking Failure Phenomena in Direct Metal Laser Sintering Fabricated Component. Addit. Manuf. 2017, 16, 49–57. [Google Scholar] [CrossRef]
- Zhao, X.; Iyer, A.; Promoppatum, P.; Yao, S.-C. Numerical Modeling of the Thermal Behavior and Residual Stress in the Direct Metal Laser Sintering Process of Titanium Alloy Products. Addit. Manuf. 2017, 14, 126–136. [Google Scholar] [CrossRef]
- Anand, M.; Das, A.K. Issues in Fabrication of 3D Components through DMLS Technique: A Review. Opt. Laser Technol. 2021, 139, 106914. [Google Scholar] [CrossRef]
- Martinho, P.G. Rapid Manufacturing and Tooling. In Design and Manufacturing of Plastics Products; Elsevier: Amsterdam, The Netherlands, 2021; pp. 381–456. ISBN 978-0-12-819775-2. [Google Scholar]
- Hussain, M.; Mandal, V.; Kumar, V.; Das, A.K.; Ghosh, S.K. Development of TiN Particulates Reinforced SS316 Based Metal Matrix Composite by Direct Metal Laser Sintering Technique and Its Characterization. Opt. Laser Technol. 2017, 97, 46–59. [Google Scholar] [CrossRef]
- Zhou, M.; Deng, X. Melting and Resolidification of Direct Metal Laser Sintering with Multiscale Nonequilibrium Model. J. Thermophys. Heat Transf. 2019, 33, 78–86. [Google Scholar] [CrossRef]
- Mierzejewska, Ż.A.; Hudák, R.; Sidun, J. Mechanical Properties and Microstructure of DMLS Ti6Al4V Alloy Dedicated to Biomedical Applications. Materials 2019, 12, 176. [Google Scholar] [CrossRef] [PubMed]
- Tebianian, M.; Aghaie, S.; Razavi Jafari, N.; Elmi Hosseini, S.; Pereira, A.; Fernandes, F.; Farbakhti, M.; Chen, C.; Huo, Y. A Review of the Metal Additive Manufacturing Processes. Materials 2023, 16, 7514. [Google Scholar] [CrossRef] [PubMed]
- Isik, M.; Yildiz, M.; Secer, R.O.; Sen, C.; Bilgin, G.M.; Orhangul, A.; Akbulut, G.; Javidrad, H.; Koc, B. Fabrication of Electron Beam Melted Titanium Aluminide: The Effects of Machining Parameters and Heat Treatment on Surface Roughness and Hardness. Metals 2023, 13, 1952. [Google Scholar] [CrossRef]
- Tan, X.; Kok, Y.; Tor, S.B.; Chua, C.K. Application of Electron Beam Melting (EBM) in Additive Manufacturing of an Impeller. In Proceedings of the 1st International Conference on Progress in Additive Manufacturing; Research Publishing Services: Singapore, 2014; pp. 327–332. [Google Scholar]
- Cho, K.; Kawabata, H.; Hayashi, T.; Yasuda, H.Y.; Nakashima, H.; Takeyama, M.; Nakano, T. Peculiar Microstructural Evolution and Tensile Properties of β-Containing γ-TiAl Alloys Fabricated by Electron Beam Melting. Addit. Manuf. 2021, 46, 102091. [Google Scholar] [CrossRef]
- Bansal, S.A.; Khanna, V.; Gupta, P. Metal Matrix Composites: Fabrication, Production, and 3D Printing, 1st ed.; CRC Press: Boca Raton, FL, USA, 2022; Volume 1, ISBN 978-1-00-319489-7. [Google Scholar]
- Trevisan, F.; Calignano, F.; Aversa, A.; Marchese, G.; Lombardi, M.; Biamino, S.; Ugues, D.; Manfredi, D. Additive Manufacturing of Titanium Alloys in the Biomedical Field: Processes, Properties and Applications. J. Appl. Biomater. Funct. Mater. 2018, 16, 57–67. [Google Scholar] [CrossRef]
- Sanaei, N.; Fatemi, A. Defects in Additive Manufactured Metals and Their Effect on Fatigue Performance: A State-of-the-Art Review. Prog. Mater. Sci. 2021, 117, 100724. [Google Scholar] [CrossRef]
- Ng, G.K.L.; Jarfors, A.E.W.; Bi, G.; Zheng, H.Y. Porosity Formation and Gas Bubble Retention in Laser Metal Deposition. Appl. Phys. A 2009, 97, 641–649. [Google Scholar] [CrossRef]
- Hrabe, N.; Quinn, T. Effects of Processing on Microstructure and Mechanical Properties of a Titanium Alloy (Ti–6Al–4V) Fabricated Using Electron Beam Melting (EBM), Part 1: Distance from Build Plate and Part Size. Mater. Sci. Eng. A 2013, 573, 264–270. [Google Scholar] [CrossRef]
- Cunningham, R.; Narra, S.P.; Montgomery, C.; Beuth, J.; Rollett, A.D. Synchrotron-Based X-Ray Microtomography Characterization of the Effect of Processing Variables on Porosity Formation in Laser Power-Bed Additive Manufacturing of Ti-6Al-4V. JOM 2017, 69, 479–484. [Google Scholar] [CrossRef]
