Abstract
In the current study, a comprehensive numerical model for analyzing the vibrational characteristics of braided fiber-reinforced composite (BFRC) rotating annular plate with perforations under diverse boundary constraints was introduced. This model employs the differential quadrature finite element method (DQFEM), which was developed based on the first-order shear deformation theory (FSDT) and coordinate transformation approach. The BFRC material, specifically a two-dimensional biaxial orthogonal fabric, was utilized to fabricate the annular plate with two distinct types of holes: circular and sector-shaped. The model’s convergence, accuracy, numerical stability, and reliability were confirmed through comparative assessments utilizing data from the literature, from ABAQUS software, and from experimental findings. The analysis focuses on studying the influences of structural properties, material parameters, and boundary restraints on the frequencies of vibration for BFRC rotating annular plates with holes. This theoretical model helps provide scientific basis and technical guidance for the stability and lightweight design of rotating annular plates, such as rotor structures in aircraft engines.
1. Introduction
Annular plate structures with holes have been extensively applied in various mechanical rotating devices, including gears, compressors, turbines, and separators [1,2,3,4,5]. In order to guarantee the annular plate element possesses excellent performances of high stiffness, low weight, and good structural stability, laminated composite materials are selected to fabricate the annular plate structures. As representative examples of advanced laminated composite materials, braided fiber-reinforced composites exhibit superior properties over traditional counterparts, particularly in terms of enhanced shear stiffness, improved transverse strength, increased resistance to delamination and impacts, and enhanced damage resistance [6,7,8,9,10]. Based on the above excellent properties, the braided fiber-reinforced composite material is more suitable for structures with holes. The annular plate structures with holes fabricated by braided fiber-reinforced composite material will be applied to the mechanical rotating devices with high rotating speeds. The dynamic behaviors of the braided fiber-reinforced composite rotating annular plate structures have important influences on the global stability and reliability of mechanical rotating devices, especially for high-speed working conditions. Consequently, an investigation of the vibrational characteristics of the braided fiber-reinforced composite rotating annular plates featuring through-holes is essential to inform their design and production processes.
Numerous researchers have committed to studying the vibrational features of plates and shells with perforations. Song et al. [11] developed an exact dynamic model, applying the domain segmentation integral method (DSIM) and the virtual connecting spring procedure to forecast the vibration behaviors of plates with arbitrary shapes and diverse cut-outs under elastic restraints. Avalos et al. [12] derived the auxiliary energy function corresponding to the two perforations from the full-plate energy function, and then they solved for the first four orders of the vibration frequencies for a simply-supported rectangular plate with free-edge rectangular holes via the Rayleigh–Ritz technique. Liew et al. [13] developed an energy-based plate model with a central cut-out, utilizing L-shaped fundamental elements. They subsequently calculated the free vibrational properties of the structure by applying the Ritz technique. Chen et al. [14] employed Chebyshev polynomials with the Rayleigh–Ritz energy scheme for the numerical resolution of the in-plane and bending-free vibration in rectangular plate structures featuring diverse cut-outs. Wang et al. [15] utilized the spectral geometry method, which involves expressing the structural displacement function using an improved Fourier series expansion, to establish a numerical model for analyzing the vibrational characteristics of the rectangular plate with perforations, where the regions containing the holes were modeled with zero stiffness. Huang et al. [16] established a numerical model for a functionally graded perforated rectangular plate by employing discrete subdomains and coordinate transformations. They employed an enhanced Fourier series in conjunction with the Ritz procedure to derive the vibrational features of plates. Lee et al. [17,18,19] proposed indirect Boundary Integral Formulations (BIEMs), which involve constructing linear algebraic equations by discretizing the interpolate points on boundaries. The free vibration frequencies of a perforated circular plate were then obtained using a direct search method and singular value decomposition. Senjanović et al. [20] developed distinct potential and kinetic energy formulations for the intact and perforated sections of the circular plate. By subtracting these energies, they derived the energy functional for the perforated circular plate. Subsequently, they employed the assumed mode method to determine its vibrational properties. Maharudra et al. [21] established a finite element vibration analysis model for trapezoidal open-composite plate structures on the basis of the high-order shear deformation theory (HSDT) and the isoparametric plate element of eight-node. Sun et al. [22] constructed a vibration analysis model tailored for composite plate structures featuring various cut-outs. Do and Lee [23] derived the governing equations for holed functionally graded plates from the improved quasi-3D hybrid HSDT with four unknown variables, incorporating Hamiltonian theory. They subsequently used isogeometric analysis to solve the free vibrational characteristics of the holed plate. Noga et al. [24] adopted transverse vibration research for annular plates with various perforations by means of the finite element scheme and experimental verification. Narwariya et al. [25] analyzed the modal shapes and harmonic responses of eccentrically perforated isotropic annular plates using the finite element technique. Chen et al. [26] utilized Bessel and Fourier wave functions as trial displacement functions to investigate the vibrations of eccentric annular plates. Askari et al. [27] utilized the variable separation method and polar coordinate transformation to obtain vibrational frequencies of the eccentric annular plate.
Yang et al. [28,29] conducted research into symmetric and asymmetric buckling and vibration phenomena within rotating eccentric annular plates by means of the transformed differential quadrature procedure and conformal mapping. Lee et al. [30,31] studied the free and forced vibrations of rotating multi-layer toroidal plates, employing the layer-wise zig-zag theory within the HSDT framework. Yang et al. [32] considered geometric nonlinearities and the effects of temperature, established a free and forced vibration model for rotating graphene-platelets-reinforced composite annular plates under complex external load excitations, applying the Galerkin method along with the harmonic balance method. Qin et al. [33] used the Rayleigh–Ritz scheme to study the vibrations of cylindrical shells interfaced with plates of medium thickness. Liu et al. [34] analyzed the vibrational characteristics of discrete coupled toroidal plates-cylindrical shell structures using wave propagation methods and the virtual spring method, revealing significant modal coupling effects. Sharifi et al. [35] established a novel dynamic modeling approach for eccentric semi-annular and eccentric annular plates made of rotationally porous nanocomposites in a thermal environment. They utilized the transformed differential quadrature scheme with conformal mapping to determine the free vibrational characteristics.
