Abstract
This work investigated the structure, microstructure, and ferroelectric and dielectric behavior of (Pb0.97Ba0.03)(Zr0.98Ti0.02)1−xSnxO3 (PBZT_xSn) solid solution with variable tin content in the range x = 0.00–0.08. Synthesis was carried out using the powder calcination method, and sintering was carried out using the hot-pressing method. For all the PBZT_xSn samples at room temperature, X-ray diffractograms confirmed the presence of an orthorhombic (OR) crystal structure with space group Pnnm, and the microstructure is characterized by densely packed and properly shaped grains with an average size of 1.36 µm to 1.73 µm. At room temperature, PBZT_xSn materials have low permittivity values ε′ ranging from 265 to 275, whereas, at the ferroelectric–paraelectric phase transition temperature (RE–C), the permittivity is high (from 8923 to 12,141). The increase in the tin dopant in PBZT_xSn lowers permittivity and dielectric loss and changes the scope of occurrence of phase transitions. The occurring dispersion of the dielectric constant and dielectric loss at low frequencies, related to the Maxwell–Wagner behavior, decreases with increasing tin content in the composition of PBZT_xSn. Temperature studies of the dielectric and ferroelectric properties revealed anomalies related to the phase transitions occurring in the PBZT_xSn material. With increasing temperature in PBZT_xSn, phase transitions occur from orthorhombic (OR) to rhombohedral (RE) and cubic (C). The cooling cycle shifts the temperatures of the phase transitions towards lower temperatures. The test results were confirmed by XRD Rietveld analysis at different temperatures. The beneficial dielectric and ferroelectric properties suggest that the PBZT_xSn materials are suitable for micromechatronic applications as pulse capacitors or actuator elements.
1. Introduction
Piezoelectrics are materials that can realize the mutual conversion of mechanical and electrical energy and vice versa [1,2]. For many decades, the PbZr1−uTiuO3 (PZT) solid solution has been widely used in many fields of modern technology and microelectronics due to its favorable dielectric, ferroelectric, piezoelectric, and pyroelectric properties [3,4,5].
The general formula of the PZT solid solution is (u)PbTiO3-(1 − u)PbZrO3, in which changing the Zr/Ti ratio and the use of appropriate doping make it possible to obtain a wide range of functional properties of electroceramics for specific applications [6,7]. At room temperature, with high zirconium contents (u = 0.05–0.53), PZT has a rhombohedral structure (RE), and, with high titanium contents (u = 0.47–0.95), PZT has a tetragonal structure (T). At the same time, for u = 0.00–0.05, PZT exhibits an orthorhombic structure (OR). In the paraelectric state (above the transition temperature), PZT has a cubic structure (C). In the tetragonal phase, there are 180° and 90° domains. Reorientations of the 180° domains due to an external electric field or mechanical stress do not cause stresses, while reorientations of the 90° domains result in the appearance of elastic deformations near the domain boundaries. In turn, in the rhombohedral phase, there are 180° and 71°/(109°) domains, and the crystal structure can occur in a low-temperature RE(II) or high-temperature RE(I) variety. The low-temperature RE(II) phase is characterized by both shifts in the Pb(Zr/Ti) atoms in the (111) direction as well as rotations of the oxygen octahedra around this direction. When the RE(II) phase transitions to the high-temperature RE(I) phase at T = 100 °C, there is only a system of polar shifts of atoms up to a temperature of 250 °C. In the PZT compositions belonging to this area, there are two forms of order, i.e., electrical (with polar shifts) and orientational (with deformation of the unit cell) [8]. In the two-phase system of rhombohedral and tetragonal phases (for u approximately 0.48), the number of different types of domain walls increases, increasing the possibilities of domain reorientation under external factors. This leads to an increase in the piezoelectric parameters, permittivity, and polarization values in this area, which are particularly interesting in application [3,9]. Such advanced PZT-type materials with functional properties are widely used in various fields, such as mechanical engineering, robotics, automotive, medical and biomedical, aviation, electronic terminals, national defense science and technology, microelectronics, and micromechatronics [10,11,12]. Especially, the PZT-type materials with high piezoelectricity are commonly used in many devices, such as various sensors, precision actuators, ultrasonic transducers, capacitors, memories, devices for mechanical energy harvesters, and microwave, SAW, and smart devices [11,13,14].
The increased application possibilities are achieved by designing multicomponent compounds based on PZT (due to doping the basic PZT composition), improving their functional properties, and increasing the stability of their parameters. Thanks to this solution, highly efficient ferro-piezo materials are created [11]. The wide isomorphism of PZT enables substituting both pentavalent and trivalent ions in the Zr/Ti positions, which act as donors and acceptors, respectively [9]. Donor 5+ dopants, due to the reduction in the number of oxygen vacancies, increase the volume resistance of the ceramics. On the other hand, acceptor 3+ dopants reduce the grain resistance, causing a slowdown in the movement of domains due to increased oxygen vacancies [15]. In PZT ceramic materials, oxygen vacancies cannot be avoided due to the evaporation of lead during the high temperatures of the sintering process [16]. Many works have been published so far on modifying the main composition of PZT with various dopants, by substituting both the Pb and Zr/Ti positions [17,18,19]. For example, doping with higher-valence donor ions instead of Pb (e.g., Sm3+, La3+, Bi3+, and Nd3+) or in the Zr/Ti positions (e.g., Nb5+, Sb5+, and W6+) leads to the formation of lead vacancies, promoting domain deviation in the electric field. This results in an increase in the residual polarization Pr and a decrease in the coercive field Ec [20,21]. The introduction of lower-valence acceptor ions instead of Pb (K+ and Na+) or in the Zr/Ti positions (e.g., Fe2+, Fe3+, Co2+, Co3+, Mn2+, Mn3+, Ni2+, Cr3+, and Mg2+) generates oxygen vacancies and the so-called pinning effect, as a result of which the ceramics will show an increased coercive field but reduced residual polarization [20,21,22]. Kelley et al. observed a significant enhancement in the electromechanical response in BaTiO3 induced by the controlled injection of oxygen vacancies [23]. Tai et al. showed that, in BiFeO3−BaTiO3 material, the increasing oxygen vacancies enhance the transient piezoelectric response. However, the aging behavior deteriorates with increasing oxygen vacancy concentration, leading to the degradation of the piezoelectric performance [24]. In the case of industrial production, obtaining repeatable properties of ceramic materials in the technological process is extremely difficult, among other aspects, due to their high hardness and brittleness, difficulties in obtaining the stoichiometry of the composition resulting from low forming efficiency, complex technological processes, and disadvantages regarding the traditional obtaining methods [25]. PZT-type materials are mainly obtained by the free sintering method (FS, pressureless) due to its simplicity and low cost [26,27]. Other sintering methods used include, for example, microwave sintering [26,28], spark plasma sintering (SPS) [19,29,30,31,32], flash sintering [33], the hot-pressing method (HP) [19,29], and the cold sintering process (CSP) [34,35]. The development of nanotechnology in recent years has forced the need to control the grain growth during the sintering of nanostructured PZT [36]. Several methods have been developed for the synthesis of one-dimensional nanostructured PZT, such as hydrothermal, ultrasonic spray combustion synthesis, electrohydrodynamic atomization, sol–gel routs, co-precipitation, and electrospinning [9,36,37,38]. Recently, new methods for obtaining PZT-type materials such as Ink-Jet Printing [39], the stereolithography method [40], 3D printing [41], and vat photopolymerization (VPP) in the additive manufacturing (AM) process have been proposed, which have created new possibilities in the preparation of advanced ceramics with high precision and surface quality [25].
Also, introducing an isovalent dopant to the mainly PZT composition causes changes in the electrophysical properties of the solid solution. For example, introducing a Ba2+ dopant into the lead position increases the so-called ferroelectric hardness. Handerek et al. in [42] studied the dielectric properties of the ceramic (Pb0.75Ba0.25)(Zr0.70Ti0.30)O3 (PBZT), which is a solid solution of the rhombohedral ferroelectric PBZ and the tetragonal ferroelectric PBT. In the studied composition, they revealed typical relaxor behavior, in which the dielectric constant value decreased and the maximum shifted towards higher temperatures with increasing frequency. For example, the attractive properties of PBZT crystals at low titanium contents were presented in [43]. It was shown that even a low PbTiO3 content introduced to the PbZrO3 firmly changes and provides new properties to the newly formed solid solution. Ti ions induce the formation of polar regions even in the paraelectric phase [44] and significantly extend the temperature range of intermediate-phase existence [45]. It has been shown that both point defects and Ti ions can influence the range and nature of the intermediate phase (ferroelectric or a mixture of paraelectric, ferroelectric, and antiferroelectric phases) in PZT material [43]. The inspiration for researching the PBZT ceramic material was interesting literature reports on the unique properties of crystals with similar compositions, including structural change occurring near the ferroelectric and antiferroelectric phase boundary [43]. Also, there are no literature reports on the study of PBZT material doped with tin and sintered by hot pressing, which is an aspect of novelty in this work. In this work, the (Pb0.97Ba0.03)(Zr0.98Ti0.02)1−xSnxO3 (PBZT_xSn) tin-doped material for x = 0.00–0.08 was obtained using the HP method, and X-ray, microstructural, dielectric, and ferroelectric tests and XRD Rietveld analysis at different temperatures were subsequently carried out.