- Hojjatzadeh, S.M.H.; Parab, N.D.; Guo, Q.; Qu, M.; Xiong, L.; Zhao, C.; Escano, L.I.; Fezzaa, K.; Everhart, W.; Sun, T.; et al. Direct Observation of Pore Formation Mechanisms during LPBF Additive Manufacturing Process and High Energy Density Laser Welding. Int. J. Mach. Tools Manuf. 2020, 153, 103555. [Google Scholar] [CrossRef]
- Hrabe, N.; Gnäupel-Herold, T.; Quinn, T. Fatigue Properties of a Titanium Alloy (Ti–6Al–4V) Fabricated via Electron Beam Melting (EBM): Effects of Internal Defects and Residual Stress. Int. J. Fatigue 2017, 94, 202–210. [Google Scholar] [CrossRef]
- Sandell, V.; Hansson, T.; Roychowdhury, S.; Månsson, T.; Delin, M.; Åkerfeldt, P.; Antti, M.-L. Defects in Electron Beam Melted Ti-6Al-4V: Fatigue Life Prediction Using Experimental Data and Extreme Value Statistics. Materials 2021, 14, 640. [Google Scholar] [CrossRef] [PubMed]
- Hassan, M.S.; Zaman, S.; Dantzler, J.Z.R.; Leyva, D.H.; Mahmud, M.S.; Ramirez, J.M.; Gomez, S.G.; Lin, Y. 3D Printed Integrated Sensors: From Fabrication to Applications—A Review. Nanomaterials 2023, 13, 3148. [Google Scholar] [CrossRef]
- Biserova-Tahchieva, A.; Biezma-Moraleda, M.V.; Llorca-Isern, N.; Gonzalez-Lavin, J.; Linhardt, P. Additive Manufacturing Processes in Selected Corrosion Resistant Materials: A State of Knowledge Review. Materials 2023, 16, 1893. [Google Scholar] [CrossRef]
- Yang, T.; Mazumder, S.; Jin, Y.; Squires, B.; Sofield, M.; Pantawane, M.V.; Dahotre, N.B.; Neogi, A. A Review of Diagnostics Methodologies for Metal Additive Manufacturing Processes and Products. Materials 2021, 14, 4929. [Google Scholar] [CrossRef]
- Dutta, B.; Babu, S.; Jared, B. Additive Manufacturing Technology. In Science, Technology and Applications of Metals in Additive Manufacturing; Elsevier: Amsterdam, The Netherlands, 2019; pp. 11–53. ISBN 978-0-12-816634-5. [Google Scholar]
- Armstrong, M.; Mehrabi, H.; Naveed, N. An Overview of Modern Metal Additive Manufacturing Technology. J. Manuf. Process. 2022, 84, 1001–1029. [Google Scholar] [CrossRef]
- Dass, A.; Moridi, A. State of the Art in Directed Energy Deposition: From Additive Manufacturing to Materials Design. Coatings 2019, 9, 418. [Google Scholar] [CrossRef]
- Dutta, B.; Froes, F.H. The Additive Manufacturing of Titanium Alloys. In Additive Manufacturing of Titanium Alloys; Elsevier: Amsterdam, The Netherlands, 2016; pp. 1–10. ISBN 978-0-12-804782-8. [Google Scholar]
- Wang, J.; Tang, L.; Xue, Y.; Zhao, Z.; Ye, Z.; Cao, W.; Zhu, J.; Jiang, F. Microstructure and Properties of (Diamond + TiC) Reinforced Ti6Al4V Titanium Matrix Composites Manufactured by Directed Energy Deposition. J. Mater. Res. Technol. 2024, 28, 3110–3120. [Google Scholar] [CrossRef]
- Carroll, B.E.; Palmer, T.A.; Beese, A.M. Anisotropic Tensile Behavior of Ti–6Al–4V Components Fabricated with Directed Energy Deposition Additive Manufacturing. Acta Mater. 2015, 87, 309–320. [Google Scholar] [CrossRef]
- Qiu, C.; Ravi, G.A.; Dance, C.; Ranson, A.; Dilworth, S.; Attallah, M.M. Fabrication of Large Ti–6Al–4V Structures by Direct Laser Deposition. J. Alloys Compd. 2015, 629, 351–361. [Google Scholar] [CrossRef]
- Razavi, N.; Bordonaro, G.; Ferro, P.; Torgersen, J.; Berto, F. Porosity Effect on Tensile Behavior of Ti-6Al-4V Specimens Produced by Laser Engineered Net Shaping Technology. Proc. Inst. Mech. Eng. Part C J. Mech. Eng. Sci. 2021, 235, 1930–1937. [Google Scholar] [CrossRef]
- Byun, Y.; Lee, S.; Seo, S.-M.; Yeom, J.; Kim, S.E.; Kang, N.; Hong, J. Effects of Cr and Fe Addition on Microstructure and Tensile Properties of Ti–6Al–4V Prepared by Direct Energy Deposition. Met. Mater. Int. 2018, 24, 1213–1220. [Google Scholar] [CrossRef]