Analysis of the vibrational features of plates and shells constructed from braided composite materials has garnered significant academic interest. Maji et al. [36,37,38,39] have formulated a generalized dynamic model to evaluate the vibrations of rotating 3D braiding shell and plate structures. Singh et al. [40] developed an analytical model for free vibrations and buckling analysis of the laminated and 3D woven composite plate via the triangular deformation theory and triangular-hyperbolic deformation theory, where shear strain shape functions were used to describe the boundary conditions. Huang et al. [41] explored the nonlinear dynamic features of the 3D woven composite plate, utilizing the HSDT integrated with von Kármán nonlinear kinematics, employing the enhanced perturbation approach along with the Galerkin technique. Li and Wang [42] analyzed the large-amplitude vibration of a three-dimensional braided composite cylindrical shell under axial force by means of HSDT and the two-step perturbation technique. Tsai et al. [43] conducted a simulation to investigate the impact of fabric characteristics on the elastic modulus of woven plates; the parallelogram spring model and finite element method (FEM) were employed to analyze the data.
The existing literature highlights a significant gap in the investigation of vibrational behavior in the braided fiber-reinforced composite (BFRC) rotating annular plate with holes. Consequently, this study aimed to estimate the vibration characteristics for such BFRC rotating annular plates with holes subjected to various boundary conditions. This is achieved by utilizing the differential quadrature finite element method (DQFEM), combined with the coordinate mapping technique, within the framework of the FSDT. The material chosen for the rotating annular plates with holes was a two-dimensional bidirectional orthogonal braided fiber-reinforced composite, and the analysis considered two hole configurations: circular and sector. Furthermore, the holes were evenly distributed on the surface of the plates, and boundary conditions were emulated using the penalty method. The calculated vibrational frequencies and modes of the BFRC rotating annular plate with holes were compared against experimental findings and FEM results to validate the precision, stability, and versatility of the proposed theoretical model. At last, a systematic analysis was conducted to examine the impacts of rotational speed, structural factors, and boundary restraints on the vibration features of the BFRC rotating annular plate with holes.
2. Problem Formulations
2.1. Description of the Model
To facilitate the derivation of mathematical formulations, this study selected the braided fiber-reinforced composite (BFRC) rotating annular plate with circular holes as the subject of analysis. As one can see from Figure 1, the states of motion of BFRC rotating annular plate with circular holes were described by using two different coordinate systems named absolute coordinate system O0X0Y0Z0 (orthogonal coordinate system) and rotating coordinate system O1X1Y1Z1 (cylindrical coordinate system). The coordinate system O0X0Y0Z0 was selected to describe the position of the center of BFRC rotating annular plate with circular holes in the mechanical rotating devices, and the coordinate system O1X1Y1Z1 was chosen to describe the position of any point P (x, r, θ) located at the BFRC rotating annular plate with circular holes. The symbols Ro and Ri denote the radii of the outer and inner of the BFRC rotating annular plate with circular holes, respectively. The symbols Rc and Rh represent the position and radius of the circular hole, and the symbol h indicates the thickness of the BFRC rotating annular plate with circular holes.
Figure 1.
Geometrical diagram of the braided fiber-reinforced composite rotating annular plate with circular holes.
In accordance with the FSDT, the five displacement components—namely, u, v, w, φr, and φθ—were considered. The displacement field at any arbitrary point on the BFRC rotating annular plate with circular holes is expressed as follows.
In this equation, the variables , , and correspond to the displacements in the Z, Y, and X orientations of arbitrary coordinates on the BFRC rotating annular plate with holes, whereas u, v, and w represent the translational displacement along the Z, Y, and X axes of the middle surface projection point associated with any point on the BFRC rotating annular plate with holes, and φr and φθ signify the rotations about the Z and Y axes of the aforementioned projection point. The strains of the arbitrary point on the BFRC rotating annular plate can be expressed as below.
where the symbols , , , , and strain components of arbitrary point of BFRC rotating annular plate with holes. The symbols , , , , , and represent the membrane strain components. Their respective expressions are provided below.
The constitutive equation between stresses and strains of arbitrary points of BFRC rotating annular plates with holes can be determined using the following form on the basis of generalized Hook’s law.
in which the symbols , , and depict the normal stress component, respectively, and and indicate the shear stress components, respectively. The symbols Qij(1,2,4,5,6) represent the elastic coefficients, which depend on the material property parameters. For isotropic material, the specific expressions of elastic coefficients Qij can be written as follows:
where the symbols E and μ represent Young’s modulus and Poisson’s ratio separately. For two-dimensional bidirectional orthogonal braided fiber-reinforced composite material, the elastic coefficient expression Qij can be ascertained as follows, according to the existing literature [44].
where the symbols Eij, μij, and Gij separately express the coefficients with respect to flexural modulus, Poisson’s ratio, and shear modulus of BFRC materials. As reported in the existing literature [44], the specific expressions for Eij, μij, and Gij were determined through two-step homogenization. This study linearly fits the curve in Figure 7 of the literature [44] to determine the material parameters, as presented below:
where the symbol Vf denotes the volume fraction for the total fiber of BFRC materials. The unit of elastic and shear modulus are GPa, and the unit of density is kg/m3. The formulation for the potential energy of a BFRC rotating annular plate with holes is derived and presented below:
where the symbol κ = 5/6 is the shear correction coefficient. In accordance with the principles governing multi-body dynamics, the position vector of arbitrary points of BFRC rotating annular plates with holes is determined as follows:
where the symbol R10 represents the position vector of origin points of the rotating coordinate system in the absolute coordinate system; UP indicates the position vector of any point on the BFRC rotating annular plate with holes within the rotating coordinate system; and symbol AΩ denotes the coordinate transform matrix between the absolute and rotating coordinate systems. The specific expressions for RO1, UP, and AΩ are detailed below:
where the symbol Ω denotes the rotating speed. The kinetic energy function for BFRC rotating annular plates with holes can be presented below:
where the symbol denotes the density of the BFRC rotating annular plate with holes.
2.2. Domain Decomposition and Coordinate Mapping
As mentioned above, two kinds of hole structures, including circle holes and sector holes, were taken into account. The BFRC rotating annular plate needs to be decomposed into Np sector plate elements with holes uniformly according to the number of N holes of the BFRC rotating annular plate. Every sector plate element with a hole needs to be decomposed into four domains according to the geometrical shape of the hole. Take Np = 4 as an example; the process of domain decomposition of the BFRC rotating annular plate with perforations is shown in Figure 2.