2. Materials and Methods
2.1. Material and Technological Process
The research material was a solid solution of the PbZr0.98Ti0.02O3 type modified with Ba barium and Sn tin. In the basic composition, barium was substituted for lead (position A of the compound), and, in all compositions, it had a constant amount (y = 0.03). In turn, tin was substituted in the B position of the compound (in place of Zr/Ti) with a variable amount from the range x = 0.00–0.08. The general chemical formula of the tested material was as follows: (Pb1−yBay)(Zr0.98Ti0.02)1−xSnxO3 (PBZT_xSn). In the technological process, the synthesis of the PBZT_xSn material was carried out using the powder calcination method. In contrast, the sintering of the compacts was carried out using the hot-pressing method. The following reagents in technology were used, i.e., BaCO3 (99.99%, POCH, Gliwice, Poland), TiO2 (99.9%, Merck, Darmstadt, Germany), ZrO2 (99.5%, Aldrich, St. Louis, MO, USA), PbO (99.9%, POCH, Gliwice, Poland), and SnO2 (99.9%, Aldrich, St. Louis, MO, USA). The powders were weighed according to the stoichiometric ratio with an excess of PbO (5%) and then mixed with ethanol for 15 h at 250 rpm rotating speed of the planetary mill (FRITSCH Pulverisette 6, Idar-Oberstein, Germany). Then, a mixture of powders was calcined at Tcalc = 850 °C/tcalc = 3 h and ground again after the calcination process. Next, synthesized powders of PBZT_xSn material were compacted on a hydraulic press under a pressure of 300 MPa (samples with dimensions of 10 mm in diameter and 3 mm in thickness). Sintering was carried out by hot pressing under Ts = 1200 °C/ts = 2 h/ps = 20 MPa. Five compositions of (Pb0.97Ba0.03)(Zr0.98Ti0.02)1−xSnxO3 (PBZT_xSn) materials were obtained for x = 0.00–0.08, which have been marked as PBZT_0Sn (for x = 0.00), PBZT_2Sn (for x = 0.02), PBZT_4Sn (for x = 0.04), PBZT_6Sn (for x = 0.06), and PBZT_8Sn (for x = 0.08). After the sintering process, the ceramic samples were ground and polished to a thickness of 1 mm. In order to remove mechanical stresses that occurred during grinding, the samples were annealed at conditions of 750 °C/15 min. The PBZT_xSn ceramic samples were prepared for dielectric tests by applying silver paste to both surfaces of the samples by firing method at a temperature of 850 °C/15 min.
2.2. Characterization
The phase composition of the material obtained was studied by X-ray diffraction (XRD) with a Philips X’Pert PW 3040/60 diffractometer (PANalytical, in Almelo, the Netherlands) equipped with a copper anode lamp (CuKα λ = 1.54178 Ǻ) and a graphite monochromator. The patterns were recorded by “step-scanning” with 0.04 degrees within the 2θ angle range from 5° to 145° and a 40 kV acceleration voltage at room temperature (RT). The line profile standard for instrumental broadening was NIST standard SRM660a (LaB6 powder). The analysis was performed using HighScore Plus software version 3.0d (3.0.4, produced by PANalytical B.V., Almelo, The Netherlands) and the ICDD PDF-5+ database. The temperature-dependent X-ray diffraction measurements were performed with a Malvern Panalytical (Malvern Instruments, Malvern, UK) Empyrean diffractometer using a nickel-filtered Cu Kα1,2 radiation (λ = 1.5406 Å) and equipped with a PIXcell3D ultra-fast solid-state hybrid detector. The diffractometer was also equipped with an Anton Paar (Anton Paar, Graz, Austria) TTK 450 temperature chamber. Measurements were carried out at the selected temperatures of 30 °C, 90 °C, 130 °C, 170 °C, and 230 °C during heating cycle and 170 °C, 130 °C, 90 °C, and 60 °C during cooling cycle. The measurements were performed in a reflection mode, in the Bragg–Brentano geometry (θ–θ scan technique), within the 2θ range of 10–90°. The Rietveld refinement was performed using the FullProf program suite [46].
The relative density of PBZT_xSn ceramic samples was estimated using the Archimedes method. The sample surfaces were sputtered with gold for microstructural tests using Smart Coater DII-29030SCTR (Jeol, Ltd., Tokyo, Japan). The analysis of energy dispersive spectrometry (EDS) and microstructures of fracture ceramic samples (SEM) were performed using Jeol Field Emission Scanning Electron Microscope (JSM-7100 TTL LV, Jeol Ltd., Tokyo, Japan). ImageJ software (ImageJ 1.37v, LOCI, University of Wisconsin-Madison, WI, USA) was used to calculate the average grain size using SEM microstructural images. The dielectric measurements were measured during the heating cycle using the QuadTech LCR meter (QuadTech, Maynard, MA, USA) in the range 20 to 400 °C and at frequencies from 500 Hz to 1.0 MHz. Hysteresis loops P–E were tested using a high-voltage amplifier (Matsusada Precision Inc., HEOPS-5B6, Kusatsu, Japan) and a Sawyer-Tower circuit [47] at RT. A National Instruments NI USB-6002 digital card was used to capture the data (National Instruments, Austin, TX, USA), while the control program of the measuring system was written in the LabView environment.
3. Results and Discussion
3.1. Structural Test
The X-ray diffraction patterns of the PBZT_xSn ceramic powders are presented in Figure 1. For all the samples, the analysis revealed the presence of reflections belonging to the main composition of Pb(Zr0.97Ti0.03)O3 (01-089-8012 ICDD PDF-5+) with an orthorhombic crystal system with space group Pnnm and lattice parameters a = 5.8629 Å, b = 11.7401 Å, and c = 8.2069 Å [48]. In the studied material, distinct peaks of doublets belonging to orthorhombic phases (202)/(042) and (230)/(212) were recorded for angles 2θ equal to 37.65° and 38.4°, respectively. In the crystal structure, Zr atoms displace along the z-axis in the crystal structure, and local disorder occurs in the oxygen substructure [48]. Figure S1 (Supplementary Materials) shows two enlarged diagram fragments of the X-ray diffraction patterns. In the angle region 2θ = 42°–45° (Figure S1a), a shift in the doublet orthorhombic phase (240)/(004) is observed towards higher angles for the composition with increasing amounts of Sn. Similarly, in the region of angles 2θ = 53°–55° (Figure S1b), the increase in tin causes a shift in the (322)/(162)/(044)/(204) peaks. It may indicate a decreased distance between the ions in the B positions of the unit cell with increased Sn in PBZT. It is due to the difference in the size of the ionic radii of the replaced ions (rZr = 0.72 Å) and the substitution ions (rSn = 0.69 Å) introduced into the B positions of the compound [49]. According to [50], the substitution of Sn4+ in Pb(Zr,Ti)O3 into the B (Zr, Ti)4+ position of the compound reduces the distortion of the ferroelectric phase unit cell, decreasing the volume difference between the ferroelectric and antiferroelectric phases.
Figure 1.
XRD patterns of the PBZT_xSn ceramic powders at room temperature.
The average crystallite size was determined based on the measurements, and Rietveld analysis was performed using FullProf software version 7.95 (Jan2023-ILL JRC). The analysis was performed based on the broadening diffraction lines compared to the apparatus profile function. The silicon standard sample was measured before the measurements, and the diffraction line parameters were refined. Based on the results obtained using the full pattern calculation, the average crystal size was determined to be 1182(3) Å. The X-ray diffraction method provides an average size of the coherent diffracting domains, usually much smaller than the overall grain size. Grain boundaries can contain disordered regions, defects, and voids that do not contribute to coherent X-ray diffraction, meaning that the crystallite size is measured only within individual coherence domains.
