Dynamic Variation in the Semiconductive Tendency of the Passive Film on Duplex Stainless Steel in Corrosion Environments
Abstract
1. Introduction
2. Materials and Methods
2.1. Experimental Alloy
2.2. Polarization Test
2.3. Potentiostatic EIS Test
2.4. Mott–Schottky Analysis
2.5. XPS
2.6. Dynamic Electrochemical Test
3. Results and Discussion
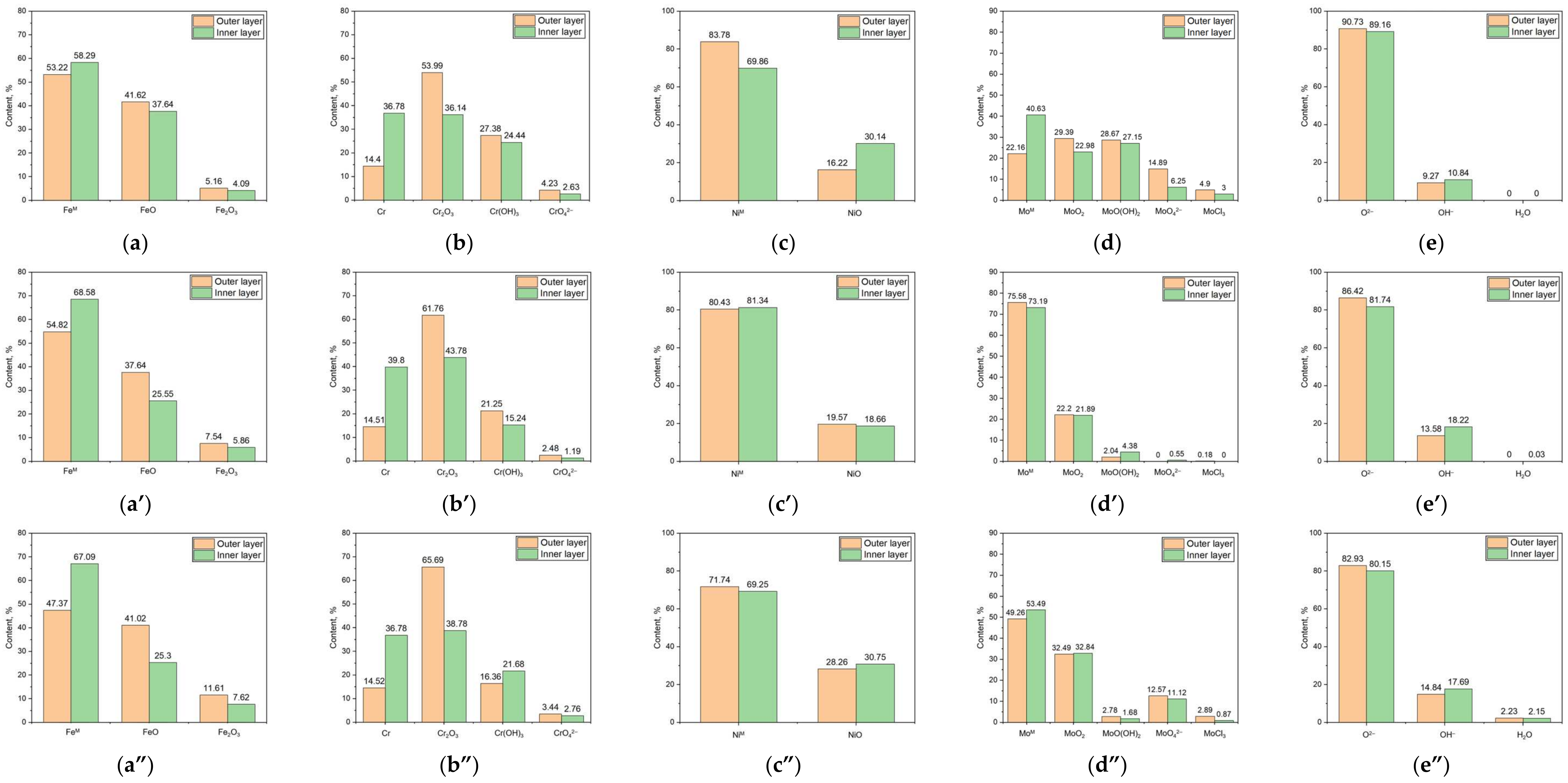
3.1. Electrochemical Properties and Semiconductive Tendenies in Chloride Solutions Under Static Conditions
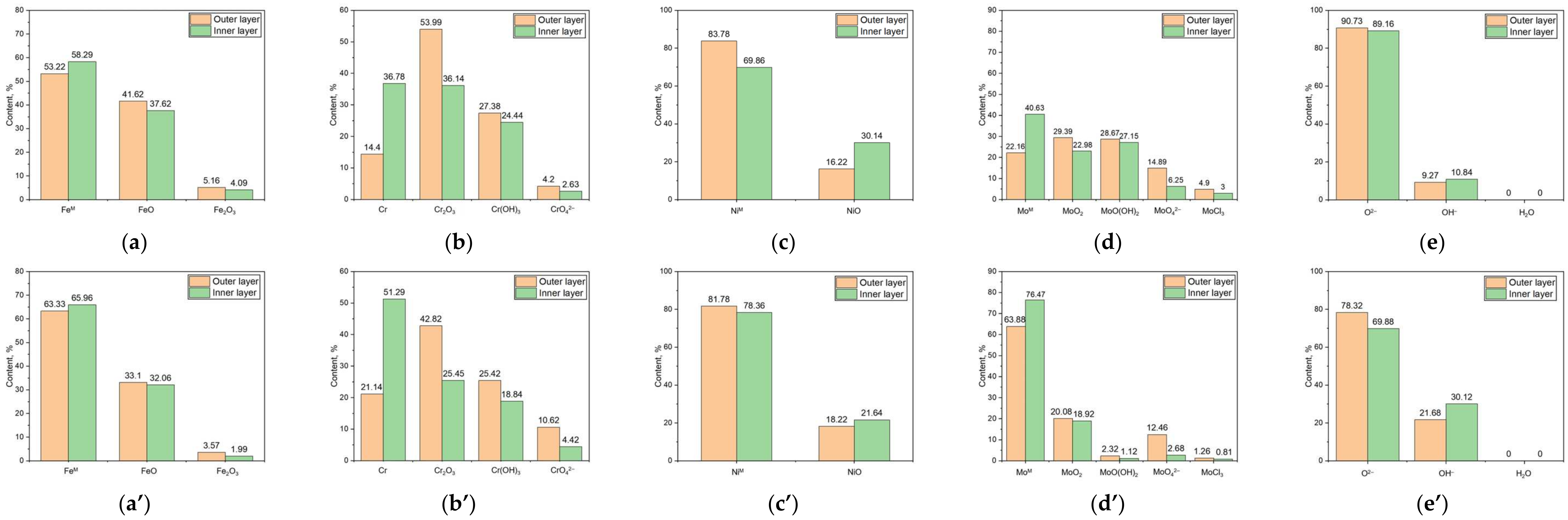
3.2. Electrochemical Properties and Semiconductive Tendency in Acidic Chloride Solutions Under Dynamic Conditions
4. Conclusions
- (1)
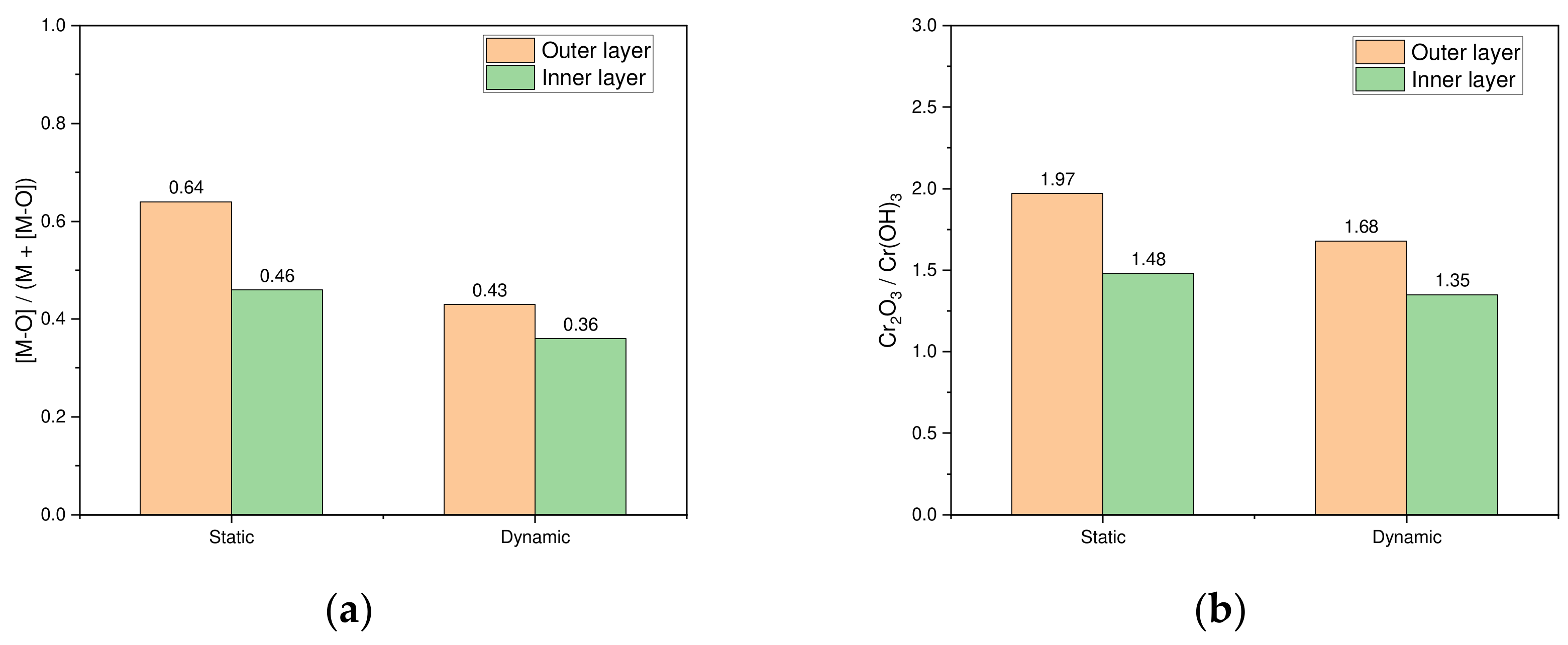
- The semiconductive properties in neutral and alkaline chloride solutions demonstrated strong p-n-type semiconductive behavior and a weak semiconductive tendency balance, whereas in acidic chloride solutions they showed weak p-n-type semiconductive behavior and a strong semiconductive tendency balance. In other words, the reason why stainless steel, which exhibited stable passive behavior in neutral (pH 6.7) chloride solution, exhibited similar passive behavior in acidic (pH 1.0) chloride solution is due to the balance of the semiconductive tendencies of the passive film formed on the surface. Conversely, the outstanding passive behavior of passive films in neutral and alkaline solutions, despite their unbalanced semiconductive tendencies, is likely due to the low corrosivity of these solutions and the thickness of the passive films.
- (2)
- The electrochemical and semiconductive properties evaluated under dynamic conditions from neutral to acidic chloride solutions were almost identical to those assessed under static conditions in the acidic chloride solution. These findings suggest that the passive film on the stainless steel surface adapts to environmental changes and can be spontaneously repassivated.