Figure 2.
Domain decomposition of the braided fiber-reinforced composite rotating annular plate with holes.
For the BFRC rotating annular plate with circle holes, the i-th sector plate with a circle hole is selected as an object. Ri and Ro represent the internal and external radii of the i-th sector plate element; θstart and θend represent the start and end angles of the i-th sector plate. The symbols a, b, c, and d indicate extreme points along r and θ directions in the r-θ coordinate system; the coordinates of extreme points can be expressed as follows.
In order to guarantee the precision of subsequent coordinate mapping, the selection of domain decomposition points e, f, g, and h should be as far from the location of the extreme point as much as possible. However, the decomposition points can be determined according to the extreme points, and the coordinate r of domain decomposition points can be written as follows.
The coordinate θ of domain decomposition points can be determined by the coordinate r according to cosine law. Four domains of the i-th sector plate with a circle hole can be determined according to the domain decomposition points e, f, g, and h in the r-θ coordinate system. For curves ef and gh, the expressions can be written as follows due to the extreme points a and c caused by the variation of θ.
For curves fg and eh, the expressions can be written as follows due to the extreme points b and d caused by the variation of r.
For the BFRC rotating annular plate with sector holes, the i-th sector plate with sector hole is chosen as object. The symbols Rsi and Rso denote the inner and outer radii for the sector hole; the symbol Rd represents the distance between the sides of the sector hole and the sector plate. The symbols a, b, c, and d indicate corner points along r and θ directions in the r-θ coordinate system; the coordinates of corner points can be written as follows.
Due to the sector hole having no existing extreme points in the r-θ coordinate system, the selection of domain decomposition points e, f, g, and h is not constrained. For convenience, the domain decomposition points e, f, g, and h are assumed to be consistent with four boundary corner points: a, b, c, and d. Four domains of the i-th sector plate with sector hole can be ascertained according to the domain decomposition points e, f, g, and h in the r-θ coordinate system. For curves ef and gh, the expressions can be written as follows.
For curves fg and eh, the expressions can be written as follows:
According to the above domain decomposition, the ith sector plate with a hole is decomposed into four domains, and every domain is deemed an irregular quadrilateral plate structure. To simplify the derivation of the energy expression for irregular quadrilateral plate structures, it is necessary to convert the structure into a regular square plate via coordinate mapping. The process of coordinate transformation is described in Figure 3.
Figure 3.
Coordinate mapping.
As described in Figure 3, the structure of the irregular quadrilateral plate contains p × q coordinate mapping points, and the coordinate mapping points only reveal the precision of coordinate mapping. The symbol Pij denotes the mapping point. The above coordinate mapping can be regarded as the coordinate transformation between the r-θ coordinate system and ξ-η coordinate system; the corresponding coordinate transformation relationship can be written as follows:
in which the symbols rij and θij denote the coordinate component of mapping points in the r-θ coordinate system, respectively. The symbol φij expresses the mapping function with respect to the mapping point; the concrete expression is presented below as reported in the existing literature [45].
Based on the above coordinate mapping, the partial derivatives of the displacement function f regarding r and θ can be derived as follows.
The actual expressions for , , , and can be expressed as follows.
2.3. Differential Quadrature Finite Element Method
In accordance with the differential quadrature finite element method (DQFEM), within the natural coordinate system ξ-η, the function of displacement f(ξ, η) for a regular square plate element is formulated using two-dimensional weighted coefficient matrices for differential and integral. The partial derivatives for the displacement function f(ξ, η) relating to ξ and η are presented in the subsequent format:
in which A02 and B02 represent the differentially weighted coefficient matrices with respect to ξ and η; C02 indicates the integral weighting coefficient matrix, and the specific expressions with respect to A02, B02, and C02 can be seen in the literature [46]. M and N denote the numbers of divided differential nodes in the ξ and η direction. However, for the irregular quadrilateral plate element in the r-θ coordinate system, The partial derivatives of the displacement function f(r,θ) relating to r and θ are given as the subsequent format according to Equation (20).
where the symbol indicates the Hadamard products; the symbols A2 and B2 denote the revised weighting coefficient matrices with regard to r and θ; and the symbol C2 denotes the revised integral weighting coefficient matrix. As mentioned above, the BFRC rotating annular plate with holes is decomposed as Np sector plate elements, and every sector plate element is decomposed as four domains composed of an irregular quadrilateral plate structure. The energy expression of BFRC rotating annular plates with holes is decomposed as follows.
Based on the DQFEM, the formulations of kinetic energy and potential energy with respect to irregular quadrilateral plate structures are written in the following matrix form:
where the symbols , , , and denote the mass matrix, gyroscopic matrix, damping matrix, and stiffness matrix with regard to irregular quadrilateral plate structure, respectively. The symbol indicates the displacement column vector. The concrete expressions of , , , and can be seen in Appendix A, Appendix B, Appendix C and Appendix D. The global dynamic equations for BFRC rotating annular plates with holes can be determined by incorporating the previously established energy expressions into the Lagrange framework:
where the symbols M, G, K, and C denote the global mass matrix, gyroscopic matrix, stiffness matrix, and damping matrix with respect to the BFRC rotating annular plate with holes. Boundary conditions for BFRC rotating annular plates with holes are incorporated using the penalty function method, which selectively influences the stiffness matrix K of the BFRC rotating annular plate with holes:
where S represents the penalty factor and C indicates the coefficient matrix, which depends on the boundary condition, and represents the revised stiffness matrix. Equation (27) facilitates the computation of the vibration characteristics for BFRC rotating annular plates with holes under diverse boundary conditions.
3. Numerical Example and Discussion
According to the above introduction, it is not hard to find that the theoretical model with respect to the vibration characterization of BFRC rotating annular plates with holes has been established through a series of formulation derivations. Initially, this present study conducted a convergence study of the developed model to ascertain the finest number of differential nodes and the value of the penalty factor, as discussed subsequently. Subsequently, model validation was performed to ensure accuracy, numerical stability, and reliability by comparing results from experiments and the literature. Ultimately, the vibrational features of BFRC rotating annular plates with holes were analyzed, examining how material parameters, structural parameters, and boundary conditions influence their natural frequency. Unless otherwise specified, the BFRC material parameters are uniformly assumed to be E11= E22 = 33 GPa, μ12 = μ21 = 0.1499, G12 = 2.67 GPa, G13 = G23 = 1.96 GPa, and ρ = 1356.8 kg/m3 in the following discussion.