- Svetlizky, D.; Das, M.; Zheng, B.; Vyatskikh, A.L.; Bose, S.; Bandyopadhyay, A.; Schoenung, J.M.; Lavernia, E.J.; Eliaz, N. Directed Energy Deposition (DED) Additive Manufacturing: Physical Characteristics, Defects, Challenges and Applications. Mater. Today 2021, 49, 271–295. [Google Scholar] [CrossRef]
- Ma, H.Y.; Wang, J.C.; Qin, P.; Liu, Y.J.; Chen, L.Y.; Wang, L.Q.; Zhang, L.C. Advances in Additively Manufactured Titanium Alloys by Powder Bed Fusion and Directed Energy Deposition: Microstructure, Defects, and Mechanical Behavior. J. Mater. Sci. Technol. 2024, 183, 32–62. [Google Scholar] [CrossRef]
- Oh, H.; Lee, J.; Kim, J.G.; Kim, S. Effect of Defects on Environment-Assisted Fracture (EAF) Behavior of Ti–6Al–4V Alloy Fabricated by Direct Energy Deposition (DED). J. Mater. Res. Technol. 2022, 20, 4365–4377. [Google Scholar] [CrossRef]
- Laleh, M.; Sadeghi, E.; Revilla, R.I.; Chao, Q.; Haghdadi, N.; Hughes, A.E.; Xu, W.; De Graeve, I.; Qian, M.; Gibson, I.; et al. Heat Treatment for Metal Additive Manufacturing. Prog. Mater. Sci. 2023, 133, 101051. [Google Scholar] [CrossRef]
- Mostafaei, A.; Zhao, C.; He, Y.; Reza Ghiaasiaan, S.; Shi, B.; Shao, S.; Shamsaei, N.; Wu, Z.; Kouraytem, N.; Sun, T.; et al. Defects and Anomalies in Powder Bed Fusion Metal Additive Manufacturing. Curr. Opin. Solid State Mater. Sci. 2022, 26, 100974. [Google Scholar] [CrossRef]
- Świetlicki, A.; Walczak, M.; Szala, M. Effect of Shot Peening on Corrosion Resistance of Additive Manufactured 17-4PH Steel. Mater. Sci. 2022, 40, 135–151. [Google Scholar] [CrossRef]
- Żebrowski, R.; Walczak, M.; Korga, A.; Iwan, M.; Szala, M. Effect of Shot Peening on the Mechanical Properties and Cytotoxicity Behaviour of Titanium Implants Produced by 3D Printing Technology. J. Healthc. Eng. 2019, 2019, 8169538. [Google Scholar] [CrossRef] [PubMed]
- Avcu, E.; Abakay, E.; Yıldıran Avcu, Y.; Çalım, E.; Gökalp, İ.; Iakovakis, E.; Koç, F.G.; Yamanoglu, R.; Akıncı, A.; Guney, M. Corrosion Behavior of Shot-Peened Ti6Al4V Alloy Produced via Pressure-Assisted Sintering. Coatings 2023, 13, 2036. [Google Scholar] [CrossRef]
- Żebrowski, R.; Walczak, M. Effect of the shot peening on surface properties and tribological performance of Ti-6Al-4V alloy produced by means of DMLS technology. Arch. Metall. Mater. 2019, 64, 377. [Google Scholar] [CrossRef]
- Ganesh, B.K.C.; Sha, W.; Ramanaiah, N.; Krishnaiah, A. Effect of Shotpeening on Sliding Wear and Tensile Behavior of Titanium Implant Alloys. Mater. Des. 2014, 56, 480–486. [Google Scholar] [CrossRef]
- Li, D.; Chen, H.N.; Xu, H. The Effect of Nanostructured Surface Layer on the Fatigue Behaviors of a Carbon Steel. Appl. Surf. Sci. 2009, 255, 3811–3816. [Google Scholar] [CrossRef]
- Lv, Y.; Lei, L.; Sun, L. Effect of Shot Peening on the Fatigue Resistance of Laser Surface Melted 20CrMnTi Steel Gear. Mater. Sci. Eng. A 2015, 629, 8–15. [Google Scholar] [CrossRef]
- Lv, Y.; Lei, L.; Sun, L. Influence of Different Combined Severe Shot Peening and Laser Surface Melting Treatments on the Fatigue Performance of 20CrMnTi Steel Gear. Mater. Sci. Eng. A 2016, 658, 77–85. [Google Scholar] [CrossRef]
- Azar, V.; Hashemi, B.; Rezaee Yazdi, M. The Effect of Shot Peening on Fatigue and Corrosion Behavior of 316L Stainless Steel in Ringer’s Solution. Surf. Coat. Technol. 2010, 204, 3546–3551. [Google Scholar] [CrossRef]
- Xie, B.; Gao, K. Research Progress of Surface Treatment Technologies on Titanium Alloys: A Mini Review. Coatings 2023, 13, 1486. [Google Scholar] [CrossRef]
- Xie, L.; Jiang, C.; Lu, W. The Influence of Shot Peening on the Surface Properties of (TiB+TiC)/Ti–6Al–4V. Appl. Surf. Sci. 2013, 280, 981–988. [Google Scholar] [CrossRef]
- Xie, L.; Jiang, C.; Lu, W.; Zhan, K.; Chen, Y. Investigation on the Residual Stress and Microstructure of (TiB+TiC)/Ti–6Al–4V Composite after Shot Peening. Mater. Sci. Eng. A 2011, 528, 3423–3427. [Google Scholar] [CrossRef]