3.2. Microstructure
Figure 2 shows microstructural SEM images of the PBZT_xSn ceramic samples. The SEM images show densely packed and properly shaped grains with strongly outlined grain boundaries. The fracture occurs mainly at the grain boundaries, which indicates the ceramic samples’ high mechanical strength and confirms the technological process’s correctly selected parameters. The average grain size for the PBZT_xSn material ranges from 1.36 µm to 1.73 µm. The PBZT_2Sn composition has the most excellent uniformity of grain size and the smallest average grain size (1.36 µm) (Figure 2b). The largest grains are characterized by the composition with the highest tin content (PBZT_8Sn), with an average grain size of 1.73 µm (Figure 2e). In [51], ceramic samples of the material (Pb0.95Ba0.05)(Zr1−uTiu)O3 prepared by the solid-state reaction method were obtained, which showed a fine-grained microstructure. However, these samples were characterized by improperly shaped grains, and the microstructure was characterized by high grain size inhomogeneity. In [52], the adopted technological conditions had a positive effect on the microstructure of the material (Pb0.925Ba0.075)(Zr1−uTiu)O3, showing more greater correctness of grain shape but with significantly larger grains compared to our results. The obtained PBZT_xSn ceramic materials exhibit high material density (from 7.34 to 7.60 g/cm3). However, earlier studies presented in [53] have shown that using the SPS sintering method (while maintaining optimal sintering conditions) enables obtaining a fine-grained microstructure and increasing the density of the PBZT_xSn material. Thus, considering the influence of the applied sintering method on the density of ceramic samples, the most advantageous sintering method of the PBZT_xSn material seems to be SPS. At the same time, the least satisfactory results are obtained in the classical sintering method [54]. The ceramic samples of the PBZT_xSn material sintered by hot pressing have intermediate density values.
Figure 2.
Microstructures and statistical results of the grain size distribution of PBZT_xSn ceramic samples obtained using HP technology: PBZT_0Sn (a,f), PBZT_2Sn (b,g), PBZT_4Sn (c,h), PBZT_6Sn (d,i), PBZT_8Sn (e,j); (k) EDS analysis image of the element distribution for the PBZT_xSn ceramic samples.
Figure 2k shows the results of the surface EDS analysis for the PBZT_xSn material, while Table 1 summarizes the results of the experimental studies and theoretical calculations for the individual compositions. EDS analysis was performed on a larger area of the ample surface, and the experimental results are the average result of five randomly selected areas of the surface microstructure of the ceramic sample. The qualitative EDS analysis showed the presence of all the elements assumed in the designed chemical compositions and the absence of foreign elements and impurities. The quantitative EDS analysis revealed a slight excess of lead oxide and deficiencies of ZrO2, TiO2, SnO2, and BaO compared to the theoretical amounts. It may be due to the excess PbO used during the technological process of using the PBZT_xSn material.
Table 1.
Mass % of compounds in samples calculated for theoretical and experimental investigations (HP).
3.3. Ferroelectric Properties
Figure 3a shows the ferroelectric properties of the PBZT_xSn ceramics (for a field of 4 kV/mm) in the form of a ferroelectric P–E hysteresis loop. At room temperature, the PBZT_xSn material exhibits an orthorhombic phase (OR), which results in low values of residual polarization Pr and low saturation of the P–E loop. The residual polarization values range from 0.30 μC/cm2 to 0.53 μC/cm2, while the maximum polarization values Pm range from 1.52 μC/cm2 to 2.08 μC/cm2 (Table 2). At room temperature, the samples exhibit a reasonably wide hysteresis loop (coercive field Ec = 1.14 kV/mm for PBZT_0Sn), which narrows with the increase in tin in PBZT (Ec = 0.69 kV/mm for PBZT_8Sn). The increase in temperature causes a structural transformation (OR–RE) in the PBZT_xSn material. In ferroelectric studies, this is manifested in a rapid increase in polarization (above 75 °C) and obtaining an intense saturation of the hysteresis loop (above 90 °C). Figure 3b shows the change in the P–E hysteresis loop with increasing temperature (performed every 5 °C) for an exemplary PBZT_6Sn composition in the temperature range from RT to 140 °C. At room temperature, the ceramics exhibit low values of residual polarization (0.26 μC/cm2) and maximum polarization (1.38 μC/cm2), while, above the observed OR–RE transition, the Pr and Pm polarization values increase to 26.74 μC/cm2 and 33.62 μC/cm2, respectively (Figure 3c). Up to a temperature of 130 °C, the values of the above parameters remain at a similarly high level. The coercive field values Ec as a function of temperature exhibit slightly different behavior (Figure 3d). With the increase in temperature, an increase in the coercive field value is observed (at RT Ec = 0.66 kV/mm), while, at a temperature of approximately 76 °C, a maximum of the Ec value occurs, which is 0.96 kV/mm. After exceeding it, a slight decrease in the coercive field value is observed (Figure 3d). A good presentation of the obtained results and the changes in the ferroelectric properties of the tested material in the vicinity of the OR–RE transformation region can be obtained by the compilation of the P–E hysteresis loops created every 5 °C on one graph with the P–E graphs shifted by a constant shift value on the OX axis (Figure 3e). As a supplement, within Figure 3d, the collective P–E plots obtained below the OR–RE transformation temperature are also included, which show the width of the hysteresis loop of a series of samples in the orthorhombic OR phase. Comparing the results of the temperature studies of the ferroelectric hysteresis loop for the PBZT_6Sn sample sintered with different technologies (i.e., hot pressing in the present work and classical method in [53]), it can be stated that, in the classical method, the initiation of the OR–RE structural transformation occurs at a higher temperature (the rhombohedral phase appears at approximately 90 °C). Hysteresis loops have higher values of coercive field (~1.46 kV/mm), but the values of residual polarization (20.6 μC/cm2) and maximum polarization (23.8 μC/cm2) in the rhombohedral phase RE are much lower [53]. Figure 3c,d show that the temperature changes in the residual polarization Pr, the maximum polarization Pm, and the coercive field Ec in two adjacent phases (orthorhombic and rhombohedral) occur relatively stably. The rapid changes in the Pr and Ec parameters occurring in a wide temperature range between these phases indicate the coexistence of both phases in this area.
Figure 3.
(a) P–E hysteresis loops for PBZT_xSn ceramic samples at room temperature and E = 4 kV/mm, (b) temperature P–E loop for PBZT_6Sn sample, (c) temperature dependence of remnant polarization and (d) coercive field, and (e) temperature P–E loop for PBZT_6Sn sample with shift in results by a constant value along the OX axis.
Table 2.
Parameters of the PBZT_xSn ceramic samples.
The ferroelectric ceramics’ coercive field depends on the microstructure’s grain size [55]. Large grains can have a well-developed domain structure, in which the movement of domain walls will take place at a relatively low electric field, and, consequently, the coercive field decreases with the increase in grain size. However, when Pb is in the PZT composition, the excess PbO can cause stress inside the grain and distortion of the lattice. The resulting stress effectively blocks the movement and alignment of the domain, thus necessitating a larger external electric field for domain reorientation [55]. Generally, in ferroelectric materials, the increase in temperature affects the movement of domain walls, but, in the orthorhombic phase, the changes in polarization and coercive field are small. As shown in Figure 3c,d, pronounced changes in parameters Pr and Ec occur only when the ferroelectric phase appears. In the wide area of coexistence of two orthorhombic and rhombohedral phases, there is an increase in the polarization Pr and a maximum value of coercive field Ec. Above 115 °C, Pr decreases due to the so-called pyroelectric effect [56]. In the temperature range of the rhombohedral phase, with increasing temperature, the Ec value decreases due to the decrease in the interfacial energy of the ferroelectric domains, which makes the movement of the domain walls easier. The temperature-dependent change in the shape of the hysteresis loop indicates the movement of the domain walls, crystal structure, and internal spontaneous reorientation of polarization [56]. The changes observed in a wide area indicate the coexistence of two phases and the phase transition from orthorhombic to rhombohedral. Similar phenomena have been observed in several previous works in PZT-based materials with high Zr content [57] and in PMN-PT-type solid solutions [56].