3.1. Convergence Analysis
In this paper, the convergence investigation for the BFRC rotating annular plate with holes was divided into two steps. First of all, as depicted in Figure 4, the convergence analysis concerning differential nodes M and N was executed. The isotropic material parameters were specified to be E = 210 GPa, μ = 0.3, and ρ = 7800 kg/m3. The geometrical properties were taken as Ri = 0.04 m, Ro = 0.2 m, Rc = 0.12 m, Rh = 0.03 m, Np = 4, p = 2, and q = 9, h = 0.008 m. The boundary condition chosen was a free boundary. The rotating speed was Ω = 500 rad/s.
Figure 4.
Convergence analysis of forward and backward vortex frequencies of the BFRC rotating annular plate with circle holes as the differential node increases.
As the differential nodes M and N increase, the first six-order forward and backward vortex frequencies of rotating annular plates with circle holes gradually decrease until they remain constant. The variation tendency to remain unchanged can be interpreted as the established theoretical model converges. Consequently, it can be concluded that the calculation results from the established theoretical model converge when the number of different nodes, M and N, reaches 10.
Then, the convergence analysis regarding the penalty factor S was presented, with the results depicted in Figure 5. These findings are consistent with the parameters outlined in Figure 4. Notably, the penalty factors with respect to the inner boundary of the rotating annular plate Sφri = Sφθi = 0 and the values of Sui, Svi, and Swi varied synchronously. The penalty factors with respect to the outer boundary of the BFRC rotating annular plate Suo = Svo = Swo = Sφro = Sφθo = 0.
Figure 5.
Convergence analysis of forward and backward vortex frequencies of the BFRC rotating annular plate with circle holes as the increase of penalty factor.
As one can see from Figure 5, the first fifth-order forward and backward vortex frequencies of rotating annular plates with circle holes remain unchanged first, then increase evidently and finally remain unchanged with the increase of the penalty factors of Sui, Svi, and Swi. Based on the above variation tendencies of forward and backward vortex frequencies, it can be concluded that the calculation results of the theoretical model’s computational results converge as the value of penalty factor S increases to 1013. Thus, the penalty factor is chosen to be 1013 in the following discussion. In parallel, the penalty parameters corresponding to the boundary constraints for different perforated rotating annular plates are specified as follows. This article employs the letter F to denote a free boundary, S to signify a simply supported boundary, and the combinations SS and SD to distinguish between two types of simply supported boundary conditions. Additionally, the letter C is used to represent a clamped boundary condition.
3.2. Model Verification
After the above convergence analysis, the appropriate number of differential nodes and the optimal penalty factor values were determined. The model verification was executed to verify the accuracy, numerical stability, and reliability of the established BFRC rotating annular plate with holes. Model verification can be divided into three aspects: the comparison of works of literature, finite element simulation software comparison, and experimental comparison. The comparison of pieces of literature was performed first. Due to the vibration characteristic analysis of the established BFRC, rotating annular plates with holes are relatively rare in the published literature. Thus, circular plates with single eccentric holes were selected as objects, and the boundary conditions were chosen to be F-F. The isotropic material parameters are assumed as E = 210 GPa, μ = 0.3, and ρ = 7800 kg/m3. The geometrical parameters were assumed to be Ri = 0 m, Ro = 1 m, Rc = 0.45 m, Rh = 0.25 m, and h = 0.002 m. The formulations of dimensionless natural frequency λ are shown as follows. The comparison results can be seen in Table 1.
Table 1.
The comparison results of dimensionless natural frequencies of a circular plate with a single eccentric hole.
Meanwhile, the expression of error is defined as follows.
The comparative results displayed in Table 1 indicate a high level of agreement between the first six dimensionless frequencies derived from the current numerical model and those reported in the literature, with the maximum deviation being less than 1%.
Then, the comparison of finite element simulation software (ABAQUS) is given in the following discussion. The BFRC rotating annular plate with holes was selected as the study object, and a free-free (F-F) boundary condition was applied. The geometrical parameters were set as follows: Ri = 0.02 m, Ro = 0.1 m, h = 0.005 m, and Np = 4; for the circle hole, Rc = 0.06 m, and Rh = 0.025 m; and for the sector hole, Rsi = 0.04 m, Rso = 0.08 m, and Rd = 0.015 m.
As depicted in Table 2, a comparison of the vibrational frequencies and modes reveals a satisfactory alignment between the findings of the present model and those obtained from the ABAQUS finite element simulation software. The maximum error appeared in the first order, and the value was less than 1%. Meanwhile, the expression of the above error is defined as follows.
Table 2.
The comparison results of natural frequencies and mode shapes of the BFRC annular plate with holes.
Finally, the comparison of experiments is displayed in the following discussion. The isotropic annular plate with holes was selected as the subject, and an F-F boundary condition was specified. The geometric parameters were set as follows: Ri = 0.02 m, Ro = 0.2 m, h = 0.008 m, and Np = 4; for circle holes, Rc = 0.11 m, Rh = 0.05 m; and for the sector holes, Rsi = 0.07 m, Rso = 0.15 m, and Rd = 0.02 m. The isotropic material parameters remain consistent with those presented in Table 1. The comparison results are presented in Table 3. Concurrently, the expression for error is defined as follows. The experiment of vibration and modal test are illustrated in Figure 6.
Table 3.
The comparison results of natural frequencies and mode shapes of the isotropic annular plate with holes.
Figure 6.
The experimental test flow chart of vibration and model shapes of isotropic annular plates with holes.
The results presented in Table 3 indicate that the vibration frequencies and modes obtained in the present study exhibit preferably consistency with results from the experimental tests, with the maximum discrepancy not exceeding 2.7%. Based on these comparative findings, the accuracy, stability, and reliability of the established BFRC rotating annular plate with holes were corroborated from various angles. Consequently, the developed theoretical model is deemed suitable for analyzing the vibrational properties of the BFRC rotating annular plate with holes under diverse boundary conditions.