Author Contributions
Funding
Institutional Review Board Statement
Informed Consent Statement
Data Availability Statement
Conflicts of Interest
References
- LaQue, F.L.; Copson, H.R. Corrosion Resistance of Metal and Alloys, 2nd ed.; Reinhold: New York, NY, USA, 1963; p. 375. [Google Scholar]
- Olefjord, I. The passive state of stainless steels. Mater. Sci. Eng. 1980, 42, 161–171. [Google Scholar] [CrossRef]
- Hannani, A.; Kermiche, F.; Pourbaix, A.; Belmokre, K. Characterisation of passive film on AISI304 stainless steel. Trans. IMF 1997, 8, 7–9. [Google Scholar] [CrossRef]
- Haupt, S.; Strehblow, H.H. A combined surface analytical and electrochemical study of the formation of passive layers on Fe/Cr alloys in 0.5 M H2SO4. Corros. Sci. 1995, 37, 43–54. [Google Scholar] [CrossRef]
- Uhlig, H.H.; Revie, R.W. Corrosion and Corrosion Control; John Wiley and Sons: Hoboken, NJ, USA, 1985; p. 69. [Google Scholar]
- Gerald, A.; Norman, H. The passivity of iron-chromium alloys. J. Electrochem. Soc. 1963, 110, 633. [Google Scholar]
- Tsukada, M.; Adachi, H.; Satoko, C. Theory of electronic structure of oxide surfaces. Prog. Surf. Sci. 1983, 14, 113–174. [Google Scholar] [CrossRef]
- Fromhold, A.T., Jr.; Kruger, J. Space-charge and concentration-gradient effects on anodic oxide film formation. Electrochem. Soc. 1973, 120, 722–729. [Google Scholar] [CrossRef]
- Sato, N. An overview on the passivity of metals. Corros. Sci. 1990, 31, 1–19. [Google Scholar] [CrossRef]
- Simões, A.M.P.; Ferreira, M.G.S.; Rondot, B.; Belo, M.C.M. Study of passive films formed on AISI 304 stainless steel by impedance measurements and photoelectrochemistry. J. Electrochem. Soc. 1990, 137, 82–87. [Google Scholar] [CrossRef]
- Maurice, V.; Yang, W.P.; Marcus, P. X-ray photoelectron spectroscopy and scanning tunneling microscopy study of passive films formed on (100) Fe-18Cr-13Ni single-crystal surfaces. J. Electrochem. Soc. 1998, 145, 909–920. [Google Scholar] [CrossRef]
