Chemical Modification of Dental Dimethacrylate Copolymer with Tetramethylxylylene Diisocyanate-Based Quaternary Ammonium Urethane-Dimethacrylates—Physicochemical, Mechanical, and Antibacterial Properties
Abstract
1. Introduction
- (i)
- (ii)
- dimethacrylate derivatives of N,N-dimethylaminoethyl methacrylate (DMAEMA) with two QA groups separated with a central aliphatic chain (QAn+DMAEMA, where n is the number of carbon atoms in the chain separating QA groups). QA groups in these monomers were substituted with two methyl groups. QA4+DMAEMA and QA6+DMAEMA were studied [31];
- (iii)
- the Bis-GMA quaternary ammonium derivative with two QA groups (QAn+bis-GMA, where n is the number of carbon atoms in the N-alkyl substituent of the QA group). QA6+bis-GMA was studied [32];
- (iv)
- fully aliphatic urethane-dimethacrylates with one central QA group, based on N-methyldiethanolamine (MDEA) and 2-isocyanatoethyl methacrylate (IEM) (QAn+MDEA+IEM, where n is the number of carbon atoms in the N-alkyl substituents of the QA group). QAn+MDEA+IEMs with n of 12, 14, 16, and 18 were studied [33,34];
- (v)
- urethane-dimethacrylates with one central QA group, based on N-methyldiethanolamine (MDEA) and cycloaliphatic isophorone diisocyanate (IPDI) (QAn+MDEA+IPDI, where n is the number of carbon atoms in the N-alkyl substituent of the QA group). QAn+MDEA+IPDIs with n of 12, 14, 16, and 18 were studied [35,36];
- (vi)
2. Materials and Methods
2.1. Materials
2.2. Chemical Syntheses
2.2.1. N,N-(2-Hydroxyethyl)methylaminoethyl Methacrylate (HAMA)
2.2.2. 2-(Methacryloyloxy)ethyl-2-hydroxyethylmethylalkylammonium Bromides (QAHAMA-n, Where n Is the Number of Carbon Atoms in the N-Alkyl Substituent)
2.2.3. Quaternary Ammonium Urethane-Dimethacrylates (QAUDMA)
2.3. Curing Procedure and Sample Preparation
2.4. Nuclear Magnetic Resonance Spectroscopy (NMR)
2.5. Fourier Transform Infrared Spectroscopy (FTIR)
- AC=C—the absorbance of the stretching vibration band of the carbon–carbon double bond in the methacrylate group at 1636 cm−1;
- AAr—the absorbance of the aromatic stretching skeletal vibrations band at 1608 cm−1.
2.6. Viscosity
2.7. Refractive Index
2.8. Density and Polymerization Shrinkage
- dm—the monomer density;
- dp—the polymer density.
2.9. Differential Scanning Calorimetry (DSC)
2.10. Water Contact Angle
2.11. Water Sorption and Solubility
- m0—the initial mass of the dried samples;
- m1—the mass of the swollen samples;
- m2—the mass of the dried samples after immersion in water;
- V—the initial volume of the dried samples.
2.12. Mechanical Properties
2.12.1. Hardness
- Fm—the test load;
- d—the ball intender diameter (d = 5 mm);
- h—the immersion depth;
- hr—the reduced immersion depth (hr = 0.25 mm).
2.12.2. Flexural Properties
- P1—the load at the selected point of the elastic region of the stress–strain plot;
- P—the maximum load;
- l—the support span;
- b—the sample width;
- d—the sample thickness;
- δ—the deflection of the sample at P1.