3.3. Parametric Study
The analysis of the vibrational characteristics of the BFRC rotating annular plate with holes in this section was conducted by examining the impact of material parameters, structural parameters, and boundary restraints on its vibration frequencies. The effect of the volume fraction on the vibration frequency of BFRC rotating annular plates was also investigated, with the results depicted in Figure 6. For BFRC rotating annular plate with circular holes, the geometrical parameters were chosen to be Ri = 0.04 m, Ro = 0.2 m, Rc = 0.12 m, Rh = 0.03 m, Np = 4, p = 2, q = 9, and h = 0.008 m. For the BFRC rotating annular plate with sector holes, the geometrical parameters were chosen to be Ri = 0.02 m, Ro = 0.1 m, Rsi = 0.04 m, Rso = 0.08 m, Rd = 0.015 m, Np = 4, p = 2, q = 9, and h = 0.008 m. The rotating speed was selected to be Ω = 1000 rad/s. Throughout the discussion, unless specified otherwise, the boundary constraints for BFRC rotating annular plates with holes are assumed to be S and F, respectively.
As described in Figure 7, the first four-order forward and backward vortex frequencies increase as the volume fraction increases. Meanwhile, the variation amplitudes of forward and backward vortex frequencies are more evident with the increase of frequency order. The findings of the analysis suggest that an increased volume fraction of fiber has the effect of raising the vibration frequencies of BFRC rotating annular plates with perforations.
Figure 7.
The influence of volume fraction on the natural frequency of the BFRC rotating annular plate with holes.
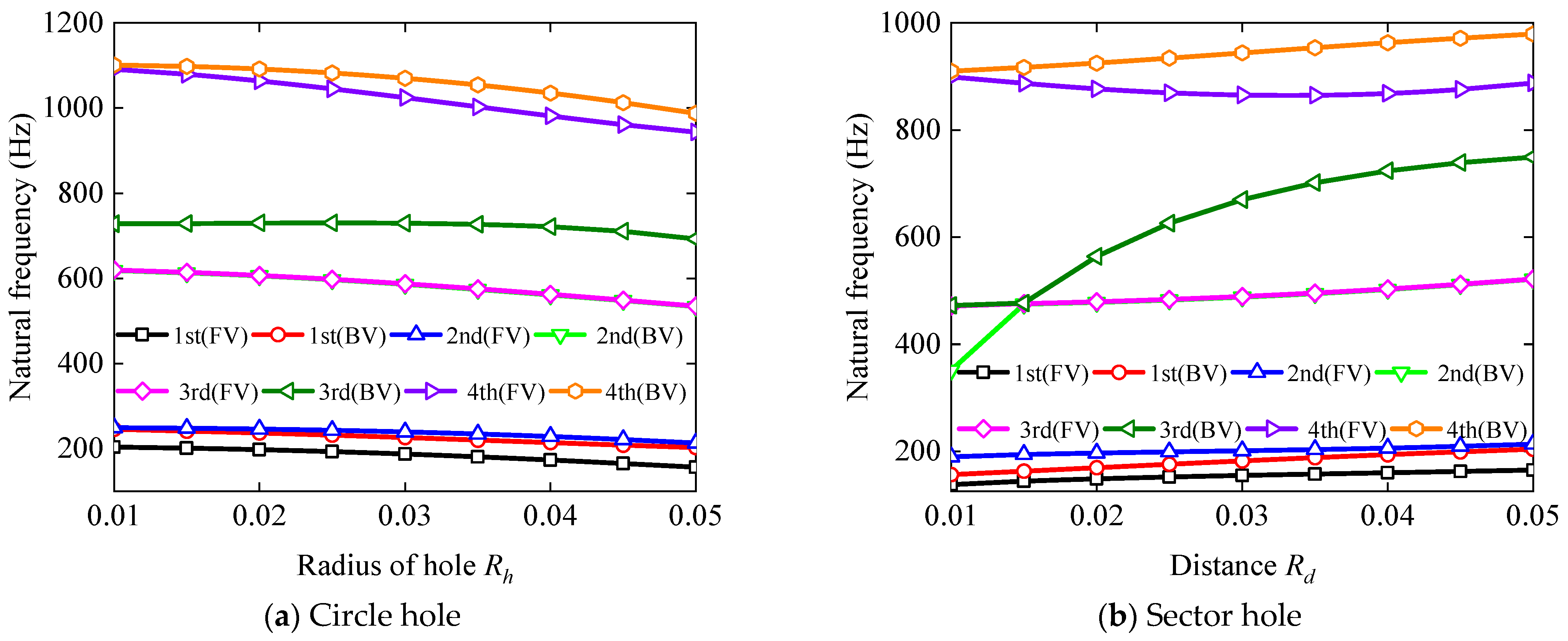
Next, the influence of the hole radius Rh and the distance Rd on the first four orders of vibration frequencies of BFRC rotating annular plates with holes were examined, with the findings obtained shown in Figure 8. The volume fraction of BFRC materials was selected as Vf = 0.6. For BFRC rotating annular plate with circular holes, the geometrical parameters can be found in Figure 6 except for the radius of hole Rh. For the BFRC rotating annular plate with sector holes, the geometrical parameters were selected to be Ri = 0.04 m, Ro = 0.2 m, Rsi = 0.08 m, Rso = 0.16 m, Np = 4, p = 2, q = 9, and h = 0.008 m.
Figure 8.
The influence of Rh and Rd on the natural frequency of the BFRC rotating annular plate with holes.
Figure 7 demonstrates that the first four forward and backward vortex frequencies of the BFRC rotating annular plate with circular holes decrease with an increasing radius of the hole Rh. Conversely, for the plate with sector holes, the first four forward and backward vortex frequencies, except for the fourth order backward frequency, increase as the distance Rd increases. It is observed that the rise in Rh leads to a reduction in the vibration frequencies, while a rise in Rd results in enhanced natural frequencies for the BFRC rotating annular plate with holes.
As depicted in Figure 9, the influences of the location of hole Rc and inner radius of sector hole Rsi on the frequency of vibration for BFRC rotating annular plates with holes are examined. For BFRC rotating annular plate with circular holes, the geometrical parameters are consistent with Figure 8 except Rc. For the BFRC rotating annular plate with sector holes, the geometrical parameters are the same as in Figure 7 except Rsi and Rso; the increments of Rsi and Rso are the same.
