A PEGylated PVDF Antifouling Membrane Prepared by Grafting of Methoxypolyethylene Glycol Acrylate in Gama-Irradiated Homogeneous Solution
Abstract
1. Introduction
2. Materials and Methods
2.1. Materials
2.2. Synthesis of Graft Copolymer
2.3. FTIR Characterization
2.4. Phase Diagram Drawing
2.5. Rotational Viscosity
2.6. Membrane Preparation
2.7. Water Contact Angle Measurements
2.8. SEM Analysis
2.9. Filtration Experiment
2.10. Anti-Fouling Evaluation
3. Results and Discussions
3.1. Kinetics of the Grafted Polymer
3.2. FT-IR Spectroscopy of Grafted Copolymers
3.3. Ternary Phase Diagram
3.4. Rotational Viscosity Test
3.5. Water Contact Angle Test
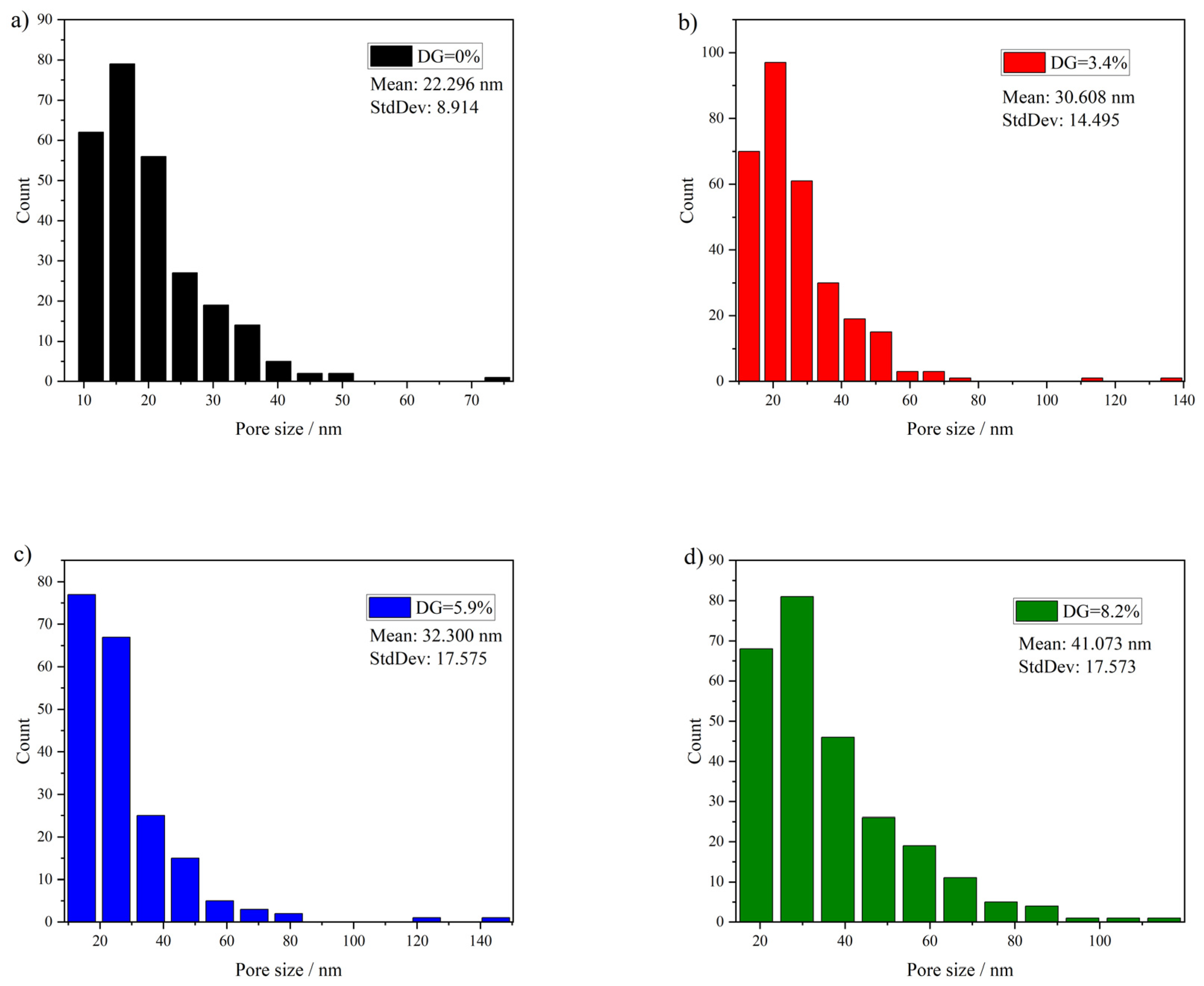
3.6. Membrane Morphology Characterization
3.7. Membrane Filtration Performance
3.8. Anti-Fouling Evaluation
4. Conclusions
Author Contributions
Funding
Institutional Review Board Statement
Informed Consent Statement
Data Availability Statement
Conflicts of Interest
References
- Liao, Z.; Zhu, J.; Li, X.; Van Der Bruggen, B. Regulating Composition and Structure of Nanofillers in Thin Film Nanocomposite (TFN) Membranes for Enhanced Separation Performance: A Critical Review. Sep. Purif. Technol. 2021, 266, 118567. [Google Scholar] [CrossRef]
- Zhao, S.; Liao, Z.; Fane, A.; Li, J.; Tang, C.; Zheng, C.; Lin, J.; Kong, L. Engineering Antifouling Reverse Osmosis Membranes: A Review. Desalination 2021, 499, 114857. [Google Scholar] [CrossRef]
- Li, X.; Sotto, A.; Li, J.; Van Der Bruggen, B. Progress and Perspectives for Synthesis of Sustainable Antifouling Composite Membranes Containing in Situ Generated Nanoparticles. J. Membr. Sci. 2017, 524, 502–528. [Google Scholar] [CrossRef]
- Xue, W.; Jian, M.; Lin, T.; Ma, B.; Wu, R.; Li, X. A Novel Strategy to Alleviate Ultrafiltration Membrane Fouling by Rotating Membrane Module. Chemosphere 2020, 260, 127535. [Google Scholar] [CrossRef] [PubMed]
- Yang, J.; Monnot, M.; Eljaddi, T.; Ercolei, L.; Simonian, L.; Moulin, P. Ultrafiltration as Tertiary Treatment for Municipal Wastewater Reuse. Sep. Purif. Technol. 2021, 272, 118921. [Google Scholar] [CrossRef]
- Dmitrenko, M.; Kuzminova, A.; Zolotarev, A.; Markelov, D.; Komolkin, A.; Loginova, E.; Plisko, T.; Burts, K.; Bildyukevich, A.; Penkova, A. Modification Strategies of Polyacrylonitrile Ultrafiltration Membrane Using TiO2 for Enhanced Antifouling Performance in Water Treatment. Sep. Purif. Technol. 2022, 286, 120500. [Google Scholar] [CrossRef]
- Ahmad, T.; Guria, C.; Mandal, A. A Review of Oily Wastewater Treatment Using Ultrafiltration Membrane: A Parametric Study to Enhance the Membrane Performance. J. Water Process Eng. 2020, 36, 101289. [Google Scholar] [CrossRef]