2.13. Antibacterial Properties
2.14. Statistical Analysis
3. Results
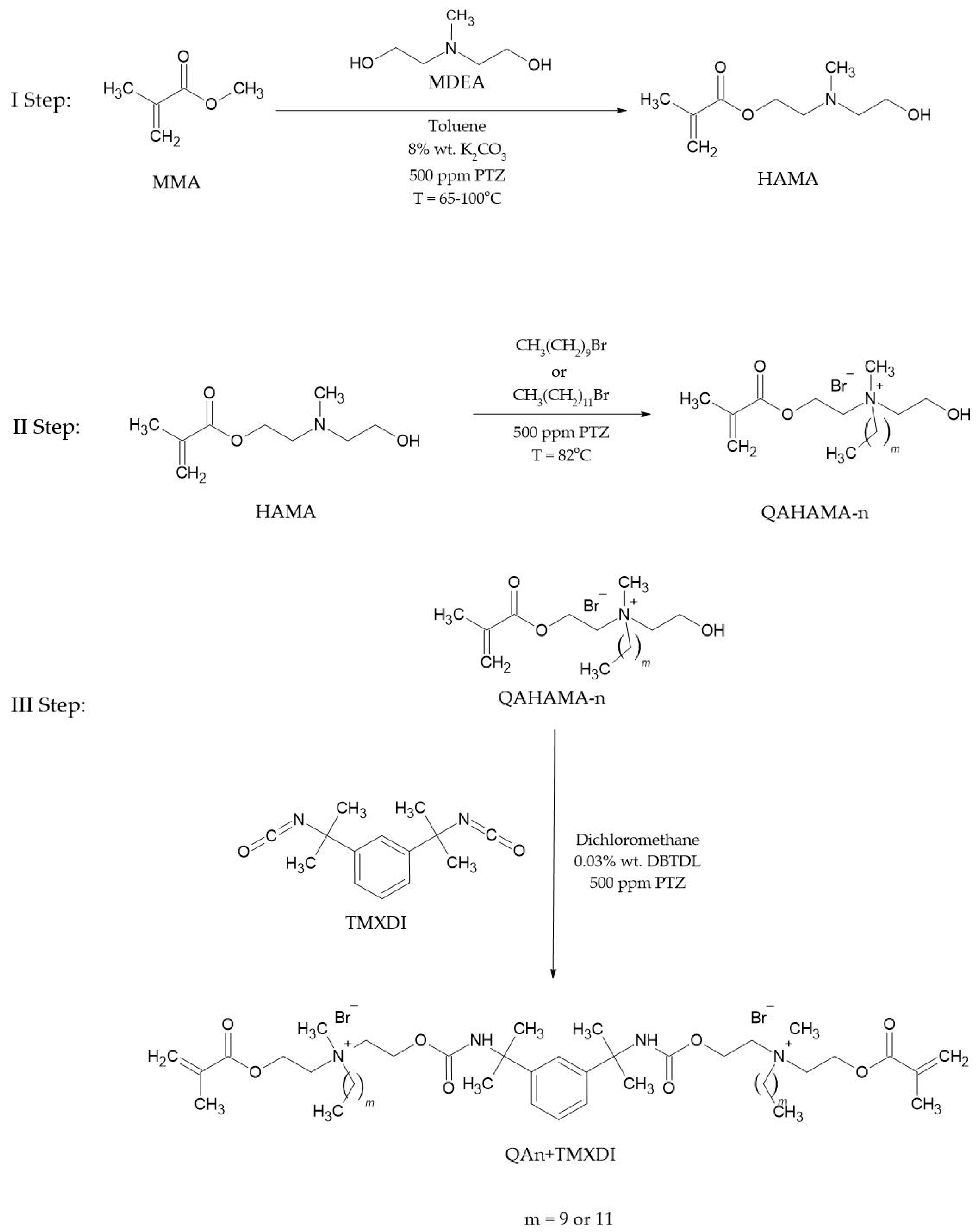
3.1. Monomer Synthesis and Characterization
- The transesterification of MMA with MDEA that led to HAMA formation. It was conducted with the MMA excess and K2CO3 catalyst;
- The Menshutkin reaction by the reaction of HAMA with DB and DDB resulted in a conversion of the HAMA tertiary amine group into a quaternary ammonium group in QAHAMA-n. QAHAMA-10 and QAHAMA-12 were achieved, respectively;
- The addition reaction of QAHAMA-n and TMXDI was conducted with the DBTDL catalyst and resulted in the formation of QAUDMAs: QA10+TMXDI and QA12+TMXDI;
- The chemical structure of the obtained monomers was confirmed using spectroscopic methods, including 1H NMR, 13C NMR, and FTIR.
3.2. Characterization of Monomer Compositions
3.3. Characterization of Copolymers
3.3.1. Degree of Conversion (DC)
3.3.2. Physical Properties
3.3.3. Mechanical Properties
3.3.4. Antibacterial Properties
4. Discussion
- Bis-GMA has a more spacious core comprising two 1,4-phenylene rings, whereas QA10+TMXDI and QA12+TMXDI has one central 1,3-phenylene ring;
- Bis-GMA has shorter aliphatic wings than QA10+TMXDI and QA12+TMXDI;
- Bis-GMA provides a hydroxyl proton donor to the hydrogen bonds, whereas QA10+TMXDI and QA12+TMXD create these bonds involving the urethane proton donor group;
- QA10+TMXDI and QA12+TMXDI have two long N-alkyl substituents in the wings.