- Lorang, G.; Belo, M.D.C.; Simões, A.M.P.; Ferreira, M.G.S. Chemical composition of passive films on AISI 304 stainless steel. J. Electrochem. Soc. 1994, 141, 3347–3356. [Google Scholar] [CrossRef]
- Marcus, P.; Bussell, M.E. XPS study of the passive films formed on nitrogen-implanted austenitic stainless steels. Appl. Surf. Sci. 1992, 59, 7–21. [Google Scholar] [CrossRef]
- Vito, E.D.; Marcus, P. XPS study of passive films formed on molybdenum-implanted austenitic stainless steels. Surf. Interface Anal. 1992, 19, 403–408. [Google Scholar] [CrossRef]
- Hoar, T.P.; Mears, D.C.; Rothwell, G.P. The relationships between anodic passivity, brightening and pitting. Corros. Sci. 1965, 5, 279–289. [Google Scholar] [CrossRef]
- Jang, H.J.; Kwon, H.S. In situ study on the effects of Ni and Mo on the passive film formed on Fe–20Cr alloys by photoelectrochemical and Mott–Schottky techniques. J. Electroanal. Chem. 2006, 590, 120–125. [Google Scholar] [CrossRef]
- Ningshen, S.; Mudali, U.K. Hydrogen effects on pitting corrosion and semiconducting properties of nitrogen-containing type 316L stainless steel. Electrochim. Acta 2009, 54, 6374–6382. [Google Scholar] [CrossRef]
- Feng, Z.; Cheng, X.; Dong, C.; Xu, L.; Li, X. Effects of dissolved oxygen on electrochemical and semiconductor properties of 316L stainless steel. J. Nucl. Mater. 2010, 407, 171–177. [Google Scholar] [CrossRef]
- Ogunsanya, I.G.; Hansson, C.M. The semiconductor properties of passive films and corrosion behavior of stainless steel reinforcing bars in simulated concrete pore solution. Materialia 2019, 6, 100321. [Google Scholar] [CrossRef]
- Carmezim, M.J.; Simões, A.M.; Montemor, M.F.; Belo, M.D.C. Capacitance behaviour of passive films on ferritic and austenitic stainless steel. Corros. Sci. 2005, 47, 581–591. [Google Scholar] [CrossRef]