Figure 9.
The influence of Rc and Rsi on the natural frequency of the BFRC rotating annular plate with holes.
Figure 9 reveals that as the inner radius of the sector hole Rsi and the location of the hole Rh increase, the first-order forward and backward vortex frequencies of BFRC rotating annular plates with holes exhibit an increase, whereas the high-order forward and backward vortex frequencies show a decrease. This underscores the significant impact of the choice of hole location on the vibration frequency of BFRC rotating annular plates with holes.
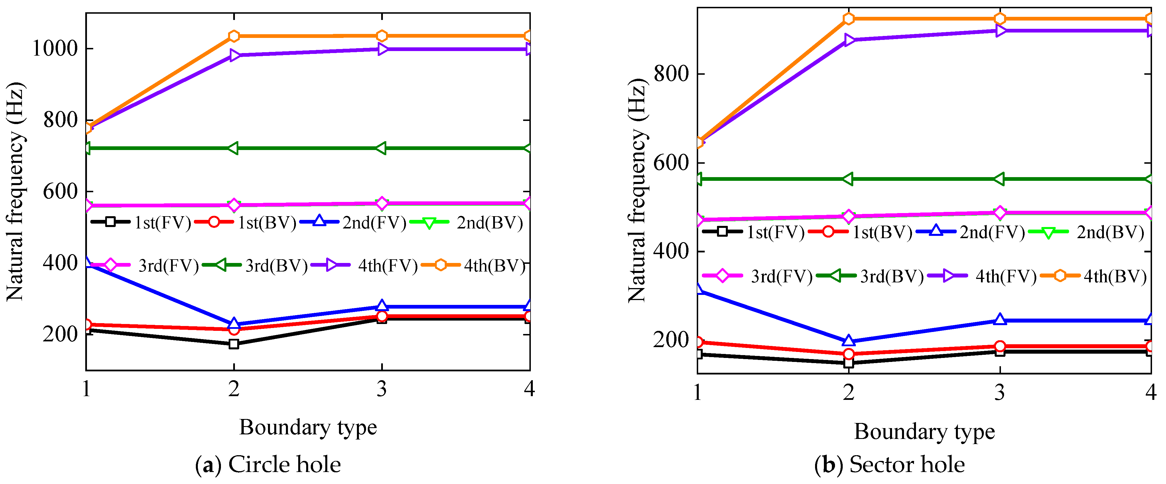
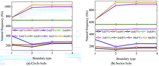
Finally, the impact of different boundaries on the vibrational frequency of BFRC rotating annular plates with holes is discussed, with the results delineated in Figure 10. For the BFRC rotating annular plate with circular holes, the geometrical parameters are consistent with Figure 8, except Rh = 0.04 m. For the BFRC rotating annular plate with sector holes, the geometrical parameters are the same as in Figure 8 except Rsi = 0.08 m and Rso = 0.16 m. The boundary types 1, 2, 3, and 4 correspond to the boundary conditions SD, S, SS, and C, respectively. These boundary conditions exclusively apply to the inner boundary of the BFRC rotating annular plate with holes.
Figure 10.
The influence of boundary conditions on the natural frequency of the BFRC rotating annular plate with holes.
As one can see from Figure 10, the boundary condition S has an important influence on the first two-order forward vortex frequencies and the fourth-order vortex frequency of BFRC rotating annular plates with holes, in contrast to the other boundary conditions. The above variation tendency can be attributed to the influence of the degree of freedom u.
4. Conclusions
This study introduces a generalized numerical model for examining the vibrational properties of the BFRC rotating annular plate with perforations under diverse boundary constraints. The model employs the differential quadrature finite element method (DQFEM) in tandem with a coordinate mapping technique, all within the first-order shear deformation theory (FSDT). This study considered both circular and sector holes, utilizing a two-dimensional bidirectional orthogonal braided fiber-reinforced composite material to construct the BFRC rotating annular plate. The effectiveness of the current model was verified through comparative analysis with literature findings, ABAQUS simulations, and experimental data, ensuring its convergence, accuracy, numerical stability, and reliability. Numerical examples were utilized to conduct the vibrational characteristic analysis of perforated BFRC rotating annular plates. The representative conclusions are presented as follows.
- (1)
- Incrementing the volume fraction for the global fiber within the BFRC material is advantageous for augmenting the vibration frequencies of BFRC rotating annular plates equipped with holes while simultaneously mitigating the detrimental effects introduced by the perforations.
- (2)
- A rise in the area of holes leads to a diminution in the vibration frequencies of BFRC rotating annular plates with circular holes. Conversely, a relocation of the holes towards the outer radius of the plate results in an increase in the first-order natural frequencies, accompanied by a decrease in the higher-order natural frequencies.
- (3)
- The presence or absence of constraints on the degree of freedom u significantly influences the vibrational properties of the BFRC rotating annular plate with holes, especially across different boundary conditions.
Author Contributions
Methodology, H.Z.; Software, S.W.; Validation, T.L.; Investigation, Z.L.; Resources, S.W.; Data curation, Z.L.; Writing—original draft, H.Z.; Writing—review & editing, T.L. and Q.W.; Supervision, Q.W.; Funding acquisition, Q.W. All authors have read and agreed to the published version of the manuscript.
Funding
The authors also gratefully acknowledge the financial support from the National Natural Science Foundation of China (Grant No. 52075554), the Natural Science Foundation of Hunan Province of China (2021JJ30841 and 2022JJ20070), and Central South University Innovation-Driven Research Program, China (Grant No. 2023CXQD049).
Institutional Review Board Statement
Not applicable.
Informed Consent Statement
Not applicable.
Data Availability Statement
The original contributions presented in the study are included in the article, further inquiries can be directed to the corresponding authors.
Conflicts of Interest
The authors declare no conflicts of interest.