- Petit-Renaud, F. Optimization of the Shot Peening Parameters. In Shot Peening; Wagner, L., Ed.; Wiley: Hoboken, NJ, USA, 2003; pp. 119–129. ISBN 978-3-527-60658-0. [Google Scholar]
- Żebrowski, R.; Walczak, M.; Klepka, T.; Pasierbiewicz, K. Effect of the Shot Peening on Surface Properties of Ti-6Al-4V Alloy Produced by Means of DMLS Technology. Eksploat. I Niezawodn. Maint. Reliab. 2019, 21, 46–53. [Google Scholar] [CrossRef]
- Żebrowski, R.; Walczak, M. The Effect of Shot Peening on the Corrosion Behaviour of Ti-6Al-4V Alloy Made by DMLS. Adv. Mater. Sci. 2018, 18, 43–54. [Google Scholar] [CrossRef]
- Ongtrakulkij, G.; Khantachawana, A.; Kondoh, K. Effects of Media Parameters on Enhance Ability of Hardness and Residual Stress of Ti6Al4V by Fine Shot Peening. Surf. Interfaces 2020, 18, 100424. [Google Scholar] [CrossRef]
- Jelliti, S.; Richard, C.; Retraint, D.; Roland, T.; Chemkhi, M.; Demangel, C. Effect of Surface Nanocrystallization on the Corrosion Behavior of Ti–6Al–4V Titanium Alloy. Surf. Coat. Technol. 2013, 224, 82–87. [Google Scholar] [CrossRef]
- Kameyama, Y.; Komotori, J. Effect of Micro Ploughing during Fine Particle Peening Process on the Microstructure of Metallic Materials. J. Mater. Process. Technol. 2009, 209, 6146–6155. [Google Scholar] [CrossRef]
- Yıldıran Avcu, Y.; Yetik, O.; Guney, M.; Iakovakis, E.; Sınmazçelik, T.; Avcu, E. Surface, Subsurface and Tribological Properties of Ti6Al4V Alloy Shot Peened under Different Parameters. Materials 2020, 13, 4363. [Google Scholar] [CrossRef]
- Faria, A.C.L.; Rodrigues, R.C.S.; Claro, A.P.R.A.; De Mattos, M.D.G.C.; Ribeiro, R.F. Wear Resistance of Experimental Titanium Alloys for Dental Applications. J. Mech. Behav. Biomed. Mater. 2011, 4, 1873–1879. [Google Scholar] [CrossRef]
- Airao, J.; Kishore, H.; Nirala, C.K. Comparative Analysis of Tool Wear in Micro-Milling of Wrought and Selective Laser Melted Ti6Al4V. Wear 2023, 523, 204788. [Google Scholar] [CrossRef]
- Saji, V.S.; Choe, H.-C. Electrochemical Behavior of Co-Cr and Ni-Cr Dental Cast Alloys. Trans. Nonferrous Met. Soc. China 2009, 19, 785–790. [Google Scholar] [CrossRef]
- Saji, V.S.; Choe, H.C. Preferential Dissolution Behaviour in Ni-Cr Dental Cast Alloy. Bull. Mater. Sci. 2010, 33, 463–468. [Google Scholar] [CrossRef]
- Coelho, L.B.; Kossman, S.; Mejias, A.; Noirfalise, X.; Montagne, A.; Van Gorp, A.; Poorteman, M.; Olivier, M.-G. Mechanical and Corrosion Characterization of Industrially Treated 316L Stainless Steel Surfaces. Surf. Coat. Technol. 2020, 382, 125175. [Google Scholar] [CrossRef]
- Ahmed, A.A.; Mhaede, M.; Wollmann, M.; Wagner, L. Effect of Micro Shot Peening on the Mechanical Properties and Corrosion Behavior of Two Microstructure Ti–6Al–4V Alloy. Appl. Surf. Sci. 2016, 363, 50–58. [Google Scholar] [CrossRef]
- Bagherifard, S.; Ghelichi, R.; Guagliano, M. Numerical and Experimental Analysis of Surface Roughness Generated by Shot Peening. Appl. Surf. Sci. 2012, 258, 6831–6840. [Google Scholar] [CrossRef]
- Balasubramanian, K.; Bragadeesvaran, S.R.; Ajay Adarsh, S.; Baranitharan, M.; Gokulakrishnan, K. Surface Properties of Ti-6Al-4V Alloy Treated by Plasma Ion Nitriding Process. Mater. Today Proc. 2021, 45, 957–961. [Google Scholar] [CrossRef]
- Dhakal, B.; Swaroop, S. Review: Laser Shock Peening as Post Welding Treatment Technique. J. Manuf. Process. 2018, 32, 721–733. [Google Scholar] [CrossRef]
- Olugbade, T.O.; Lu, J. Literature Review on the Mechanical Properties of Materials after Surface Mechanical Attrition Treatment (SMAT). Nano Mater. Sci. 2020, 2, 3–31. [Google Scholar] [CrossRef]
- Ghosh, S.; Bibhanshu, N.; Suwas, S.; Chatterjee, K. Surface Mechanical Attrition Treatment of Additively Manufactured 316L Stainless Steel Yields Gradient Nanostructure with Superior Strength and Ductility. Mater. Sci. Eng. A 2021, 820, 141540. [Google Scholar] [CrossRef]