3.4. Dielectric Properties
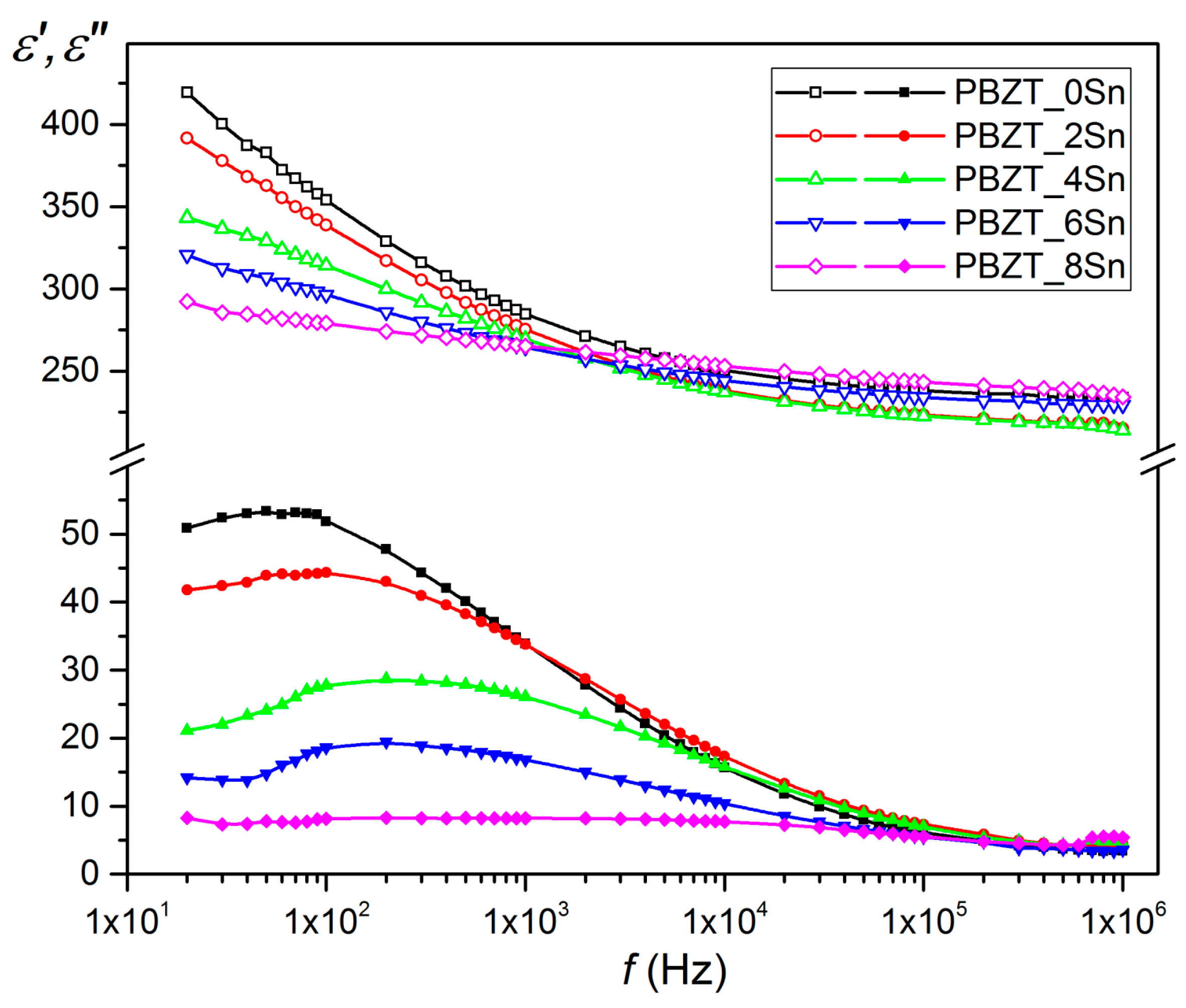
Figure 4 shows the changes in the real part of the dielectric constant ε′ and dielectric loss ε′′ for the PBZT_xSn material as a function of frequency in the range from 20 Hz to 1 MHz. The highest values of the dielectric constant are found in the undoped material (composition PBZT_0Sn), which also has the highest values of dielectric loss. At room temperature, the dielectric constant and dielectric loss exhibit dispersion at low frequencies (Figure 4), which decreases with increasing tin content in the PBZT_xSn composition. At lower frequencies, both ɛ′ and ɛ″ have large values that decrease with increasing frequency. The observed phenomenon in the ferroelectric materials can be explained based on the Maxwell–Wagner two-layers model of polarization [58] for space charge or interfacial polarization and Koop’s phenomenological theory [59]. This model describes dielectric materials as a system consisting of fairly conductive grains separated by grain boundaries with higher resistance [60]. In this case, under the influence of an applied external field, electrons (e−) can easily migrate from the interior of the grains and accumulate at the grain boundaries [61]. Thanks to this, the material obtains a high dielectric constant and polarization. However, the increased frequency of the applied field causes the electrons to reverse their motion, reducing the probability of reaching the grain boundary and decreasing polarization [61]. This low-frequency behavior suggests that conduction mechanisms play an essential role in the dielectric response of ceramic materials [62]. In the ε′′ (T) graphs, there is a strongly diffuse relaxation peak, the shape of which results from the superposition of low-frequency conduction. The observed maximum occurs at lower frequencies than in [63].
Figure 4.
The variation in the dielectric permittivity as a function of frequency for PBZT_xSn ceramic samples.
Figure 5a presents the temperature studies of the permittivity for the PBZT_xSn material. At room temperature, all the samples have low permittivity values ranging from 265 to 275 (Table 2), and, with increasing temperature, the permittivity increases significantly. In the temperature graphs ɛ(T) for the PBZT_xSn material, several characteristic phenomena can be observed, which occur in different temperature regions. The first anomaly occurs in the temperature range from 148 °C to 155 °C and is manifested by a rapid increase in permittivity. The observed anomaly is related to the thermal and structural transformation from the orthorhombic OR phase to the rhombohedral RE phase. The second phenomenon observed in the temperature range from 205 °C to 228 °C, with a distinct sharp maximum of permittivity at Tm, corresponds to the ferroelectric–paraelectric phase transition. The PBZT_xSn material exhibits high permittivity values at the phase transition temperature Tm, which are 12,141, 11,526, 10,850, 10,861, and 8923 for PBZT_0Sn, PBZT_2Sn, PBZT_4Sn, PBZT_6Sn, and PBZT_8Sn, respectively. The trend includes increasing tin content in the PBZT material and decreasing permittivity values εr and εm (Table 2). In [64], for a comparable composition of the PBZT material, the phase transition from the ferroelectric phase to the paraelectric phase occurs in a similar temperature range, showing a sharp phase transition characteristic of PZT-type materials from the morphotropic region. However, the maximum permittivity values are twice as low as the εm values for the material presented in this work. In the ε(T) graphs above the phase transition temperature Tm, there is also a third anomaly, i.e., dielectric dispersion that is related to a conductivity phenomenon, which is related to the increase in defect mobility (a high-temperature relaxation) [65,66]. Usually, space charge relaxations are related to conductivity phenomena, and the relaxation frequency is corrected by defect occurrence (charge carriers) that depends on the synthesis conditions [66].
Figure 5.
Permittivity (a) and dielectric tangent loss (b) vs. temperature of PBZT_xSn ceramics.
It is commonly accepted that dielectric relaxation in oxide materials in the high-temperature region is usually associated with oxygen vacancies, and dielectric relaxation associated with oxygen vacancies, as a rule, occurs in the low-frequency region [64,67,68]. A similar phenomenon of high-temperature relaxation was presented in [64,69], where the results of the temperature dielectric tests of PZT material in higher temperature ranges were presented. The high-temperature dielectric relaxation phenomenon intensifies with increased Sn content in the main PBZT composition (Figure 5a).
The dielectric properties of the PBZT_xSn material are also influenced by the sintering method used in the technological process. The permittivity values for those samples obtained by hot pressing are higher than in the classical method of obtaining ceramics. However, they have slightly lower values than the series of samples obtained by the SPS method [53]. Figure 5b shows temperature-dependent dielectric loss diagrams for a series of PBZT_xSn samples. At room temperature, PBZT_xSn ceramics exhibit low dielectric loss that ranges from 0.031 to 0.123 (Table 2). The dielectric loss decreases as the Sn content in the main PBZT composition increases. Similarly to the temperature measurements of permittivity, the transformations occurring in the PBZT_xSn material are clearly visible on the temperature tanδ(T) diagrams in the form of various anomalies appearing in different temperature areas. The first anomaly in the form of a local maximum observed in lower temperature ranges (~150 °C) is associated with the occurring OR–FE structural transformation. In turn, in the higher temperature range, i.e., ~200–225 °C, the anomaly that appears is related to the presence of the FE–PE phase transition of the PBZT_xSn material. With further temperature increases, the dielectric loss increases significantly due to increased electrical conductivity. In [64], for a comparable PBZT material composition, similar values of dielectric loss were obtained, but their increase at higher temperatures is rapid.
Figure 6 shows a summary graph of permittivity as a function of temperature for a series of tested compositions of the PBZT_xSn material measured at 1 kHz in the heating cycle. The analysis showed the influence of the tin dopant on the dielectric properties and the temperatures of the phase transitions. The increase in the tin dopant in PBZT_xSn shifts the phase transition temperature from the orthorhombic OR phase to the rhombohedral RE phase (the transition occurs at a higher temperature). In the case of ferroelectric–paraelectric phase transition (RE–C), the opposite trend occurs, i.e., the increase in Sn content in the PBZT_xSn material lowers the RE–C transition temperature. A decrease in the maximum value of permittivity εm is also observed at the phase transition point Tm.
Figure 6.
ε(T) graph for PBZT_xSn material measured at 1 kHz in the heating cycle.