- Desiriani, R.; Susanto, H.; Istirokhatun, T.; Lin, Y.; Aryanti, N.; Abriyanto, H.; Saputra, H.; Matsuyama, H. Preparation of Polyethersulfone Ultrafiltration Membrane Coated Natural Additives toward Antifouling and Antimicrobial Agents for Surface Water Filtration. J. Environ. Chem. Eng. 2024, 12, 111797. [Google Scholar] [CrossRef]
- Qin, Q.; Hou, Z.; Lu, X.; Bian, X.; Chen, L.; Shen, L.; Wang, S. Microfiltration Membranes Prepared from Poly(N-Vinyl-2-Pyrrolidone) Grafted Poly(Vinylidene Fluoride) Synthesized by Simultaneous Irradiation. J. Membr. Sci. 2013, 427, 303–310. [Google Scholar] [CrossRef]
- Chen, L.; Hou, Z.; Lu, X.; Chen, P.; Liu, Z.; Shen, L.; Bian, X.; Qin, Q. Antifouling Microfiltration Membranes Prepared from Poly(Vinylidene Fluoride)-Graft-Poly(N-Vinyl Pyrrolidone) Powders Synthesized via Pre-Irradiation Induced Graft Polymerization. J. Appl. Polym. Sci. 2013, 128, 3949–3956. [Google Scholar] [CrossRef]
- Valizadeh, K.; Heydarinasab, A.; Hosseini, S.S.; Bazgir, S. Preparation of Modified Membrane of Polyvinylidene Fluoride (PVDF) and Evaluation of Anti-Fouling Features and High Capability in Water/Oil Emulsion Separation. J. Taiwan Inst. Chem. Eng. 2021, 126, 36–49. [Google Scholar] [CrossRef]
- Salahshoori, I.; Mohseni, A.; Namayandeh Jorabchi, M.; Ghasemi, S.; Afshar, M.; Wohlrab, S. Study of Modified PVDF Membranes with High-Capacity Adsorption Features Using Quantum Mechanics, Monte Carlo, and Molecular Dynamics Simulations. J. Mol. Liq. 2023, 375, 121286. [Google Scholar] [CrossRef]
- Liu, F.; Hashim, N.A.; Liu, Y.; Abed, M.R.M.; Li, K. Progress in the Production and Modification of PVDF Membranes. J. Membr. Sci. 2011, 375, 1–27. [Google Scholar] [CrossRef]
- Kang, G.; Cao, Y. Application and Modification of Poly(Vinylidene Fluoride) (PVDF) Membranes—A Review. J. Membr. Sci. 2014, 463, 145–165. [Google Scholar] [CrossRef]
- Xu, C.; Huang, W.; Lu, X.; Yan, D.; Chen, S.; Huang, H. Preparation of PVDF Porous Membranes by Using PVDF-g-PVP Powder as an Additive and Their Antifouling Property. Radiat. Phys. Chem. 2012, 81, 1763–1769. [Google Scholar] [CrossRef]
- Lowe, S.; O’Brien-Simpson, N.M.; Connal, L.A. Antibiofouling Polymer Interfaces: Poly(Ethylene Glycol) and Other Promising Candidates. Polym. Chem. 2015, 6, 198–212. [Google Scholar] [CrossRef]
- Knop, K.; Hoogenboom, R.; Fischer, D.; Schubert, U.S. Poly(Ethylene Glycol) in Drug Delivery: Pros and Cons as Well as Potential Alternatives. Angew. Chem. Int. Ed. 2010, 49, 6288–6308. [Google Scholar] [CrossRef]