- Eyzat, Y.; Chemkhi, M.; Portella, Q.; Gardan, J.; Remond, J.; Retraint, D. Characterization and Mechanical Properties of As-Built SLM Ti-6Al-4V Subjected to Surface Mechanical Post-Treatment. Procedia CIRP 2019, 81, 1225–1229. [Google Scholar] [CrossRef]
- Yi, R.; Ji, J.; Zhan, Z.; Deng, H. Mechanism Study of Electropolishing from the Perspective of Etching Isotropy. J. Mater. Process. Technol. 2022, 305, 117599. [Google Scholar] [CrossRef]
- Landolt, D. Fundamental Aspects of Electropolishing. Electrochim. Acta 1987, 32, 1–11. [Google Scholar] [CrossRef]
- Datta, M.; Landolt, D. Fundamental Aspects and Applications of Electrochemical Microfabrication. Electrochim. Acta 2000, 45, 2535–2558. [Google Scholar] [CrossRef]
- Saito, K. Development of Electropolishing Technology for Superconducting Cavities. In Proceedings of the 2003 Bipolar/BiCMOS Circuits and Technology Meeting, Portland, OR, USA, 12–16 May 2003; pp. 462–466. [Google Scholar]
- Hensel, K.B. Electropolishing. Met. Finish. 1999, 97, 440–448. [Google Scholar] [CrossRef]
- Wynick, G.L.; Boehlert, C.J. Use of Electropolishing for Enhanced Metallic Specimen Preparation for Electron Backscatter Diffraction Analysis. Mater. Charact. 2005, 55, 190–202. [Google Scholar] [CrossRef]
- Wang, Y.; Wei, X.; Li, Z.; Jing, X.; Gong, Z.; Liu, C. Surface Performance and Optimization of Nickel Titanium Alloy Electropolishing Parameters. Int. J. Electrochem. Sci. 2021, 16, 210745. [Google Scholar] [CrossRef]
- Yang, G.; Wang, B.; Tawfiq, K.; Wei, H.; Zhou, S.; Chen, G. Electropolishing of Surfaces: Theory and Applications. Surf. Eng. 2017, 33, 149–166. [Google Scholar] [CrossRef]
- Zhang, Y.; Jianzhong, L.I.; Che, S. Electropolishing Mechanism of Ti-6Al-4V Alloy Fabricated by Selective Laser Melting. Int. J. Electrochem. Sci. 2018, 13, 4792–4807. [Google Scholar] [CrossRef]
- Mathieu, J.B.; Landolt, D. Electropolishing of Titanium in Perchloric Acid-Acetic Acid Solution: II. Polarization Behavior and Stoichiometry. J. Electrochem. Soc. 1978, 125, 1044–1049. [Google Scholar] [CrossRef]
- Peighambardoust, N.-S.; Nasirpouri, F. Electropolishing Behaviour of Pure Titanium in Perchloric Acid–Methanol–Ethylene Glycol Mixed Solution. Trans. IMF 2014, 92, 132–139. [Google Scholar] [CrossRef]
- Piotrowski, O.; Madore, C.; Landolt, D. The Mechanism of Electropolishing of Titanium in Methanol-Sulfuric Acid Electrolytes. J. Electrochem. Soc. 1998, 145, 2362–2369. [Google Scholar] [CrossRef]
- Kim, D.; Son, K.; Sung, D.; Kim, Y.; Chung, W. Effect of Added Ethanol in Ethylene Glycol–NaCl Electrolyte on Titanium Electropolishing. Corros. Sci. 2015, 98, 494–499. [Google Scholar] [CrossRef]
- Smith, E.L.; Abbott, A.P.; Ryder, K.S. Deep Eutectic Solvents (DESs) and Their Applications. Chem. Rev. 2014, 114, 11060–11082. [Google Scholar] [CrossRef] [PubMed]
- Holze, R. Electrodeposition from Ionic Liquids; F. Endres, A.P. Abbott, and D. R. MacFarlane (Eds). WILEY-VCH, Weinheim, 2008. J. Solid State Electrochem. 2009, 13, 1633–1634. [Google Scholar] [CrossRef]
- Jhong, Y.-T.; Chao, C.-Y.; Hung, W.-C.; Du, J.-K. Effects of Various Polishing Techniques on the Surface Characteristics of the Ti-6Al-4V Alloy and on Bacterial Adhesion. Coatings 2020, 10, 1057. [Google Scholar] [CrossRef]
- Han, X.; Ma, J.; Tian, A.; Wang, Y.; Li, Y.; Dong, B.; Tong, X.; Ma, X. Surface Modification Techniques of Titanium and Titanium Alloys for Biomedical Orthopaedics Applications: A Review. Colloids Surf. B Biointerfaces 2023, 227, 113339. [Google Scholar] [CrossRef]
- Kityk, A.; Švec, P.; Šoltys, J.; Pavlik, V.; Hnatko, M. Deep inside of the Mechanism of Electrochemical Surface Etching of α + β Ti6Al4V Alloy in Room-Temperature Deep Eutectic Solvent Ethaline. J. Mol. Liq. 2023, 375, 121316. [Google Scholar] [CrossRef]
- Antonini, L.M.; Mielczarski, R.G.; Pigatto, C.; Müller, I.L.; Malfatti, C.D.F. The Influence of the Operating Parameters of Titanium Electropolishing to Obtain Nanostructured Titanium Surfaces. Mater. Sci. Forum 2012, 727, 1638–1642. [Google Scholar] [CrossRef]