Appendix A. The Annular Plate Element Mass Matrix
Appendix B. The Annular Plate Element Gyroscopic Matrix
Appendix C. The Annular Plate Element Damp Matrix
Appendix D. The Annular Plate Element Stiffness Matrix
The symbols Aij, Bij, and Dij denote the stiffness coefficients, and the corresponding expression can be written as follows:
References
- Wang, H.J.; Chen, Y.R.; Chen, L.W. Finite element dynamic analysis of rotating orthotropic sandwich annular plates. Compos. Struct. 2003, 62, 205–212. [Google Scholar] [CrossRef]
- Arafat, H.N.; Nayfeh, A.H.; Faris, W. Natural frequencies of heated annular and circular plates. Int. J. Solids Struct. 2004, 41, 3031–3051. [Google Scholar] [CrossRef]
- Luo, Z.; Wang, Y.; Zhai, J.; Zhu, Y. Accurate prediction approach of dynamic characteristics for a rotating thin walled annular plate considering the centrifugal stress requirement. J. Vibroeng. 2016, 18, 3104–3116. [Google Scholar] [CrossRef]
- Maretic, R.; Glavardanov, V.; Radomirovic, D. Asymmetric vibrations and stability of a rotating annular plate loaded by a torque. Meccanica 2007, 42, 537–546. [Google Scholar] [CrossRef]
- Kang, J.H. Axisymmetric vibration of rotating annular plate with variable thickness subjected to tensile centrifugal body force. Int. J. Struct. Stab. Dyn. 2017, 17, 1750101. [Google Scholar] [CrossRef]
- Li, D.S.; Lu, Z.X.; Chen, L.; Li, J.L. Microstructure and mechanical properties of three-dimensional five-directional braided composites. Int. J. Solids Struct. 2009, 46, 3422–3432. [Google Scholar] [CrossRef]
- Li, D.S.; Li, J.L.; Chen, L.; Lu, Z.X.; Fang, D.N. Finite element analysis of mechanical properties of 3D four-directional rectangular braided composites part 1, microgeometry and 3D finite element model. Appl. Compos. Mater. 2010, 17, 373–387. [Google Scholar] [CrossRef]
- Li, D.S.; Fang, D.N.; Lu, Z.X.; Yang, Z.Y.; Jiang, N. Finite element analysis of mechanical properties of 3D four-directional rectangular braided composites—Part 2, validation of the 3D finite element model. Appl. Compos. Mater. 2010, 17, 389–404. [Google Scholar] [CrossRef]
- Duan, Y.; Shi, D.; Liu, C.; Yang, X. Snap-through response of three-dimensional braided composite panels in thermal-acoustic-aero coupled field. Eur. J. Mech.-A/Solids 2023, 102, 105099. [Google Scholar] [CrossRef]
- Gu, Q.; Quan, Z.; Yu, J.; Yan, J.; Sun, B.; Xu, G. Structural modeling and mechanical characterizing of three-dimensional four-step braided composites: A review. Compos. Struct. 2019, 207, 119–128. [Google Scholar] [CrossRef]
- Song, Y. Free vibration of arbitrarily shaped plates with complex cutouts. Thin-Walled Struct. 2023, 190, 110979. [Google Scholar] [CrossRef]
- Avalos, D.R.; Laura, P.A.A. Transverse vibrations of simply supported rectangular plates with two rectangular cutouts. J. Sound Vib. 2003, 267, 967–977. [Google Scholar] [CrossRef]
- Liew, K.M.; Kitipornchai, S.; Leung, A.Y.T.; Lim, C.W. Analysis of the free vibration of rectangular plates with central cut-outs using the discrete Ritz method. Int. J. Mech. Sci. 2003, 45, 941–959. [Google Scholar] [CrossRef]
- Chen, Y.; Jin, G.; Liu, Z. Flexural and in-plane vibration analysis of elastically restrained thin rectangular plate with cutout using Chebyshev–Lagrangian method. Int. J. Mech. Sci. 2014, 89, 264–278. [Google Scholar] [CrossRef]
- Wang, G.; Li, W.; Feng, Z.; Ni, J. A unified approach for predicting the free vibration of an elastically restrained plate with arbitrary holes. Int. J. Mech. Sci. 2019, 159, 267–277. [Google Scholar] [CrossRef]
- Huang, W.; Xue, K.; Li, Q. Three-dimensional solution for the vibration analysis of functionally graded rectangular plate with/without cutouts subject to general boundary conditions. Materials 2021, 14, 7088. [Google Scholar] [CrossRef]
- Lee, W.M.; Chen, J.T.; Lee, Y.T. Free vibration analysis of circular plates with multiple circular holes using indirect BIEMs. J. Sound Vib. 2007, 304, 811–830. [Google Scholar] [CrossRef]
- Lee, W.M.; Chen, J.T. Eigensolutions of a circular flexural plate with multiple circular holes by using the direct BIEM and addition theorem. Eng. Anal. Bound. Elem. 2010, 34, 1064–1071. [Google Scholar] [CrossRef]
- Lee, W.M.; Chen, J.T. Free vibration analysis of a circular plate with multiple circular holes by using indirect BIEM and addition theorem. J. Appl. Mech. 2011, 78, 011015. [Google Scholar] [CrossRef]
- Senjanović, I.; Hadžić, N.; Vladimir, N. Vibration analysis of thin circular plates with multiple openings by the assumed mode method. Proc. Inst. Mech. Eng. Part M J. Eng. Marit. Environ. 2017, 231, 70–85. [Google Scholar] [CrossRef]
- Arya, B.; Rajanna, T. Effect of trapezoidal shaped laminated composite plate with and without cutout on vibration characteristics. Mater. Today Proc. 2021, 45, 34–40. [Google Scholar]
- Sun, X.; Zhang, P.; Qiao, H.; Lin, K. High-order free vibration analysis of elastic plates with multiple cutouts. Arch. Appl. Mech. 2021, 91, 1837–1858. [Google Scholar] [CrossRef]
- Van Do, V.N.; Lee, C.H. Free vibration analysis of FGM plates with complex cutouts by using quasi-3D isogeometric approach. Int. J. Mech. Sci. 2019, 159, 213–233. [Google Scholar]
- Noga, S. Numerical and experimental analyses of vibrations of annular plates with multiple eccentric holes. Strength Mater. 2016, 48, 524–532. [Google Scholar] [CrossRef]