5. Conclusions
Supplementary Materials
Author Contributions
Funding
Institutional Review Board Statement
Informed Consent Statement
Data Availability Statement
Conflicts of Interest
References
- WHO. Global Oral Health Status Report: Towards Universal Health Coverage for Oral Health by 2030; World Health Organization: Geneva, Switzerland, 2022. [Google Scholar]
- Wen, P.; Chen, M.; Zhong, Y.; Dong, Q.; Wong, H. Global Burden and Inequality of Dental Caries, 1990 to 2019. J. Dent. Res. 2022, 101, 392–399. [Google Scholar] [CrossRef]
- Chen, L.; Suh, B.; Yang, J. Antibacterial dental restorative materials: A review. Am. J. Dent. 2018, 31, 6B–12B. [Google Scholar] [PubMed]
- Beyth, N.; Farah, S.; Domb, A.; Weiss, E. Antibacterial dental resin composites. Reac. Funct. Polym. 2014, 75, 81–88. [Google Scholar] [CrossRef]
- Ferrando-Magraner, E.; Bellot-Arcís, C.; Paredes-Gallardo, V.; Almerich-Silla, J.M.; García-Sanz, V.; Fernández-Alonso, M.; Montiel-Company, J.M. Antibacterial Properties of Nanoparticles in Dental Restorative Materials. A Systematic Review and Meta-Analysis. Medicina 2020, 56, 55. [Google Scholar] [CrossRef] [PubMed]
- Domb, A.J.; Weiss, E.; Beyth, N.; Farber, I.; Perez-Davidi, M. Antimicrobial Nanoparticulate Additives Forming Non-Leachable Sustained Antimicrobial Polymeric Compositions. U.S. Patent 20080226728A1, 18 September 2008. [Google Scholar]
- Fernandes, J.; Menezes, V.; Albuquerque, A.; Oliveira, M.; Meira, K.; Menezes, R., Jr.; Sampaio, F.C. Improving Antimicrobial Activity of Dental Restorative Materials. In Emerging Trends in Oral Health Sciences and Dentistry; InTech: London, UK, 2015. [Google Scholar]
- Badr, S.; Abdulrahman, A.; Abdullah, A.; Essam, A.; Mohammad, Y.; Shahzeb, H. Effect of various antibacterial materials in dental composites: A systematic review. Ann. Dent. Spec. 2021, 9, 39–44. [Google Scholar]
- Mehdawi, I.; Young, A. Antibacterial composite restorative materials for dental applications. In Non-Metallic Biomaterials for Tooth Repair and Replacement; Elsevier: Amsterdam, The Netherlands, 2013; pp. 270–293. [Google Scholar]
- Zhou, X.; Huang, X.; Li, M.; Peng, X.; Wang, S.; Zhou, X.; Cheng, L. Development and status of resin composite as dental restorative materials. J. Appl. Polym. Sci. 2019, 136, 48180. [Google Scholar] [CrossRef]
- Chan, D.; Hu, W.; Chung, K.; Larsen, R.; Jensen, S.; Cao, D.; Gaviria, L.; Ong, J.; Whang, K.; Eiampongpaiboon, T. Reactions: Antibacterial and bioactive dental restorative materials: Do they really work? Am. J. Dent. 2018, 15, 32B–36B. [Google Scholar]
- Farrugia, C.; Camilleri, J. Antimicrobial properties of conventional restorative filling materials and advances in antimicrobial properties of composite resins and glass ionomer cements—A literature review. Dent. Mater. 2015, 31, e89–e99. [Google Scholar] [CrossRef]
- Ibrahim, M.; Garcia, I.; Kensara, A.; Balhaddad, A.; Collares, F.; Williams, M.; Ibrahim, A.; Lin, N.; Weir, M.; Xu, H.; et al. How we are assessing the developing antibacterial resin-based dental materials? A scoping review. J. Dent. 2020, 99, 103369. [Google Scholar] [CrossRef]
- Chen, Z.; Chu, Z.; Jiang, Y.; Xu, L.; Qian, H.; Wang, Y.; Wang, W. Recent advances on nanomaterials for antibacterial treatment of oral diseases. Mater. Today Bio. 2023, 20, 100635. [Google Scholar] [CrossRef]
- Zhang, Y.; Chen, Y.; Hu, Y.; Huang, F.; Xiao, Y. Quaternary ammonium compounds in dental restorative materials. Dent. Mater. J. 2018, 37, 183–191. [Google Scholar] [CrossRef] [PubMed]
- Sun, Q.; Zhang, L.; Bai, R.; Zhuang, Z.; Zhang, Y.; Yu, T.; Peng, L.; Xin, T.; Chen, S.; Han, B. Recent Progress in Antimicrobial Strategies for Resin-Based Restoratives. Polymers 2021, 13, 1590. [Google Scholar] [CrossRef] [PubMed]