- Fattah-alhosseini, A.; Vafaeian, S. Comparison of electrochemical behavior between coarse-grained and fine-grained AISI 430 ferritic stainless steel by Mott–Schottky analysis and EIS measurements. J. Alloys Compd. 2015, 639, 301–307. [Google Scholar] [CrossRef]
- Qiao, Y.; Wang, X.; Yang, L.; Wang, X.; Chen, J.; Wang, Z.; Zhou, H.; Zou, J.; Wang, F. Effect of aging treatment on microstructure and corrosion behavior of a Fe-18Cr-15Mn-0.66N stainless steel. J. Mater. Sci. Technol. 2022, 107, 197–206. [Google Scholar] [CrossRef]
- Sakashita, M.; Sato, N. The effect of molybdate anion on the ion-selectivity of hydrous ferric oxide films in chloride solutions. Corros. Sci. 1977, 17, 473–486. [Google Scholar] [CrossRef]
- Sakashita, M.; Sato, N. Ion-selectivity of nickel chromate, molybdate, and tungstate precipitate membranes. Electrochem. Soc. Jpn. 1976, 44, 395–401. [Google Scholar] [CrossRef]
- Sakashita, M.; Sato, N. Ion selectivity of chromium hydroxide and chromium-nickel mixed hydroxide precipitate membranes. Jpn. Soc. Promot. Sci. 1976, 25, 3–9. [Google Scholar] [CrossRef] [PubMed][Green Version]
- Sakashita, M.; Sato, N. Ion selectivity of precipitate films affecting passivation and corrosion of metals. Corrosion 1979, 35, 351–355. [Google Scholar] [CrossRef]
- Sakashita, M.; Sato, N. Membrane potentials of nickel hydroxide precipitate membranes. Jpn. Soc. Promot. Sci. 1975, 24, 67–74. [Google Scholar] [CrossRef][Green Version]
- Clayton, C.R.; Lu, Y.C. A bipolar model of the passivity of stainless steel: The role of Mo addition. J. Electrochem. Soc. 1986, 133, 2465–2473. [Google Scholar] [CrossRef]
- Brooks, A.R.; Clayton, C.R.; Doss, K.; Lu, Y.C. On the role of Cr in the passivity of stainless steel. J. Electrochem. Soc. 1986, 133, 2459–2464. [Google Scholar] [CrossRef]
- Lu, Y.C.; Clayton, C.R.; Brooks, A.R. A bipolar model of the passivity of stainless steels—II. The influence of aqueous molybdate. Corros. Sci. 1989, 29, 863–880. [Google Scholar] [CrossRef]