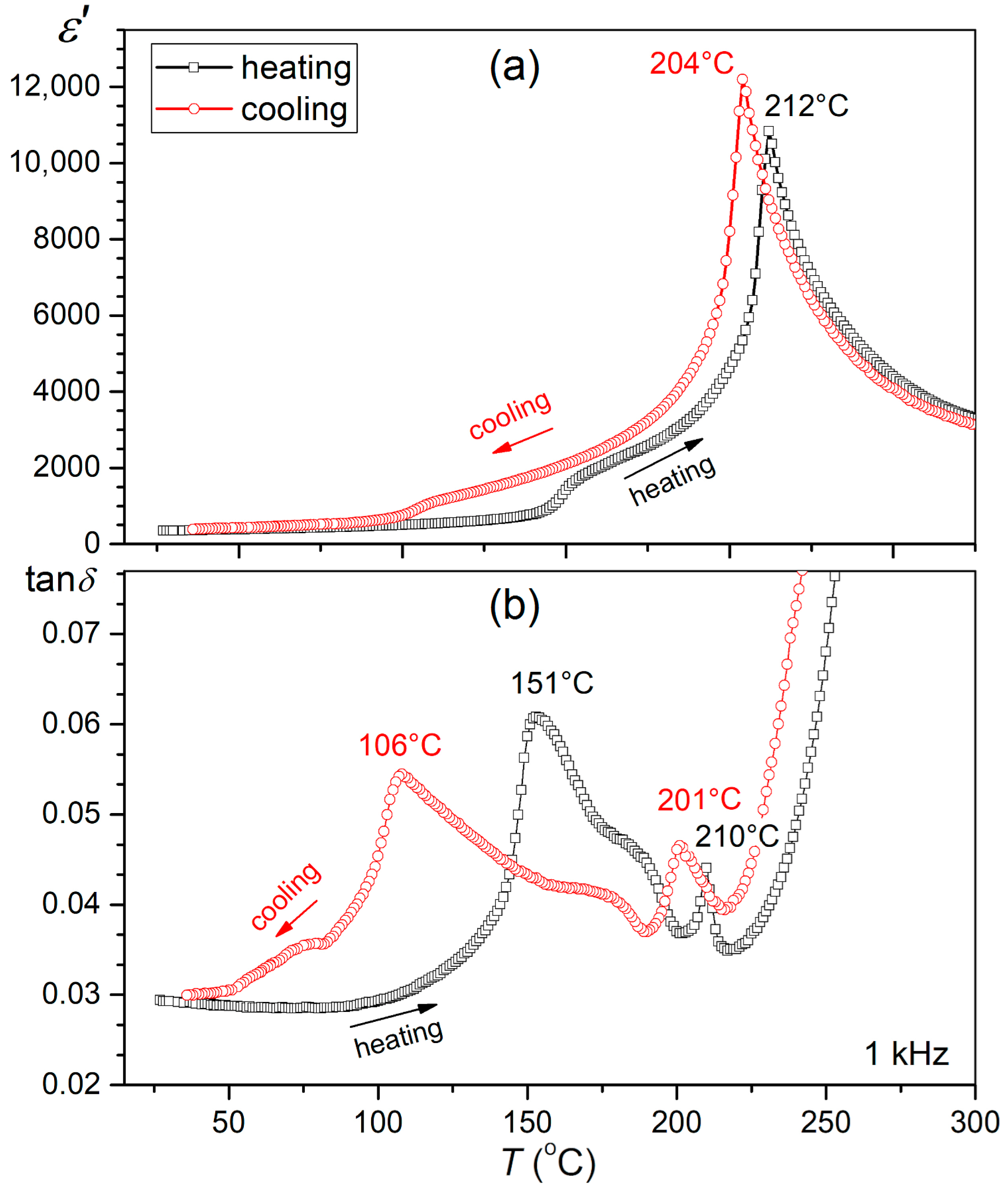
Figure 7 shows the temperature studies of the dielectric properties of permittivity and dielectric loss angle tangent (in an enlarged range) for the reference sample PBZT_xSn performed for the heating and cooling cycles. Both in the permittivity and dielectric loss graphs (in the heating and cooling cycles), the phase transitions occurring in the material from the orthorhombic phase to the rhombohedral phase (OR–RE) and from the ferroelectric rhombohedral phase to the paraelectric cubic phase (RE–C) were revealed. In the orthorhombic phase, the permittivity remains low, but, after the transition to the rhombohedral phase, the permittivity rapidly increases. The maximum value of electric permittivity occurs at the temperature of the ferroelectric–paraelectric phase transition (Tm), with a sharp character of the phase transition. In the heating cycle, the structural transformation (OR–RE) occurs in the broader temperature range of 140 °C–155 °C, while the RE–C phase transition occurs at Tm = 212 °C. In the cooling cycle, the studies have shown a shift in the ranges of characteristic structural transformations towards lower temperatures. Thus, the Tm temperature decreases to 204 °C, and the range of the RE-OR transformation is revealed in the lower temperature range (110 °C–90 °C). Moreover, on the ε(T) and tanδ(T) graphs in the cooling cycle, a flattening of the effects of the presence of the OR–RE transformation is observed, which is more strongly outlined in the heating cycle. In the tanδ(T) graph (Figure 7), the shifts in the characteristic maxima occurring during cooling are also clearly visible. The maximum tanδ for the OR–RE transformation for the heating cycle occurs at a temperature of 151 °C and in the cooling cycle at 106 °C. In turn, the characteristic tanδ maximum, which usually appears just before the ferroelectric–paraelectric transition (RE–C) for heating, occurs at a temperature of 210 °C and in the cooling cycle at 201 °C. The observed thermal hysteresis in Figure 7 can be explained by the high mobility of ions in the paraelectric phase [70]. Similar anomalies in the temperature profiles of the dielectric properties occurring during the heating and cooling cycles have been presented in several thematic works for the PZT material from the low-titanium-content area, e.g., [43,57,71], and in PMN-PT-type solid solutions [56]. Several previous works have observed similar phenomena in PZT-based materials with high Zr content [57].
Figure 7.
Temperature studies of dielectric properties (a) ε(T) and (b) tanδ(T) for the PBZT_6Sn sample measured at 1 kHz in the heating and cooling cycles.
3.5. Temperature X-ray Tests
In order to confirm the phase transitions revealed by the ferroelectric and dielectric studies, temperature X-ray studies were performed in the observed temperature ranges and heating and cooling cycles (Figure 8). The measurements were performed at several selected temperatures, i.e., 30 °C, 90 °C, 130 °C, 170 °C, and 230 °C. The evolution of the characteristic diffraction reflections belonging to the individual phases is observed in the X-ray images with the change in the measurement temperature. Figure 9a shows a broader measurement range of the measured 2θ angles (14°–90°), while Figure 9b shows an enlarged area with 2θ angle ranges of 53°–55.5°. At room temperature, the PBZT_xSn material exhibits an orthorhombic structure. During heating, the structural transformation to the rhombohedral phase was revealed in the temperature range from 130 °C to 170 °C. Another phase transition from the rhombohedral ferroelectric phase to the cubic paraelectric phase occurs between 170 °C and 230 °C. The occurring quadruple of the OR phase (322)/(162)/044)/(204) observed at angles 2θ = 54.2°–54.5° gradually disappears with temperature and transforms into a triplet of the RE phase (300)/(214)/(018) in the angle range 2θ = 54.0°–54.3°, and then into a singlet of the cubic C phase (211) at an angle of 2θ = 54.1°. Similarly to dielectric studies, the measurement in the cooling cycle shifts the characteristic ranges of phase transitions towards lower temperatures. During cooling, the rhombohedral phase appeared between temperatures of 230 °C and 170 °C, while the rhomboidal phase began to emerge between 130 °C and 90 °C. At 90 °C, the coexistence of two phases (rhombohedral and orthorhombic) was recorded, which gradually disappears, and, at 60 °C, the orthorhombic phase dominates with trace amounts of the rhombohedral phase. In perovskite materials, the transition from a cubic (paraelectric) system to a ferroelectric system is associated with a change in the volume of the unit cell [57,71]. The fitting parameters performed using the Rietveld method for the PBZT_6Sn sample at individual temperatures for the heating and cooling cycles are listed in Table 3. The X-ray studies that were performed correlate well with the temperature studies of the dielectric parameters. Detailed analysis using the Rietveld method for the cooling cycle measurements also showed that, at 90 °C, the share of the orthorhombic phase in the compound is 21(1)%, while the share of the rhombohedral phase is 79(1)%. At 60 °C, the orthorhombic phase predominates (its percentage share is 62(1)%), while the share of the rhombohedral phase is 38(1)%. Figure 9a shows the positions of the Rietveld enhancement reflections for each XRD pattern, clearly illustrating the occurring phase transitions in the PBZT_xSn ceramics observed during the heating and cooling cycles in the research results presented above. On the other hand, Figure 9b shows the evolution of the pseudo-cubic lattice parameters, which were calculated for all the measured temperature points in the heating and cooling cycles. The visualization of the pseudo-cubic lattice parameters expressed by parameter a0 of the unit cell also clearly shows the evolution of the pseudo-cubic cell changes and confirms the observed differences during the heating and cooling cycles.
Figure 8.
Temperature-dependent XRD patterns of the PBZT_xSn ceramics; (a) full measurement range for 2θ angles (14°–90°); (b) the reflection peaks around 2θ = 54°. The beginning of the heating cycle from 30 °C to 230 °C and then the cooling cycle to 60 °C.