- Lee, J.H.; Kopecek, J.; Andrade, J.D. Protein-Resistant Surfaces Prepared by PEO-Containing Block Copolymer Surfactants. J. Biomed. Mater. Res. 1989, 23, 351–368. [Google Scholar] [CrossRef]
- Cai, L.; Wang, K.; Wang, S. Poly(Ethylene Glycol)-Grafted Poly(Propylene Fumarate) Networks and Parabolic Dependence of MC3T3 Cell Behavior on the Network Composition. Biomaterials 2010, 31, 4457–4466. [Google Scholar] [CrossRef]
- Ma, N.; Cao, J.; Li, H.; Zhang, Y.; Wang, H.; Meng, J. Surface Grafting of Zwitterionic and PEGylated Cross-Linked Polymers toward PVDF Membranes with Ultralow Protein Adsorption. Polymer 2019, 167, 1–12. [Google Scholar] [CrossRef]
- Valizadeh, K.; Heydarinasab, A.; Hosseini, S.S.; Bazgir, S. Fabrication of Modified PVDF Membrane in the Presence of PVI Polymer and Evaluation of Its Performance in the Filtration Process. J. Ind. Eng. Chem. 2022, 106, 411–428. [Google Scholar] [CrossRef]
- Ahmad, T.; Guria, C. Progress in the Modification of Polyvinyl Chloride (PVC) Membranes: A Performance Review for Wastewater Treatment. J. Water Process Eng. 2022, 45, 102466. [Google Scholar] [CrossRef]
- Alipoor, Z.; Mousavi, S.M.; Saljoughi, E.; Karkhanechi, H. Toward Fabrication of Fouling Resistant Pervaporation Membrane for Desalination: Surface Modification of TFC Membrane via Grafting of mPEG-NH2. Desalination 2023, 567, 116970. [Google Scholar] [CrossRef]
- Fan, K.; Huang, J.; Yang, H.; Lu, R.; Sun, X.; Hu, J.; Hou, Z. pH and Thermal-Dependent Ultrafiltration Membranes Prepared from Poly (Methacrylic Acid) Grafted onto Polyethersulfone Synthesized by Simultaneous Irradiation in Homogenous Phase. J. Membr. Sci. 2017, 543, 335–341. [Google Scholar] [CrossRef]
- Deng, B.; Yang, X.; Xie, L.; Li, J.; Hou, Z.; Yao, S.; Liang, G.; Sheng, K.; Huang, Q. Microfiltration Membranes with pH Dependent Property Prepared from Poly(Methacrylic Acid) Grafted Polyethersulfone Powder. J. Membr. Sci. 2009, 330, 363–368. [Google Scholar] [CrossRef]
- Fan, K.; Su, J.; Zeng, Z.; Hu, J.; Yang, H.; Hou, Z. Anti-Fouling and Protein Separation of PVDF-g-PMAA@MnO2 Filtration Membrane with in-Situ Grown MnO2 Nanorods. Chemosphere 2022, 286, 131756. [Google Scholar] [CrossRef]
- Deng, B.; Li, J.; Hou, Z.; Yao, S.; Shi, L.; Liang, G.; Sheng, K. Microfiltration Membranes Prepared from Polyethersulfone Powder Grafted with Acrylic Acid by Simultaneous Irradiation and Their pH Dependence. Radiat. Phys. Chem. 2008, 77, 898–906. [Google Scholar] [CrossRef]
- Lou, D.; Hou, Z.; Yang, H.; Liu, Y.; Wang, T. Antifouling Membranes Prepared from Polyethersulfone Grafted with Poly(Ethylene Glycol) Methacrylate by Radiation-Induced Copolymerization in Homogeneous Solution. ACS Omega 2020, 5, 27094–27102. [Google Scholar] [CrossRef]