- Narwariya, M.; Chauhan, P.S.; Sharma, A.K.; Yadav, Y.S. Dynamic analysis of isotropic annular plate with eccentric hole using finite element method. In Recent Advances in Mechanical Engineering: Select Proceedings of ITME 2019; Springer: Singapore, 2020; pp. 721–728. [Google Scholar]
- Chen, Z.; Wu, Z.; Wen, S.; Li, F. Vibration characteristics of eccentric annular plates. Thin-Walled Struct. 2023, 191, 111043. [Google Scholar] [CrossRef]
- Askari, E.; Jeong, K.H.; Amabili, M. A novel mathematical method to analyze the free vibration of eccentric annular plates. J. Sound Vib. 2020, 484, 115513. [Google Scholar] [CrossRef]
- Yang, Y.; Fan, J.; Dong, Y.; Li, Y. Symmetric and asymmetric buckling of rotating eccentric annular plate. Thin-Walled Struct. 2024, 196, 111489. [Google Scholar] [CrossRef]
- Yang, Y.; Liu, J.; Li, J.A.; Dong, Y.; Li, Y.; Li, X. Symmetric and asymmetric free vibrations of rotating eccentric annular plate. J. Sound Vib. 2024, 576, 118302. [Google Scholar] [CrossRef]
- Lee, D.; Waas, A.M.; Karnopp, B.H. Analysis of a rotating multi-layer annular plate modeled via layerwise zig-zag theory: Free vibration and transient analysis. Comput. Struct. 1998, 66, 313–335. [Google Scholar] [CrossRef]
- Lee, D.; Waas, A.M. Stability analysis of a rotating multi-layer annular plate with a stationary frictional follower load. Int. J. Mech. Sci. 1997, 39, 1117–1138. [Google Scholar] [CrossRef]
- Yang, Y.; Li, J.A.; Chen, B.; Dong, Y.; Li, Y. Symmetric and asymmetric vibrations of rotating GPLRC annular plate. Int. J. Mech. Sci. 2023, 250, 108282. [Google Scholar] [CrossRef]
- Qin, Z.; Yang, Z.; Zu, J.; Chu, F. Free vibration analysis of rotating cylindrical shells coupled with moderately thick annular plates. Int. J. Mech. Sci. 2018, 142, 127–139. [Google Scholar] [CrossRef]
- Liu, J.; Lou, J.; Chai, K.; Yang, Q.; Chu, J.; Ma, Z. Vibration analysis of cylindrical shell discontinuously coupled with annular plate with arbitrary boundary conditions. Appl. Ocean Res. 2024, 148, 104003. [Google Scholar] [CrossRef]
- Sharifi, P.; Shojaee, M.; Salighe, S. Vibration of rotating porous nanocomposite eccentric semi-annular and annular plates in uniform thermal environment using TDQM. Arch. Appl. Mech. 2023, 93, 1579–1604. [Google Scholar] [CrossRef]
- Maji, P.; Singh, B.N. Free vibration responses of 3D braided rotating cylindrical shells based on third-order shear deformation. Compos. Struct. 2021, 260, 113255. [Google Scholar] [CrossRef]
- Maji, P.; Singh, B.N. Shear deformation theory for free vibration responses of 3D braided pre-twisted conical shells under rotation. Int. J. Comput. Methods Eng. Sci. Mech. 2022, 23, 99–118. [Google Scholar] [CrossRef]
- Maji, P.; Singh, B.N. Free vibration characteristics of braided rotating Plate via 3D Finite Element Method. In Proceedings of the 67th Congress of the Indian Society of Theoretical and Applied Mechanics, Suran, India, 14–16 December 2022. [Google Scholar]
- Maji, P.; Singh, B.N.; Singh, D.B. A third-order polynomial for the free vibration response of 3D braided curved panels using various boundary conditions. Mech. Based Des. Struct. Mach. 2023, 51, 2279–2301. [Google Scholar] [CrossRef]
- Singh, D.B.; Singh, B.N. New higher order shear deformation theories for free vibration and buckling analysis of laminated and braided composite plates. Int. J. Mech. Sci. 2017, 131, 265–277. [Google Scholar] [CrossRef]
- Huang, X.; Jia, X.; Yang, J.; Wu, Y. Nonlinear vibration and dynamic response of three-dimensional braided composite plates. Mech. Adv. Mater. Struct. 2008, 15, 53–63. [Google Scholar] [CrossRef]
- Li, Z.M.; Wang, M. Large-amplitude vibration analysis of 3D braided composite cylindrical shells in an elastic medium. J. Aerosp. Eng. 2016, 29, 04015029. [Google Scholar] [CrossRef]
- Tsai, K.H.; Hwan, C.L.; Chen, W.L.; Chiu, C.H. A parallelogram spring model for predicting the effective elastic properties of 2D braided composites. Compos. Struct. 2008, 83, 273–283. [Google Scholar] [CrossRef]
- Huang, Q.; Gao, Y.; Hua, F.; Fu, W.; You, Q.; Gao, J.; Zhou, X. Free vibration analysis of carbon-fiber plain woven reinforced composite conical-cylindrical shell under thermal environment with general boundary conditions. Compos. Struct. 2023, 322, 117340. [Google Scholar] [CrossRef]
- Zhong, R.; Wang, Q.; Huang, Z.; Chen, L.; Shao, W.; Shuai, C. In-plane dynamic analysis of complex-shaped laminated cracked plates with irregular holes. AIAA J. 2023, 61, 3172–3189. [Google Scholar] [CrossRef]
- Wang, Q.; Li, Z.; Qin, B.; Zhong, R.; Zhai, Z. Vibration characteristics of functionally graded corrugated plates by using differential quadrature finite element method. Compos. Struct. 2021, 274, 114344. [Google Scholar] [CrossRef]
Disclaimer/Publisher’s Note: The statements, opinions and data contained in all publications are solely those of the individual author(s) and contributor(s) and not of MDPI and/or the editor(s). MDPI and/or the editor(s) disclaim responsibility for any injury to people or property resulting from any ideas, methods, instructions or products referred to in the content. |
© 2024 by the authors. Licensee MDPI, Basel, Switzerland. This article is an open access article distributed under the terms and conditions of the Creative Commons Attribution (CC BY) license (https://creativecommons.org/licenses/by/4.0/).









