- Guo, P.; Zhao, Y.; Zeng, W.; Hong, Q. The Effect of Microstructure on the Mechanical Properties of TC4-DT Titanium Alloys. Mater. Sci. Eng. A 2013, 563, 106–111. [Google Scholar] [CrossRef]
- Velmurugan, C.; Senthilkumar, V.; Sarala, S.; Arivarasan, J. Low Temperature Diffusion Bonding of Ti-6Al-4V and Duplex Stainless Steel. J. Mater. Process. Technol. 2016, 234, 272–279. [Google Scholar] [CrossRef]
- Zammit, A.; Bonnici, M.; Mhaede, M.; Wan, R.; Wagner, L. Shot Peening of Austempered Ductile Iron Gears. Surf. Eng. 2017, 33, 679–686. [Google Scholar] [CrossRef]
- Avsec, K.; Jenko, M.; Conradi, M.; Kocijan, A.; Vesel, A.; Kovač, J.; Godec, M.; Belič, I.; Šetina Batič, B.; Donik, Č.; et al. Surface Properties of Retrieved Cementless Femoral Hip Endoprostheses Produced from a Ti6Al7Nb Alloy. Coatings 2019, 9, 868. [Google Scholar] [CrossRef]
- Lopez-Ruiz, P.; Garcia-Blanco, M.B.; Vara, G.; Fernández-Pariente, I.; Guagliano, M.; Bagherifard, S. Obtaining Tailored Surface Characteristics by Combining Shot Peening and Electropolishing on 316L Stainless Steel. Appl. Surf. Sci. 2019, 492, 1–7. [Google Scholar] [CrossRef]
- Kiel, M.; Szewczenko, J.; Marciniak, J.; Nowińska, K. Electrochemical Properties of Ti-6Al-4V ELI Alloy after Anodization. In Information Technologies in Biomedicine; Piętka, E., Kawa, J., Eds.; Lecture Notes in Computer Science; Springer: Berlin/Heidelberg, Germany, 2012; Volume 7339, pp. 369–378. ISBN 978-3-642-31195-6. [Google Scholar]
- Kiel-Jamrozik, M.; Szewczenko, J.; Basiaga, M.; Nowińska, K. Technological Capabilities of Surface Layers Formation on Implant Made of Ti-6Al-4V Eli Alloy. Acta Bioeng. Biomech. 2015, 17, 31–37. [Google Scholar] [CrossRef] [PubMed]
- Pochrząst, M.; Marciniak, J.; Szewczenko, J.; Walke, W. Application of Electrochemical Impedance Spectroscopy for Comparison Analysis of Surface Modified Ti-6Al-4V ELI and Ti-6Al-7Nb Alloys. In Information Technologies in Biomedicine; Piętka, E., Kawa, J., Eds.; Lecture Notes in Computer Science; Springer: Berlin/Heidelberg, Germany, 2012; Volume 7339, pp. 379–388. ISBN 978-3-642-31195-6. [Google Scholar]
- Szewczenko, J.; Walke, W.; Nowinska, K.; Marciniak, J. Corrosion Resistance of Ti-6Al-4V Alloy after Diverse Surface Treatments. Mater. Werkst 2010, 41, 360–371. [Google Scholar] [CrossRef]



















| Property | Natural Human Bone | Ti6Al4V Alloy (Wrought) | 316L Stainless Steel (Cast) | F75CoCrMo Alloy (Cast) |
|---|---|---|---|---|
| Density (g/cm3) | 1.5–2 | 4.4 | 8.0 | 8.8 |
| Tensile modulus of elasticity (GPa) | - | 830–1070 | 205 | 500–1500 |
| Yield strength (MPa) | 130–190 | 920–1140 | 515 | 900–1800 |
| Ultimate tensile strength (MPa) | 10–30 | 100–110 | 195–205 | 200–230 |
| Elongation (%) | - | 10–15 | 10–40 | 4–13 |
| Al | V | Fe | O | C | Ti | Others |
|---|---|---|---|---|---|---|
| 5–6.75 | 3.5–4.5 | ≤0.25 | 0.14–0.16 | ≤0.02 | Bal. | 0.4 |
| Phase Transformation Region | Temperature Range (°C) | Microstructure in Various Cooling Media | ||
|---|---|---|---|---|
| Water | Air | Furnace | ||
| α + β | 700–950 | A mixture of α and β structures, with more volume of α structures | Primary α, with grains having α + β lamellar structure | Primary α phase with intergranular β phase observed for all temperatures α phase on the phase boundary and a transition from β to α on the grain boundary. The grains were observed to have α/β lamellar structure |
| β | 950–1100 | Martensite microstructure consists of a fine acicular α phase with grain boundaries consisting of β phase | Partial martensitic microstructure, there exists an incomplete transition from β to α phase on grain boundaries | |
| AM Technology | Specimen Orientation and Ref. | Mechanical Properties | |||||
|---|---|---|---|---|---|---|---|