- Ramburrun, P.; Pringle, N.; Dube, A.; Adam, R.; D’Souza, S.; Aucamp, M. Recent Advances in the Development of Antimicrobial and Antifouling Biocompatible Materials for Dental Applications. Materials 2021, 14, 3167. [Google Scholar] [CrossRef]
- Makvandi, P.; Jamaledin, R.; Jabbari, M.; Nikfarjam, N.; Borzacchiello, A. Antibacterial Quaternary Ammonium Compounds in Dental Materials: A Systematic Review. Dent. Mater. 2018, 34, 851–867. [Google Scholar] [CrossRef] [PubMed]
- Ge, Y.; Wang, S.; Zhou, X.; Wang, H.; Xu, H.H.K.; Cheng, L. The Use of Quaternary Ammonium to Combat Dental Caries. Materials 2015, 8, 3532–3549. [Google Scholar] [CrossRef] [PubMed]
- Imazato, S.; Chen, J.H.; Ma, S.; Izutani, N.; Li, F. Antibacterial Resin Monomers Based on Quaternary Ammonium and Their Benefits in Restorative Dentistry. Jap. Dent. Sci. Rev. 2012, 48, 115–125. [Google Scholar] [CrossRef]
- Featherstone, J. Dental restorative materials containing quaternary ammonium compounds have sustained antibacterial action. J. Am. Dent. Assoc. 2022, 153, 1114–1120. [Google Scholar] [CrossRef]
- Li, Y.; Li, B.; Guo, X.; Wang, H.; Cheng, L. Applications of quaternary ammonium compounds in the prevention and treatment of oral diseases: State-of-the-art and future directions. J. Dent. 2023, 137, 104678. [Google Scholar] [CrossRef]
- Jiao, Y.; Niua, L.; Maa, S.; Li, J.; Tayd, F.; Chena, J. Quaternary ammonium-based biomedical materials: State-of-the-art, toxicological aspects and antimicrobial resistance. Prog. Polym. Sci. 2017, 71, 53–90. [Google Scholar] [CrossRef]
- Mousavinasab, S. Biocompatibility of composite resins. Dent. Res. J. 2011, 8, S21–S29. [Google Scholar]
- Santos, M.R.E.; Fonseca, A.C.; Mendonça, P.V.; Branco, R.; Serra, A.C.; Morais, P.V.; Coelho, J.F.J. Recent Developments in Antimicrobial Polymers: A Review. Materials 2016, 9, 599. [Google Scholar] [CrossRef] [PubMed]
- Capita, R.; Alonso-Calleja, C. Antibiotic-resistant bacteria: A challenge for the food industry. Crit. Rev. Food Sci. Nutr. 2013, 53, 11–48. [Google Scholar] [CrossRef] [PubMed]
- Chinemerem, D.; Ugwu, M.; Oliseloke, A.; Al-Ouqaili, M.; Chinedu, I.; Victor, C.; Saki, M. Antibiotic resistance: The challenges and some emerging strategies for tackling a global menace. J. Clin. Lab. Anal. 2022, 36, e24655. [Google Scholar] [CrossRef]
- Saha, M.; Sarkar, A. Review on Multiple Facets of Drug Resistance: A Rising Challenge in the 21st Century. J. Xenobiot. 2021, 11, 197–214. [Google Scholar] [CrossRef] [PubMed]
- Huang, L.; Xiao, Y.H.; Xing, X.D.; Li, F.; Ma, S.; Qi, L.L.; Chen, J.H. Antibacterial Activity and Cytotoxicity of Two Novel Cross-Linking Antibacterial Monomers on Oral Pathogens. Arch. Oral Biol. 2011, 56, 367–373. [Google Scholar] [CrossRef] [PubMed]
- Huang, L.; Yu, F.; Sun, X.; Dong, Y.; Lin, P.T.; Yu, H.H.; Xiao, Y.H.; Chai, Z.G.; Xing, X.D.; Chen, J.H. Antibacterial Activity of a Modified Unfilled Resin Containing a Novel Polymerizable Quaternary Ammonium Salt MAE-HB. Sci. Rep. 2016, 6, 33858. [Google Scholar] [CrossRef]
- Manouchehri, F.; Sadeghi, B.; Najafi, F.; Mosslemin, M.H.; Niakan, M. Synthesis and Characterization of Novel Polymerizable Bis-Quaternary Ammonium Dimethacrylate Monomers with Antibacterial Activity as an Efficient Adhesive System for Dental Restoration. Polym. Bull. 2019, 76, 1295–1315. [Google Scholar] [CrossRef]
- Makvandi, P.; Ghaemy, M.; Mohseni, M. Synthesis and Characterization of Photo-Curable Bis-Quaternary Ammonium Dimethacrylate with Antimicrobial Activity for Dental Restoration Materials. Eur. Polym. J. 2016, 74, 81–90. [Google Scholar] [CrossRef]