Figure 9.
(a) The reflection positions of the Rietveld refinements for each XRD pattern of the PBZT_6Sn ceramics and (b) the evolution of the pseudo-cubic lattice parameters in the heating and cooling cycles.
Table 3.
The structural analysis performed by the Rietveld method for PBZT_6Sn ceramics.
4. Conclusions
In this work, the (Pb0.97Ba0.03)(Zr0.98Ti0.02)1−xSnxO3 (PBZT_xSn) tin-doped material for x = 0.00–0.08 was sintered by the hot-pressing method. The X-ray, microstructural, dielectric, and ferroelectric tests and XRD Rietveld analysis at different temperatures were carried out. At room temperature, the PBZT_xSn samples demonstrated an orthorhombic crystal structure with space group Pnnm. The microstructure of the PBZT_xSn ceramics sintered by the hot-pressing method showed densely packed and correctly shaped grains with strongly outlined grain boundaries. The average grain size ranged from 1.36 µm to 1.73 µm. The microstructural analysis showed no clear trend in the grain size change in the microstructure with increasing amounts of tin in the PBZT_xSn composition. The smallest average grain size (1.36 µm) was demonstrated by the PBZT_2Sn composition and the largest by the PBZT_8Sn composition (1.73 µm). At room temperature, PBZT_xSn materials have low permittivity values in the range of 265 to 275, while, at the phase change temperature, they have high values in the range of 8923 to 12,141. The increase in the tin dopant in PBZT_xSn lowers the permittivity and dielectric loss and changes the ranges of phase transitions. The OR–RE phase transition temperature shifts towards higher temperatures, while the RE–C transition occurs at lower temperatures. At room temperature, the dielectric constant and dielectric loss exhibit dispersion at low frequencies. This phenomenon, called Maxwell–Wagner behavior, decreases with increasing tin content in the PBZT_xSn composition. At room temperature, PBZT_xSn exhibits low values of residual polarization Pr (in the range from 0.30 μC/cm2 to 0.53 μC/cm2) and low ferroelectric hysteresis loop P–E saturation. The structural transformation (OR–RE) occurring in PBZT_xSn increases the residual and maximum polarization and high saturation of the hysteresis loop (above 90 °C for PBZT_6Sn). Detailed temperature studies of the dielectric and ferroelectric properties for the PBZT_6Sn composition revealed anomalies indicating the presence of phase transitions. In the ε(T) graphs in the heating cycle, the first transformation from the orthorhombic phase to the rhombohedral phase (OR–RE) occurs in the temperature range from 140 °C to 155 °C. In turn, the transformation from the ferroelectric rhombohedral phase to the paraelectric cubic phase (RE–C) occurs at a temperature of (212 °C). The cooling cycle shifts the phase transition temperatures towards lower temperatures. The Rietveld analysis performed based on X-ray measurements at different temperatures confirmed the structural changes occurring in the material. For the example sample PBZT_6Sn, the change in structure from orthorhombic to rhombohedral (OR–RE) was recorded in the temperature range from 130 °C to 170 °C, while, from the rhombohedral phase to the regular (RE–C) phase, the change was between temperatures of 170 °C and 230 °C. The cooling cycle shifts the characteristic phase transition ranges towards lower temperatures; i.e., the rhombohedral phase is revealed between temperatures of 230 °C and 170 °C, while the orthorhombic phase appears between 130 °C and 90 °C. During cooling at 90 °C, the coexistence of two phases (RE and OR) was recorded, while, at 60 °C, the OR phase dominated with a small presence of the RE phase. A favorable set of performance parameters predispose the PBZT_xSn material to microelectronic and micromechatronic applications.
Supplementary Materials
The following supporting information can be downloaded at: https://www.mdpi.com/article/10.3390/ma17205072/s1, Figure S1: Enlarged fragment of the X-ray diagram for PBZT_xSn materials for the range of 2θ angles (a) 42°–45° and (b) 53°–55°.
Author Contributions
Conceptualization, D.B. (Dagmara Brzezińska) and D.B. (Dariusz Bochenek); methodology, D.B. (Dagmara Brzezińska) and D.B. (Dariusz Bochenek); investigation, D.B. (Dagmara Brzezińska), D.B. (Dariusz Bochenek), P.N., M.Z., and I.M.; writing—original draft, D.B. (Dagmara Brzezińska) and D.B. (Dariusz Bochenek); writing—review and editing, D.B. (Dagmara Brzezińska) and D.B. (Dariusz Bochenek); visualization, D.B. (Dagmara Brzezińska), D.B. (Dariusz Bochenek) and M.Z. All authors have read and agreed to the published version of the manuscript.
Funding
The present paper was financed in part by the Polish Ministry of Education and Science within statutory activity.
Institutional Review Board Statement
Not applicable.
Informed Consent Statement
Not applicable.
Data Availability Statement
Data are contained within the article.
Acknowledgments
The authors would like to thank Katarzyna Osińska for help in the process of obtaining ceramic materials.
Conflicts of Interest
The authors declare no conflicts of interest.
References
- Sorayani Bafqi, M.S.; Sadeghi, A.H.; Latifi, M.; Bagherzadeh, R. Design and fabrication of a piezoelectric out-put evaluation system for sensitivity measurements of fibrous sensors and actuators. J. Ind. Text. 2021, 50, 1643–1659. [Google Scholar] [CrossRef]
- Kahoul, F.; Hamzioui, L.; Abdessalem, N.; Boutarfaia, A. Synthesis and piezoelectric properties of Pb0.98Sm0.02[(Zry,Ti1−y)0.98](Fe3+1/2,Nb5+1/2)0.02]O3 ceramics. Mater. Sci. Appl. 2012, 3, 50–58. [Google Scholar] [CrossRef][Green Version]
- Jaffe, B.; Cook, W.; Jaffe, H. Piezoelectric Ceramics; Academic Press: Cambridge, MA, USA, 1971. [Google Scholar]
- Badapanda, T.; Sarangi, S.; Behera, B.; Anwar, S.; Sinha, T.P.; Ranjan, R.; Luz, G.E., Jr.; Longo, E.; Cavalcante, L.S. Structural refinement, optical and electrical properties of [Ba1−xSm2x/3](Zr0.05Ti0.95)O3 ceramics. J. Mater. Sci. Mater. Electron. 2014, 25, 3427–3439. [Google Scholar] [CrossRef]
- Kozielski, L.; Płońska, M. Optic and piezoelectric coupling in the sol-gel PLZT electroceramics. Mater. Sci. Forum 2013, 730–732, 129–134. [Google Scholar] [CrossRef]
- Haq, M. Application of piezo transducers in biomedical science for health monitoring and energy harvesting problems. Mater. Res. Express 2019, 6, 022002. [Google Scholar] [CrossRef]
- Ramesh, S.; Ravinder, D.; Naidu, K.C.B.; Kumar, N.S.; Srinivas, K.; Baba Basha, D.; Chandra Sekhar, B. A review on giant piezoelectric coefficient, materials and applications. Biointerface Res. Appl. Chem. 2019, 9, 4205–4216. [Google Scholar] [CrossRef]
- Bochenek, D.; Surowiak, Z.; Gavrilyachenko, S.V.; Kupriyanov, M.F. Multicomponent ceramic materials on the basis of PZT to production of the piezoelectric resonators. Arch. Acoust. 2005, 30, 87–107. [Google Scholar]
- Yousefi, F.; Esfahani, H. Role of Nb5+-Nd3+ co-dopant in morphotropic boundary of electrospun PZT nanoneedles; study on dielectric and piezoelectric sensitivity. J. Alloys Compd. 2023, 966, 171531. [Google Scholar] [CrossRef]