| E [MPa] | Microhardness | YS [MPa] | UTS [MPa] | A [%] | |||
| DED | XZ | [46] | - | - | 522 | 797 | 1.7 |
| XY | [46] | - | - | 892 | 911 | 6.4 | |
| XZ | [30] | - | - | 945 | 1041 | 14.5 | |
| XZ | [30] | - | - | 970 | 1087 | 13.6 | |
| XY | [47] | - | - | 960 | 1063 | 10.9 | |
| SLM | XZ | [48] | 115 | - | 978 | 1143 | 11.8 |
| ZX | [48] | 119 | - | 967 | 1117 | 8.9 | |
| XY | [48] | 113 | - | 1075 | 1199 | 7.6 | |
| XY | [49] | - | 394 HV | 1052 | 1136 | 2.92 | |
| XY | [50] | - | 370 HV0.3 | 1273 | 1421 | 3.2 | |
| XZ | [50] | - | 390 HV0.3 | 1150 | 1246 | 1.4 | |
| XY | [51] | - | 350 HV | - | 1137 | 9.10 | |
| EBM | XY | [52] | 118 | 321 HV | 830 | 915 | 13.1 |
| XY | [53] | 114 | 35 HRC | 830 | 914 | 13.1 | |
| XY | [50] | - | 315 HV0.3 | 846 | 976 | 15.0 | |
| XZ | [50] | - | 340 HV0.3 | 845 | 972 | 14.2 | |
| ZX | [54] | - | - | 869 | 965 | - | |
| DMLS | ZX | [54] | - | 380 HV | 1017 | 1096 | 16 |
| ZX | [55] | 111.9 | 871 HV10 | 1086 | 1121 | 16.9 | |
| XY | [56] | 110 | 400–430 HV | 1140 | 1290 | 7 | |
| XY | [57] | - | - | 990 | 1045 | 14 | |
| ZX | [58] | 108.0 | - | 982 | 1080 | 14.3 | |
| XZ | [58] | 108.7 | - | 980 | 1072 | 14.1 | |
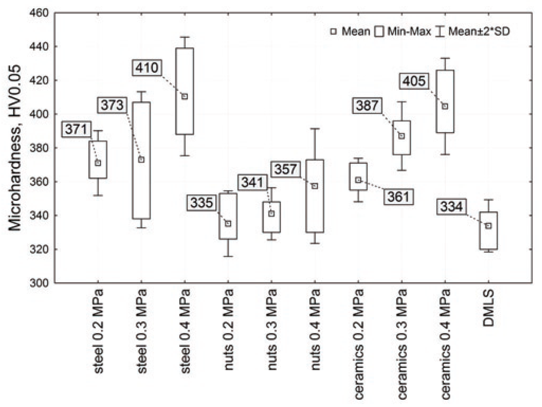
| Name of Shot Peening Medium (Type of Medium) | ||||
|---|---|---|---|---|
| Untreated | SUS100 (SUS304) | SUS400 (SUS304) | FHB 80 (SiO2) | |
| Peening pressure | - | 0.5 MPa | ||
| Hardness | 371 HV | 420 HV | 440 HV | 470 HV |
| Conditions | Rs (Ωcm2) | R1 (Ωcm2) | CPE1 | ||
|---|---|---|---|---|---|
| Y1 (S/cm2) | N1 | ||||
| Untreated | 27.79 | 898.02 × 101 | 25.87 × 10−6 | 0.89 | |
| Steel CrNi | 0.2 MPa | 31.45 | 1278.40 × 102 | 102.20 × 10−6 | 0.84 |
| 0.3 MPa | 29.59 | 1010.44 × 101 | 128.01 × 10−6 | 0.82 | |
| 0.4 MPa | 29.11 | 528.75 × 101 | 26.26 × 10−6 | 0.91 | |
| Nuts | 0.2 MPa | 30.21 | 925.98 × 101 | 30.71 × 10−6 | 0.88 |
| 0.3 MPa | 32.38 | 555.34 × 101 | 33.00 × 10−6 | 0.88 | |
| 0.4 MPa | 32.69 | 539.05 × 101 | 33.44 × 10−6 | 0.88 | |
| Ceramic Beads | 0.2 MPa | 32.02 | 4970.23 × 103 | 95.53 × 10−6 | 0.77 |
| 0.3 MPa | 32.31 | 1096.42 × 103 | 119.57 × 10−6 | 0.81 | |
| 0.4 MPa | 25.32 | 3120.03 × 101 | 83.06 × 10−6 | 0.82 | |
| Conditions | Current Density, Icorr (mA/cm2) | Potential, Ecorr (mV) | Polarization Resistance Rp (kΩcm2) | |
|---|---|---|---|---|
| Untreated | 0.064 | −318.6 | 2291 | |
| Untreated mechanically polished | 0.067 | −141.1 | 328.5 | |
| Cr-Ni Steel Shots | 0.2 MPa | 0.421 | −173.5 | 210.5 |
| 0.3 MPa | 0.561 | −207.4 | 138.8 | |
| 0.4 MPa | 0.682 | −337.1 | 81.2 | |
| Nuts | 0.2 MPa | 0.124 | −106.6 | 346.5 |
| 0.3 MPa | 0.275 | −228.5 | 367.4 | |
| 0.4 MPa | 1.469 | −279.2 | 349.5 | |
| Ceramic Beads | 0.2 MPa | 0.026 | −123.8 | 170.8 |
| 0.3 MPa | 0.045 | −151.4 | 206.2 | |
| 0.4 MPa | 0.063 | −174.3 | 432.8 | |
| Substrate: Ti6Al4V | Coating | |||||
|---|---|---|---|---|---|---|
| - | AlTiN | TiAlN | ||||
| DMLS | Conv. | DMLS | Conv. | DMLS | Conv. | |
| Sa [µm] | 0.014 | 0.040 | 0.027 | 0.038 | 0.028 | 0.053 |
| HIT | 5.7 ± 0.2 | 4.8 ± 0.4 | 25.0 ± 4.6 | 26.1 ± 4.3 | 23.6 ± 3.4 | 23.2 ± 3.3 |
| EIT | 137.0 ± 4.1 | 114.5 ± 4.7 | 518.7 ± 129.1 | 559.2 ± 117.3 | 411.4 ± 45.8 | 503.5 ± 99.4 |
| Hcoating/Ecoating | - | - | 0.048 | 0.047 | 0.057 | 0.046 |
| H3coating/E2coating | - | - | 0.059 | 0.057 | 0.078 | 0.049 |
| Ecoating/Esubstrate | - | - | 3.79 | 4.88 | 3.00 | 4.40 |
| Substrate: Ti6Al4V | Coating: TiN (Top); Ti2N (Bottom) | ||
|---|---|---|---|
| Average Hardness Value [VHN] | Ra [µm] | Wear [µm] | |
| Non-nitrided specimen | 311 | 0.225 | 493 |
| Plasma nitrided specimen | 364 | 0.195 | 355 |
| Sample Treatment | Hardness [HV] | YS (MPa) | UTS (MPa) |
|---|---|---|---|
| Untreated | 345 | 888 | 1074 |
| Heat treatment | 370 | 903 | 1032 |
| SMAT | 380 | 973 | 1134 |
| Heat treatment and SMAT | 420 | 1016 | 1152 |
| Sample Treatment | Icorr (mA/cm2) | Ecorr (mV) | Rs (Ω) |