- Wang, J.J.; Liu, F. Imparting Antifouling Properties of Silicone Hydrogels by Grafting Poly(Ethylene Glycol) Methyl Ether Acrylate Initiated by UV Light. J. Appl. Polym. Sci. 2012, 125, 548–554. [Google Scholar] [CrossRef]
- Bozukova, D.; Pagnoulle, C.; De Pauw-Gillet, M.-C.; Ruth, N.; Jérôme, R.; Jérôme, C. Imparting Antifouling Properties of Poly(2-Hydroxyethyl Methacrylate) Hydrogels by Grafting Poly(Oligoethylene Glycol Methyl Ether Acrylate). Langmuir 2008, 24, 6649–6658. [Google Scholar] [CrossRef]
- Asatekin, A.; Kang, S.; Elimelech, M.; Mayes, A.M. Anti-Fouling Ultrafiltration Membranes Containing Polyacrylonitrile-Graft-Poly(Ethylene Oxide) Comb Copolymer Additives. J. Membr. Sci. 2007, 298, 136–146. [Google Scholar] [CrossRef]
- Barroso, T.; Temtem, M.; Casimiro, T.; Aguiar-Ricardo, A. Antifouling Performance of Poly(Acrylonitrile)-Based Membranes: From Green Synthesis to Application. J. Supercrit. Fluids 2011, 56, 312–321. [Google Scholar] [CrossRef]
- Sinha, M.K.; Purkait, M.K. Increase in Hydrophilicity of Polysulfone Membrane Using Polyethylene Glycol Methyl Ether. J. Membr. Sci. 2013, 437, 7–16. [Google Scholar] [CrossRef]
- Saini, B.; Sinha, M.K. Effect of Hydrophilic Poly(Ethylene Glycol) Methyl Ether Additive on the Structure, Morphology, and Performance of Polysulfone Flat Sheet Ultrafiltration Membrane. J. Appl. Polym. Sci. 2019, 136, 47163. [Google Scholar] [CrossRef]
- Huang, J.; Xue, J.; Xiang, K.; Zhang, X.; Cheng, C.; Sun, S.; Zhao, C. Surface Modification of Polyethersulfone Membranes by Blending Triblock Copolymers of Methoxyl Poly(Ethylene Glycol)–Polyurethane–Methoxyl Poly(Ethylene Glycol). Colloids Surf. B Biointerfaces 2011, 88, 315–324. [Google Scholar] [CrossRef]
- Singh, R.; Purkait, M.K. Evaluation of mPEG Effect on the Hydrophilicity and Antifouling Nature of the PVDF-Co-HFP Flat Sheet Polymeric Membranes for Humic Acid Removal. J. Water Process Eng. 2016, 14, 9–18. [Google Scholar] [CrossRef]
- Chang, Y.; Shih, Y.-J.; Ruaan, R.-C.; Higuchi, A.; Chen, W.-Y.; Lai, J.-Y. Preparation of Poly(Vinylidene Fluoride) Microfiltration Membrane with Uniform Surface-Copolymerized Poly(Ethylene Glycol) Methacrylate and Improvement of Blood Compatibility. J. Membr. Sci. 2008, 309, 165–174. [Google Scholar] [CrossRef]
- Wang, P.; Tan, K.L.; Kang, E.T.; Neoh, K.G. Synthesis, Characterization and Anti-Fouling Properties of Poly(Ethylene Glycol) Grafted Poly(Vinylidene Fluoride) Copolymer Membranes. J. Mater. Chem. 2001, 11, 783–789. [Google Scholar] [CrossRef]