- Liang, X.; Söderling, E.; Liu, F.; He, J.; Lassila, L.V.J.; Vallittu, P.K. Optimizing the Concentration of Quaternary Ammonium Dimethacrylate Monomer in Bis-GMA/TEGDMA Dental Resin System for Antibacterial Activity and Mechanical Properties. J. Mater. Sci. Mater. Med. 2014, 25, 1387–1393. [Google Scholar] [CrossRef]
- Huang, Q.T.; He, J.W.; Lin, Z.M.; Liu, F.; Lassila, L.V.J.; Vallittu, P.K. Physical and Chemical Properties of an Antimicrobial Bis-GMA Free Dental Resin with Quaternary Ammonium Dimethacrylate Monomer. J. Mech. Behav. Biomed. Mater. 2016, 56, 68–76. [Google Scholar] [CrossRef]
- Liang, X.; Huang, Q.; Liu, F.; He, J.; Lin, Z. Synthesis of Novel Antibacterial Monomers (UDMQA) and Their Potential Application in Dental Resin. J. Appl. Polym. Sci. 2013, 129, 3373–3381. [Google Scholar] [CrossRef]
- Huang, Q.; Lin, Z.; Liang, X.; Liu, F.; He, J. Preparation and Characterization of Antibacterial Dental Resin with UDMQA-12. Adv. Polym. Technol. 2014, 33, 21395. [Google Scholar] [CrossRef]
- Chrószcz, M.W.; Barszczewska-Rybarek, I.M. Synthesis and Characterization of Novel Quaternary Ammonium Urethane-Dimethacrylate Monomers—A Pilot Study. Int. J. Mol. Sci. 2021, 22, 8842. [Google Scholar] [CrossRef]
- Chrószcz, M.W.; Barszczewska-Rybarek, I.M.; Kazek-Kęsik, A. Novel Antibacterial Copolymers Based on Quaternary Ammonium Urethane-Dimethacrylate Analogues and Triethylene Glycol Dimethacrylate. Int. J. Mol. Sci. 2022, 23, 4954. [Google Scholar] [CrossRef]
- Chrószcz-Porębska, M.W.; Barszczewska-Rybarek, I.M.; Chladek, G. Characterization of the Mechanical Properties, Water Sorption, and Solubility of Antibacterial Copolymers of Quaternary Ammonium Urethane-Dimethacrylates and Triethylene Glycol Dimethacrylate. Materials 2022, 15, 5530. [Google Scholar] [CrossRef]
- Chrószcz-Porębska, M.; Kazek-Kęsik, A.; Chladek, G.; Barszczewska-Rybarek, I. Novel mechanically strong and antibacterial dimethacrylate copolymers based on quaternary ammonium urethane-dimethacrylate analogues. Dent. Mater. 2023, 39, 659–664. [Google Scholar] [CrossRef]
- Chrószcz-Porębska, M.W.; Barszczewska-Rybarek, I.M.; Kazek-Kęsik, A.; Ślęzak-Prochazka, I. Cytotoxicity and Microbiological Properties of Copolymers Comprising Quaternary Ammonium Urethane-Dimethacrylates with Bisphenol A Glycerolate Dimethacrylate and Triethylene Glycol Dimethacrylate. Materials 2023, 16, 3855. [Google Scholar] [CrossRef]
- Chrószcz-Porębska, M.W.; Barszczewska-Rybarek, I.M.; Chladek, G. Physicochemical Properties of Novel Copolymers of Quaternary Ammonium UDMA Analogues, Bis-GMA, and TEGDMA. Int. J. Mol. Sci. 2023, 24, 1400. [Google Scholar] [CrossRef]
- ISO 4049:2019; Plastics—Resins in the Liquid State or As Emulsions or Dispersions—Determination of Apparent Viscosity Using A Single Cylinder Type Rotational Viscometer Method. International Organization for Standardization: Geneva, Switzerland, 2019.
- ISO 489:2022; Plastics—Determination of Refractive Index. International Organization for Standardization: Geneva, Switzerland, 2022.
- ISO 11357-2:2020; Plastics—Differential Scanning Calorimetry (DSC)—Part 2: Determination of Glass Transition Temperature and Step Height. International Organization for Standardization: Geneva, Switzerland, 2020.
- ISO 4049:2019; Dentistry—Polymer-Based Restorative Materials. International Organization for Standardization: Geneva, Switzerland, 2019.
- ISO 2039-1:2001; Plastics—Determination of Hardness—Part 1: Ball Indentation Method. International Organization for Standardization: Geneva, Switzerland, 2001.
- ISO 178:2019; Plastics—Determination of Flexural Properties. International Organization for Standardization: Geneva, Switzerland, 2019.