- Kim, Y.S. Influences of alloyed molybdenum and molybdate addition on the corrosion properties and passive film composition of stainless steels. Met. Mater. 1998, 4, 183–191. [Google Scholar] [CrossRef]
- Kim, Y.S. Synergistic Effect of Nitrogen and Molybdenum on Localized Corrosion of Stainless Steels. Corros. Sci. Technol. 2010, 9, 20–28. [Google Scholar]
- Fattah-alhosseini, A. Passivity of AISI 321 stainless steel in 0.5M H2SO4 solution studied by Mott–Schottky analysis in conjunction with the point defect model. Arab. J. Chem. 2016, 9, S1342–S1348. [Google Scholar] [CrossRef]
- Ahn, S.J.; Kwon, H.S. Effects of solution temperature on electronic properties of passive film formed on Fe in pH 8.5 borate buffer solution. Electrochim. Acta 2004, 49, 3347–3353. [Google Scholar] [CrossRef]
- Toor, I. Mott-Schottky analysis of passive films on Si containing stainless steel alloys. J. Electrochem. Soc. 2011, 158, C391–C395. [Google Scholar] [CrossRef]
- Maria, A.C.; Benedetti, T.M.; Torresi, R.; Dick, L.F.P. A comparative study of the Mott-Schottky behavior of oxide films on stainless steels in ionic liquids and in aqueous solutions. ECS Trans. 2010, 25, 31–36. [Google Scholar] [CrossRef]
- Hakiki, N.B.; Boudin, S.; Rondot, B.; Belo, M.D.C. The electronic structure of passive films formed on stainless steels. Corros. Sci. 1995, 37, 1809–1822. [Google Scholar] [CrossRef]
- Ningshen, S.; Mudali, U.K.; Mittal, V.K.; Khatak, H.S. Semiconducting and passive film properties of nitrogen-containing type 316LN stainless steels. Corros. Sci. 2007, 49, 481–496. [Google Scholar] [CrossRef]
- Choi, S.H.; Yoo, R.Y.; Kim, Y.S. Semiconductive tendency of the passive film formed on super austenitic stainless steel SR-50A in acidic or alkaline chloride solutions. Crystals 2024, 14, 766. [Google Scholar] [CrossRef]
- ASTMG3-2004; Standard Practice for Conventions Applicable to Electrochemical Measurements in Corrosion Testing. ASTM International: West Conshohocken, PA, USA, 2004.