- Chang, Y.; Ko, C.-Y.; Shih, Y.-J.; Quémener, D.; Deratani, A.; Wei, T.-C.; Wang, D.-M.; Lai, J.-Y. Surface Grafting Control of PEGylated Poly(Vinylidene Fluoride) Antifouling Membrane via Surface-Initiated Radical Graft Copolymerization. J. Membr. Sci. 2009, 345, 160–169. [Google Scholar] [CrossRef]
- Hester, J.F.; Banerjee, P.; Won, Y.-Y.; Akthakul, A.; Acar, M.H.; Mayes, A.M. ATRP of Amphiphilic Graft Copolymers Based on PVDF and Their Use as Membrane Additives. Macromolecules 2002, 35, 7652–7661. [Google Scholar] [CrossRef]
- Liu, B.; Chen, C.; Li, T.; Crittenden, J.; Chen, Y. High Performance Ultrafiltration Membrane Composed of PVDF Blended with Its Derivative Copolymer PVDF-g-PEGMA. J. Membr. Sci. 2013, 445, 66–75. [Google Scholar] [CrossRef]
- Wang, P.; Tan, K.L.; Kang, E.T.; Neoh, K.G. Plasma-Induced Immobilization of Poly(Ethylene Glycol) onto Poly(Vinylidene Fluoride) Microporous Membrane. J. Membr. Sci. 2002, 195, 103–114. [Google Scholar] [CrossRef]
- Liu, F.; Du, C.-H.; Zhu, B.-K.; Xu, Y.-Y. Surface Immobilization of Polymer Brushes onto Porous Poly(Vinylidene Fluoride) Membrane by Electron Beam to Improve the Hydrophilicity and Fouling Resistance. Polymer 2007, 48, 2910–2918. [Google Scholar] [CrossRef]
- Susanto, H.; Balakrishnan, M.; Ulbricht, M. Via Surface Functionalization by Photograft Copolymerization to Low-Fouling Polyethersulfone-Based Ultrafiltration Membranes. J. Membr. Sci. 2007, 288, 157–167. [Google Scholar] [CrossRef]
- Susanto, H.; Arafat, H.; Janssen, E.M.L.; Ulbricht, M. Ultrafiltration of Polysaccharide–Protein Mixtures: Elucidation of Fouling Mechanisms and Fouling Control by Membrane Surface Modification. Sep. Purif. Technol. 2008, 63, 558–565. [Google Scholar] [CrossRef]
- Zhai, G.; Kang, E.T.; Neoh, K.G. Poly(2-Vinylpyridine)- and Poly(4-Vinylpyridine)-Graft-Poly(Vinylidene Fluoride) Copolymers and Their pH-Sensitive Microfiltration Membranes. J. Membr. Sci. 2003, 217, 243–259. [Google Scholar] [CrossRef]
- Lanzalaco, S.; Fantin, M.; Scialdone, O.; Galia, A.; Isse, A.A.; Gennaro, A.; Matyjaszewski, K. Atom Transfer Radical Polymerization with Different Halides (F, Cl, Br, and I): Is the Process “Living” in the Presence of Fluorinated Initiators? Macromolecules 2017, 50, 192–202. [Google Scholar] [CrossRef]
- Xu, Z.; Chen, L.; Zhou, B.; Li, Y.; Li, B.; Niu, J.; Shan, M.; Guo, Q.; Wang, Z.; Qian, X. Nano-Structure and Property Transformations of Carbon Systems under γ-Ray Irradiation: A Review. RSC Adv. 2013, 3, 10579–10597. [Google Scholar] [CrossRef]