- Barszczewska-Rybarek, I. Quantitative determination of degree of conversion in photocured poly(urethane-dimethacrylate)s by FTIR spectroscopy. J. Appl. Polym. Sci. 2012, 123, 1604–1611. [Google Scholar] [CrossRef]
- Six, C.; Richter, F. Isocyanates, Organic. In Ullmann’s Encyclopedia of Industrial Chemistry; Wiley-VCH: Weinheim, Germany, 2003; Volume 20, pp. 63–82. [Google Scholar]
- Manappallil, J.J. Basic Dental Materials, 4th ed.; Jaypee Brothers Medical Publishers: New Delhi, India, 2015. [Google Scholar]
- Oivanen, M.; Keulemans, F.; Garoushi, S.; Vallittu, P.; Lassila, L. The effect of refractive index of fillers and polymer matrix on translucency and color matching of dental resin composite. Biomater. Investig. Dent. 2021, 8, 48–53. [Google Scholar] [CrossRef]
- Gonçalves, F.; Kawano, Y.; Pfeifer, C.; Stansbury, J.W.; Braga, R.R. Influence of BisGMA, TEGDMA, and BisEMA contents on viscosity, conversion, and flexural strength of experimental resins and composites. Eur. J. Oral Sci. 2009, 117, 442–446. [Google Scholar] [CrossRef]
- Stansbury, J.W. Dimethacrylate network formation and polymer property evolution as determined by the selection of monomers and curing conditions. Dent. Mater. 2012, 28, 13–22. [Google Scholar] [CrossRef]
- Du, M.; Zheng, Y. Degree of conversion and mechanical properties studies of UDMA based materials for producing dental posts. Polym. Compos. 2008, 29, 623–630. [Google Scholar] [CrossRef]
- Moldovan, M.; Balazsi, R.; Soanca, A.; Roman, A.; Sarosi, C.; Prodan, D.; Vlassa, M.; Cojocaru, I.; Saceleanu, V.; Cristescu, I. Evaluation of the Degree of Conversion, Residual Monomers and Mechanical Properties of Some Light-Cured Dental Resin Composites. Materials 2019, 12, 2109. [Google Scholar] [CrossRef]
- Alshali, R.Z.; Silikas, N.; Satterthwaite, J.D. Degree of conversion of bulk-fill compared to conventional resin-composites at two time intervals. Dent. Mater. 2013, 29, e213–e217. [Google Scholar] [CrossRef]
- Nuzhdina, A.V.; Morozov, A.S.; Kopitsyna, M.N.; Strukova, E.N.; Shlykova, D.S.; Bessonov, I.V.; Lobakova, E.S. Simple and Versatile Method for Creation of Non-Leaching Antimicrobial Surfaces Based on Cross-Linked Alkylated Polyethyleneimine Derivatives. Mater. Sci. Eng. C 2017, 70, 788–795. [Google Scholar] [CrossRef]
- Yudovin-Farber, I.; Beyth, N.; Weiss, E.I.; Domb, A.J. Antibacterial Effect of Composite Resins Containing Quaternary Ammonium Polyethyleneimine Nanoparticles. J. Nanopart Res. 2010, 12, 591–603. [Google Scholar] [CrossRef]
- Law, K.-Y. Definitions for Hydrophilicity, Hydrophobicity, and Superhydrophobicity: Getting the Basics Right. J. Phys. Chem. Lett. 2014, 5, 686–688. [Google Scholar] [CrossRef]
- Grainger, D.; Castner, D. 3.301—Surface Analysis and Biointerfaces: Vacuum and Ambient in Situ Techniques. In Comprehensive Biomaterials; Ducheyne, P., Ed.; Elsevier: Amsterdam, The Netherlands, 2011; pp. 1–22. [Google Scholar]
- Susila, A.V. Role of Composition on Polymerization Shrinkage and Shrinkage Stress in Dental Composites. J. Oper. Dent. Endod. 2021, 6, 31–44. [Google Scholar]
- Moraes, J.C.S.; Sostena, M.M.D.S.; Roberto, C. The Glass Transition Temperature in Dental Composites. In Metal, Ceramic and Polymeric Composites for Various Uses; Chapter 33; John Cuppoletti, J., Ed.; IntechOpen: London, UK, 2011. [Google Scholar]
- Davis, J.L. Pharmacologic Principles. In Equine Internal Medicine, 4th ed.; Reed, S.M., Bayly, W.M., Sellon, D.C., Eds.; Elsevier Inc.: Philadelphia, PA, USA, 2018; pp. 79–137. [Google Scholar]