- Niu, X.; Jia, W.; Qian, S.; Zhu, J.; Zhang, J.; Hou, X.; Mu, J.; Geng, W.; Cho, J.; He, J.; et al. High-performance PZT-based stretchable piezoelectric nanogenerator. ACS Sustain. Chem. Eng. 2018, 7, 979–985. [Google Scholar] [CrossRef]
- Song, P.; Zhu, Z.; Yao, Z.; Hao, H.; Cao, M.; Liu, H. Piezoelectric enhancement of 0.6Pb(Zr,Ti)O3-0.4Pb(Ni1/3Nb2/3)O3 ceramics with artificial MPB engineering. J. Mater. Sci. Mater. Electron. 2024, 35, 58. [Google Scholar] [CrossRef]
- Avanish Babu, T.; Madhuri, W. Microwave synthesis technique for LTCC and colossal dielectric constant in PZT. Chem. Phys. Lett. 2022, 799, 139641. [Google Scholar] [CrossRef]
- Kim, B.S.; Ji, J.H.; Koh, J.H. Improved strain and transduction values of low-temperature sintered CuO-doped PZT-PZNN soft piezoelectric materials for energy harvester applications. Ceram. Int. 2021, 47, 6683–6690. [Google Scholar] [CrossRef]
- Fan, F.; Tang, W.; Wang, Z. Flexible nanogenerators for energy harvesting and self-powered electronics. Adv. Mater. 2016, 28, 4283–4305. [Google Scholar] [CrossRef]
- Panigrahi, S.C.; Das, P.R.; Choudhary, R.N.P. Ferroelectric studies for soft Gd modified PZT ceramics. Phase Transit. 2018, 91, 703–714. [Google Scholar] [CrossRef]
- Cuong, D.D.; Lee, B.; Choi, K.M.; Ahn, H.S.; Han, S.; Lee, J. Oxygen vacancy clustering and electron localization in oxygen-deficient SrTiO3: LDA+U study. Phys. Rev. Lett. 2007, 98, 115503. [Google Scholar] [CrossRef]
- Abdessalem, N.; Boutarfaia, A. Effect of composition on the electromechanical properties of Pb[ZrxTi(0.9–x)(Cr1/5,Zn1/5,Sb3/5)0.1]O3 ceramics. Ceram. Int. 2007, 33, 293–296. [Google Scholar] [CrossRef]
- Kumari, N.; Monga, S.; Arif, M.; Sharma, N.; Sanger, A.; Singh, A.; Vilarinho, P.M.; Gupta, V.; Sreenivas, K.; Katiyar, R.S.; et al. Multifunctional behavior of acceptor-cation substitution at higher doping concentration in PZT ceramics. Ceram. Int. 2019, 45, 12716–12726. [Google Scholar] [CrossRef]
- Niemiec, P.; Bochenek, D.; Brzezińska, D. Effect of various sintering methods on the properties of PZT-type ceramics. Ceram. Inter. 2023, 49, 35687–35698. [Google Scholar] [CrossRef]
- Gao, B.; Yao, Z.; Lai, D.; Guo, Q.; Pan, W.; Hao, H.; Cao, M.; Liu, H. Unexpectedly high piezoelectric response in Sm-doped PZT ceramics beyond the morphotropic phase boundary region. J. Alloys Compd. 2020, 836, 155474. [Google Scholar] [CrossRef]
- Khacheba, M.; Abdessalem, N.; Hamdi, A.; Khemakhem, H. Effect of acceptor and donor dopants (Na, Y) on the microstructure and dielectric characteristics of high Curie point PZT-modified ceramics. J. Mater. Sci. Mater. Electron. 2020, 31, 361–372. [Google Scholar] [CrossRef]
- Li, J.; Sun, Q. Effects of Cr2O3 doping on the electrical properties and the temperature stabilities of PZT binary piezoelectric ceramics. Rare Met. 2008, 27, 362. [Google Scholar] [CrossRef]
- Kelley, K.P.; Morozovska, A.N.; Eliseev, E.A.; Sharma, V.; Yilmaz, D.E.; van Duin, A.C.T.; Ganesh, P.; Borisevich, A.; Jesse, S.; Maksymovych, P.; et al. Oxygen vacancy injection as a pathway to enhancing electromechanical response in ferroelectrics. Adv. Mater. 2022, 34, 2106426. [Google Scholar] [CrossRef]
- Tai, D.; Zhao, X.; Zheng, T.; Wu, J. Establishing a relationship between the piezoelectric response and oxygen vacancies in lead-free piezoelectrics. ACS Appl. Mater. Interfaces 2023, 15, 36564–36575. [Google Scholar] [CrossRef]
- Liu, C.L.; Du, Q.; Zhou, H.; Wu, J.M.; Zhang, G.; Shi, Y.S. Effect of the polystyrene particle size on performance of PZT piezoelectric ceramics via vat photopolymerization (VPP). Addit. Manuf. 2023, 78, 103857. [Google Scholar] [CrossRef]
- Ramana, M.V.; Kiran, S.R.; Reddy, N.R.; Kumar, K.V.S.; Murthy, V.R.K.; Murty, B.S. Investigation and characterization of Pb(Zr0.52Ti0.48)O3 nanocrystalline ferroelectric ceramics: By conventional and microwave sintering methods. Mater. Chem. Phys. 2011, 126, 295–300. [Google Scholar] [CrossRef]
- Bochenek, D.; Skulski, R.; Wawrzała, P.; Brzezińska, D. Dielectric properties of Pb0.75Ba0.25(Zr0.65Ti0.35)1-zSnzO3 ceramics. Ferroelectrics 2011, 418, 82–87. [Google Scholar] [CrossRef]
- Sharma, P.K.; Ounaies, Z.; Varadan, V.V.; Varadan, V.K. Dielectric and piezoelectric properties of microwave sintered PZT. Smart Mater. Struct. 2001, 10, 878–883. [Google Scholar] [CrossRef]
- Marakhovsky, M.A.; Panich, A.A.; Talanov, M.V.; Marakhovskiy, V.A. Comparative study of the hard and soft PZT-based ceramics sintered by various methods. Ferroelectrics 2021, 575, 43–49. [Google Scholar] [CrossRef]
- Wu, Y.J.; Uekawa, N.; Kakegawa, K.; Sasaki, Y. Compositional fluctuation and dielectric properties of Pb(Zr0.3Ti0.7)O3 ceramics prepared by spark plasma sintering. Mater. Lett. 2002, 57, 771–775. [Google Scholar] [CrossRef]
- Mudinepalli, V.R.; Leng, F. Dielectric and ferroelectric studies on high dense Pb(Zr0.52Ti0.48)O3 nanocrystalline ceramics by high energy ball milling and spark plasma sintering. Ceramics 2019, 2, 13–24. [Google Scholar] [CrossRef]
- Tokita, M. Progress of spark plasma sintering (SPS) method, systems, ceramics applications and industrialization. Ceramics 2021, 4, 160–198. [Google Scholar] [CrossRef]
- Jia, Y.; Su, X.; Wu, Y.; Bai, G.; Wang, Z.; Yan, X.; Ai, T.; Zhao, P. Fabrication of lead zirconate titanate ceramics by reaction flash sintering of PbO-ZrO2-TiO2 mixed oxides. J. Eur. Ceram. Soc. 2019, 39, 3915–3919. [Google Scholar] [CrossRef]
- Wang, D.; Tsuji, K.; Randall, C.A.; Trolier-McKinstry, S. Model for the cold sintering of lead zirconate titanate ceramic composites. J. Am. Ceram. Soc. 2020, 103, 4894–4902. [Google Scholar] [CrossRef]
- Gupta, S.; Wang, D.; Randall, C.A.; Trolier-McKinstry, S. Comparison of different sintering aids in cold sinter-assisted densification of lead zirconate titanate. J. Am. Ceram. Soc. 2021, 104, 5479–5488. [Google Scholar] [CrossRef]
- Fernándeza, C.P.; Zabottob, F.L.; Garciab, D.; Kiminami, R.H.G.A. In situ sol-gel cosynthesis at as low hydrolysis rate and microwave sintering of PZT/Fe2CoO4 magnetoelectric composite ceramics. Ceram. Int. 2017, 43, 5925–5933. [Google Scholar] [CrossRef]
- Wang, D.; Ou-Yang, J.; Guo, W.; Yang, X.; Zhu, B. Novel fabrication of PZT thick films by an oil-bath based hydrothermal method. Ceram. Int. 2017, 43, 9573–9576. [Google Scholar] [CrossRef]
- Djellabi, R.; Frias Ordonez, M.; Conte, F.; Falletta, E.; Bianchi, C.L.; Rossetti, I. A review of advances in multifunctional XTiO3 perovskite-type oxides as piezo-photocatalysts for environmental remediation and energy production. J. Hazard. Mater. 2022, 421, 126792. [Google Scholar] [CrossRef]
- Fraile, I.; Gabilondo, M.; Burgos, N.; Azcona, M.; Castro, F. Laser sintered ceramic coatings of PZT nanoparticles deposited by inkjet printing on metallic and ceramic substrates. Ceram. Int. 2018, 44, 15603–15610. [Google Scholar] [CrossRef]
- Yang, Y.; Chen, Z.Y.; Song, X.; Zhu, B.; Hsiai, T.; Wu, P.-I.; Xiong, R.; Shi, J.; Chen, Y.; Zhou, Q.; et al. Three dimensional printing of high dielectric capacitor using projection based stereolithography method. Nano Energy 2016, 22, 414–421. [Google Scholar] [CrossRef]