- Dargaville, T.R.; George, G.A.; Hill, D.J.T.; Whittaker, A.K. High Energy Radiation Grafting of Fluoropolymers. Prog. Polym. Sci. 2003, 28, 1355–1376. [Google Scholar] [CrossRef]
- Noble, J.E.; Bailey, M.J.A. Chapter 8 Quantitation of Protein. In Methods in Enzymology, Burgess, R.R., Deutscher, M.P., Eds.; Guide to Protein Purification, 2nd ed.; Academic Press: Cambridge, MA, USA, 2009; Volume 463, pp. 73–95. [Google Scholar]
- Zhudi, Z.; Wenxue, Y.; Xinfang, C. Study on Increase in Crystallinity in γ-Irradiated Poly(Vinylidene Fluoride). Radiat. Phys. Chem. 2002, 65, 173–176. [Google Scholar] [CrossRef]
- Lanceros-Méndez, S.; Mano, J.F.; Costa, A.M.; Schmidt, V.H. FTIR and DSC Studies of Mechanically Deformed Β-PVDF Films. J. Macromol. Sci. Part B 2001, 40, 517–527. [Google Scholar] [CrossRef]
- Ross, G.J.; Watts, J.F.; Hill, M.P.; Morrissey, P. Surface Modification of Poly(Vinylidene Fluoride) by Alkaline Treatment1. The Degradation Mechanism. Polymer 2000, 41, 1685–1696. [Google Scholar] [CrossRef]
- Hussain, A.; Akbar, S.; Sarwar, L.; Nadeem, S.; Iqbal, Z. Effect of Time Dependent Viscosity and Radiation Efficacy on a Non-Newtonian Fluid Flow. Heliyon 2019, 5, e01203. [Google Scholar] [CrossRef] [PubMed]
- Chhabra, R.P. Non-Newtonian Fluids: An Introduction. In Rheology of Complex Fluids; Krishnan, J.M., Deshpande, A.P., Kumar, P.B.S., Eds.; Springer: New York, NY, USA, 2010; pp. 3–34. ISBN 978-1-4419-6494-6. [Google Scholar]
- Zhang, M.; Nguyen, Q.T.; Ping, Z. Hydrophilic Modification of Poly (Vinylidene Fluoride) Microporous Membrane. J. Membr. Sci. 2009, 327, 78–86. [Google Scholar] [CrossRef]
- Subasi, Y.; Cicek, B. Recent Advances in Hydrophilic Modification of PVDF Ultrafiltration Membranes—A Review: Part I. Membr. Technol. 2017, 2017, 7–12. [Google Scholar] [CrossRef]
- Lim, Y.J.; Goh, K.; Lai, G.S.; Zhao, Y.; Torres, J.; Wang, R. Unraveling the Role of Support Membrane Chemistry and Pore Properties on the Formation of Thin-Film Composite Polyamide Membranes. J. Membr. Sci. 2021, 640, 119805. [Google Scholar] [CrossRef]
- Ying, L.; Kang, E.T.; Neoh, K.G. Covalent Immobilization of Glucose Oxidase on Microporous Membranes Prepared from Poly(Vinylidene Fluoride) with Grafted Poly(Acrylic Acid) Side Chains. J. Membr. Sci. 2002, 208, 361–374. [Google Scholar] [CrossRef]
- Wang, Z.; Yu, H.; Xia, J.; Zhang, F.; Li, F.; Xia, Y.; Li, Y. Novel GO-Blended PVDF Ultrafiltration Membranes. Desalination 2012, 299, 50–54. [Google Scholar] [CrossRef]
- Otitoju, T.A.; Ahmad, A.L.; Ooi, B.S. Polyvinylidene Fluoride (PVDF) Membrane for Oil Rejection from Oily Wastewater: A Performance Review. J. Water Process Eng. 2016, 14, 41–59. [Google Scholar] [CrossRef]