|---|---|---|---|
| Untreated | −330 | 0.052 | 13.83 |
| SMAT (T = 15 min. Bead Diameter = 2 mm) | −275 | 0.035 | 38.82 |
| SMAT (T = 20 min. Bead Diameter = 3 mm) | −235 | 0.022 | 19.96 |
| Conditions | Ref | Current Density of Treatment (mA·cm−2) | Time [Min] | Temperature [°C] | Ra (nm) |
|---|---|---|---|---|---|
| Untreated | [153] | - | - | - | 321 |
| Electrochemical etching (Ethaline) | [153] | 5 | 20 | 25 | 651 |
| 10 | 967 | ||||
| 15 | 504 | ||||
| Grinding, electrochemical polishing (sulfuric acid solution) | [154] | 190 | 8 | 7 | 7.4 |
| 18 | 6.1 | ||||
| 25 | 6.4 |
| Roughness | Microstructure in Various Cooling Media | |||||
|---|---|---|---|---|---|---|
| Untreated | Electropolishing 100 s | Electropolishing 200 s | Electropolishing 300 s | Mechanical #1000SiC | Mechanical #1500SiC | |
| Micro [nm] | 120.05 ± 7.89 | 58.72 ± 3.68 | 12.63 ± 0.81 | 10.33 ± 1.14 | 98.30 ± 3.79 | 86.42 ± 2.05 |
| Macro [µm] | 2.34 ± 0.07 | 1.68 ± 0.02 | 0.75 ± 0.05 | 0.68 ± 0.03 | 2.04 ± 0.03 | 1.82 ± 0.09 |
| Sample No. | 0 | 1 | 2 | 3 | 4 |
|---|---|---|---|---|---|
| Polishing time (min.) | untreated | 5 | 10 | 15 | 20 |
| Weight loss [%] | - | 5.98 | 10.82 | 14.76 | 16.29 |
| Ra [µm] | 6.33 | 2.01 | 1.63 | 1.132 | 1.72 |
| RL (Ω·cm2) | - | 20.69 | 16.44 | 21.49 | 23.29 |
| Qc (F·cm−2) | - | 2.016 × 10−2 | 2.507 × 10−5 | 5.625 × 10−5 | 4.656 × 10−5 |
| Rc (Ω·cm2) | - | 758.40 | 8.56 | 12.72 | 23.26 |
| Qd (F·cm−2) | - | - | 2.663 × 10−6 | 3.724 × 10−6 | 2.051 × 10−6 |
| Rt (Ω·cm2) | - | - | −7.152 × 105 | 1.014 × 106 | 5.128 × 105 |
| Chi-squared (X2) | - | 2.02 × 10−3 | 1.48 × 10−3 | 7.97 × 10−3 | 1.59 × 10−3 |
| Surface Treatment Processes | Ref. | Ecorr [mV] | Icorr [µA·cm−2] | Rp [kΩ·cm2] |
|---|---|---|---|---|
| Grinding | [160] | −95 | 0.050 | 557 |
| Grinding, shot peening, mechanical polishing, sandblasting | [161] | −168 | 0.090 | 278 |
| Grinding, shot peening, mechanical polishing, sandblasting, electropolishing | [161] | −450 | 0.040 | 720 |
| Shot peening, sandblasting | [163] | −266 | 0.047 | 551 |
| Shot peening, electropolishing | [163] | −95 | 0.053 | 489 |
| Shot peening, mechanical polishing, electropolishing | [163] | −172 | 0.069 | 377 |
Disclaimer/Publisher’s Note: The statements, opinions and data contained in all publications are solely those of the individual author(s) and contributor(s) and not of MDPI and/or the editor(s). MDPI and/or the editor(s) disclaim responsibility for any injury to people or property resulting from any ideas, methods, instructions or products referred to in the content. |
© 2024 by the authors. Licensee MDPI, Basel, Switzerland. This article is an open access article distributed under the terms and conditions of the Creative Commons Attribution (CC BY) license (https://creativecommons.org/licenses/by/4.0/).
Share and Cite
Okuniewski, W.; Walczak, M.; Szala, M. Effects of Shot Peening and Electropolishing Treatment on the Properties of Additively and Conventionally Manufactured Ti6Al4V Alloy: A Review. Materials 2024, 17, 934. https://doi.org/10.3390/ma17040934
Okuniewski W, Walczak M, Szala M. Effects of Shot Peening and Electropolishing Treatment on the Properties of Additively and Conventionally Manufactured Ti6Al4V Alloy: A Review. Materials. 2024; 17(4):934. https://doi.org/10.3390/ma17040934
Chicago/Turabian StyleOkuniewski, Wojciech, Mariusz Walczak, and Mirosław Szala. 2024. "Effects of Shot Peening and Electropolishing Treatment on the Properties of Additively and Conventionally Manufactured Ti6Al4V Alloy: A Review" Materials 17, no. 4: 934. https://doi.org/10.3390/ma17040934
APA StyleOkuniewski, W., Walczak, M., & Szala, M. (2024). Effects of Shot Peening and Electropolishing Treatment on the Properties of Additively and Conventionally Manufactured Ti6Al4V Alloy: A Review. Materials, 17(4), 934. https://doi.org/10.3390/ma17040934