- Chen, Z.; Li, Z.; Li, J.; Liu, C.; Lao, C.; Fu, Y.; Liu, C.; Li, Y.; Wang, P.; He, Y. 3D printing of ceramics: A review. J. Eur. Ceram. Soc. 2019, 39, 661–687. [Google Scholar] [CrossRef]
- Handerek, J.; Adamczyk, M.; Ujma, Z. Dielectric and pyroelectric properties of (Pb0.75Ba0.25)(Zr0.70Ti0.30)O3 [x = 0.25÷0.35] ceramics exhibiting the relaxor ferroelectrics behavior. Ferroelectrics 1999, 233, 253–270. [Google Scholar] [CrossRef]
- Roleder, K. Properties and phase transitions in PbZr1−xTixO3 (PZT). Key Eng. Mat. 1998, 155–156, 123–158. [Google Scholar] [CrossRef]
- Roleder, K. Polar regions in the paraelectric phase in a PbZr0.992Ti0. 008O3 single crystal. Phase Transit. 1989, 15, 77–821. [Google Scholar] [CrossRef]
- Dec, J.; Kwapulinski, J. Phase boundaries in NaNbO3 single crystals. Phase Transit. 1989, 18, 1–9. [Google Scholar] [CrossRef]
- Rodriguez-Carvajal, J. Recent advances in magnetic structure determination by neutron powder diffraction. Phys. B Condens. Matter 1995, 192, 55–69. [Google Scholar] [CrossRef]
- Skulski, R.; Wawrzała, P.; Ćwikiel, K.; Bochenek, D. Dielectric and electromechanical behaviors of PMN-PT ceramic samples. J. Intel. Mat. Syst. Str. 2007, 18, 1049–1056. [Google Scholar] [CrossRef]
- Liu, H.-C.; Toraya, H. Ab initio structural study on Nb-doped Pb(Zr0.97Ti0.03)O3 ceramic material by synchrotron X-ray diffraction. Jpn. J. Appl. Phys. 1999, 38, 104. [Google Scholar] [CrossRef]
- Shannon, R.D. Revised effective ionic radii and systematic studies of interatomic distances in halides and chalcogenides. Acta Cryst. 1976, A32, 751–767. [Google Scholar] [CrossRef]
- Jaffe, B.; Roth, R.S.; Marzullo, S. Properties of piezoelectric ceramics in the solid-solution series lead titanate-lead zirconate-lead oxide: Tin oxide and lead titanate-lead hafnate. J. Res. Natl. Bur. Stand. 1955, 55, 239–254. [Google Scholar] [CrossRef]
- Kornphom, C.; Panich, C.; Bongkarn, T. Phase formation and piezoelectric properties of (Pb0.95Ba0.05)(Zr1−xTix)O3 ceramics fabricated by solid state reaction technique. Mater. Res. Innov. 2014, 18, S2-146–S2-150. [Google Scholar] [CrossRef]
- Thongtha, A.; Wattanawikkam, C.; Bongkarn, T. Phase formation and dielectric properties of (Pb0.925Ba0.075)(Zr1−xTix)O3 ceramics prepared by the solid-state reaction method. Phase Transit. 2011, 84, 952–959. [Google Scholar] [CrossRef]
- Brzezińska, D.; Bochenek, D.; Niemiec, P.; Dercz, G. Properties of PBZTS ferroelectric ceramics obtained using spark plasma sintering. Materials 2023, 16, 5756. [Google Scholar] [CrossRef]
- Brzezińska, D. Properties of Pb1–xBax(Zr1–yTiy)1–zSnzO3 (x=0.03, y=0.02, z=0÷0.08) ceramics. Arch. Metall. Mater. 2020, 65, 975–982. [Google Scholar] [CrossRef]
- Gao, L.; Wang, J.; Yang, S.; Qian, B. Electrical properties of non-stoichiometric PZT 95/5 ferroelectric ceramics. J. Mater. Sci. Mater. Electron. 2013, 24, 1664–1669. [Google Scholar] [CrossRef]
- He, W.; Li, Q.; Yan, Q.; Luo, N.; Zhang, Y.; Chu, X.; Shen, D. Temperature-dependent phase transition in orthorhombic [011]c Pb(Mg1/3Nb2/3)O3-0.35PbTiO3 single crystal. Crystals 2014, 4, 262–272. [Google Scholar] [CrossRef]
- Berlincourt, D.; Krueger, H.H.A.; Jaffe, B. Stability of phases in modified lead zirconate with variation in pressure, electric field, temperature and composition. J. Phys. Chem. Solids 1964, 25, 659–674. [Google Scholar] [CrossRef]
- Singh, A.; Chatterjee, R.; Mishra, S.K.; Krishna, P.S.R.; Chaplot, S.L. Origin of large dielectric constant in La modified BiFeO3-PbTiO3 multiferroic. J. Appl. Phys. 2013, 111, 14113. [Google Scholar] [CrossRef]
- Mondal, R.A.; Murty, B.S.; Murthy, V.R.K. Maxwell-Wagner polarization in grain boundary segregated NiCuZn ferrite. Curr. Appl. Phys. 2014, 14, 1727–1733. [Google Scholar] [CrossRef]
- Mandal, S.K.; Singh, S.; Debnath, R.; Nath, A.; Dey, P. Magnetoelectric coupling, dielectric and electrical properties of xLa0.7Sr0.3MnO3-(1−x)Pb(Zr0.58Ti0.42)O3 (x = 0.05 and 0.1) multiferroic nanocomposites. J. Alloys Compd. 2017, 720, 550–561. [Google Scholar] [CrossRef]
- Kaur, R.; Sharma, V.; Kumar, M.; Singh, M.; Singh, A. Conductivity relaxation in Pb0.9Sm0.10Zr0.405Ti0.495Fe0.10O3 solid solution. J. Alloys Compds. 2018, 735, 1472–1479. [Google Scholar] [CrossRef]
- Erbil, A.; Kim, Y.; Gerhardt, R.A. Giant permittivity in epitaxial ferroelectric heterostructures. Phys. Rev. Lett. 1996, 77, 1628–1631. [Google Scholar] [CrossRef]
- Yu, Z.; Ang, C. Maxwell–Wagner polarization in ceramic composites. J. Appl. Phys. 2002, 91, 794–797. [Google Scholar] [CrossRef]
- Zhang, T.-F.; Tang, X.-G.; Liu, Q.-X.; Lu, S.-G.; Jiang, Y.-P.; Huang, X.-X.; Zhou, Q.-F. Oxygen-vacancy-related relaxation and conduction behavior in (Pb1−xBax)(Zr0.95Ti0.05)O3 ceramics. AIP Adv. 2014, 4, 107141. [Google Scholar] [CrossRef]
- Elissalde, C.; Ravez, J. Ferroelectric ceramics: Defects and dielectric relaxations. J. Mater. Chem. 2001, 11, 1957–1967. [Google Scholar] [CrossRef]
- Zhang, T.F.; Tang, X.G.; Liu, Q.X.; Jiang, Y.P.; Huang, X.X.; Zhou, Q.F. Energy-storage properties and high-temperature dielectric relaxation behaviors of relaxor ferroelectric Pb(Mg1/3Nb2/3)O3–PbTiO3 ceramics. J. Phys. D Appl. Phys. 2016, 49, 095302. [Google Scholar] [CrossRef]
- Wang, X.F.; Lu, X.M.; Zhang, C.; Wu, X.B.; Cai, W.; Peng, S.; Bo, H.F.; Kan, Y.; Huang, F.Z.; Zhu, J.S. Oxygen-vacancy-related high-temperature dielectric relaxation in SrTiO3 ceramics. J. Appl. Phys. 2010, 107, 114101. [Google Scholar] [CrossRef]
- Ke, Q.; Lou, X.; Wang, Y.; Wang, J. Oxygen-vacancy-related relaxation and scaling behaviors of Bi0.9La0.1Fe0.98Mg0.02O3 ferroelectric thin films. J. Phys. Rev. B 2010, 82, 024102. [Google Scholar] [CrossRef]
- Fasquelle, D.; Carru, J.C. Electrical characterizations of PZT ceramics in large frequency and temperature ranges. J. Eur. Ceram. Soc. 2008, 28, 2071–2074. [Google Scholar] [CrossRef]
- Belboukhari, A.; Mezzane, D.; Gagou, Y.; Elmarssi, M.; Luk’yanchuk, I.; Zegzouti, A.; Saint-Grégoire, P. Dielectric properties of new ferroelectric lead potassium niobate Pb0.9K0.2Nb2O6. Moroc. J. Condens. Matter 2010, 12, 103–107. [Google Scholar] [CrossRef]
- Sawaguchi, E. Ferroelectricity versus antiferroelectricity in the solid solutions of PbZrO3 and PbTiO3. J. Phys. Soc. Jpn. 1953, 8, 615–629. [Google Scholar] [CrossRef]
Disclaimer/Publisher’s Note: The statements, opinions and data contained in all publications are solely those of the individual author(s) and contributor(s) and not of MDPI and/or the editor(s). MDPI and/or the editor(s) disclaim responsibility for any injury to people or property resulting from any ideas, methods, instructions or products referred to in the content. |
© 2024 by the authors. Licensee MDPI, Basel, Switzerland. This article is an open access article distributed under the terms and conditions of the Creative Commons Attribution (CC BY) license (https://creativecommons.org/licenses/by/4.0/).