| Signal Symbol | Hydrogen Atom | Multiplicity | Number of Protons | Chemical Shift [ppm] |
|---|---|---|---|---|
| a | CH3-C= | s | 6 | 1.95 |
| b | =CH2 | 2 m | 4 | 5.70 and 6.14 |
| c | -O-CH2-CH2-N+- | m | 4 | 4.33–4.91 |
| d | -O-CH2-CH2-N+- | m | 4 | 4.00–4.26 |
| e | -N+-CH3 | s | 6 | 3.30–3.77 |
| f | -O-CH2-CH2-N+- | m | 4 | 4.00–4.26 |
| g | -O-CH2-CH2-N+- | m | 4 | 4.33–4.91 |
| h | -NH-C=O | m | 2 | 7.10–7.80 |
| i | -N+-CH2-CH2-(CH2)7(or 9)-CH3 1 | m | 4 | 3.30–3.77 |
| j | -N+-CH2-CH2-(CH2)7(or 9)-CH3 1 | m | 4 | 1.49–1.88 |
| k | -N+-CH2-CH2-(CH2)7(or 9)-CH3 1 | m | 28/36 2 | 1.16–1.47 |
| l | -N+-CH2-CH2-(CH2)(7 or 9)-CH3 1 | m | 6 | 0.82–1.00 |
| m | CH3-C-CH3 | m | 12 | 1.49–1.88 |
| n | -CH- (Ar) | m | 1 | 7.10–7.80 |
| o | -CH- (Ar) | m | 2 | 7.10–7.80 |
| p | -CH- (Ar) | m | 1 | 7.10–7.80 |
| Signal Symbol | Carbon Atom | Chemical Shift [ppm] |
|---|---|---|
| a | CH3-C= | 21 |
| b | =CH2 | 130 |
| c | CH3-C=CH2 | 138 |
| d | -O-C=O | 169 |
| e-h | -CH2- | 59–67 |
| i | -N+-CH3 | 53 |
| j | -N+-CH2-(CH2)8(or 10)-CH3 1 | 59–67 |
| k | -N+-CH2-(CH2)8(or 10)-CH3 1 | 26–35 |
| l | -N+-CH2-(CH2)8 (or 10)-CH3 1 | 17 |
| m | -NH-C=O | 157 |
| n | -NH-C- | 59–67 |
| o | >C-CH3 | 26–35 |
| p-s | -CH= (Ar) | 124–126 |
| t | >C= (Ar) |
| Chemical Bond | Intensity 1 | Wavenumber [cm−1] |
|---|---|---|
| N-H | w | 3215 |
| CH3 | w | 3024 |
| =CH2 | m | 2957 |
| CH2, CH3 | m | 2925 and 2855 |
| N=C=O 2 | s | 2257 |
| C=O | s | 1714 |
| C=C | w | 1638 |
| C=C (Ar) | w | 1605 |
| NH (urethane) | m | 1529 |
| CH2, CH3 | m | 1457 |
| C-N | m | 1249 and 1158 |
| C-O-C | m | 1092 and 1087 |
| C-N+ | m | 943 |
| Monomer Name | MW (g/mol) | xDB (mol/kg) | RI | dm (g/cm3) |
|---|---|---|---|---|
| AV 1 | AV 2 | |||
| Experimental monomers | ||||
| QA10+TMXDI | 1061 | 1.89 | 1.5230 | 1.16 a |
| QA12+TMXDI | 1117 | 1.79 | 1.5138 | 1.33 a |
| Reference monomers | ||||
| Bis-GMA | 512 | 3.90 | 1.5493 3 | 1.15 3 |
| UDMA | 470 | 4.25 | 1.4614 3 | 1.09 3 |
| TEGDMA | 286 | 6.99 | 1.4852 3 | 1.07 3 |
| Monomer Composition | Sample Composition | |||||||
|---|---|---|---|---|---|---|---|---|
| QAUDMA | UDMA | Bis-GMA | TEGDMA | |||||
| Mass Fraction | Mole Fraction | Mass Fraction | Mole Fraction | Mass Fraction | Mole Fraction | Mass Fraction | Mole Fraction | |
| Experimental compositions | ||||||||
| 20(QA10+TMXDI)m | 0.20 | 0.09 | 0.20 | 0.20 | 0.40 | 0.37 | 0.20 | 0.34 |
| 20(QA12+TMXDI)m | 0.20 | 0.09 | 0.20 | 0.20 | 0.40 | 0.37 | 0.20 | 0.34 |
| Reference composition | ||||||||
| 40(UDMA)m | 0.00 | 0.00 | 0.40 | 0.36 | 0.40 | 0.34 | 0.20 | 0.30 |
| Monomer Composition | MW (g/mol) | xDB (mol/kg) | η (Pa∙s) | RI | dm (g/cm3) | |
|---|---|---|---|---|---|---|
| AV | SD | AV 1 | AV 2 | |||
| Experimental compositions | ||||||
| 20(QA10+TMXDI)m | 476 | 4.20 | 3.79 | 0.40 | 1.5101 | 1.13 a,b |
| 20(QA12+TMXDI)m | 481 | 4.16 | 3.22 | 0.30 | 1.5094 | 1.11 a |
| Reference composition | ||||||
| 40(UDMA)m | 429 | 4.66 | 3.53 | 0.40 | 1.5049 | 1.11 b |
| Copolymer | DC | |
|---|---|---|
| AV | SD | |
| Experimental copolymers | ||
| 20(QA10+TMXDI)p | 0.57 a | 0.05 |
| 20(QA12+TMXDI)p | 0.69 a,b | 0.06 |
| Reference copolymer | ||
| 40(UDMA)p | 0.54 b | 0.04 |
| Copolymer | dp (g/cm3) | S (%) | Tg (°C) | |||
|---|---|---|---|---|---|---|
| AV | SD | AV | SD | AV | SD | |
| Experimental copolymers | ||||||
| 20(QA10+TMXDI)p | 1.21 | 0.01 | 7.04 a,b | 0.83 | 53.46 a,b | 3.27 |