- Shao, X.-S.; Li, J.-H.; Zhou, Q.; Miao, J.; Zhang, Q.-Q. Amphiphilic Poly(Vinyl Chloride)-g-Poly[Poly(Ethylene Glycol) Methylether Methacrylate] Copolymer for the Surface Hydrophilicity Modification of Poly(Vinylidene Fluoride) Membrane. J. Appl. Polym. Sci. 2013, 129, 2472–2478. [Google Scholar] [CrossRef]
- Chen, C.; Tang, L.; Liu, B.; Zhang, X.; Crittenden, J.; Chen, K.L.; Chen, Y. Forming Mechanism Study of Unique Pillar-like and Defect-Free PVDF Ultrafiltration Membranes with High Flux. J. Membr. Sci. 2015, 487, 1–11. [Google Scholar] [CrossRef]
- Lim, Y.J.; Goh, K.; Wang, R. The Coming of Age of Water Channels for Separation Membranes: From Biological to Biomimetic to Synthetic. Chem. Soc. Rev. 2022, 51, 4537–4582. [Google Scholar] [CrossRef] [PubMed]













| No. | PVDF/g | mPEGA/g | NMP/g | Total/g |
|---|---|---|---|---|
| 1 | 10 | 1 | 89 | 100 |
| 2 | 10 | 4 | 86 | 100 |
| 3 | 10 | 7 | 83 | 100 |
| 4 | 10 | 10 | 80 | 100 |
| 5 | 10 | 13 | 77 | 100 |
Disclaimer/Publisher’s Note: The statements, opinions and data contained in all publications are solely those of the individual author(s) and contributor(s) and not of MDPI and/or the editor(s). MDPI and/or the editor(s) disclaim responsibility for any injury to people or property resulting from any ideas, methods, instructions or products referred to in the content. |
© 2024 by the authors. Licensee MDPI, Basel, Switzerland. This article is an open access article distributed under the terms and conditions of the Creative Commons Attribution (CC BY) license (https://creativecommons.org/licenses/by/4.0/).
Share and Cite
Wang, T.; Hou, Z.; Yang, H.; Hu, J. A PEGylated PVDF Antifouling Membrane Prepared by Grafting of Methoxypolyethylene Glycol Acrylate in Gama-Irradiated Homogeneous Solution. Materials 2024, 17, 873. https://doi.org/10.3390/ma17040873
Wang T, Hou Z, Yang H, Hu J. A PEGylated PVDF Antifouling Membrane Prepared by Grafting of Methoxypolyethylene Glycol Acrylate in Gama-Irradiated Homogeneous Solution. Materials. 2024; 17(4):873. https://doi.org/10.3390/ma17040873
Chicago/Turabian StyleWang, Ting, Zhengchi Hou, Haijun Yang, and Jun Hu. 2024. "A PEGylated PVDF Antifouling Membrane Prepared by Grafting of Methoxypolyethylene Glycol Acrylate in Gama-Irradiated Homogeneous Solution" Materials 17, no. 4: 873. https://doi.org/10.3390/ma17040873
APA StyleWang, T., Hou, Z., Yang, H., & Hu, J. (2024). A PEGylated PVDF Antifouling Membrane Prepared by Grafting of Methoxypolyethylene Glycol Acrylate in Gama-Irradiated Homogeneous Solution. Materials, 17(4), 873. https://doi.org/10.3390/ma17040873