- Freire, L.; Carmezim, M.J.; Ferreira, M.G.S.; Montemor, M.F. The passive behaviour of AISI 316 in alkaline media and the effect of pH: A combined electrochemical and analytical study. Electrochim. Acta 2010, 55, 6174–6181. [Google Scholar] [CrossRef]
- Fattah-alhosseini, A.; Vafaeian, S. Passivation behavior of a ferritic stainless steel in concentrated alkaline solutions. J. Mater. Res. Technol. 2015, 4, 423–428. [Google Scholar] [CrossRef]
- Vafaeian, S.; Fattah-alhosseini, A.; Keshavarz, M.K.; Mazaheri, Y. The influence of cyclic voltammetry passivation on the electrochemical behavior of fine and coarse-grained AISI 430 ferritic stainless steel in an alkaline solution. J. Alloys Compd. 2016, 677, 42–51. [Google Scholar] [CrossRef]
- Abdo, H.S.; Seikh, A.H.; Samad, U.A.; Fouly, A.; Mohammed, J.A. Electrochemical Corrosion Behavior of Laser Welded 2205 Duplex Stainless-Steel in Artificial Seawater Environment under Different Acidity and Alkalinity Conditions. Crystals 2021, 11, 1025. [Google Scholar] [CrossRef]












| Material | Chemical Compositions, wt.% | * PREN30 | ||||||||
|---|---|---|---|---|---|---|---|---|---|---|
| Duplex stainless steel | Cr | Mo | W | Si | Ni | Mn | C | N | Fe | 46.1 |
| 25.8 | 2.3 | 0.16 | 0.48 | 10.7 | 0.65 | 0.03 | 0.42 | Bal | ||
| pH | ER, V(SCE) | iR, μA/cm2 | Etr, V(SCE) | iP at −100 mV(SCE), μA/cm2 |
|---|---|---|---|---|
| 1.0(S) | −0.35 | +1.39 | +0.83 | +0.79 |
| 6.7(S) | −0.34 | +0.02 | +1.12 | +0.35 |
| 13.2(S) | −0.56 | +0.03 | +0.49 | +0.20 |
| pH 1.0 (1N NaCl + 0.1N HCl) | pH 6.7 (1N NaCl) | pH 13.2 (1N NaCl + 0.1N NaOH) | |
|---|---|---|---|
| Efb by P slope, V (SCE) | +0.14 | −0.94 | −1.12 |
| Efb by N slope, V (SCE) | −0.07 | −0.41 | −0.66 |
| NA (cm−3) | 10.9 × 1027 | 1.89 × 1027 | 3.59 × 1027 |
| ND (cm−3) | 10.2 × 1027 | 4.86 × 1027 | 2.24 × 1027 |
| Total defect density (cm−3) | 21.1 × 1027 | 6.76 × 1027 | 5.83 × 1027 |
Disclaimer/Publisher’s Note: The statements, opinions and data contained in all publications are solely those of the individual author(s) and contributor(s) and not of MDPI and/or the editor(s). MDPI and/or the editor(s) disclaim responsibility for any injury to people or property resulting from any ideas, methods, instructions or products referred to in the content. |
© 2024 by the authors. Licensee MDPI, Basel, Switzerland. This article is an open access article distributed under the terms and conditions of the Creative Commons Attribution (CC BY) license (https://creativecommons.org/licenses/by/4.0/).
Share and Cite
Choi, S.-H.; Yoo, Y.-R.; Kim, Y.-S. Dynamic Variation in the Semiconductive Tendency of the Passive Film on Duplex Stainless Steel in Corrosion Environments. Materials 2024, 17, 5963. https://doi.org/10.3390/ma17235963
Choi S-H, Yoo Y-R, Kim Y-S. Dynamic Variation in the Semiconductive Tendency of the Passive Film on Duplex Stainless Steel in Corrosion Environments. Materials. 2024; 17(23):5963. https://doi.org/10.3390/ma17235963
Chicago/Turabian StyleChoi, Seung-Heon, Young-Ran Yoo, and Young-Sik Kim. 2024. "Dynamic Variation in the Semiconductive Tendency of the Passive Film on Duplex Stainless Steel in Corrosion Environments" Materials 17, no. 23: 5963. https://doi.org/10.3390/ma17235963
APA StyleChoi, S.-H., Yoo, Y.-R., & Kim, Y.-S. (2024). Dynamic Variation in the Semiconductive Tendency of the Passive Film on Duplex Stainless Steel in Corrosion Environments. Materials, 17(23), 5963. https://doi.org/10.3390/ma17235963