| 20(QA12+TMXDI)p | 1.20 | 0.01 | 7.72 a,c | 1.17 | 60.30 a | 4.34 |
| Reference copolymer | ||||||
| 40(UDMA)p | 1.20 | 0.01 | 7.42 b,c | 1.08 | 62.97 b | 4.52 |
| Copolymer | WS (μg/mm3) | SL (μg/mm3) | WCA (◦) | |||
|---|---|---|---|---|---|---|
| AV | SD | AV | SD | AV | SD | |
| Experimental copolymers | ||||||
| 20(QA10+TMXDI)p | 10.43 a | 0.42 | 2.18 a,b | 0.06 | 87.03 a | 3.07 |
| 20(QA12+TMXDI)p | 10.35 b | 0.23 | 2.46 a,c | 0.25 | 91.30 b | 4.82 |
| Reference copolymer | ||||||
| 40(UDMA)p | 5.31 a,b | 0.36 | 0.17 b,c | 0.09 | 74.07 a,b | 2.24 |
| Copolymer | HB (MPa) | FS (MPa) | E (MPa) | |||
| AV | SD | AV | SD | AV | SD | |
| Experimental copolymers | ||||||
| 20(QA10+TMXDI)p | 234.8 a,b | 8.7 | 100.6 a | 11.7 | 3244.9 a | 114.1 |
| 20(QA12+TMXDI)p | 194.6 a,c | 26.5 | 90.3 b | 6.1 | 3020.6 b | 198.9 |
| Reference copolymer | ||||||
| 40(UDMA)p | 225.9 b,c | 19.4 | 125.4 a,b | 13.0 | 3597.7 a,b | 154.4 |
| Copolymer | MBC [mg/mL] | MIC [mg/mL] | ||
|---|---|---|---|---|
| S. aureus (ATCC 25923) | E. coli (ATCC 25922) | S. aureus (ATCC 25923) | E. coli (ATCC 25922) | |
| Experimental copolymers | ||||
| 20(QA10+TMXDI)p | 12.5 | 12.5 | 6.25 | 6.25 |
| 20(QA12+TMXDI)p | >50 | 25 | >50 | 12.5 |
| Reference copolymer | ||||
| 40(UDMA)p | >50 | >50 | >50 | >50 |
| Control | ||||
| Sterile Water | - | - | - | |
Disclaimer/Publisher’s Note: The statements, opinions and data contained in all publications are solely those of the individual author(s) and contributor(s) and not of MDPI and/or the editor(s). MDPI and/or the editor(s) disclaim responsibility for any injury to people or property resulting from any ideas, methods, instructions or products referred to in the content. |
© 2024 by the authors. Licensee MDPI, Basel, Switzerland. This article is an open access article distributed under the terms and conditions of the Creative Commons Attribution (CC BY) license (https://creativecommons.org/licenses/by/4.0/).
Share and Cite
Drejka, P.; Chrószcz-Porębska, M.; Kazek-Kęsik, A.; Chladek, G.; Barszczewska-Rybarek, I. Chemical Modification of Dental Dimethacrylate Copolymer with Tetramethylxylylene Diisocyanate-Based Quaternary Ammonium Urethane-Dimethacrylates—Physicochemical, Mechanical, and Antibacterial Properties. Materials 2024, 17, 298. https://doi.org/10.3390/ma17020298
Drejka P, Chrószcz-Porębska M, Kazek-Kęsik A, Chladek G, Barszczewska-Rybarek I. Chemical Modification of Dental Dimethacrylate Copolymer with Tetramethylxylylene Diisocyanate-Based Quaternary Ammonium Urethane-Dimethacrylates—Physicochemical, Mechanical, and Antibacterial Properties. Materials. 2024; 17(2):298. https://doi.org/10.3390/ma17020298
Chicago/Turabian StyleDrejka, Patryk, Marta Chrószcz-Porębska, Alicja Kazek-Kęsik, Grzegorz Chladek, and Izabela Barszczewska-Rybarek. 2024. "Chemical Modification of Dental Dimethacrylate Copolymer with Tetramethylxylylene Diisocyanate-Based Quaternary Ammonium Urethane-Dimethacrylates—Physicochemical, Mechanical, and Antibacterial Properties" Materials 17, no. 2: 298. https://doi.org/10.3390/ma17020298
APA StyleDrejka, P., Chrószcz-Porębska, M., Kazek-Kęsik, A., Chladek, G., & Barszczewska-Rybarek, I. (2024). Chemical Modification of Dental Dimethacrylate Copolymer with Tetramethylxylylene Diisocyanate-Based Quaternary Ammonium Urethane-Dimethacrylates—Physicochemical, Mechanical, and Antibacterial Properties. Materials, 17(2), 298. https://doi.org/10.3390/ma17020298

